Chalcogen Doping in SnO2: A DFT Investigation of Optical and Electronic Properties for Enhanced Photocatalytic Applications
Abstract
1. Introduction
2. Materials and Methods
3. Results and Discussion
3.1. Formation Energies and Structural Optimisation
3.2. Electronic Properties
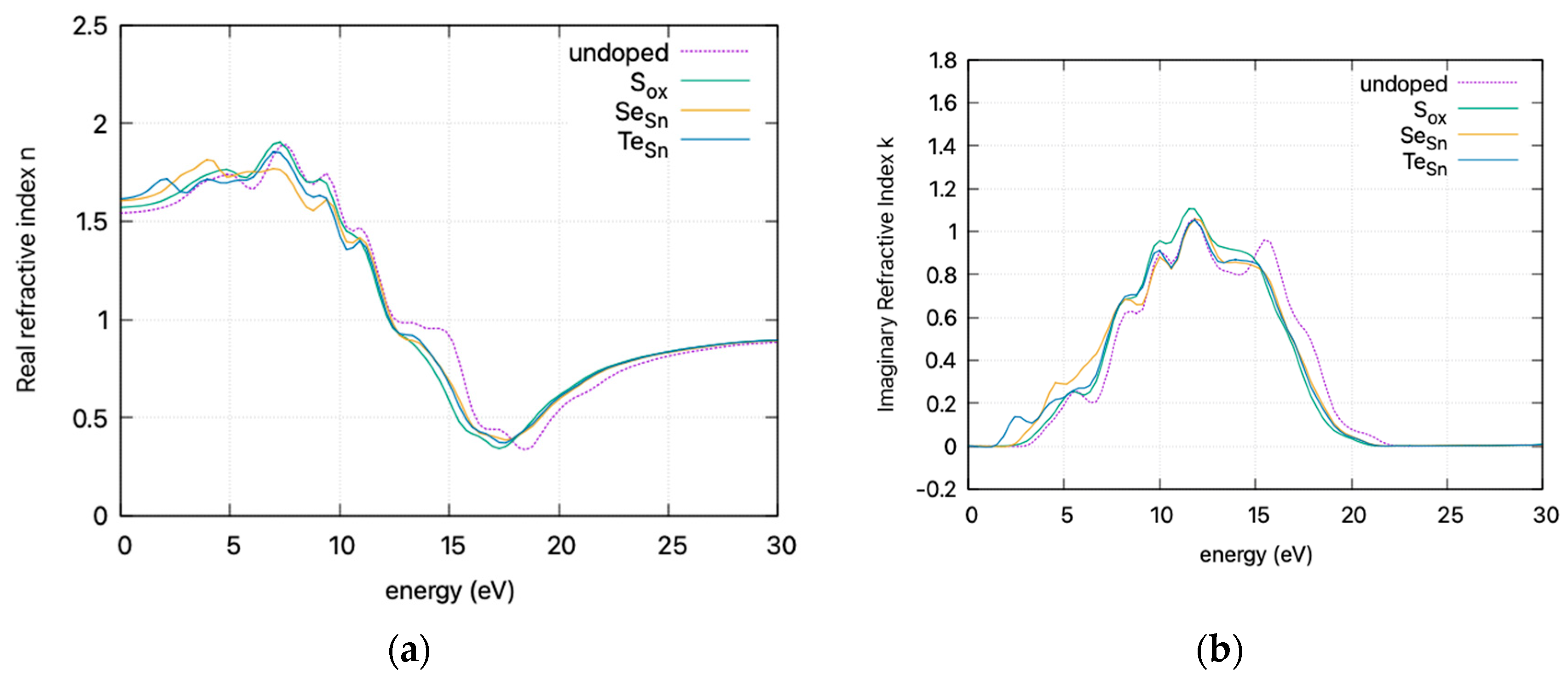
3.3. Optical Properties
4. Conclusions
Supplementary Materials
Author Contributions
Funding
Institutional Review Board Statement
Informed Consent Statement
Data Availability Statement
Acknowledgments
Conflicts of Interest
References
- Batzill, M.; Diebold, U. The surface and materials science of tin oxide. Prog. Surf. Sci. 2005, 79, 47–154. [Google Scholar] [CrossRef]
- Li, B.; Zhou, Q.; Peng, S.; Liao, Y. Recent Advances of SnO2-Based Sensors for Detecting Volatile Organic Compounds. Front. Chem. 2020, 8, 321. [Google Scholar] [CrossRef] [PubMed]
- Khan, M.M.; Adil, S.F.; Al-Mayouf, A. Metal oxides as photocatalysts. J. Saudi Chem. Soc. 2015, 19, 462–464. [Google Scholar] [CrossRef]
- Dixon, D.; Ávila, M.; Ehrenberg, H.; Bhaskar, A. Difference in Electrochemical Mechanism of SnO2 Conversion in Lithi-um-Ion and Sodium-Ion Batteries: Combined in Operando and Ex Situ XAS Investigations. ACS Appl. Energy Mater. 2020, 3, 5552–5562. [Google Scholar]
- Wu, P.; Wang, S.; Li, X.; Zhang, F. Advances in SnO2-based perovskite solar cells: From preparation to photovoltaic applica-tions. J. Mater. Chem. A 2021, 9, 19554–19588. [Google Scholar] [CrossRef]
- Ma, Y.; Li, L.; Qian, J.; Qu, W.; Luo, R.; Wu, F.; Chen, R. Materials and structure engineering by magnetron sputtering for advanced lithium batteries. Energy Storage Mater. 2021, 39, 203–224. [Google Scholar] [CrossRef]
- Ko, Y.; Kim, Y.R.; Jang, H.; Chanyong, L.; Kang, M.G.; Jun, Y. Electrodeposition of SnO2 on FTO and its Application in Planar Heterojunction Perovskite Solar Cells as an Electron Transport Layer. Nanoscale Res. Lett. 2017, 12, 498. [Google Scholar] [CrossRef] [PubMed]
- Periyasamy, M.; Kar, A. Modulating the properties of SnO2 nanocrystals: Morphological effects on structural, photolumi-nescence, photocatalytic, electrochemical and gas sensing properties. J. Mater. Chem. C 2020, 8, 4604–4635. [Google Scholar] [CrossRef]
- Kelaidis, N.; Zervos, M.; Lathiotakis, N.; Chroneos, A. Vapor-Liquid-Solid Growth and Properties of One Dimensional PbOx and PbOx/SnO2 (x = 1, 2) Nanowires for Energy Conversion and Storage. Mater. Adv. 2022, 3, 1695–1702. [Google Scholar] [CrossRef]
- Sun, C.; Yang, J.; Xu, M.; Cui, Y.; Ren, W.; Zhang, J.; Zhao, H.; Liang, B. Recent intensification strategies of SnO2-based photocatalysts: A review. Chem. Eng. J. 2022, 427, 131564. [Google Scholar] [CrossRef]
- Filippatos, P.-P.; Kelaidis, N.; Vasilopoulou, M.; Davazoglou, D.; Chroneos, A. Impact of boron and indium doping on the structural, electronic and optical properties of SnO2. Sci. Rep. 2021, 11, 13031. [Google Scholar] [CrossRef] [PubMed]
- Filippatos, P.-P.; Sharma, R.; Soultati, A.; Kelaidis, N.; Petaroudis, C.; Alivisatou, A.-A.; Drivas, C.; Kennou, S.; Christopoulos, S.-R.G.; Davazoglou, D.; et al. Optimization of the hydrogen response characteristics of halogen-doped SnO2. Sci. Rep. 2023, 13, 2524. [Google Scholar] [CrossRef] [PubMed]
- Filippatos, P.-P.; Kelaidis, N.; Vasilopoulou, M.; Davazoglou, D.; Chroneos, A. Defect Processes in Halogen Doped SnO2. Appl. Sci. 2021, 11, 551. [Google Scholar] [CrossRef]
- Xu, K.; Tian, S.; Zhu, J.; Yang, Y.; Shi, J.; Yu, T.; Yuan, C. High selectivity of sulfur-doped SnO2 in NO2 detection at lower operating temperatures. Nanoscale 2018, 10, 20761. [Google Scholar] [CrossRef]
- Ma, L.; Xu, L.; Xu, X.; Zhou, X.; Zhang, L. One-Pot Hydrothermal Synthesis of Sulfur-Doped SnO2 Nanoparticles and their Enhanced Photocatalytic Properties. Nano 2016, 11, 1–14. [Google Scholar] [CrossRef]
- Yu, J.; Wang, Y.; Huang, Y.; Wang, X.; Guo, J.; Yang, J.; Zhao, H. Structural electronic properties of SnO2 doped with non-metal elements. Beilstein J. Nan-otechnol. 2020, 11, 1321–1328. Available online: https://www.beilstein-journals.org/bjnano/articles/11/116 (accessed on 1 January 2023). [CrossRef] [PubMed]
- Zhao, L.; Gong, X.; Tao, W.; Wang, T.; Liu, X.; Liu, F.; Yan, X.; Wang, C.; Sun, P.; Lu, G. Cationic Se-Doped SnO2 for Superior Acetone Sensing with a Moderate Baseline Resistance Rise. SSRN Electron. J. 2021. [Google Scholar] [CrossRef]
- Georgieva, B.; Podolesheva, I.; Spasov, G.; Pirov, J. Nanosized Thin SnO2 Layers Doped with Te and TeO2 as Room Temperature Humidity Sensors. Sensors 2014, 14, 8950–8960. [Google Scholar] [CrossRef] [PubMed]
- Graužinyte, M.; Goedecker, S.; Flores-Livas, J.A. Computational screening of useful hole-electron dopants in SnO2. Chem. Mater 2017, 29, 10095–10103. [Google Scholar] [CrossRef]
- Lu, P.F.; Shen, Y.; Yu, Z.Y.; Zhao, L.; Li, Q.Y.; Ma, S.J.; Han, L.H.; Liu, Y.M. Electronic structure and optical properties of antimony-doped SnO2 from first-principle study. Commun. Math. Phys. 2012, 57, 145. [Google Scholar]
- Castleton, C.W.M.; Höglund, A.; Mirbt, S. Density functional theory calculations of defect energies using supercells. Model. Simul. Mater. Sci. Eng. 2009, 17, 084003. [Google Scholar] [CrossRef]
- Adamo, C.; Barone, V. Toward reliable density functional methods without adjustable parameters: The PBE0 model. J. Chem. Phys. 1999, 110, 6158–6170. [Google Scholar] [CrossRef]
- Momma, K.; Izumi, F. VESTA 3 for three-dimensional visualization of crystal, volumetric and morphology data. J. Appl. Crystallogr. 2011, 44, 1272–1276. [Google Scholar] [CrossRef]
- Lee, M.-H. Advanced Pseudopotentials for Large Scale Electronic Structure Calculations With Application to A Study of Weakly Ordered Material—g-Al2O3. Ph.D. Thesis, Clare College, University of Cambridge, Cambridge, UK, 1995. [Google Scholar]
- Nagasawa, M.; Shionoya, S. Exciton structure in optical absorption of SnO2 crystals. Phys. Lett. 1966, 22, 409–410. [Google Scholar] [CrossRef]
- Kumar, S.; Chauhan, P.; Kundu, V. Sol–gel synthesis, structural, morphological and optical properties of Se-doped SnO2 nanoparticles. J. Mater. Sci. Mater. Electron. 2016, 27, 3103–3108. [Google Scholar] [CrossRef]
- Afify, H.H.; Momtaz, R.S.; Badawy, W.A.; Nasser, S.A. Some physical properties of fluorine-doped SnO2 films prepared by spray pyrolysis. J. Mater. Sci. Mater. Electron. 1991, 2, 40–45. [Google Scholar] [CrossRef]
- Manifacier, J.; De Murcia, M.; Fillard, J.; Vicario, E. Optical and electrical properties of SnO2 thin films in relation to their stoichiometric deviation and their crystalline structure. Thin Solid Films 1977, 41, 127–135. [Google Scholar] [CrossRef]
- Ravichandran, R.; Wang, A.X.; Wager, J.F. Solid State Dielectric Screening Versus Band Gap Trends and Implications. Opt. Mater. 2016, 60, 181–187. [Google Scholar] [CrossRef]









| SnO2 | a (Å) | c (Å) | Vol (Å3) | ΔV (%) | Eformation |
|---|---|---|---|---|---|
| perfect | 4.818 | 3.236 | 75.121 | n/a | n/a |
| SSn | 4.816 | 3.232 | 74.958 | −0.218 | 5.43 |
| Sox | 4.833 | 3.240 | 75.681 | 0.745 | 3.95 |
| Sint | 4.843 | 3.251 | 76.427 | 1.739 | 4.64 |
| SeSn | 4.820 | 3.234 | 75.128 | 0. 009 | 3.90 |
| Seox | 4.839 | 3.241 | 75.892 | 1.027 | 5.04 |
| Seint | 4.843 | 3.252 | 76.533 | 1.879 | 4.73 |
| TeSn | 4.826 | 3.241 | 75.468 | 0. 462 | 2.88 |
| Teox | 4.848 | 3.246 | 76.272 | 1.532 | 7.66 |
| Teint | 4.838 | 3.251 | 76.786 | 2.216 | 5.62 |
Disclaimer/Publisher’s Note: The statements, opinions and data contained in all publications are solely those of the individual author(s) and contributor(s) and not of MDPI and/or the editor(s). MDPI and/or the editor(s) disclaim responsibility for any injury to people or property resulting from any ideas, methods, instructions or products referred to in the content. |
© 2024 by the authors. Licensee MDPI, Basel, Switzerland. This article is an open access article distributed under the terms and conditions of the Creative Commons Attribution (CC BY) license (https://creativecommons.org/licenses/by/4.0/).
Share and Cite
Kelaidis, N.; Panayiotatos, Y.; Chroneos, A. Chalcogen Doping in SnO2: A DFT Investigation of Optical and Electronic Properties for Enhanced Photocatalytic Applications. Materials 2024, 17, 3910. https://doi.org/10.3390/ma17163910
Kelaidis N, Panayiotatos Y, Chroneos A. Chalcogen Doping in SnO2: A DFT Investigation of Optical and Electronic Properties for Enhanced Photocatalytic Applications. Materials. 2024; 17(16):3910. https://doi.org/10.3390/ma17163910
Chicago/Turabian StyleKelaidis, Nikolaos, Yerassimos Panayiotatos, and Alexander Chroneos. 2024. "Chalcogen Doping in SnO2: A DFT Investigation of Optical and Electronic Properties for Enhanced Photocatalytic Applications" Materials 17, no. 16: 3910. https://doi.org/10.3390/ma17163910
APA StyleKelaidis, N., Panayiotatos, Y., & Chroneos, A. (2024). Chalcogen Doping in SnO2: A DFT Investigation of Optical and Electronic Properties for Enhanced Photocatalytic Applications. Materials, 17(16), 3910. https://doi.org/10.3390/ma17163910

