Use of Milled Acanthocardia tuberculate Seashell as Fine Aggregate in Self-Compacting Mortars
Abstract
1. Introduction
2. Materials and Methods
2.1. Materials
2.2. Self-Compacting Mortar Design
2.3. Test Methods
3. Results and Discussion
3.1. Characterisation of Raw Materials
3.2. Fresh Properties of Mixtures
3.3. Hardened Properties of the Mixtures
3.3.1. Characterisation of Hardened Mortar
3.3.2. Mechanical Strength
3.3.3. Dry Bulk Density, Accessible Porosity for Water, and Water Absorption
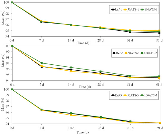
3.3.4. Shrinkage and Mass Loss
3.3.5. MIP
3.3.6. Water Absorption by Capillarity
4. Analysis of Results
- -
- The chemical composition of the ATS seashells was mainly calcareous (96.81%), and the mineralogical phases identified were aragonite and vaterite; both are polymorphs of CaCO3.
- -
- Three groups of self-compacting mortars were manufactured by modifying the powder/sand ratios (Vp/Vs) to 0.6, 0.7, and 0.8. For each of these groups, three replacement ratios by volume (0%, 50%, and 100%) of natural limestone sand with recycled fine aggregate from ATS were studied.
- -
- The study of the workability of self-compacting mortars by means of the V-funnel and spread tests concluded that the fluidity decreased as the incorporation of ATS aggregate increased, mainly owing to the higher water absorption of the shells and the angular and irregular shape of ATS.
- -
- XRD showed that the incorporation of the ATS aggregate did not influence the formation of new phases with respect to the reference mortars made with limestone aggregate. Based on TGA/DTA, it was found that the amount of portlandite phase Ca(OH)2 increased with the incorporation of ATS. This was owing to the increased porosity of the shell particles, which increased the number of nucleation sites available for cement reactions.
- -
- The mechanical strength was slightly reduced as the ATS increased in the self-compacting mortars due to the particle ATS morphology and higher water absorption compared with those of natural sand. Although the compressive and flexural strengths decreased, they remained similar to the reference values. It seems that the mixture belonging to group 2 (powder/sand ratio of 0.7) performed the best because the amounts of coarse and fine particles were balanced.
- -
- The microstructure of self-compacting mortar obtained by MIP revealed that all the pore sizes were in the range of large capillaries. All the tested samples showed that the porosity increased as a function of the Vp/Vs ratio; additionally, the incorporation of ATS increased, which may be related to the shape of ATS. ATS improved the pore size by reducing large capillaries and obstructing connections between pores, resulting in a denser arrangement. The number of large capillaries, which are prone to cracking, was reduced.
- -
- The self-compacting mortars with ATS aggregates led to a lower drying shrinkage than those of the mortars made with natural aggregates. This could be due to the higher water absorption of the shell particles in which the free-water content available in the mortar was lower.
- -
- The water absorption by the capillaries was lower in mortars containing ATS aggregates, which improved their durability properties.
5. Conclusions
- -
- Environment sustainability: the incorporation of seashell waste helps reduce environmental pollution and encourages recycling, reducing the need of natural aggregate.
- -
- Improved durability properties: shrinkage, water absorption by capillarity.
- -
- Cost-effective: the use of ATS seashell waste will reduce material costs by replacing natural aggregates.
- -
- Analysis of the thermal, acoustic, and electrical insulation of mortars with ATS seashells, recognising the potential improvements derived from the inclusion of these wastes.
- -
- Use as a calcium additive in fly ash for alkaline activation due to the amount of calcium contained in seashells.
- -
- Durability analyses could be carried out, such as resistance to carbonation, chloride and sulphate attack, freeze–thaw cycles, and fire exposure simulations.
- -
- Analysis of the economic and environmental assessment of mortars made from ATS seashell waste, using life cycle analysis (LCA).
Author Contributions
Funding
Institutional Review Board Statement
Informed Consent Statement
Data Availability Statement
Acknowledgments
Conflicts of Interest
References
- Bellei, P.; Torres, I.; Solstad, R.; Flores-Colen, I. Potential Use of Oyster Shell Waste in the Composition of Construction Composites: A Review. Buildings 2023, 13, 1546. [Google Scholar] [CrossRef]
- González-Caro, Á.; Merino-Lechuga, A.M.; Fernández-Ledesma, E.; Fernández-Rodríguez, J.M.; Jiménez, J.R.; Suescum-Morales, D. The Effect of Acanthocardia Tuberculata Shell Powder as Filler on the Performance of Self-Compacting Mortar. Materials 2023, 16, 1734. [Google Scholar] [CrossRef] [PubMed]
- Chen, B.; Peng, L.; Zhong, H.; Zhao, Y.; Meng, T.; Zhang, B. Improving the Mechanical Properties of Mussel Shell Aggregate Concrete by Aggregate Modification and Mixture Design. Case Stud. Constr. Mater. 2023, 18, e02017. [Google Scholar] [CrossRef]
- Eziefula, U.G.; Ezeh, J.C.; Eziefula, B.I. Properties of Seashell Aggregate Concrete: A Review. Constr. Build. Mater. 2018, 192, 287–300. [Google Scholar] [CrossRef]
- Asaoka, S.; Yamamoto, T.; Kondo, S.; Hayakawa, S. Removal of Hydrogen Sulfide Using Crushed Oyster Shell from Pore Water to Remediate Organically Enriched Coastal Marine Sediments. Bioresour. Technol. 2009, 100, 4127–4132. [Google Scholar] [CrossRef]
- Tayeh, B.A.; Hasaniyah, M.W.; Zeyad, A.M.; Yusuf, M.O. Properties of Concrete Containing Recycled Seashells as Cement Partial Replacement: A Review. J. Clean. Prod. 2019, 237, 117723. [Google Scholar] [CrossRef]
- Martínez-garcía, C.; González-fonteboa, B.; Martínez-abella, F.; López, D.C. Virtual Special Issue Bio Based Building Materials. Performance of Mussel Shell as Aggregate in Plain Concrete. Constr. Build. Mater. 2017, 139, 570–583. [Google Scholar] [CrossRef]
- Park, W.H.; Polprasert, C. Roles of Oyster Shells in an Integrated Constructed Wetland System Designed for P Removal. Ecol. Eng. 2008, 34, 50–56. [Google Scholar] [CrossRef]
- Richardson, A.E.; Fuller, T. Sea Shells Used as Partial Aggregate Replacement in Concrete. Struct. Surv. 2013, 31, 347–354. [Google Scholar] [CrossRef]
- Li, G.; Xu, X.; Chen, E.; Fan, J.; Xiong, G. Properties of Cement-Based Bricks with Oyster-Shells Ash. J. Clean. Prod. 2015, 91, 279–287. [Google Scholar] [CrossRef]
- Kuo, W.T.; Wang, H.Y.; Shu, C.Y.; Su, D.S. Engineering Properties of Controlled Low-Strength Materials Containing Waste Oyster Shells. Constr. Build. Mater. 2013, 46, 128–133. [Google Scholar] [CrossRef]
- Agbede, O.I.; Manasseh, J. Suitability of Periwinkle Shell as Partial Replacement for River Gravel in Concrete. Leonardo Electron. J. Pract. Technol. 2009, 8, 59–66. [Google Scholar]
- Nakatani, N.; Takamori, H.; Takeda, K.; Sakugawa, H. Transesterification of Soybean Oil Using Combusted Oyster Shell Waste as a Catalyst. Bioresour. Technol. 2009, 100, 1510–1513. [Google Scholar] [CrossRef]
- Olivia, M.; Mifshella, A.A.; Darmayanti, L. Mechanical Properties of Seashell Concrete. Procedia Eng. 2015, 125, 760–764. [Google Scholar] [CrossRef]
- Nguyen, D.H.; Boutouil, M.; Sebaibi, N.; Baraud, F.; Leleyter, L. Durability of Pervious Concrete Using Crushed Seashells. Constr. Build. Mater. 2017, 135, 137–150. [Google Scholar] [CrossRef]
- Mo, K.H.; Alengaram, U.J.; Jumaat, M.Z.; Lee, S.C.; Goh, W.I.; Yuen, C.W. Recycling of Seashell Waste in Concrete: A Review. Constr. Build. Mater. 2018, 162, 751–764. [Google Scholar] [CrossRef]
- Zhang, Y.; Chen, D.; Liang, Y.; Qu, K.; Lu, K.; Chen, S.; Kong, M. Study on Engineering Properties of Foam Concrete Containing Waste Seashell. Constr. Build. Mater. 2020, 260, 119896. [Google Scholar] [CrossRef]
- Liao, Y.; Fan, J.; Li, R.; Da, B.; Chen, D.; Zhang, Y. Influence of the Usage of Waste Oyster Shell Powder on Mechanical Properties and Durability of Mortar. Adv. Powder Technol. 2022, 33, 103503. [Google Scholar] [CrossRef]
- Liao, Y.; Wang, X.; Kong, D.; Da, B.; Chen, D. Experiment Research on Effect of Oyster Shell Particle Size on Mortar Transmission Properties. Constr. Build. Mater. 2023, 375, 131012. [Google Scholar] [CrossRef]
- Oh, S.E.; Chung, S.Y.; Kim, K.; Han, S.H. Comparative Analysis of the Effects of Waste Shell Aggregates on the Material Properties of Cement Mortars. Constr. Build. Mater. 2024, 412, 134887. [Google Scholar] [CrossRef]
- Shang, X.; Chang, J.; Yang, J.; Ke, X.; Duan, Z. Life Cycle Sustainable Assessment of Natural vs Artificial Lightweight Aggregates. J. Clean. Prod. 2022, 367, 133064. [Google Scholar] [CrossRef]
- EU, COM(2020)98. Communication from the Commission to the European Parliament, the Council, the European Economic and Social Committee and the Committee of the Regions. A New Circular Economy Action Plan for a Cleaner and More Competitive Europe. 2020. Available online: https://eur-lex.europa.eu/legal-content/EN/TXT/?uri=celex:52020DC0098 (accessed on 21 May 2024).
- Billberg, P. Fine Mortars Rheology in Mix Design of SCC. In Proceedings of the First International RILEM Symposium on Self-Compacting Concrete, Stockholm, Sweden, 13–15 September 1999; RILEM Publications SARL: Bagneux, France, 1999; pp. 47–58. ISBN 2912143721. [Google Scholar]
- Nepomuceno, M.; Oliveira, L.; Lopes, S.M.R. Methodology for Mix Design of the Mortar Phase of Self-Compacting Concrete Using Different Mineral Additions in Binary Blends of Powders. Constr. Build. Mater. 2012, 26, 317–326. [Google Scholar] [CrossRef]
- Da Silva, P.R.; De Brito, J. Fresh-State Properties of Self-Compacting Mortar and Concrete with Combined Use of Limestone Filler and Fly Ash. Mater. Res. 2015, 18, 1097–1108. [Google Scholar] [CrossRef]
- UNE-EN 197-1; Cement. Part 1: Composition, Specifications and Conformity Criteria for Commo on Cements. AENOR: Madrid, Spain, 2011.
- UNE-EN 1097-6; Test for chemical properties of aggregates. Part 1: Chemical analysis. AENOR: Madrid, Spain, 1999.
- Ministerio de Transportes Movilidad y Agenda Urbana Código Estructural. Boletín Oficial Del Estado. 2021, pp. 97664–99452. Available online: https://www.transportes.gob.es/organos-colegiados/comision-permanente-de-estructuras-de-acero/cpa/rd_470-2021 (accessed on 2 August 2024).
- UNE-EN 933-1; Tests for Geometrical Properties of Aggregate. Part 1: Determination of Particle Size Distribution—Sieving Method. AENOR: Madrid, Spain, 2012.
- UNE-EN 1097-7; Tests for Mechanical and Physical Properties of Aggregates. Part 7: Determination of Particle Density and Water Absorption. AENOR: Madrid, Spain, 2009.
- EFNARC. Specification and Guidelines for Self-Compacting Concrete; Report from EFNARC; Association House: Farnham, UK, 2002; Volume 44, p. 32. [Google Scholar]
- EN-1015-11; Methods of Test for Mortar for Mansory. Part 11: Determination of Flexural and Compressive Strength of Hardened Mortar. AENOR: Madrid, Spain, 2020.
- UNE-83980; Concrete Durability. Test Methods. Determination of the Water Absorption, Density and Accesible Porosity for Water in Concrete. Asociacion Espanola de Normalizacion: Madrid, Spain, 2014.
- Centro de Investigación, Tecnología e Innovación de La Universidad de Sevilla (CITIUS). Available online: https://citius.us.es/web/ (accessed on 3 July 2023).
- UNE 83831; Mortars. Methods of Test for Hardened Mortar for Mansory. Determination of Dimensional Stability of Hardened Mortar for Mansory. European Standard: Plzen, Czech Republic, 2021.
- UNE-EN 1015-18; Methods of Test for Mortar for Mansory. Part 18: Determination of Water Absorption Coefficient Due to Capillary Action of Hardened Mortar. Netherlands Standards: Delft, The Netherlands, 2003.
- Merino-Lechuga, A.M.; González-Caro, Á.; Fernández-Ledesma, E.; Jiménez, J.R.; Fernández-Rodríguez, J.M.; Suescum-Morales, D. Accelerated Carbonation of Vibro-Compacted Porous Concrete for Eco-Friendly Precast Elements. Materials 2023, 16, 2995. [Google Scholar] [CrossRef]
- Mohit, M.; Haftbaradaran, H.; Riahi, H.T. Investigating the Ternary Cement Containing Portland Cement, Ceramic Waste Powder, and Limestone. Constr. Build. Mater. 2023, 369, 130596. [Google Scholar] [CrossRef]
- Djobo, Y.J.N.; Elimbi, A.; Dika Manga, J.; Djon Li Ndjock, I.B. Partial Replacement of Volcanic Ash by Bauxite and Calcined Oyster Shell in the Synthesis of Volcanic Ash-Based Geopolymers. Constr. Build. Mater. 2016, 113, 673–681. [Google Scholar] [CrossRef]
- Lertwattanaruk, P.; Makul, N.; Siripattarapravat, C. Utilization of Ground Waste Seashells in Cement Mortars for Masonry and Plastering. J. Environ. Manag. 2012, 111, 133–141. [Google Scholar] [CrossRef]
- Olivia, M.; Oktaviani, R. Ismeddiyanto. Properties of Concrete Containing Ground Waste Cockle and Clam Seashells. Procedia Eng. 2017, 171, 658–663. [Google Scholar] [CrossRef]
- JCPDS, Joint Committee on Power Diffraction Standard-International Centre for Diffraction. 2003. Available online: https://pubs.acs.org/doi/10.1021/ac60293a779 (accessed on 2 August 2024).
- Wang, J.; Liu, E.; Li, L. Characterization on the Recycling of Waste Seashells with Portland Cement towards Sustainable Cementitious Materials. J. Clean. Prod. 2019, 220, 235–252. [Google Scholar] [CrossRef]
- Suarez-Riera, D.; Merlo, A.; Lavagna, L.; Nisticò, R.; Pavese, M. Mechanical Properties of Mortar Containing Recycled Acanthocardia Tuberculata Seashells as Aggregate Partial Replacement. Bol. Soc. Esp. Ceram. y Vidr. 2021, 60, 206–210. [Google Scholar] [CrossRef]
- Suescum-Morales, D.; Fernández-Ledesma, E.; González-Caro, Á.; Merino-Lechuga, A.M.; Fernández-Rodríguez, J.M.; Jiménez, J.R. Carbon Emission Evaluation of CO2 Curing in Vibro-Compacted Precast Concrete Made with Recycled Aggregates. Materials 2023, 16, 2436. [Google Scholar] [CrossRef] [PubMed]
- Suescum-Morales, D.; Silva, R.V.; Bravo, M.; Jiménez, J.R.; Fernández-Rodríguez, J.M.; de Brito, J. Effect of Incorporating Municipal Solid Waste Incinerated Bottom Ash in Alkali-Activated Fly Ash Concrete Subjected to Accelerated CO2 Curing. J. Clean. Prod. 2022, 370, 133533. [Google Scholar] [CrossRef]
- Kalinowska-Wichrowska, K.; Pawluczuk, E.; Bołtryk, M.; Jimenez, J.R.; Fernandez-Rodriguez, J.M.; Morales, D.S. The Performance of Concrete Made with Secondary Products—Recycled Coarse Aggregates, Recycled Cement Mortar, and Fly Ash–Slag Mix. Materials 2022, 15, 1438. [Google Scholar] [CrossRef] [PubMed]
- Barros, M.C.; Bello, P.M.; Bao, M.; Torrado, J.J. From Waste to Commodity: Transforming Shells into High Purity Calcium Carbonate. J. Clean. Prod. 2009, 17, 400–407. [Google Scholar] [CrossRef]
- Mohamed, M.; Rashidi, N.A.; Yusup, S.; Teong, L.K.; Rashid, U.; Ali, R.M. Effects of Experimental Variables on Conversion of Cockle Shell to Calcium Oxide Using Thermal Gravimetric Analysis. J. Clean. Prod. 2012, 37, 394–397. [Google Scholar] [CrossRef]
- Perić, J.; Vueak, M.; Krstulovib, R.; Breeevib, L.; Kralj, D. Phase Transformation of Calcium Carbonate Polymorphs. Thermochim. Acta 1996, 277, 175–186. [Google Scholar] [CrossRef]
- Yang, E.I.; Yi, S.T.; Leem, Y.M. Effect of Oyster Shell Substituted for Fine Aggregate on Concrete Characteristics: Part I. Fundamental Properties. Cem. Concr. Res. 2005, 35, 2175–2182. [Google Scholar] [CrossRef]
- Lozano-Lunar, A.; Dubchenko, I.; Bashynskyi, S.; Rodero, A.; Fernández, J.M.; Jiménez, J.R. Performance of Self-Compacting Mortars with Granite Sludge as Aggregate. Constr. Build. Mater. 2020, 251, 118998. [Google Scholar] [CrossRef]
- Hamada, H.M.; Abed, F.; Tayeh, B.; Al Jawahery, M.S.; Majdi, A.; Yousif, S.T. Effect of Recycled Seashells on Concrete Properties: A Comprehensive Review of the Recent Studies. Constr. Build. Mater. 2023, 376, 131036. [Google Scholar] [CrossRef]
- Nduka, D.O.; Akanbi, E.T.; Ojo, D.O.; Babayemi, T.E.; Jolayemi, K.J. Investigation of the Mechanical and Microstructural Properties of Masonry Mortar Made with Seashell Particles. Materials 2023, 16, 2471. [Google Scholar] [CrossRef]
- Song, Q.; Wang, Q.; Xu, S.; Mao, J.; Li, X.; Zhao, Y. Properties of Water-Repellent Concrete Mortar Containing Superhydrophobic Oyster Shell Powder. Constr. Build. Mater. 2022, 337, 127423. [Google Scholar] [CrossRef]
- Esquinas, A.R.; Ramos, C.; Jiménez, J.R.; Fernández, J.M.; de Brito, J. Mechanical Behaviour of Self-Compacting Concrete Made with Recovery Filler from Hot-Mix Asphalt Plants. Constr. Build. Mater. 2017, 131, 114–128. [Google Scholar] [CrossRef]
- Suescum-Morales, D.; Fernández-Rodríguez, J.M.; Jiménez, J.R. Use of Carbonated Water to Improve the Mechanical Properties and Reduce the Carbon Footprint of Cement-Based Materials with Recycled Aggregates. J. CO2 Util. 2022, 57, 101886. [Google Scholar] [CrossRef]
- Suescum-Morales, D.; Cantador-Fernández, D.; Ramón Jiménez, J.; María Fernández, J. Potential CO2 Capture in One-Coat Limestone Mortar Modified with Mg3Al–CO3 Calcined Hydrotalcites Using Ultrafast Testing Technique. Chem. Eng. J. 2021, 415, 129077. [Google Scholar] [CrossRef]
- Safi, B.; Saidi, M.; Daoui, A.; Bellal, A.; Mechekak, A.; Toumi, K. The Use of Seashells as a Fine Aggregate (by Sand Substitution) in Self-Compacting Mortar (SCM). Constr. Build. Mater. 2015, 78, 430–438. [Google Scholar] [CrossRef]
- Silva, D.A.; John, V.M.; Ribeiro, J.L.D.; Roman, H.R. Pore size distribution of hydrated cement pastes modified with polymers. Cem. Concr. Res. 2001, 31, 1177–1184. [Google Scholar] [CrossRef]
- Abell, A.B.; Willis, K.L.; Lange, D.A. Mercury intrusion porosimetry and image analysis of cement-based materials. J. Colloid. Interface Sci. 1999, 211, 39–44. [Google Scholar] [CrossRef]
- Ortega-López, V.; Fuente-Alonso, J.A.; Santamaría, A.; San-José, J.T.; Aragón, Á. Durability Studies on Fiber-Reinforced EAF Slag Concrete for Pavements. Constr. Build. Mater. 2018, 163, 471–481. [Google Scholar] [CrossRef]
- Martínez-García, C.; González-Fonteboa, B.; Carro-López, D.; Martínez-Abella, F. Effects of Mussel Shell Aggregates on Hygric Behaviour of Air Lime Mortar at Different Ages. Constr. Build. Mater. 2020, 252, 119113. [Google Scholar] [CrossRef]

















| Aggregate | Skeletal Density ρ (g/cm3) | Water Absorption (%) |
|---|---|---|
| Natural aggregate 0/3 (NA-0/3) | 2.62 | 1.78 |
| Natural aggregate 0/6 (NA-0/6) | 2.64 | 2.40 |
| Acanthocardia tuberculate seashell (ATS) aggregate | 2.72 | 2.19 |
| Group 1 | Group 2 | Group 3 | ||||||||
|---|---|---|---|---|---|---|---|---|---|---|
| Ref-1 | 50ATS | 100ATS | Ref-2 | 50ATS | 100ATS | Ref-3 | 50ATS | 100ATS | ||
| Powders | CEM | 490.9 | 490.9 | 490.9 | 526.3 | 526.3 | 526.3 | 557 | 557 | 557 |
| Limestone filler (LF) | 300.5 | 300.5 | 300.5 | 322.2 | 322.2 | 322.2 | 341 | 341 | 341 | |
| Fine aggregates | NA-0/3 | 618.1 | 309 | 0 | 568.1 | 284 | 0 | 526 | 263 | 0 |
| NA-0/6 | 622.8 | 311.4 | 0 | 572.4 | 286.2 | 0 | 530 | 265 | 0 | |
| ATS aggregate | 0 | 642.4 | 1284.7 | 0 | 590.4 | 1180.8 | 0 | 546.7 | 1093.3 | |
| Water | 240.6 | 240.6 | 240.6 | 258 | 258 | 258 | 273 | 273 | 273 | |
| Self-compactability parameters | Vp/Vs | 0.6 | 0.6 | 0.6 | 0.7 | 0.7 | 0.7 | 0.8 | 0.8 | 0.8 |
| Vw/Vp | 0.85 | 0.85 | 0.85 | 0.85 | 0.85 | 0.85 | 0.85 | 0.85 | 0.85 | |
| Sp/p % | 0.6 | 0.6 | 0.6 | 0.6 | 0.6 | 0.6 | 0.5 | 0.5 | 0.5 | |
| Oxides (%) | Cement (CEM) | NA-0/3 | NA-0/6 | ATS Aggregate | LF |
|---|---|---|---|---|---|
| Na2O | 0.17 | − | − | 0.47 | 0.08 |
| MgO | 0.95 | 0.48 | 18.90 | 0.05 | 0.53 |
| Al2O3 | 2.68 | 0.11 | 0.03 | 0.07 | 1.47 |
| SiO2 | 11.21 | 0.21 | 0.45 | 0.62 | 1.35 |
| P2O5 | 0.07 | − | − | − | − |
| SO3 | 3.45 | 0.04 | 0.05 | 0.08 | 0.05 |
| Cl− | 0.13 | − | 0.11 | 0.05 | − |
| K2O | 0.87 | 0.02 | 0.03 | 0.02 | − |
| CaO | 50.37 | 53.51 | 30.08 | 47.99 | 54.89 |
| TiO2 | 0.16 | − | − | − | − |
| MnO2 | 0.04 | − | − | − | − |
| Fe2O3 | 1.76 | 0.05 | 0.11 | 0.05 | 0.36 |
| ZnO | 0.02 | − | − | − | − |
| SrO | 0.06 | 0.02 | − | 0.16 | − |
| CO2 Balance | 28.07 | 45.77 | 50.23 | 50.43 | 41.27 |
| Group 1 | Group 2 | Group 3 | |||||||
|---|---|---|---|---|---|---|---|---|---|
| Ref-1 | 50ATS-1 | 100ATS-1 | Ref-2 | 50ATS-2 | 100ATS-2 | Ref-3 | 50ATS-3 | 100ATS-3 | |
| Gm | 4.52 | 4.4 | 4.29 | 9.56 | 7.12 | 5.76 | 7.12 | 5.63 | 4.52 |
| Rm (s−1) | 1.25 | 1.00 | 0.91 | 2.00 | 2.00 | 1.53 | 1.67 | 1.25 | 1.00 |
| Mixtures | Weight Loss (%) | ||||
|---|---|---|---|---|---|
| 25 °C–105 °C | 380–470 °C | 470–850 °C | 850–1000 °C | ||
| Group 1 | Ref-1 | 2.23 | 1.11 | 1.15 | 33.30 |
| 50ATS-1 | 1.44 | 1.18 | 1.19 | 31.91 | |
| 100ATS-1 | 1.62 | 1.14 | 1.15 | 31.67 | |
| Group 2 | Ref-2 | 1.34 | 1.17 | 1.24 | 32.70 |
| 50ATS-2 | 2.33 | 1.40 | 1.22 | 30.39 | |
| 100ATS-2 | 1.39 | 1.20 | 1.45 | 31.22 | |
| Group 3 | Ref-3 | 1.47 | 1.30 | 1.20 | 32.11 |
| 50ATS-3 | 1.44 | 1.97 | 1.59 | 32.19 | |
| 100ATS-3 | 2.02 | 1.51 | 1.23 | 27.86 | |
Disclaimer/Publisher’s Note: The statements, opinions and data contained in all publications are solely those of the individual author(s) and contributor(s) and not of MDPI and/or the editor(s). MDPI and/or the editor(s) disclaim responsibility for any injury to people or property resulting from any ideas, methods, instructions or products referred to in the content. |
© 2024 by the authors. Licensee MDPI, Basel, Switzerland. This article is an open access article distributed under the terms and conditions of the Creative Commons Attribution (CC BY) license (https://creativecommons.org/licenses/by/4.0/).
Share and Cite
González-Caro, Á.; Merino-Lechuga, A.M.; Fernández-Ledesma, E.; Fernández-Rodríguez, J.M.; Jiménez, J.R.; Suescum-Morales, D. Use of Milled Acanthocardia tuberculate Seashell as Fine Aggregate in Self-Compacting Mortars. Materials 2024, 17, 4665. https://doi.org/10.3390/ma17184665
González-Caro Á, Merino-Lechuga AM, Fernández-Ledesma E, Fernández-Rodríguez JM, Jiménez JR, Suescum-Morales D. Use of Milled Acanthocardia tuberculate Seashell as Fine Aggregate in Self-Compacting Mortars. Materials. 2024; 17(18):4665. https://doi.org/10.3390/ma17184665
Chicago/Turabian StyleGonzález-Caro, Ágata, Antonio Manuel Merino-Lechuga, Enrique Fernández-Ledesma, José María Fernández-Rodríguez, José Ramón Jiménez, and David Suescum-Morales. 2024. "Use of Milled Acanthocardia tuberculate Seashell as Fine Aggregate in Self-Compacting Mortars" Materials 17, no. 18: 4665. https://doi.org/10.3390/ma17184665
APA StyleGonzález-Caro, Á., Merino-Lechuga, A. M., Fernández-Ledesma, E., Fernández-Rodríguez, J. M., Jiménez, J. R., & Suescum-Morales, D. (2024). Use of Milled Acanthocardia tuberculate Seashell as Fine Aggregate in Self-Compacting Mortars. Materials, 17(18), 4665. https://doi.org/10.3390/ma17184665

