Effect of Triterpenoid Saponins as Foaming Agent on Mechanical Properties of Geopolymer Foam Concrete
Abstract
1. Introduction
2. Materials and Methods
2.1. Materials
2.2. Preparation of Precast Foams
2.3. Preparation of GFC
2.4. GFC Test Methods
3. Results and Discussion
3.1. Fluidity
3.2. Dry Apparent Density
3.3. Porosity and Pore Structure
3.4. Compressive Strength
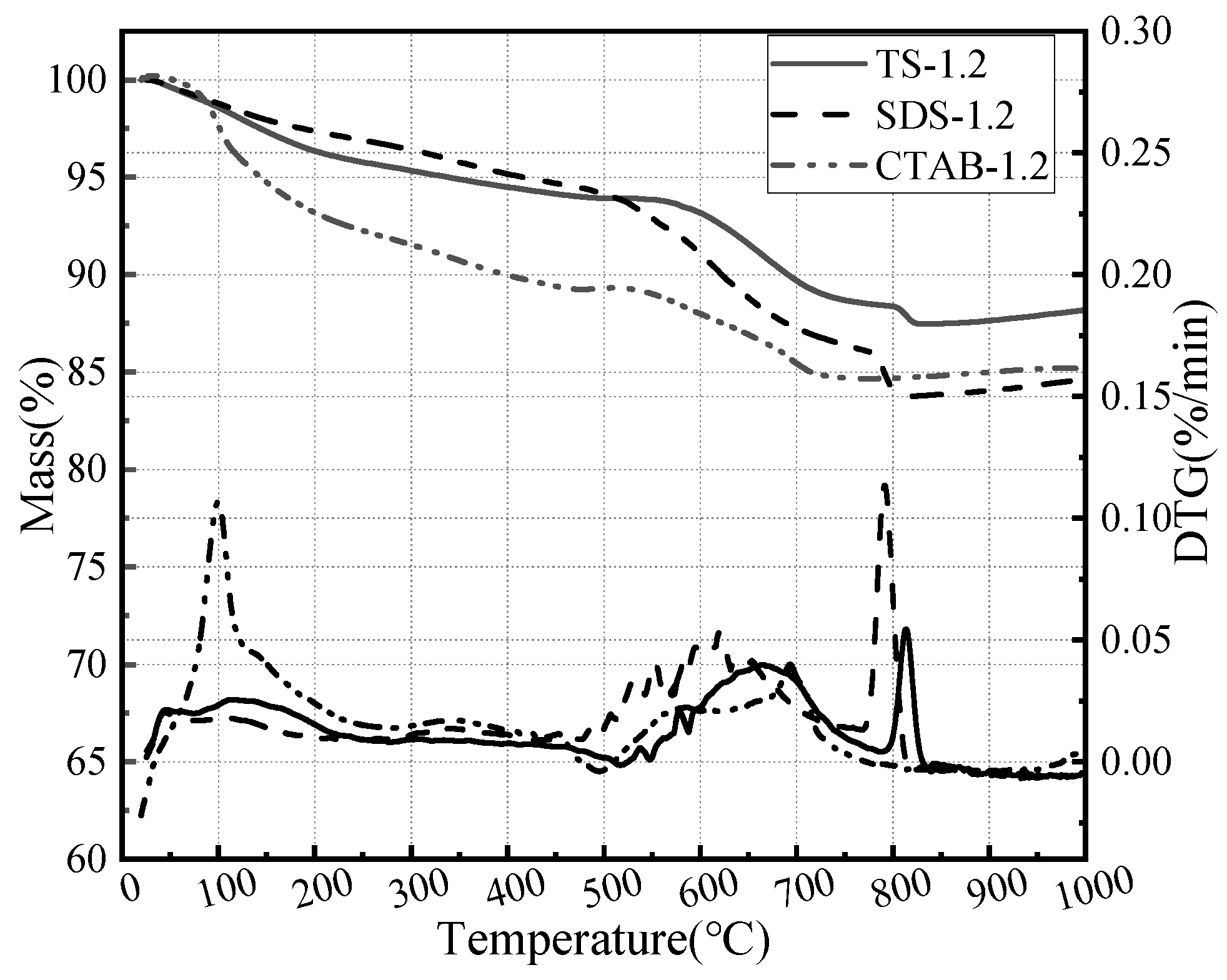
3.5. Hydration Analysis
3.6. Mechanism Analysis
4. Conclusions
- (1)
- The choice of foaming agent significantly affects the performance of GFC, especially in its freshly mixed state. Notably, GFC prepared with TS foaming agent demonstrates the highest stability.
- (2)
- Foaming agents affect the hydration process of GFC, and the morphology of the hydration products formed varies considerably. TS shows a better water retention effect due to hydrogen bonding, promoting the hydration process.
- (3)
- The porosity and pore structure are also significantly influenced by the foaming agents. If the foam is poorly stabilized, it cannot resist the destructive effects of the GFC alkali reaction process, and thus, the pore connectivity is high and the pore structure is poor. TS is highly stable in the GFC matrix, so the corresponding pore size is small, and the connectivity is low in the hardened GFC.
Author Contributions
Funding
Institutional Review Board Statement
Informed Consent Statement
Data Availability Statement
Conflicts of Interest
References
- Ramamurthy, K.; Nambiar, E.K.K.; Ranjani, G.I.S. A classification of studies on properties of foam concrete. Cem. Concr. Compos. 2009, 31, 388–396. [Google Scholar] [CrossRef]
- Zhang, Z.; Provis, J.L.; Reid, A.; Wang, H. Geopolymer foam concrete: An emerging material for sustainable construction. Constr. Build. Mater. 2014, 56, 113–127. [Google Scholar] [CrossRef]
- Chica, L.; Alzate, A. Cellular concrete review: New trends for application in construction. Constr. Build. Mater. 2019, 200, 637–647. [Google Scholar] [CrossRef]
- Kunche, A.; Mielczarek, B. Application of System Dynamic Modelling for Evaluation of CO2 Emissions and Expenditure for Captive Power Generation Scenarios in the Cement Industry. Energies 2021, 14, 3115. [Google Scholar] [CrossRef]
- Klemczak, B.; Gołaszewski, J.; Cygan, G.; Gołaszewska, M.; Jonkers, H.; Zhilyaev, D.; Koenders, E.A.B. Utilization of waste foam concrete with MPCM as a substitution material for cement in mortars. J. Build. Eng. 2024, 90, 109284. [Google Scholar] [CrossRef]
- Alharthai, M.; Mydin, M.A.O.; Kaze, R.C.; Majeed, S.S.; Tayeh, B.A. Properties of ultra lightweight foamed concrete utilizing agro waste ashes as an alkaline activated material. J. Build. Eng. 2024, 90, 109347. [Google Scholar] [CrossRef]
- Liu, X.; Lu, M.; Sheng, K.; Shao, Z.; Yao, Y.; Hong, B. Development of new material for geopolymer lightweight cellular concrete and its cementing mechanism. Constr. Build. Mater. 2023, 367, 130253. [Google Scholar] [CrossRef]
- Vishavkarma, A.; Venkatanarayanan, H.K. Assessment of pore structure of foam concrete containing slag for improved durability performance in reinforced concrete applications. J. Build. Eng. 2024, 86, 108939. [Google Scholar] [CrossRef]
- Mo, K.H.; Alengaram, U.J.; Jumaat, M.Z. Structural performance of reinforced geopolymer concrete members: A review. Constr. Build. Mater. 2016, 120, 251–264. [Google Scholar] [CrossRef]
- Hlaváček, P.; Šmilauer, V.; Škvára, F.; Kopecký, L.; Šulc, R. Inorganic foams made from alkali-activated fly ash: Mechanical, chemical and physical properties. J. Eur. Ceram. Soc. 2015, 35, 703–709. [Google Scholar] [CrossRef]
- Moradikhou, A.B.; Safehian, M.; Golafshani, E.M. High-strength geopolymer concrete based on coal washing waste. Constr. Build. Mater. 2023, 362, 129675. [Google Scholar] [CrossRef]
- Hajimohammadi, A.; Ngo, T.; Mendis, P.; Kashani, A.; van Deventer, J.S.J. Alkali activated slag foams: The effect of the alkali reaction on foam characteristics. J. Clean. Prod. 2017, 147, 330–339. [Google Scholar] [CrossRef]
- Zhang, M.; Li, J.; Bian, P.; Gao, P.; Guo, B.; Zhan, B.; Yu, Q. Investigation of the evolutionary behavior and stabilization mechanism of foams with different properties in cement paste. Constr. Build. Mater. 2024, 426, 135875. [Google Scholar] [CrossRef]
- Gimenez-Ribes, G.; Habibi, M.; Sagis, L.M.C. Interfacial rheology and relaxation behavior of adsorption layers of the triterpenoid saponin Escin. J. Colloid Interface Sci. 2020, 563, 281–290. [Google Scholar] [CrossRef] [PubMed]
- Li, Y.; Liu, X.; Liu, H.; Zhu, L. Interfacial adsorption behavior and interaction mechanism in saponin–protein composite systems: A review. Food Hydrocoll. 2023, 136, 108295. [Google Scholar] [CrossRef]
- Yusuf, M.; Wathon, M.H.; Thanasaksukthawee, V.; Saul, A.; Tangparitkul, S. Adsorption of Saponin Natural Surfactant on Carbonate Rock and Comparison to Synthetic Surfactants: An Enhanced Oil Recovery Prospective. Energy Fuels 2021, 35, 11193–11202. [Google Scholar] [CrossRef]
- Jones, M.R.; Ozlutas, K.; Zheng, L. Stability and instability of foamed concrete. Mag. Concr. Res. 2016, 68, 542–549. [Google Scholar] [CrossRef]
- Hajimohammadi, A.; Ngo, T.; Mendis, P.; Sanjayan, J. Regulating the chemical foaming reaction to control the porosity of geopolymer foams. Mater. Des. 2017, 120, 255–265. [Google Scholar] [CrossRef]
- Nguyen, T.T.; Bui, H.H.; Ngo, T.D.; Nguyen, G.D.; Kreher, M.U.; Darve, F. A micromechanical investigation for the effects of pore size and its distribution on geopolymer foam concrete under uniaxial compression. Eng. Fract. Mech. 2019, 209, 228–244. [Google Scholar] [CrossRef]
- Guo, Y.; Chen, X.; Chen, B.; Wen, R.; Wu, P. Analysis of foamed concrete pore structure of railway roadbed based on X-ray computed tomography. Constr. Build. Mater. 2021, 273, 121773. [Google Scholar] [CrossRef]
- Liu, C.; Liu, G. Characterization of pore structure parameters of foam concrete by 3D reconstruction and image analysis. Constr. Build. Mater. 2021, 267, 120958. [Google Scholar] [CrossRef]
- Hilal, A.A.; Thom, N.H.; Dawson, A.R. On entrained pore size distribution of foamed concrete. Constr. Build. Mater. 2015, 75, 227–233. [Google Scholar] [CrossRef]
- Jiang, J.; Lu, Z.; Niu, Y.; Li, J.; Zhang, Y. Study on the preparation and properties of high-porosity foamed concretes based on ordinary Portland cement. Mater. Des. 2016, 92, 949–959. [Google Scholar] [CrossRef]
- Nguyen, T.T.; Bui, H.H.; Ngo, T.D.; Nguyen, G.D. Experimental and numerical investigation of influence of air-voids on the compressive behaviour of foamed concrete. Mater. Des. 2017, 130, 103–119. [Google Scholar] [CrossRef]
- Wang, Z.; Wu, K.; Liu, S.; Huang, L.; Zhang, X.; Li, M. Correlation between microstructure characteristics and macroscopic behaviors of alkali residue-based foamed concrete. J. Sustain. Cem. -Based Mater. 2017, 13, 197–212. [Google Scholar] [CrossRef]
- Chung, S.-Y.; Kim, J.-S.; Lehmann, C.; Stephan, D.; Han, T.-S.; Elrahman, M.A. Investigation of phase composition and microstructure of foamed cement paste with different supplementary cementing materials. Cem. Concr. Compos. 2020, 109, 103560. [Google Scholar] [CrossRef]
- Hilal, A.A.; Thom, N.H.; Dawson, A.R. On void structure and strength of foamed concrete made without/with additives. Constr. Build. Mater. 2015, 85, 157–164. [Google Scholar] [CrossRef]
- Liu, M.; Zhang, H.; Lv, B.; Du, C.; Wang, J. Investigation on the yield and failure criterion of foamed concrete. J. Build. Eng. 2024, 84, 108604. [Google Scholar] [CrossRef]
- He, J.; Gao, Q.; Song, X.; Bu, X.; He, J. Effect of foaming agent on physical and mechanical properties of alkali-activated slag foamed concrete. Constr. Build. Mater. 2019, 226, 280–287. [Google Scholar] [CrossRef]
- Hou, L.; Li, J.; Lu, Z.; Niu, Y. Influence of foaming agent on cement and foam concrete. Constr. Build. Mater. 2021, 280, 122399. [Google Scholar] [CrossRef]
- Hou, L.; Li, J.; Lu, Z.; Niu, Y.; Jiang, J.; Li, T. Effect of nanoparticles on foaming agent and the foamed concrete. Constr. Build. Mater. 2019, 227, 116698. [Google Scholar] [CrossRef]
- Selija, K.; Gandhi, I.S.R. Comprehensive investigation into the effect of the newly developed natural foaming agents and water to solids ratio on foam concrete behaviour. J. Build. Eng. 2022, 58, 105042. [Google Scholar] [CrossRef]
- Zhong, L.; Wang, Z.; Fang, Y. Evaluation of foam inducing and foam stabilizing properties of different kinds of concrete air entraining agents. J. Phys. Conf. Ser. 2021, 1885, 022022. [Google Scholar] [CrossRef]
- Gökçe, H.S.; Hatungimana, D.; Ramyar, K. Effect of fly ash and silica fume on hardened properties of foam concrete. Constr. Build. Mater. 2019, 194, 1–11. [Google Scholar] [CrossRef]
- Panesar, D.K. Cellular concrete properties and the effect of synthetic and protein foaming agents. Constr. Build. Mater. 2013, 44, 575–584. [Google Scholar] [CrossRef]
- Matsubara, H.; Kimura, T.; Miyao, R.; Shin, Y.; Ikeda, N. Relation between ionic surfactant concentration and thickness of foam film stabilized by ionic—Nonionic surfactant mixed adsorbed films. Colloids Surf. A Physicochem. Eng. Asp. 2021, 625, 126915. [Google Scholar] [CrossRef]
- Liu, H.; Shen, C.; Li, J.; Zhang, G.; Wang, Y.; Wan, H. Study on the Effect of Foam Stability on the Properties of Foamed Lightweight Soils. Materials 2023, 16, 6225. [Google Scholar] [CrossRef] [PubMed]
- He, J.; Liu, G.; Sang, G.; He, J.; Wu, Y. Investigation on foam stability of multi-component composite foaming agent. Constr. Build. Mater. 2023, 391, 131799. [Google Scholar] [CrossRef]
- Mydin, M.A.O.; Jagadesh, P.; Bahrami, A.; Dulaimi, A.; Ozkilic, Y.O.; Omar, R. Enhanced fresh and hardened properties of foamed concrete modified with nano-silica. Heliyon 2024, 10, e25858. [Google Scholar] [CrossRef]
- Zhang, C.; Fan, D.; Lu, J.-X.; Pang, C.; Poon, C.S. Ultra-stable foam enabled by nano silica engineering for foam concrete improvement. Cem. Concr. Compos. 2024, 150, 105575. [Google Scholar] [CrossRef]
- Pan, D.; Yan, S.; Liu, X.; Sun, X.; Wu, Y.; Wang, X.; Dan, J.; Yang, X.; Wang, J. Development of solid waste-based self-insulating material with high strength and low thermal conductivity. Ceram. Int. 2023, 49, 5239–5248. [Google Scholar] [CrossRef]
- JC/T 2550-2019; Self-Insulation Foamed Concrete Blocks. China Building Materials Press: Beijing, China, 2019.
- GB/T 8077-2012; Methods for Testing Uniformity of Concrete Admixture. State General Administration of the People’s Republic of China for Quality Supervision and Inspection and Quarantine. Standardization Administration of China: Beijing, China, 2012.
- Bian, P.; Zhang, M.; Yu, Q.; Zhan, B.; Gao, P.; Guo, B.; Chen, Y. Prediction model of compressive strength of foamed concrete considering pore size distribution. Constr. Build. Mater. 2023, 409, 133705. [Google Scholar] [CrossRef]
- Liu, Q.; Chen, Z.; Yang, Y. Study of the Air-Entraining Behavior Based on the Interactions between Cement Particles and Selected Cationic, Anionic and Nonionic Surfactants. Materials 2020, 13, 3514. [Google Scholar] [CrossRef]
- Tang, C.; Mu, X.; Ni, W.; Xu, D.; Li, K. Study on Effects of Refining Slag on Properties and Hydration of Cemented Solid Waste-Based Backfill. Materials 2022, 15, 8338. [Google Scholar] [CrossRef]
- Deboucha, W.; Leklou, N.; Khelidj, A.; Oudjit, M.N. Hydration development of mineral additives blended cement using thermogravimetric analysis (TGA): Methodology of calculating the degree of hydration. Constr. Build. Mater. 2017, 146, 687–701. [Google Scholar] [CrossRef]
- Villagrán-Zaccardi, Y.A.; Egüez-Alava, H.; De Buysser, K.; Gruyaert, E.; De Belie, N. Calibrated quantitative thermogravimetric analysis for the determination of portlandite and calcite content in hydrated cementitious systems. Mater. Struct. 2017, 50, 179. [Google Scholar] [CrossRef]
- Golemanov, K.; Tcholakova, S.; Denkov, N.; Pelan, E.; Stoyanov, S.D. The role of the hydrophobic phase in the unique rheological properties of saponin adsorption layers. Soft Matter 2014, 10, 7034–7044. [Google Scholar] [CrossRef]
- Yakovlev, G.; Drochytka, R.; Skripkiūnas, G.; Urkhanova, L.; Polyanskikh, I.; Pudov, I.; Karpova, E.; Saidova, Z.; Elrefai, A.E.M.M. Effect of Ultrafine Additives on the Morphology of Cement Hydration Products. Crystals 2021, 11, 1002. [Google Scholar] [CrossRef]
- Ma, H.; Li, X.; Zheng, X.; Niu, X.; Fang, Y. Effect of active MgO on the hydration kinetics characteristics and microstructures of alkali-activated fly ash-slag materials. Constr. Build. Mater. 2022, 361, 129677. [Google Scholar] [CrossRef]
- Guo, H.; Wang, Q.; Li, W.; Feng, X.; Yang, J.; Cao, J.; Shen, T.; Qin, X.; Liu, Y.; Gui, Y.; et al. Phase transformation and physical properties of binding materials fabricated from solid waste FGD gypsum by oil bath heating and the micromorphology and formation mechanism of their hydration products. Constr. Build. Mater. 2023, 377, 130981. [Google Scholar] [CrossRef]













| Material | SiO2 | Al2O3 | CaO | Fe2O3 | MgO | NaO | SO3 | Other | Loss on Ignition |
|---|---|---|---|---|---|---|---|---|---|
| FA | 41.43 | 18.90 | 15.10 | 10.25 | 4.28 | 4.13 | 2.43 | 3.48 | 5.40 |
| CE | 18.71 | 3.93 | 64.77 | 4.24 | 1.77 | 0.90 | 3.32 | 2.36 | 5.09 |
| SL | 27.51 | 11.93 | 47.64 | 0.40 | 7.38 | 0.47 | 2.55 | 2.12 | 5.34 |
| CS | 4.62 | 1.87 | 91.41 | 0.38 | - | - | 0.90 | 0.82 | 1.67 |
| SiO2 | Al2O3 | K2O | Fe2O3 | Other | Flotation Rate (%) | Thermal Conductivity W/(m·k) | Density (kg·m−3) |
|---|---|---|---|---|---|---|---|
| 58.80 | 28.72 | 3.60 | 2.40 | 6.48 | 80.00 | 0.05 | 360 |
| FA (g) | CE (g) | SL (g) | CS (g) | GS (g) | MS (g) | HGB (g) | W/S |
|---|---|---|---|---|---|---|---|
| 285 | 120 | 60 | 30 | 30 | 15 | 60 | 0.45 |
| Mix | Target Density (kg/m3) | Foaming Agent | Geopolymer (g) | Foam (mL) | Actual Average Density (kg/m3) |
|---|---|---|---|---|---|
| SDS-0.4 | 850 | SDS | 600 | 200 | 888.6 |
| SDS-0.6 | 750 | SDS | 600 | 300 | 742.6 |
| SDS-0.8 | 650 | SDS | 600 | 400 | 659.3 |
| SDS-1 | 600 | SDS | 600 | 500 | 606.4 |
| SDS-1.2 | 550 | SDS | 600 | 600 | 553.2 |
| CTAB-0.4 | 850 | CTAB | 600 | 200 | 904.0 |
| CTAB-0.6 | 750 | CTAB | 600 | 300 | 742.3 |
| CTAB-0.8 | 650 | CTAB | 600 | 400 | 634.9 |
| CTAB-1 | 600 | CTAB | 600 | 500 | 556.5 |
| CTAB-1.2 | 550 | CTAB | 600 | 600 | - |
| TS-0.4 | 850 | TS | 600 | 200 | 886.8 |
| TS-0.6 | 750 | TS | 600 | 300 | 735.2 |
| TS-0.8 | 650 | TS | 600 | 400 | 656.6 |
| TS-1 | 600 | TS | 600 | 500 | 612.9 |
| TS-1.2 | 550 | TS | 600 | 600 | 550.6 |
Disclaimer/Publisher’s Note: The statements, opinions and data contained in all publications are solely those of the individual author(s) and contributor(s) and not of MDPI and/or the editor(s). MDPI and/or the editor(s) disclaim responsibility for any injury to people or property resulting from any ideas, methods, instructions or products referred to in the content. |
© 2024 by the authors. Licensee MDPI, Basel, Switzerland. This article is an open access article distributed under the terms and conditions of the Creative Commons Attribution (CC BY) license (https://creativecommons.org/licenses/by/4.0/).
Share and Cite
Wang, X.; Wu, Y.; Li, X.; Li, Y.; Tang, W.; Dan, J.; Hong, C.; Wang, J.; Yang, X. Effect of Triterpenoid Saponins as Foaming Agent on Mechanical Properties of Geopolymer Foam Concrete. Materials 2024, 17, 3921. https://doi.org/10.3390/ma17163921
Wang X, Wu Y, Li X, Li Y, Tang W, Dan J, Hong C, Wang J, Yang X. Effect of Triterpenoid Saponins as Foaming Agent on Mechanical Properties of Geopolymer Foam Concrete. Materials. 2024; 17(16):3921. https://doi.org/10.3390/ma17163921
Chicago/Turabian StyleWang, Xiaoyu, Yangyang Wu, Xiangguo Li, Yuheng Li, Wen Tang, Jianming Dan, Chenglin Hong, Jinyu Wang, and Xiaoqiang Yang. 2024. "Effect of Triterpenoid Saponins as Foaming Agent on Mechanical Properties of Geopolymer Foam Concrete" Materials 17, no. 16: 3921. https://doi.org/10.3390/ma17163921
APA StyleWang, X., Wu, Y., Li, X., Li, Y., Tang, W., Dan, J., Hong, C., Wang, J., & Yang, X. (2024). Effect of Triterpenoid Saponins as Foaming Agent on Mechanical Properties of Geopolymer Foam Concrete. Materials, 17(16), 3921. https://doi.org/10.3390/ma17163921

