Diverse Strategies to Develop Poly(ethylene glycol)–Polyester Thermogels for Modulating the Release of Antibodies
Abstract
1. Introduction
2. Materials and Methods
2.1. Materials
2.2. Polymers Modification
2.3. The General Methodology of the Thermogel Preparation
2.3.1. Preparation of Thermogels and IgG-Loaded Thermogels
2.3.2. Preparation of Thermogels with Embedded Nanoparticles and IgG
2.4. Thermogel Degradation
2.5. The Release of IgG from Thermogels
2.6. Methods
3. Results
3.1. The Thermogelation of Copolymers
3.1.1. Thermal and Dynamic Mechanical Properties of One-Component Gels
3.1.2. Thermal and Dynamic Mechanical Properties of Two- and Three-Component Gels
3.1.3. Thermal and Dynamic Mechanical Properties of Gels from Modified Copolymers
3.2. The Hydrolytic Degradation of Thermogels
3.3. The In Vitro Immunoglobulin G Antibody Release from Thermogels
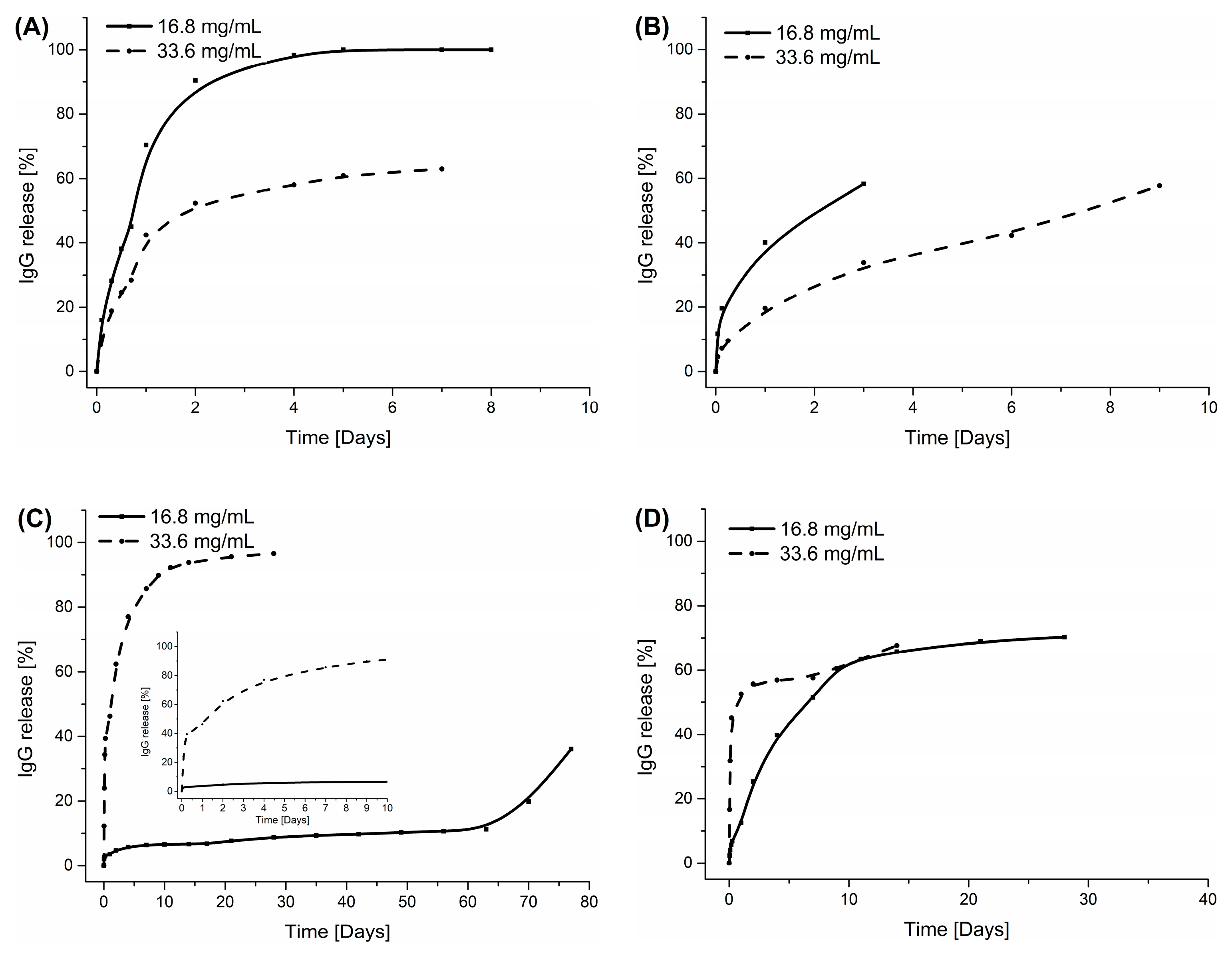
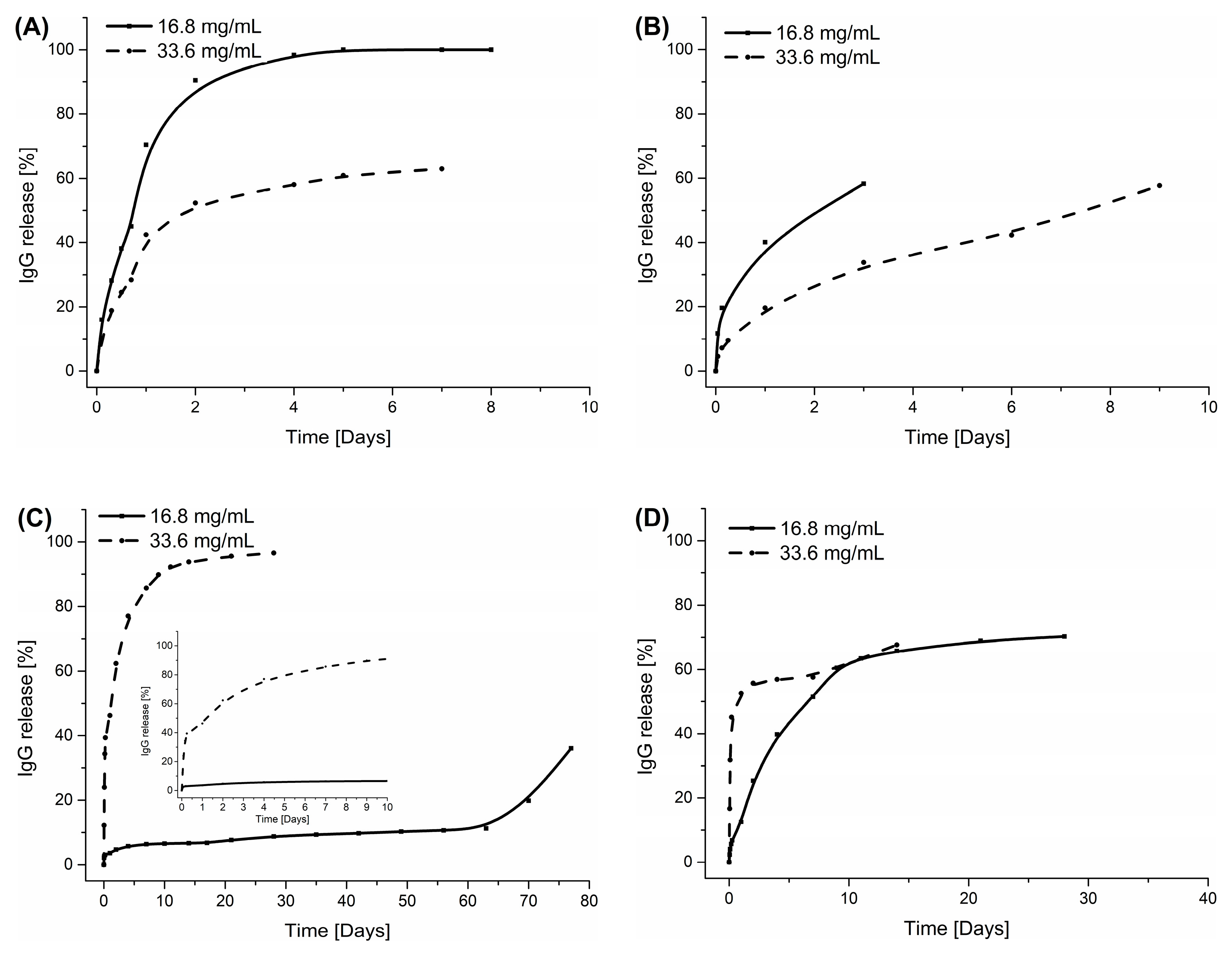
3.3.1. IgG Release from Two- and Three-Component Gels
3.3.2. IgG Release from Nanoparticles Embedded in Thermogel
3.4. Cytotoxicity Study
4. Conclusions
Supplementary Materials
Author Contributions
Funding
Institutional Review Board Statement
Informed Consent Statement
Data Availability Statement
Acknowledgments
Conflicts of Interest
References
- Poustchi, F.; Amani, H.; Ahmadian, Z.; Niknezhad, S.V.; Mehrabi, S.; Santos, H.A.; Shahbazi, M.-A. Combination Therapy of Killing Diseases by Injectable Hydrogels: From Concept to Medical Applications. Adv. Healthc. Mater. 2021, 10, 2001571. [Google Scholar] [CrossRef] [PubMed]
- Chen, Y.; Shi, J.; Zhang, Y.; Miao, J.; Zhao, Z.; Jin, X.; Liu, L.; Yu, L.; Shen, C.; Ding, J. An Injectable Thermosensitive Hydrogel Loaded with an Ancient Natural Drug Colchicine for Myocardial Repair after Infarction. J. Mater. Chem. B 2020, 8, 980–992. [Google Scholar] [CrossRef] [PubMed]
- Yu, L.; Zhang, Z.; Zhang, H.; Ding, J. Biodegradability and Biocompatibility of Thermoreversible Hydrogels Formed from Mixing a Sol and a Precipitate of Block Copolymers in Water. Biomacromolecules 2010, 11, 2169–2178. [Google Scholar] [CrossRef] [PubMed]
- Sivashanmugam, A.; Kumar, R.A.; Priya, M.V.; Nair, S.V.; Jayakumar, R. An Overview of Injectable Polymeric Hydrogels for Tissue Engineering. Eur. Polym. J. 2015, 72, 543–565. [Google Scholar] [CrossRef]
- Mathew, A.P.; Uthaman, S.; Cho, K.-H.; Cho, C.-S.; Park, I.-K. Injectable Hydrogels for Delivering Biotherapeutic Molecules. Int. J. Biol. Macromol. 2018, 110, 17–29. [Google Scholar] [CrossRef]
- Sun, J.; Liu, X.; Lei, Y.; Tang, M.; Dai, Z.; Yang, X.; Yu, X.; Yu, L.; Sun, X.; Ding, J. Sustained Subconjunctival Delivery of Cyclosporine A Using Thermogelling Polymers for Glaucoma Filtration Surgery. J. Mater. Chem. B 2017, 5, 6400–6411. [Google Scholar] [CrossRef]
- Bao, R.; Tan, B.; Liang, S.; Zhang, N.; Wang, W.; Liu, W. A π-π Conjugation-Containing Soft and Conductive Injectable Polymer Hydrogel Highly Efficiently Rebuilds Cardiac Function after Myocardial Infarction. Biomaterials 2017, 122, 63–71. [Google Scholar] [CrossRef]
- Song, H.; Yang, P.; Huang, P.; Zhang, C.; Kong, D.; Wang, W. Injectable Polypeptide Hydrogel-Based Co-Delivery of Vaccine and Immune Checkpoint Inhibitors Improves Tumor Immunotherapy. Theranostics 2019, 9, 2299. [Google Scholar] [CrossRef]
- Zhang, Y.; Yu, J.; Ren, K.; Zuo, J.; Ding, J.; Chen, X. Thermosensitive Hydrogels as Scaffolds for Cartilage Tissue Engineering. Biomacromolecules 2019, 20, 1478–1492. [Google Scholar] [CrossRef]
- Li, Z.; Tan, B.H. Towards the Development of Polycaprolactone Based Amphiphilic Block Copolymers: Molecular Design, Self-Assembly and Biomedical Applications. Mater. Sci. Eng. C 2014, 45, 620–634. [Google Scholar] [CrossRef]
- Li, Z.; Guan, J. Thermosensitive Hydrogels for Drug Delivery. Expert Opin. Drug Deliv. 2011, 8, 991–1007. [Google Scholar] [CrossRef] [PubMed]
- Liow, S.S.; Dou, Q.; Kai, D.; Karim, A.A.; Zhang, K.; Xu, F.; Loh, X.J. Thermogels: In Situ Gelling Biomaterial. ACS Biomater. Sci. Eng. 2016, 2, 295–316. [Google Scholar] [CrossRef] [PubMed]
- Miyazaki, M.; Maeda, T.; Hirashima, K.; Kurokawa, N.; Nagahama, K.; Hotta, A. PEG-Based Nanocomposite Hydrogel: Thermoresponsive Sol-Gel Transition Controlled by PLGA-PEG-PLGA Molecular Weight and Solute Concentration. Polymer 2017, 115, 246–254. [Google Scholar] [CrossRef]
- PJ, R.J.; Oluwafemi, O.S.; Thomas, S.; Oyedeji, A.O. Recent Advances in Drug Delivery Nanocarriers Incorporated in Temperature-Sensitive Pluronic F-127–A Critical Review. J. Drug Deliv. Sci. Technol. 2022, 72, 103390. [Google Scholar]
- Chan, P.S.; Li, Q.; Zhang, B.; To, K.K.W.; Leung, S.S.Y. In Vivo Biocompatibility and Efficacy of Dexamethasone-Loaded PLGA-PEG-PLGA Thermogel in an Alkali-Burn Induced Corneal Neovascularization Disease Model. Eur. J. Pharm. Biopharm. 2020, 155, 190–198. [Google Scholar] [CrossRef]
- Sharma, D.; Atassi, F.; Cook, S.; Marden, S.; Wang, J.; Xue, A.; Wagner, D.J.; Zhang, G.; Yang, W. Experimental Design, Development and Evaluation of Extended Release Subcutaneous Thermo-Responsive in Situ Gels for Small Molecules in Drug Discovery. Pharm. Dev. Technol. 2021, 26, 1079–1089. [Google Scholar] [CrossRef]
- Wu, K.; Yu, L.; Ding, J. Synthesis of PCL–PEG–PCL Triblock Copolymer via Organocatalytic Ring-Opening Polymerization and Its Application as an Injectable Hydrogel—An Interdisciplinary Learning Trial. J. Chem. Educ. 2020, 97, 4158–4165. [Google Scholar] [CrossRef]
- Shi, J.; Yu, L.; Ding, J. PEG-Based Thermosensitive and Biodegradable Hydrogels. Acta Biomater. 2021, 128, 42–59. [Google Scholar] [CrossRef]
- Omar, J.; Dreiss, C.A.; Loh, X.J. Recent Progress in the Use of Thermogelling Polymers for Treatment of Ophthalmic Conditions. Prog. Biomed. Eng. 2022, 4, 22004. [Google Scholar] [CrossRef]
- Shinde, U.P.; Yeon, B.; Jeong, B. Recent Progress of in Situ Formed Gels for Biomedical Applications. Prog. Polym. Sci. 2013, 38, 672–701. [Google Scholar]
- Marques, A.C.; Costa, P.C.; Velho, S.; Amaral, M.H. Injectable Poloxamer Hydrogels for Local Cancer Therapy. Gels 2023, 9, 593. [Google Scholar] [CrossRef] [PubMed]
- Pitorre, M.; Gondé, H.; Haury, C.; Messous, M.; Poilane, J.; Boudaud, D.; Kanber, E.; Ndombina, G.A.R.; Benoit, J.-P.; Bastiat, G. Recent Advances in Nanocarrier-Loaded Gels: Which Drug Delivery Technologies against Which Diseases? J. Control Release 2017, 266, 140–155. [Google Scholar] [CrossRef] [PubMed]
- Constantinou, A.P.; Georgiou, T.K. Pre-clinical and Clinical Applications of Thermoreversible Hydrogels in Biomedical Engineering: A Review. Polym. Int. 2021, 70, 1433–1448. [Google Scholar] [CrossRef]
- Lin, H.-R.; Sung, K.C. Carbopol/Pluronic Phase Change Solutions for Ophthalmic Drug Delivery. J. Control Release 2000, 69, 379–388. [Google Scholar] [CrossRef]
- Liu, C.B.; Gong, C.Y.; Huang, M.J.; Wang, J.W.; Pan, Y.F.; Zhang, Y.D.; Li, G.Z.; Gou, M.L.; Wang, K.; Tu, M.J. Thermoreversible Gel–Sol Behavior of Biodegradable PCL-PEG-PCL Triblock Copolymer in Aqueous Solutions. J. Biomed. Mater. Res. Part B Appl. Biomater. 2008, 84, 165–175. [Google Scholar] [CrossRef]
- Zhang, H.; Yu, L.; Ding, J. Roles of Hydrophilic Homopolymers on the Hydrophobic-Association-Induced Physical Gelling of Amphiphilic Block Copolymers in Water. Macromolecules 2008, 41, 6493–6499. [Google Scholar] [CrossRef]
- Ohya, Y.; Yonezawa, H.; Moriwaki, C.; Murase, N.; Kuzuya, A. A Systematic Study on the Effects of the Structure of Block Copolymers of PEG and Poly (ε-Caprolactone-Co-Glycolic Acid) on Their Temperature-Responsive Sol-to-Gel Transition Behavior. Polym. Chem. 2023, 14, 1350–1358. [Google Scholar] [CrossRef]
- Michlovská, L.; Vojtová, L.; Mravcová, L.; Hermanová, S.; Kučerík, J.; Jančář, J. Functionalization Conditions of PLGA-PEG-PLGA Copolymer with Itaconic Anhydride. In Proceedings of the Macromolecular Symposia; Wiley Online Library: Hoboke, NJ, USA, 2010; Volume 295, pp. 119–124. [Google Scholar]
- Oborna, J.; Mravcova, L.; Michlovska, L.; Vojtova, L.; Vavrova, M. The Effect of PLGA-PEG-PLGA Modification on the Sol-Gel Transition and Degradation Properties. Express Polym. Lett. 2016, 10, 361–372. [Google Scholar] [CrossRef]
- Yu, L.; Chang, G.; Zhang, H.; Ding, J. Temperature-Induced Spontaneous Sol–Gel Transitions of Poly(D,L-Lactic Acid-Co-Glycolic Acid)-b-Poly(Ethylene Glycol)-b-Poly(D,L-Lactic Acid-Co-Glycolic Acid) Triblock Copolymers and Their End-Capped Derivatives in Water. J. Polym. Sci. Part A Polym. Chem. 2007, 45, 1122–1133. [Google Scholar] [CrossRef]
- Hwang, M.J.; Suh, J.M.; Bae, Y.H.; Kim, S.W.; Jeong, B. Caprolactonic Poloxamer Analog: PEG-PCL-PEG. Biomacromolecules 2005, 6, 885–890. [Google Scholar] [CrossRef]
- Yu, L.; Zhang, H.; Ding, J. A Subtle End-group Effect on Macroscopic Physical Gelation of Triblock Copolymer Aqueous Solutions. Angew. Chem. Int. Ed. 2006, 45, 2232–2235. [Google Scholar] [CrossRef] [PubMed]
- Zentner, G.M.; Rathi, R.; Shih, C.; McRea, J.C.; Seo, M.-H.; Oh, H.; Rhee, B.G.; Mestecky, J.; Moldoveanu, Z.; Morgan, M. Biodegradable Block Copolymers for Delivery of Proteins and Water-Insoluble Drugs. J. Control Release 2001, 72, 203–215. [Google Scholar] [CrossRef] [PubMed]
- Perinelli, D.R.; Cespi, M.; Bonacucina, G.; Palmieri, G.F. PEGylated Polylactide (PLA) and Poly (Lactic-Co-Glycolic Acid)(PLGA) Copolymers for the Design of Drug Delivery Systems. J. Pharm. Investig. 2019, 49, 443–458. [Google Scholar] [CrossRef]
- Gong, C.; Shi, S.; Wu, L.; Gou, M.; Yin, Q.; Guo, Q.; Dong, P.; Zhang, F.; Luo, F.; Zhao, X. Biodegradable in Situ Gel-Forming Controlled Drug Delivery System Based on Thermosensitive PCL–PEG–PCL Hydrogel. Part 2: Sol–Gel–Sol Transition and Drug Delivery Behavior. Acta Biomater. 2009, 5, 3358–3370. [Google Scholar] [CrossRef] [PubMed]
- Ma, G.; Miao, B.; Song, C. Thermosensitive PCL-PEG-PCL Hydrogels: Synthesis, Characterization, and Delivery of Proteins. J. Appl. Polym. Sci. 2010, 116, 1985–1993. [Google Scholar] [CrossRef]
- Gong, C.; Shi, S.; Dong, P.; Kan, B.; Gou, M.; Wang, X.; Li, X.; Luo, F.; Zhao, X.; Wei, Y. Synthesis and Characterization of PEG-PCL-PEG Thermosensitive Hydrogel. Int. J. Pharm. 2009, 365, 89–99. [Google Scholar] [CrossRef]
- Wu, Q.; Gong, C.; Shi, S.; Wang, Y.; Huang, M.; Yang, L.; Zhao, X.; Wei, Y.; Qian, Z. Mannan Loaded Biodegradable and Injectable Thermosensitive PCL-PEG-PCL Hydrogel for Vaccine Delivery. Soft Mater. 2012, 10, 472–486. [Google Scholar] [CrossRef]
- Jeong, B.; Bae, Y.H.; Kim, S.W. Thermoreversible Gelation of PEG− PLGA− PEG Triblock Copolymer Aqueous Solutions. Macromolecules 1999, 32, 7064–7069. [Google Scholar] [CrossRef]
- Gong, C.Y.; Shi, S.; Dong, P.W.; Yang, B.; Qi, X.R.; Guo, G.; Gu, Y.C.; Zhao, X.; Wei, Y.Q.; Qian, Z.Y. Biodegradable in Situ Gel-Forming Controlled Drug Delivery System Based on Thermosensitive PCL–PEG–PCL Hydrogel: Part 1—Synthesis, Characterization, and Acute Toxicity Evaluation. J. Pharm. Sci. 2009, 98, 4684–4694. [Google Scholar] [CrossRef]
- Prince, D.A.; Villamagna, I.J.; Hopkins, C.C.; de Bruyn, J.R.; Gillies, E.R. Effect of Drug Loading on the Properties of Temperature-responsive Polyester–Poly (Ethylene Glycol)–Polyester Hydrogels. Polym. Int. 2019, 68, 1074–1083. [Google Scholar] [CrossRef]
- Xie, B.; Jin, L.; Luo, Z.; Yu, J.; Shi, S.; Zhang, Z.; Shen, M.; Chen, H.; Li, X.; Song, Z. An Injectable Thermosensitive Polymeric Hydrogel for Sustained Release of Avastin® to Treat Posterior Segment Disease. Int. J. Pharm. 2015, 490, 375–383. [Google Scholar] [CrossRef] [PubMed]
- Michlovská, L.; Vojtová, L.; Humpa, O.; Kučerík, J.; Žídek, J.; Jančář, J. Hydrolytic Stability of End-Linked Hydrogels from PLGA–PEG–PLGA Macromonomers Terminated by α, ω-Itaconyl Groups. RSC Adv. 2016, 6, 16808–16816. [Google Scholar] [CrossRef]
- Zahoranova, A.; Vojtova, L.; Dusicka, E.; Michlovska, L.; Krivankova, N.; Baudis, S. Hybrid Hydrogel Networks by Photocrosslinking of Thermoresponsive α, Ω-Itaconyl-PLGA-PEG-PLGA Micelles in Water: Influence of the Lithium Phenyl-2, 4, 6-Trimethylbenzoylphosphinate Photoinitinator. Macromol. Chem. Phys. 2020, 221, 2000165. [Google Scholar] [CrossRef]
- Zhou, Y.; Cui, Y.; Wang, L.-Q. A Dual-Sensitive Hydrogel Based on Poly (Lactide-Co-Glycolide)-Polyethylene Glycol-Poly (Lactide-Co-Glycolide) Block Copolymers for 3D Printing. Int. J. Bioprinting 2021, 7, 389. [Google Scholar]
- Fletcher, N.A.; Babcock, L.R.; Murray, E.A.; Krebs, M.D. Controlled Delivery of Antibodies from Injectable Hydrogels. Mater. Sci. Eng. C 2016, 59, 801–806. [Google Scholar] [CrossRef] [PubMed]
- Agrahari, V.; Agrahari, V.; Hung, W.-T.; Christenson, L.K.; Mitra, A.K. Composite Nanoformulation Therapeutics for Long-Term Ocular Delivery of Macromolecules. Mol. Pharm. 2016, 13, 2912–2922. [Google Scholar] [CrossRef]
- Diwan, M.; Park, T.G. Pegylation Enhances Protein Stability during Encapsulation in PLGA Microspheres. J. Control Release 2001, 73, 233–244. [Google Scholar] [CrossRef] [PubMed]
- Van Tomme, S.R.; De Geest, B.G.; Braeckmans, K.; De Smedt, S.C.; Siepmann, F.; Siepmann, J.; van Nostrum, C.F.; Hennink, W.E. Mobility of Model Proteins in Hydrogels Composed of Oppositely Charged Dextran Microspheres Studied by Protein Release and Fluorescence Recovery after Photobleaching. J. Control Release 2005, 110, 67–78. [Google Scholar] [CrossRef]
- Duvvuri, S.; Janoria, K.G.; Pal, D.; Mitra, A.K. Controlled Delivery of Ganciclovir to the Retina with Drug-Loaded Poly (d, L-Lactide-Co-Glycolide)(PLGA) Microspheres Dispersed in PLGA-PEG-PLGA Gel: A Novel Intravitreal Delivery System for the Treatment of Cytomegalovirus Retinitis. J. Ocul. Pharmacol. Ther. 2007, 23, 264–274. [Google Scholar] [CrossRef]
- Liu, Y.; Chen, X.; Li, S.; Guo, Q.; Xie, J.; Yu, L.; Xu, X.; Ding, C.; Li, J.; Ding, J. Calcitonin-Loaded Thermosensitive Hydrogel for Long-Term Antiosteopenia Therapy. ACS Appl. Mater. Interfaces 2017, 9, 23428–23440. [Google Scholar] [CrossRef]
- Chen, K.; Chen, X.; Han, X.; Fu, Y. A Comparison Study on the Release Kinetics and Mechanism of Bovine Serum Albumin and Nanoencapsulated Albumin from Hydrogel Networks. Int. J. Biol. Macromol. 2020, 163, 1291–1300. [Google Scholar] [CrossRef] [PubMed]
- Wen, J.; Anderson, S.M.; Du, J.; Yan, M.; Wang, J.; Shen, M.; Lu, Y.; Segura, T. Controlled Protein Delivery Based on Enzyme-Responsive Nanocapsules. Adv. Mater. 2011, 23, 4549. [Google Scholar] [CrossRef] [PubMed]
- Bobbala, S.; Tamboli, V.; McDowell, A.; Mitra, A.K.; Hook, S. Novel Injectable Pentablock Copolymer Based Thermoresponsive Hydrogels for Sustained Release Vaccines. AAPS J. 2016, 18, 261–269. [Google Scholar] [CrossRef] [PubMed]
- Mohammadi, M.; Patel, K.; Alaie, S.P.; Shmueli, R.B.; Besirli, C.G.; Larson, R.G.; Green, J.J. Injectable Drug Depot Engineered to Release Multiple Ophthalmic Therapeutic Agents with Precise Time Profiles for Postoperative Treatment Following Ocular Surgery. Acta Biomater. 2018, 73, 90–102. [Google Scholar] [CrossRef] [PubMed]
- Chung, H.J.; Steplewski, A.; Chung, K.Y.; Uitto, J.; Fertala, A. Collagen Fibril Formation: A New Target to Limit Fibrosis. J. Biol. Chem. 2008, 283, 25879–25886. [Google Scholar] [CrossRef]
- Steplewski, A.; Fertala, J.; Tomlinson, R.E.; Wang, M.L.; Donahue, A.; Arnold, W.V.; Rivlin, M.; Beredjiklian, P.K.; Abboud, J.A.; Namdari, S. Mechanisms of Reducing Joint Stiffness by Blocking Collagen Fibrillogenesis in a Rabbit Model of Posttraumatic Arthrofibrosis. PLoS ONE 2021, 16, e0257147. [Google Scholar] [CrossRef]
- Steplewski, A.; Fertala, J.; Cheng, L.; Wang, M.L.; Rivlin, M.; Beredjiklian, P.; Fertala, A. Evaluating the Efficacy of a Thermoresponsive Hydrogel for Delivering Anti-Collagen Antibodies to Reduce Posttraumatic Scarring in Orthopedic Tissues. Gels 2023, 9, 971. [Google Scholar] [CrossRef]
- ISO 10993-5:2009; Biological Evaluation of Medical Devices—Part 5: Tests for In Vitro Cytotoxicity. ISO: Geneva, Switzerland, 2009.
- Pegram, L.M.; Record, M.T. Hofmeister Salt Effects on Surface Tension Arise from Partitioning of Anions and Cations between Bulk Water and the Air−Water Interface. J. Phys. Chem. B 2007, 111, 5411–5417. [Google Scholar] [CrossRef]
- Wang, X.; Zhang, Y.; Xue, W.; Wang, H.; Qiu, X.; Liu, Z. Thermo-Sensitive Hydrogel PLGA-PEG-PLGA as a Vaccine Delivery System for Intramuscular Immunization. J. Biomater. Appl. 2017, 31, 923–932. [Google Scholar] [CrossRef]
- Rankl, M.; Ruckstuhl, T.; Rabe, M.; Artus, G.R.J.; Walser, A.; Seeger, S. Conformational Reorientation of Immunoglobulin G During Nonspecific Interaction with Surfaces. ChemPhysChem 2006, 7, 837–846. [Google Scholar] [CrossRef]
- Vidarsson, G.; Dekkers, G.; Rispens, T. IgG Subclasses and Allotypes: From Structure to Effector Functions. Front. Immunol. 2014, 5, 520. [Google Scholar] [CrossRef] [PubMed]
- Haigh, R.; Rimmer, S.; Fullwood, N.J. Synthesis and Properties of Amphiphilic Networks. 1: The Effect of Hydration and Polymer Composition on the Adhesion of Immunoglobulin-G to Poly(Laurylmethacrylate-Stat-Glycerolmonomethacrylate-Stat-Ethylene-Glycol-Dimethacrylate) Networks. Biomaterials 2000, 21, 735–739. [Google Scholar] [CrossRef] [PubMed]
- Park, M.-R.; Chun, C.; Ahn, S.-W.; Ki, M.-H.; Cho, C.-S.; Song, S.-C. Sustained Delivery of Human Growth Hormone Using a Polyelectrolyte Complex-Loaded Thermosensitive Polyphosphazene Hydrogel. J. Control Release 2010, 147, 359–367. [Google Scholar] [CrossRef] [PubMed]
- Sun, X.; Yu, D.; Ghosh, R. Study of Hydrophobic Interaction Based Binding of Immunoglobulin G on Synthetic Membranes. J. Memb. Sci. 2009, 344, 165–171. [Google Scholar] [CrossRef]
- Arrighi, A.; Marquette, S.; Peerboom, C.; Denis, L.; Goole, J.; Amighi, K. Development of PLGA Microparticles with High Immunoglobulin G-Loaded Levels and Sustained-Release Properties Obtained by Spray-Drying a Water-in-Oil Emulsion. Int. J. Pharm. 2019, 566, 291–298. [Google Scholar] [CrossRef]
- Ahn, S.M.; Chun, J.H.; Hong, S.; Lee, C.-K.; Yoo, B.; Oh, J.S.; Kim, Y.-G. The Value of Thermal Imaging for Knee Arthritis: A Single-Center Observational Study. Yonsei Med. J. 2022, 63, 141. [Google Scholar] [CrossRef]
- Otulakowski, Ł.; Kasprów, M.; Strzelecka, A.; Dworak, A.; Trzebicka, B. Thermal Behaviour of Common Thermoresponsive Polymers in Phosphate Buffer and in Its Salt Solutions. Polymers 2020, 13, 90. [Google Scholar] [CrossRef]










| Polymer | Manufacturer Number | Sample Number a | Polyester Block Composition | Molar Mass of Blocks [Polyester–PEG–Polyester] |
|---|---|---|---|---|
| PLGA–PEG–PLGA | AK012 | P1 | LA:GA (1:1) | 1000:1000:1000 |
| PLGA–PEG–PLGA | AK024 | P2 | LA:GA (3:1) | 1100:1000:1100 |
| PLGA–PEG–PLGA | AK088 | P3 | LA:GA (3:1) | 1600:1500:1600 |
| PLGA–PEG–PLGA | AK091 | P4 | LA:GA (6:1) | 1500:1500:1500 |
| PLCL–PEG–PLCL | AK108 | P6 | CL:LA (3:1) | 1600:1500:1600 |
| Polymer | TGEL in H2O [°C] | TGEL in NaCl [°C] | Storage Modulus [E′] [kPa] | |||
|---|---|---|---|---|---|---|
| 10% | 25% | 25% | 10% H2O | 25% H2O | 25% NaCl | |
| P1 | 22.7 | 24.3 | 22.0 | 112.0 | 247.0 | 524.0 |
| P2 | 22.3 | 24.0 | 23.8 | 145.0 | 409.0 | 588.0 |
| P3 | 40.0 | 41.5 | 38.0 | 140.0 | 623.0 | 661.0 |
| P4 | 43.7 | 43.5 | 38.7 | 147.0 | 434.0 | 482.0 |
| P6 | 41.5 | 43.1 | 21.5 | 587.0 | 1162.0 | 1082.0 |
| Copolymer Mixture | TGEL in H2O [°C] | TGEL in NaCl [°C] | TGEL in NaCl with IgG [°C] | Storage Modulus (E′) [kPa] | |
|---|---|---|---|---|---|
| 25%NaCl | 25%NaCl+IgG | ||||
| P1/P3 | 33.5 | 30.8 | n.d. | 1045.0 | n.d. |
| P2/P3 | 32.9 | 30.5 | 19.5 | 968.0 | 1315.4 |
| P1/P4 | 35.0 | 33.2 | n.d. | 2294.0 | n.d. |
| P2/P4 | 33.4 | 30.5 | 29.4 | 550.0 | 700.0 |
| P2/P4/P6 | n.d. | 32.4 | 28.5 | 1200.0 | 1345.0 |
| Copolymer/Copolymer Mixture | TGEL in NaCl [°C] | TGEL in NaCl with IgG [°C] | Storage Modulus (E′) [kPa] | |
|---|---|---|---|---|
| 25%NaCl | 25%NaCl+IgG | |||
| P2M | 19.0 | n.d. | 1050.0 | n.d. |
| P4M | 28.0 | n.d. | 940.0 | n.d. |
| P2M/P4M | 26.3 | 24.4 | 842.0 | 950 |
| P2M/P4M/P6 | 28.2/33.4 * | 23.2 ** | 1750.0 | n.d. |
Disclaimer/Publisher’s Note: The statements, opinions and data contained in all publications are solely those of the individual author(s) and contributor(s) and not of MDPI and/or the editor(s). MDPI and/or the editor(s) disclaim responsibility for any injury to people or property resulting from any ideas, methods, instructions or products referred to in the content. |
© 2024 by the authors. Licensee MDPI, Basel, Switzerland. This article is an open access article distributed under the terms and conditions of the Creative Commons Attribution (CC BY) license (https://creativecommons.org/licenses/by/4.0/).
Share and Cite
Lipowska-Kur, D.; Otulakowski, Ł.; Szeluga, U.; Jelonek, K.; Utrata-Wesołek, A. Diverse Strategies to Develop Poly(ethylene glycol)–Polyester Thermogels for Modulating the Release of Antibodies. Materials 2024, 17, 4472. https://doi.org/10.3390/ma17184472
Lipowska-Kur D, Otulakowski Ł, Szeluga U, Jelonek K, Utrata-Wesołek A. Diverse Strategies to Develop Poly(ethylene glycol)–Polyester Thermogels for Modulating the Release of Antibodies. Materials. 2024; 17(18):4472. https://doi.org/10.3390/ma17184472
Chicago/Turabian StyleLipowska-Kur, Daria, Łukasz Otulakowski, Urszula Szeluga, Katarzyna Jelonek, and Alicja Utrata-Wesołek. 2024. "Diverse Strategies to Develop Poly(ethylene glycol)–Polyester Thermogels for Modulating the Release of Antibodies" Materials 17, no. 18: 4472. https://doi.org/10.3390/ma17184472
APA StyleLipowska-Kur, D., Otulakowski, Ł., Szeluga, U., Jelonek, K., & Utrata-Wesołek, A. (2024). Diverse Strategies to Develop Poly(ethylene glycol)–Polyester Thermogels for Modulating the Release of Antibodies. Materials, 17(18), 4472. https://doi.org/10.3390/ma17184472

