Experimental Study on the Frost Resistance of Basalt Fiber Reinforced Concrete
Abstract
1. Introduction
2. Raw Materials and Experiments Methods
2.1. Raw Materials
2.2. Concrete Mix Design and Curing Conditions
2.3. Testing
2.3.1. Compressive Strength Test
2.3.2. Freeze-Thaw Cycle Test
2.3.3. SEM Test
2.3.4. MIP Test
3. Results and Discussion
3.1. Appearance Changes of Concrete
3.2. MLR
3.3. RDME
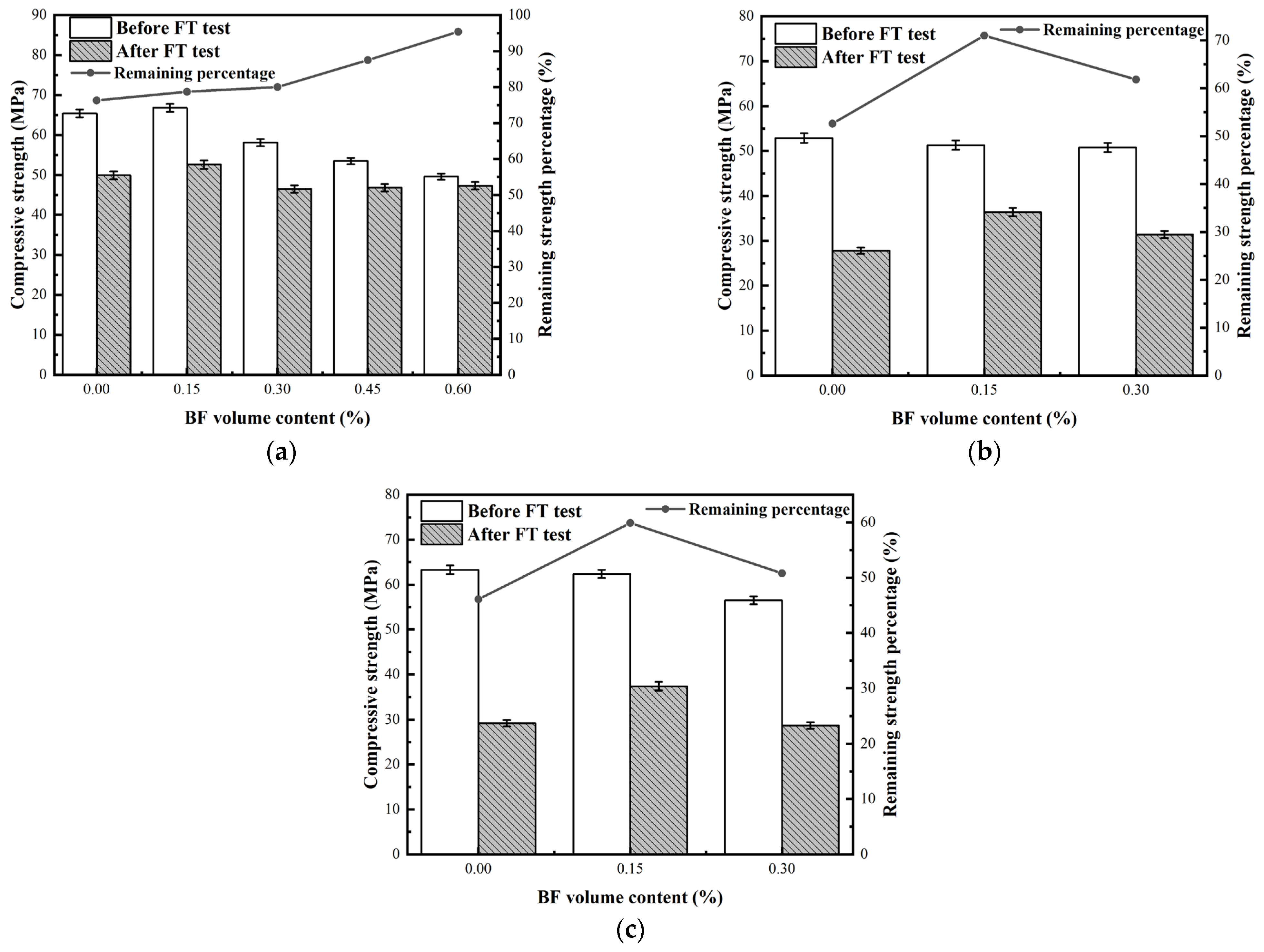
3.4. Compressive Strength
3.5. Microscopic Structure Analysis
3.6. Pore Structure of BFRC
4. Conclusions
Author Contributions
Funding
Institutional Review Board Statement
Informed Consent Statement
Data Availability Statement
Conflicts of Interest
References
- Li, Y.; Zhang, J.; He, Y.; Huang, G.; Li, J.; Niu, Z.; Gao, B. A review on durability of basalt fiber reinforced concrete. Compos. Sci. Technol. 2022, 225, 109519. [Google Scholar] [CrossRef]
- Dilbas, H.; Çakır, Ö. Influence of basalt fiber on physical and mechanical properties of treated recycled aggregate concrete. Construct. Build. Mater. 2020, 254, 119216. [Google Scholar] [CrossRef]
- Scalici, T.; Pitarresi, G.; Badagliacco, D.; Fiore, V.; Valenza, A. Mechanical properties of basalt fiber reinforced composites manufactured with different vacuum assisted impregnation techniques. Compos. Part B Eng. 2016, 104, 35–43. [Google Scholar] [CrossRef]
- Sim, J.; Park, C.; Moon, D.Y. Characteristics of basalt fiber as a strengthening material for concrete structures. Compos. Part B: Eng. 2005, 36, 504–512. [Google Scholar] [CrossRef]
- Zhang, H.; Wang, B.; Xie, A.; Qi, Y. Experimental study on dynamic mechanical properties and constitutive model of basalt fiber reinforced concrete. Constr. Build. Mater. 2017, 152, 154–167. [Google Scholar] [CrossRef]
- Özkan, S.; Demir, F. The hybrid effects of PVA fiber and basalt fiber on mechanical performance of cost effective hybrid cementitious composites. Constr. Build. Mater. 2020, 263, 120564. [Google Scholar] [CrossRef]
- Huang, H.; Yuan, Y.; Zhang, W.; Zhu, L. Property Assessment of High-Performance Concrete Containing Three Types of Fibers. Int. J. Concr. Struct. Mater. 2021, 15, 1–17. [Google Scholar] [CrossRef]
- Jiang, C.; Fan, K.; Wu, F.; Chen, D. Experimental study on the mechanical properties and microstructure of chopped basalt fibre reinforced concrete. Mater. Des. 2014, 58, 187–193. [Google Scholar]
- Branston, J.; Das, S.; Kenno, S.Y.; Taylor, C. Mechanical behaviour of basalt fibre reinforced concrete. Constr. Build. Mater. 2016, 124, 878–886. [Google Scholar] [CrossRef]
- Dias, D.P.; Thaumaturgo, C. Fracture toughness of geopolymeric concretes reinforced with basalt fibers. Cem. Concr. Compos. 2005, 27, 49–54. [Google Scholar] [CrossRef]
- Li, W.; Xu, J. Mechanical properties of basalt fiber reinforced geopolymeric concrete under impact loading. Mater. Sci. Eng. A 2009, 505, 178–186. [Google Scholar] [CrossRef]
- Quispe, C.; Lino, D.; Rodríguez, J.; Hinostroza, A. Concrete Cracking Control in Underwater Marine Structures using Basalt Fiber. IOP Conf. Ser. Mater. Sci. Eng. 2021, 1054, 012008. [Google Scholar] [CrossRef]
- Guo, Y.; Hu, X.; Lv, J. Experimental study on the resistance of basalt fiber-reinforced concrete to chloride penetration. Construct. Build. Mater. 2019, 223, 142–155. [Google Scholar] [CrossRef]
- Ren, D.; Yan, C.; Duan, P.; Zhang, Z.; Li, L.; Yan, Z. Durability performances of wollastonite, tremolite and basalt fiber-reinforced metakaolin geopolymer composites under sulfate and chloride attack. Constr. Build. Mater. 2017, 134, 56–66. [Google Scholar] [CrossRef]
- Li, M.; Gong, F.; Wu, Z. Study on mechanical properties of alkali-resistant basalt fiber reinforced concrete. Constr. Build. Mater. 2020, 245, 118424. [Google Scholar] [CrossRef]
- Yonggui, W.; Shuaipeng, L.; Hughes, P.; Yuhui, F. Mechanical properties and microstructure of basalt fiber and nano-silica reinforced recycled concrete after exposure to elevated temperatures. Construct. Build. Mater. 2020, 247, 118561. [Google Scholar] [CrossRef]
- Fiore, V.; Scalici, T.; Di Bella, G.; Valenza, A. A review on basalt fibre and its composites. Compos. Part B 2015, 74, 74–94. [Google Scholar] [CrossRef]
- Metha, P.K. Durability of concrete—Fifty years of progress. In Proceedings of the 2nd CANMET/ACI International Conference on Durability, Montreal, QC, Canada, 4–9 August 1991; pp. 1–31. [Google Scholar]
- Hang, M.; Cui, L.; Wu, J.; Sun, Z. Freezing-thawing damage characteristics and calculation models of aerated concrete. J. Build. Eng. 2019, 28, 101072. [Google Scholar] [CrossRef]
- Pigeon, M. Durability of Concrete in Cold Climates; CRC Press: Boca Raton, FL, USA, 2014. [Google Scholar]
- Duan, A.; Jin, W.; Qian, J. Effect of freeze–thaw cycles on the stress–strain curves of unconfined and confined concrete. Mater. Struct. 2011, 44, 1309–1324. [Google Scholar] [CrossRef]
- Liu, M.; Liu, D.; Qiao, P.; Sun, L. Characterization of microstructural damage evolution of freeze-thawed shotcrete by an integrative micro-CT and nanoindentation statistical approach. Cem. Concr. Compos. 2021, 117, 103909. [Google Scholar] [CrossRef]
- Yang, Z.; Weiss, W.J.; Olek, J. Water Transport in Concrete Damaged by Tensile Loading and Freeze–Thaw Cycling. J. Mater. Civ. Eng. 2006, 18, 424–434. [Google Scholar] [CrossRef]
- Li, Y.; Wang, R.; Zhao, Y. Effect of coupled deterioration by freeze-thaw cycle and carbonation on concrete produced with coarse recycled concrete aggregates. J. Ceram. Soc. Jpn. 2017, 125, 36–45. [Google Scholar] [CrossRef]
- Wang, R.; Zhang, Q.; Li, Y. Deterioration of concrete under the coupling effects of freeze–thaw cycles and other actions: A review. Constr. Build. Mater. 2022, 319, 126045. [Google Scholar] [CrossRef]
- Jin, S.J.; Li, Z.L.; Zhang, J.; Wang, Y.L. Experimental study on anti-freezing performance of reinforced concrete of basalt fiber under corrosion condition. Eng. Mech. 2015, 32, 178–183. [Google Scholar]
- Jin, S.J.; Li, Z.L.; Zhang, J.; Wang, Y.L. Experimental Study on the Performance of the Basalt Fiber Concrete Resistance to Freezing and Thawing. Appl. Mech. Mater. 2014, 584–586, 1304–1308. [Google Scholar]
- Fan, X.C.; Wu, D.; Chen, H. Experimental Research on the Freeze-Thaw Resistance of Basalt Fiber Reinforced Concrete. Adv. Mater. Res. 2014, 919, 1912–1915. [Google Scholar]
- Yan, J.; Ma, Y.; Zhang, X.; Yan, J. Analysis of frost resistance of basalt fiber cement solidified aeolian sand subgrade. J. Phys. Conf. Ser. 2020, 1654, 012118. [Google Scholar] [CrossRef]
- Liu, J.; Zhao, S.; Liu, R.Q. Study on antifreeze properties and pore structure of basalt fiber reinforced concrete. J. Phys. Conf. Ser. 2020, 1605, 12151. [Google Scholar]
- Li, W.; Liu, H.; Zhu, B.; Lyu, X.; Gao, X.; Liang, C. Mechanical Properties and Freeze–Thaw Durability of Basalt Fiber Reactive Powder Concrete. Appl. Sci. 2020, 10, 5682. [Google Scholar] [CrossRef]
- Şahin, F.; Uysal, M.; Canpolat, O.; Aygörmez, Y.; Cosgun, T.; Dehghanpour, H. Effect of basalt fiber on metakaolin-based geopolymer mortars containing rilem, basalt and recycled waste concrete aggregates. Construct. Build. Mater. 2021, 301, 124113. [Google Scholar] [CrossRef]
- Mermerdaş, K.; İpek, S.; Mahmood, Z. Visual inspection and mechanical testing of fly ash-based fibrous geopolymer composites under freeze-thaw cycles. Construct. Build. Mater. 2021, 283, 122756. [Google Scholar] [CrossRef]
- Gao, C.; Du, G.; Guo, Q.; Zhuang, Z. Static and Dynamic Behaviors of Basalt Fiber Reinforced Cement-Soil after Freeze-Thaw Cycle. KSCE J. Civ. Eng. 2020, 24, 3573–3583. [Google Scholar] [CrossRef]
- Gao, C.; Du, G.; Guo, Q.; Xia, H.; Pan, H.; Cai, J. Dynamic and Static Splitting-Tensile Properties of Basalt Fiber–Reinforced Cemented Clay Under Freeze–Thaw Cycles. J. Mater. Civ. Eng. 2020, 32, 06020014. [Google Scholar] [CrossRef]
- Zhao, Y.; Wang, L.; Lei, Z.; Han, X.; Xing, Y. Experimental study on dynamic mechanical properties of the basalt fiber reinforced concrete after the freeze-thaw based on the digital image correlation method. Constr. Build. Mater. 2017, 147, 194–202. [Google Scholar] [CrossRef]
- Zhao, Y.; Wang, L.; Lei, Z.; Han, X.; Shi, J. Study on bending damage and failure of basalt fiber reinforced concrete under freeze-thaw cycles. Constr. Build. Mater. 2018, 163, 460–470. [Google Scholar] [CrossRef]
- Hu, X.; Guo, Y.; Lv, J.; Mao, J. The Mechanical Properties and Chloride Resistance of Concrete Reinforced with Hybrid Polypropylene and Basalt Fibres. Materials 2019, 12, 2371. [Google Scholar] [CrossRef]
- JGJ/T 221-2010; Technical Specification for Application of Fiber Reinforced Concrete. China Architecture & Building Press: Beijing, China, 2010.
- JGJ55-2011; Code for Design of Ordinary Concrete Mix Proportions. China Architecture & Building Press: Beijing, China, 2011.
- GB/T 50081-2019; Standard for Test Method of Concrete Physical and Mechanical Properties. China Architecture and Building Press: Beijing, China, 2019.
- GB/T 50082-2009; Standard for Test Methods of Long-Term Performance and Durability of Ordinary Concrete. China Architecture and Building Press: Beijing, China, 2009.
- Sulima, I.; Boczkai, S.; Jaworska, L. SEM and TEM characterization of stainless steel composites reinforce with TiB2. Mater. Charact. 2016, 118, 560–569. [Google Scholar] [CrossRef]
- Al-Obaidi, H.N. Beam analysis of scanning electron microscope according to the mirror effect phenomenon. J. Electrost. 2015, 74, 102–107. [Google Scholar] [CrossRef]
- Kumar, R.; Bhattacharjee, B. Assessment of permeation quality of concrete through mercury intrusion porosimetry. Cem. Concr. Res. 2004, 34, 321–328. [Google Scholar] [CrossRef]
- Zhang, J.; Zhao, J.; Zhang, Y.; Gao, Y.; Zheng, Y. Instantaneous chloride diffusion coefficient and its time dependency of concrete exposed to a marine tidal environment. Constr. Build. Mater. 2018, 167, 225–234. [Google Scholar] [CrossRef]
- Zhu, X.; Chen, X.; Bai, Y.; Ning, Y.; Zhang, W. Evaluation of fracture behavior of high-strength hydraulic concrete damaged by freeze-thaw cycle test. Constr. Build. Mater. 2022, 321, 126346. [Google Scholar] [CrossRef]
- Coussy, O.; Monteiro, P.J.M. Poroelastic model for concrete exposed to freezing temperatures. Cem. Concr. Res. 2008, 38, 40–48, Erratum in Cem. Concr. Res. 2009, 39, 371–372. [Google Scholar] [CrossRef]
- Algin, Z.; Ozen, M. The properties of chopped basalt fibre reinforced self-compacting concrete. Constr. Build. Mater. 2018, 186, 678–685. [Google Scholar] [CrossRef]
- Hao, L.; Liu, Y.; Wang, W.; Zhang, J.; Zhang, Y. Effect of salty freeze-thaw cycles on durability of thermal insulation concrete with recycled aggregates. Constr. Build. Mater. 2018, 189, 478–486. [Google Scholar] [CrossRef]
- Kessler, S.; Thiel, C.; Grosse, C.U.; Gehlen, C. Effect of freeze–thaw damage on chloride ingress into concrete. Mater. Struct. 2017, 50, 121. [Google Scholar] [CrossRef]
- Yuan, J.; Wu, Y.; Zhang, J. Characterization of air voids and frost resistance of concrete based on industrial computerized tomographical technology. Constr. Build. Mater. 2018, 168, 975–983. [Google Scholar] [CrossRef]
- Setzer, M.J. Micro-Ice-Lens Formation in Porous Solid. J. Colloid Interface Sci. 2001, 243, 193–201. [Google Scholar] [CrossRef]
- Chen, B.; Liu, J.Y. Contribution of hybrid fibres on the properties of the high strength lightweight concrete having good workability. Cem. Concr. Res. 2005, 35, 913–917. [Google Scholar] [CrossRef]
- Sadrmomtazi, A.; Tahmouresi, B.; Saradar, A. Effects of silica fume on mechanical strength and microstructure of basalt fiber reinforced cementitious composites (BFRCC). Constr. Build. Mater. 2018, 162, 321–333. [Google Scholar] [CrossRef]
- Wang, R.; Meyer, C. Performance of cement mortar made with recycled high impact polystyrene. Cem. Concr. Compos. 2012, 34, 975–981. [Google Scholar] [CrossRef]
- Jalasutram, S.; Sahoo, D.R.; Matsagar, V. Experimental investigation of the mechanical properties of basalt fiber-reinforced concrete. Struct. Concr. 2017, 18, 292–302. [Google Scholar] [CrossRef]
- Shen, P.; Liu, Z. Study on the hydration of young concrete based on dielectric property measurement. Constr. Build. Mater. 2019, 196, 354–361. [Google Scholar] [CrossRef]
- Qiu, W.-L.; Teng, F.; Pan, S.-S. Damage constitutive model of concrete under repeated load after seawater freeze-thaw cycles. Constr. Build. Mater. 2020, 236, 117560. [Google Scholar] [CrossRef]
- An, M.; Wang, Y.; Yu, Z. Damage mechanisms of ultra-high-performance concrete under freeze–thaw cycling in salt solution considering the effect of rehydration. Constr. Build. Mater. 2019, 198, 546–552. [Google Scholar] [CrossRef]
- John, D.S. An unusual case of ground water sulphate attack on concrete. Cem. Concr. Res. 1982, 12, 633–639. [Google Scholar] [CrossRef]
- Sun, L.F.; Jiang, K.; Zhu, X.; Xu, L. An alternating experimental study on the combined effect of freeze-thaw and chloride penetration in concrete. Constr. Build. Mater. 2020, 252, 119025. [Google Scholar] [CrossRef]
- Borhan, T.M. Thermal and mechanical properties of basalt fibre reinforced concrete. World Acad. Sci. Eng. Technol. 2013, 7, 334–337. [Google Scholar]
- Jun, W.; Ye, Z. Experimental research on mechanical and working properties of non-dipping chopped basalt fiber reinforced concrete. In Proceedings of the 3rd International Conference on Information Management, Innovation Management and Industrial Engineering, Shenzhen, China, 26–27 November 2010; pp. 635–637. [Google Scholar]
- Gao, C.; Wu, W. Using ESEM to analyze the microscopic property of basalt fiber reinforced asphalt concrete. Int. J. Pavement Res. Technol. 2018, 11, 374–380. [Google Scholar] [CrossRef]
- Sutter, L.; Peterson, K.; Touton, S.; Van Dam, T.; Johnston, D. Petrographic evidence of calcium oxychloride formation in mortars exposed to magnesium chloride solution. Cem. Concr. Res. 2006, 36, 1533–1541. [Google Scholar] [CrossRef]
- Shi, C. Formation and stability of 3CaO⋅CaCl2⋅12H2O. Cem. Concr. Res. 2001, 31, 1373–1375. [Google Scholar]
- Kurdowski, W. The protective layer and decalcification of C-S-H in the mechanism of chloride corrosion of cement paste. Cem. Concr. Res. 2004, 34, 1555–1559. [Google Scholar] [CrossRef]
- Afroughsabet, V.; Ozbakkaloglu, T. Mechanical and durability properties of high-strength concrete containing steel and polypropylene fibers. Constr. Build. Mater. 2015, 94, 73–82. [Google Scholar] [CrossRef]
- Gesoglu, M.; Güneyisi, E.; Nahhab, A.H.; Yazıcı, H. Properties of ultra-high performance fiber reinforced cementitious composites made with gypsum-contaminated aggregates and cured at normal and elevated temperatures. Constr. Build. Mater. 2015, 93, 427–438. [Google Scholar] [CrossRef]
- Khan, M.; Cao, M.L.; Ali, M. Effect of basalt fibers on mechanical properties of calcium carbonate whisker-steel fiber reinforced concrete. Constr. Build. Mater. 2018, 192, 742–753. [Google Scholar] [CrossRef]
- Wu, Z.W. High performance concrete and its fine mineral admixture. Arch. Technol. 1999, 30, 160–163. [Google Scholar]














| The Chemical Composition (%) | The Physical Properties | ||||||||
|---|---|---|---|---|---|---|---|---|---|
| SiO2 | Al2O3 | Fe2O3 | Na2O | MgO | K2O | CaO | MnO | Specific Gravity (kg/m3) | Specific Surface (m2/kg) |
| 20.94 | 2.84 | 4.64 | 0.48 | 1.65 | 0.26 | 69.03 | 0.16 | 3140 | 350 |
| Length (mm) | Diameter (μm) | Density (g/cm3) | Tensile Strength (MPa) | Elastic Modulus (GPa) | Interlaminar Shear Strength (MPa) | Elongation (%) | Hygroscopicity (%) |
|---|---|---|---|---|---|---|---|
| 12 | 16 | 2.65 | 2630 | 88.9 | 56 | 2.99 | <0.1 |
| Series | Mix ID | Cement | Water | Fine Aggregate | Coarse Aggregate | BF (%) | SP (%) | Curing Conditions |
|---|---|---|---|---|---|---|---|---|
| kg/m3 | ||||||||
| A | A0 | 500 | 160 | 696 | 1044 | 0 | 0.92 | Normal curing |
| A1 | 500 | 160 | 696 | 1044 | 0.15 | 1.2 | ||
| A2 | 500 | 160 | 696 | 1044 | 0.30 | 1.84 | ||
| A3 | 500 | 160 | 696 | 1044 | 0.45 | 2.3 | ||
| A4 | 500 | 160 | 696 | 1044 | 0.60 | 2.7 | ||
| B | B0 | 500 | 160 | 696 | 1044 | 0 | 0.92 | Short-term curing |
| B1 | 500 | 160 | 696 | 1044 | 0.15 | 1.2 | ||
| B2 | 500 | 160 | 696 | 1044 | 0.30 | 1.84 | ||
| C | C0 | 500 | 160 | 696 | 1044 | 0 | 0.92 | Seawater curing |
| C1 | 500 | 160 | 696 | 1044 | 0.15 | 1.2 | ||
| C2 | 500 | 160 | 696 | 1044 | 0.30 | 1.84 | ||
| Series | Loading Rate (MPa/s) | |
|---|---|---|
| Before FTCs | After FTCs | |
| A | 0.8 | 0.7 |
| B | 0.7 | 0.5 |
| C | 0.7 | 0.4 |
| Specimen ID | A0 | A1 | A2 | A3 | A4 | B0 | B1 | B2 | C0 | C1 | C2 |
|---|---|---|---|---|---|---|---|---|---|---|---|
| Number of FTCs | 500 | 600 | 600 | 600 | 600 | 100 | 175 | 175 | 125 | 125 | 125 |
| Specimen ID | A0 | A1 | A2 | A3 | A4 | B0 | B1 | B2 | C0 | C1 | C2 |
|---|---|---|---|---|---|---|---|---|---|---|---|
| Initial mass | 10.12 | 9.87 | 9.72 | 9.69 | 9.65 | 10.09 | 9.75 | 9.62 | 10.13 | 9.76 | 9.43 |
Disclaimer/Publisher’s Note: The statements, opinions and data contained in all publications are solely those of the individual author(s) and contributor(s) and not of MDPI and/or the editor(s). MDPI and/or the editor(s) disclaim responsibility for any injury to people or property resulting from any ideas, methods, instructions or products referred to in the content. |
© 2024 by the authors. Licensee MDPI, Basel, Switzerland. This article is an open access article distributed under the terms and conditions of the Creative Commons Attribution (CC BY) license (https://creativecommons.org/licenses/by/4.0/).
Share and Cite
Guo, Y.; Gao, J.; Lv, J. Experimental Study on the Frost Resistance of Basalt Fiber Reinforced Concrete. Materials 2024, 17, 4593. https://doi.org/10.3390/ma17184593
Guo Y, Gao J, Lv J. Experimental Study on the Frost Resistance of Basalt Fiber Reinforced Concrete. Materials. 2024; 17(18):4593. https://doi.org/10.3390/ma17184593
Chicago/Turabian StyleGuo, Yihong, Jianlin Gao, and Jianfu Lv. 2024. "Experimental Study on the Frost Resistance of Basalt Fiber Reinforced Concrete" Materials 17, no. 18: 4593. https://doi.org/10.3390/ma17184593
APA StyleGuo, Y., Gao, J., & Lv, J. (2024). Experimental Study on the Frost Resistance of Basalt Fiber Reinforced Concrete. Materials, 17(18), 4593. https://doi.org/10.3390/ma17184593
