Improving Mechanical Performance of Self-Binding Fiberboards from Untreated Perennial Low-Input Crops by Variation of Particle Size
Abstract
1. Introduction
2. Materials and Methods
2.1. Biomasses
2.2. Fractionation and Mixture of Particle Size Blends
2.3. Hot-Pressing of Fiberboards
2.4. Mechanical Test
2.5. Reaction to Fire
2.6. Thickness Swelling and Water Absorption
2.7. Statistics
3. Results and Discussion
3.1. Mechanical Evaluation
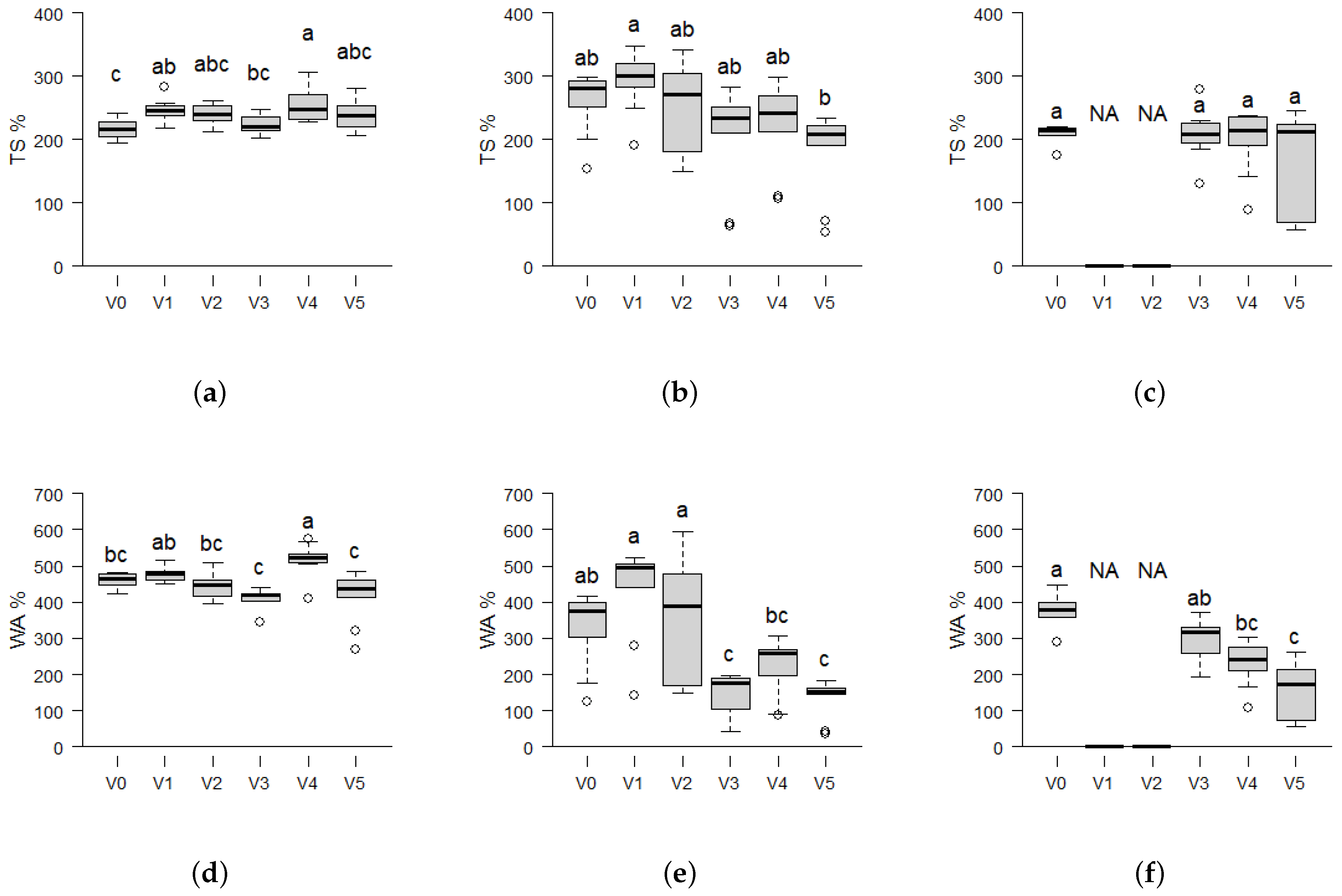
3.2. Thickness Swelling and Water Absorption
3.3. Reaction to Fire
4. Conclusions
Supplementary Materials
Author Contributions
Funding
Institutional Review Board Statement
Informed Consent Statement
Data Availability Statement
Acknowledgments
Conflicts of Interest
References
- Schmitz, F.; Rock, J.; Dunger, K.; Marks, A.; Schmidt, W.; Seintsch, B. Wald und Rohholzpotential der nächsten 40 Jahre: Ausgewählte Ergebnisse der Waldentwicklungs- und Holzaufkommensmodellierung 2013–2052; Technical report; Bundeministerium für Ernährung und Landwirtschaft, Bundeministerium für Ernährung und Landwirtschaft BMEL: Berlin, Geramny, 2016. [Google Scholar]
- Brischke, C.; Wippermann, K. Foil Storage of Storm-Felled Timber—Long-Term Monitoring of Norway Spruce Piles in Germany. Forests 2022, 13, 1918. [Google Scholar] [CrossRef]
- Lee, S.H.; Lum, W.C.; Boon, J.G.; Kristak, L.; Antov, P.; Pędzik, M.; Rogoziński, T.; Taghiyari, H.R.; Lubis, M.A.R.; Fatriasari, W.; et al. Particleboard from agricultural biomass and recycled wood waste: A review. J. Mater. Res. Technol. 2022, 20, 4630–4658. [Google Scholar] [CrossRef]
- Vitrone, F.; Ramos, D.; Ferrando, F.; Salvadó, J. Binderless fiberboards for sustainable construction. Materials, production methods and applications. J. Build. Eng. 2021, 44, 102625. [Google Scholar] [CrossRef]
- Clifton-Brown, J.; Hastings, A.; von Cossel, M.; Murphy-Bokern, D.; McCalmont, J.; Whitaker, J.; Alexopoulou, E.; Amaducci, S.; Andronic, L.; Ashman, C.; et al. Perennial biomass cropping and use: Shaping the policy ecosystem in European countries. GCB Bioenergy 2023, 15, 538–558. [Google Scholar] [CrossRef] [PubMed]
- Lexa, A.; Sängerlaub, S.; Zollner-Croll, H. Extraktion von Zellstoff aus Nicht–Holzpflanzen und Vergleich mit Holzpflanzen. Chem. Ing. Tech. 2023, 95, 1534–1545. [Google Scholar] [CrossRef]
- Mironova, G.F.; Budaeva, V.V.; Skiba, E.A.; Gismatulina, Y.A.; Kashcheyeva, E.I.; Sakovich, G.V. Recent Advances in Miscanthus Macromolecule Conversion: A Brief Overview. Int. J. Mol. Sci. 2023, 24, 3001. [Google Scholar] [CrossRef] [PubMed]
- Lewandowski, I.; Clifton-Brown, J.C.; Scurlock, J.M.O.; Huisman, W. Miscanthus: European experience with a novel energy crop. Biomass Bioenergy 2000, 19, 209–227. [Google Scholar] [CrossRef]
- Jakubowski, M. Cultivation Potential and Uses of Paulownia Wood: A Review. Forests 2022, 13, 668. [Google Scholar] [CrossRef]
- Iqbal, Y.; Kiesel, A.; Wagner, M.; Nunn, C.; Kalinina, O.; Hastings, A.F.S.J.; Clifton-Brown, J.C.; Lewandowski, I. Harvest Time Optimization for Combustion Quality of Different Miscanthus Genotypes across Europe. Front. Plant Sci. 2017, 8, 727. [Google Scholar] [CrossRef]
- Icka, P.; Damo, R.; Icka, E. Paulownia Tomentosa, a Fast Growing Timber. Ann. ”Valahia” Univ. Târgovişte Agric. 2016, 10, 14–19. [Google Scholar] [CrossRef]
- Bergrath, J.; Rumpf, J.; Burger, R.; Do, X.T.; Wirtz, M.; Schulze, M. Beyond Yield Optimization: The Impact of Organosolv Process Parameters on Lignin Structure. Macromol. Mater. Eng. 2023, 308, 2300093. [Google Scholar] [CrossRef]
- Moll, L.; Wever, C.; Völkering, G.; Pude, R. Increase of Miscanthus Cultivation with New Roles in Materials Production—A Review. Agronomy 2020, 10, 308. [Google Scholar] [CrossRef]
- Nelis, P.A.; Michaelis, F.; Krause, K.C.; Mai, C. Kiri wood (Paulownia tomentosa): Can it improve the performance of particleboards? Eur. J. Wood Wood Prod. 2018, 76, 445–453. [Google Scholar] [CrossRef]
- Okuda, N.; Sato, M. Manufacture and mechanical properties of binderless boards from kenaf core. J. Wood Sci. 2004, 50, 53–61. [Google Scholar] [CrossRef]
- Hubbe, M.A.; Pizzi, A.; Zhan, H.; Halis, R. Critical Links Governing Performance of Self-binding and Natural Binders for Hot-pressed Reconstituted Lignocellulosic Board without added Fromaldehyde: A Review. BioResources 2018, 2049–2115. [Google Scholar] [CrossRef]
- Ferrandez-Garcia, A.; Ferrandez-Garcia, M.T.; Ortuño, T.G.; Mata-Cabrera, F.; Ferrandez-Villena, M. Analysis of the Manufacturing Variables of Binderless Panels Made of Leaves of Olive Tree (Olea europaea L.) Pruning Waste. Agronomy 2022, 12, 93. [Google Scholar] [CrossRef]
- Vitrone, F.; Brinker, S.; Ramos, D.; Ferrando, F.; Salvadó, J.; Mai, C. Approaching Self-Bonded Medium Density Fiberboards Made by Mixing Steam Exploded Arundo donax L. and Wood Fibers: A Comparison with pMDI-Bonded Fiberboards on the Primary Properties of the Boards. Materials 2023, 16, 4343. [Google Scholar] [CrossRef] [PubMed]
- Hashim, R.; Said, N.; Lamaming, J.; Baskaran, M.; Sulaiman, O.; Sato, M.; Hiziroglu, S.; Sugimoto, T. Influence of press temperature on the properties of binderless particleboard made from oil palm trunk. Mater. Des. 2011, 32, 2520–2525. [Google Scholar] [CrossRef]
- Halvarsson, S.; Edlund, H.; Norgren, M. Manufacture of non-resin wheat straw fibreboards. Ind. Crops Prod. 2009, 29, 437–445. [Google Scholar] [CrossRef]
- Mancera, C.; Ferrando, F.; Salvadó, J. Cynara cardunculus as Raw Material for the Production of Binderless Fiberboards: Optimization of Pretreatment and Pressing Conditions. J. Wood Chem. Technol. 2008, 28, 207–226. [Google Scholar] [CrossRef]
- Mancera, C.; El Mansouri, N.E.; Ferrando, F.; Salvadó, J. The suitability of steam exploded Vitis vinifera and alkaline lignin for the manufacture of fiberboard. BioResources 2011, 6, 4439–4453. [Google Scholar] [CrossRef]
- Okuda, N.; Hori, K.; Sato, M. Chemical changes of kenaf core binderless boards during hot pressing (II): Effects on the binderless board properties. J. Wood Sci. 2006, 52, 249–254. [Google Scholar] [CrossRef]
- Okuda, N.; Hori, K.; Sato, M. Chemical changes of kenaf core binderless boards during hot pressing (I): Influence of the pressing temperature condition. J. Wood Sci. 2006, 52, 244–248. [Google Scholar] [CrossRef]
- Okuda, N.; Sato, M. Water resistance properties of kenaf core binderless boards. J. Wood Sci. 2006, 52, 422–428. [Google Scholar] [CrossRef]
- Okuda, N.; Sato, M. Finely milled kenaf core as a natural plywood binder. Holzforschung 2007, 61, 439–444. [Google Scholar] [CrossRef]
- Nasir, M.; Khali, D.P.; Jawaid, M.; Tahir, P.M.; Siakeng, R.; Asim, M.; Khan, T.A. Recent development in binderless fiber-board fabrication from agricultural residues: A review. Constr. Build. Mater. 2019, 211, 502–516. [Google Scholar] [CrossRef]
- Pintiaux, T.; Viet, D.; Vandenbossche, V.; Rigal, L.; Rouilly, A. Binderless materials obtained by thermo-compressive processing of lignocellulosic fibers: A comprehensive review. BioResources 2014, 10, 1915–1963. [Google Scholar] [CrossRef]
- Velásquez, J.A.; Ferrando, F.; Salvadó, J. Binderless fiberboard from steam exploded Miscanthus sinensis: The effect of a grinding process. Holz Roh-Werkst. 2002, 60, 297–302. [Google Scholar] [CrossRef]
- Uitterhaegen, E.; Labonne, L.; Merah, O.; Talou, T.; Ballas, S.; Véronèse, T.; Evon, P. Impact of Thermomechanical Fiber Pre-Treatment Using Twin-Screw Extrusion on the Production and Properties of Renewable Binderless Coriander Fiberboards. Int. J. Mol. Sci. 2017, 18, 1539. [Google Scholar] [CrossRef]
- Velásquez, J.; Ferrando, F.; Salvadó, J. Effects of kraft lignin addition in the production of binderless fiberboard from steam exploded Miscanthus sinensis. Ind. Crops Prod. 2003, 18, 17–23. [Google Scholar] [CrossRef]
- Velásquez, J.A.; Ferrando, F.; Farriol, X.; Salvadó, J. Binderless fiberboard from steam exploded Miscanthus sinensis. Wood Sci. Technol. 2003, 37, 269–278. [Google Scholar] [CrossRef]
- Velásquez, J.A.; Ferrando, F.; Salvadó, J. Binderless fiberboard from steam exploded Miscanthus Sinensis: Optimization of pressing and pretreatment conditions. Wood Sci. Technol. 2003, 37, 279–286. [Google Scholar] [CrossRef]
- Ramos, D.; Salvadó, J.; Fernando, F. High Mechanical Performance Boards Made from Fibers of Arundo donax without Added Adhesives. BioResources 2017, 12, 5383–5394. [Google Scholar] [CrossRef]
- Hashim, R.; Nadhari, W.N.A.W.; Sulaiman, O.; Kawamura, F.; Hiziroglu, S.; Sato, M.; Sugimoto, T.; Seng, T.G.; Tanaka, R. Characterization of raw materials and manufactured binderless particleboard from oil palm biomass. Mater. Des. 2011, 32, 246–254. [Google Scholar] [CrossRef]
- Tajuddin, M.; Ahmad, Z.; Ismail, H. A review of natural fibers and processing operations for the production of binderless boards. BioResources 2016, 11, 5600–5617. [Google Scholar] [CrossRef]
- Fahmy, T.Y.A.; Mobarak, F. Advanced binderless board-like green nanocomposites from undebarked cotton stalks and mechanism of self-bonding. Cellulose 2013, 20, 1453–1457. [Google Scholar] [CrossRef]
- Zhang, D.; Zhang, A.; Xue, L. A review of preparation of binderless fiberboards and its self-bonding mechanism. Wood Sci. Technol. 2015, 49, 661–679. [Google Scholar] [CrossRef]
- DIN EN 310; Wood-Based Panels—Determination of Modulus of Elasticity in Bending and of bendiNg Strength. European Committee for Standardization: Brussels, Belgium, 1993.
- DIN EN 622-2; Fibreboards—Specifications—Part 2: Requirements for Hardboards. European Committee for Standardization: Brussels, Belgium, 2004.
- ISO 11925-2; Reaction to Fire Tests—Ignitability of Products Subjected to Direct Impingement of Flame—Part 2: Single-Flame Source Test. International Organization for Standardization: Geneva, Switzerland, 2020.
- EN 13501-1; Fire Classification of construction Products and Building Elements—Part 1: Classification Using Data from Reaction to Fire Tests. European Committee for Standardization: Brussels, Belgium, 2018.
- DIN EN 317; Particleboards and Fibreboards—Determination of Swelling in Thickness after Immersion in Water. European Committee for Standardization: Brussels, Belgium, 1993.
- Kaack, K.; Schwarz, K.U.; Brander, P. Variation in morphology, anatomy and chemistry of stems of Miscanthus genotypes differing in mechanical properties. Ind. Crops Prod. 2003, 17, 131–142. [Google Scholar] [CrossRef]
- Pude, R.; Treseler, C.; Trettin, R.; Noga, G. Suitability of Miscanthus Genotypes for Lightweight Concrete. Bodenkultur 2005, 56, 61–69. [Google Scholar]
- Kalaycioglu, H.; Deniz, I.; Hiziroglu, S. Some of the properties of particleboard made from Paulownia. J. Wood Sci. 2005, 51, 410–414. [Google Scholar] [CrossRef]
- Zhang, L.; Larsson, A.; Moldin, A.; Edlund, U. Comparison of lignin distribution, structure, and morphology in wheat straw and wood. Ind. Crops Prod. 2022, 187, 115432. [Google Scholar] [CrossRef]
- Bergs, M.; Monakhova, Y.; Diehl, B.W.; Konow, C.; Völkering, G.; Pude, R.; Schulze, M. Lignins Isolated via Catalyst-Free Organosolv Pulping from Miscanthus x giganteus, M. sinensis, M. robustus and M. nagara: A Comparative Study. Molecules 2021, 26, 842. [Google Scholar] [CrossRef] [PubMed]
- Bergs, M.; Völkering, G.; Kraska, T.; Pude, R.; Do, X.T.; Kusch, P.; Monakhova, Y.; Konow, C.; Schulze, M. Miscanthus x giganteus Stem Versus Leaf-Derived Lignins Differing in Monolignol Ratio and Linkage. Int. J. Mol. Sci. 2019, 20, 1200. [Google Scholar] [CrossRef] [PubMed]
- Choi, J.W.; Choi, D.H.; Faix, O. Characterization of lignin-carbohydrate linkages in the residual lignins isolated from chemical pulps of spruce (Picea abies) and beech wood (Fagus sylvatica). J. Wood Sci. 2007, 53, 309–313. [Google Scholar] [CrossRef]
- Du, X.; Pérez-Boada, M.; Fernández, C.; Rencoret, J.; del Río, J.C.; Jiménez-Barbero, J.; Li, J.; Gutiérrez, A.; Martínez, A.T. Analysis of lignin-carbohydrate and lignin-lignin linkages after hydrolase treatment of xylan-lignin, glucomannan-lignin and glucan-lignin complexes from spruce wood. Planta 2014, 239, 1079–1090. [Google Scholar] [CrossRef] [PubMed]
- Čabalová, I.; Bélik, M.; Kučerová, V.; Jurczyková, T. Chemical and Morphological Composition of Norway Spruce Wood (Picea abies L.) in the Dependence of Its Storage. Polymers 2021, 13, 1619. [Google Scholar] [CrossRef] [PubMed]
- Yavrov, N.; Petrin, S.T.; Valchev, I. Potential of fast growing poplar, willow and paulownia for bioenergy production. Bulg. Chem. Commun. 2015, 47, 4–9. [Google Scholar]
- Akyildiz, M.; Kol, H. Some technological properties and uses of paulownia (Paulownia tomentosa Steud.) wood. J. Environ. Biol. 2010, 31, 351–355. [Google Scholar] [PubMed]
- Gryc, V.; Horáček, P. Variability in density of spruce (Picea abies [L.] Karst.) wood with the presence of reaction wood. J. For. Sci. 2007, 53, 129–137. [Google Scholar] [CrossRef]
- Gößwald, J.; Barbu, M.C.; Petutschnigg, A.; Tudor, E.M. Binderless Thermal Insulation Panels Made of Spruce Bark Fibres. Polymers 2021, 13, 1799. [Google Scholar] [CrossRef]
- Li, P.; Oda, J. Flame retardancy of paulownia wood and its mechanism. J. Mater. Sci. 2007, 42, 8544–8550. [Google Scholar] [CrossRef][Green Version]
- Lowden, L.; Hull, T. Flammability behavior of wood and a review of the methods for its reduction. Fire Sci. Rev. 2013, 2, 4. [Google Scholar] [CrossRef]
- Mahieu, A.; Alix, S.; Leblanc, N. Properties of particleboards made of agricultural by-products with a classical binder or self-bound. Ind. Crops Prod. 2019, 130, 371–379. [Google Scholar] [CrossRef]
- Essid, S.; Hegde, V.J.; Mahieu, A.; Bizet, L.; Leblanc, N.; Saouab, A. Comparison of the properties of flax shives based particleboards prepared using binders of bio-based lignin and partially bio-based epoxy resin. Int. J. Adhes. Adhes. 2021, 109, 102915. [Google Scholar] [CrossRef]









| Label | Powder <0.25 mm | Particles 0.25–0.5 mm |
|---|---|---|
| V0 | Control | Control |
| V1 | 0% | 100% |
| V2 | 25% | 75% |
| V3 | 50% | 50% |
| V4 | 75% | 25% |
| V5 | 100% | 0% |
| Biomass | Slope [10−6 N m kg−1] | Intersect [N mm−2] | R2 | Source |
|---|---|---|---|---|
| Picea | 9.29 | −6507 | 0.93 | Figure 7a |
| Paulownia | 6.82 | −4020 | 0.72 | Figure 7b |
| Miscanthus | 12.53 | −9330 | 0.90 | Figure 7c |
| Kenaf | 9.26 | −4659 | 0.96 | [15] |
Disclaimer/Publisher’s Note: The statements, opinions and data contained in all publications are solely those of the individual author(s) and contributor(s) and not of MDPI and/or the editor(s). MDPI and/or the editor(s) disclaim responsibility for any injury to people or property resulting from any ideas, methods, instructions or products referred to in the content. |
© 2024 by the authors. Licensee MDPI, Basel, Switzerland. This article is an open access article distributed under the terms and conditions of the Creative Commons Attribution (CC BY) license (https://creativecommons.org/licenses/by/4.0/).
Share and Cite
Moll, L.; Klein, A.; Heidemann, S.J.; Völkering, G.; Rumpf, J.; Pude, R. Improving Mechanical Performance of Self-Binding Fiberboards from Untreated Perennial Low-Input Crops by Variation of Particle Size. Materials 2024, 17, 3982. https://doi.org/10.3390/ma17163982
Moll L, Klein A, Heidemann SJ, Völkering G, Rumpf J, Pude R. Improving Mechanical Performance of Self-Binding Fiberboards from Untreated Perennial Low-Input Crops by Variation of Particle Size. Materials. 2024; 17(16):3982. https://doi.org/10.3390/ma17163982
Chicago/Turabian StyleMoll, Lüders, Alexander Klein, Sören Jannis Heidemann, Georg Völkering, Jessica Rumpf, and Ralf Pude. 2024. "Improving Mechanical Performance of Self-Binding Fiberboards from Untreated Perennial Low-Input Crops by Variation of Particle Size" Materials 17, no. 16: 3982. https://doi.org/10.3390/ma17163982
APA StyleMoll, L., Klein, A., Heidemann, S. J., Völkering, G., Rumpf, J., & Pude, R. (2024). Improving Mechanical Performance of Self-Binding Fiberboards from Untreated Perennial Low-Input Crops by Variation of Particle Size. Materials, 17(16), 3982. https://doi.org/10.3390/ma17163982

