Peculiarities of Electric and Dielectric Behavior of Ni- or Fe-Doped ZnO Thin Films Deposited by Atomic Layer Deposition
Abstract
1. Introduction
2. Materials and Methods
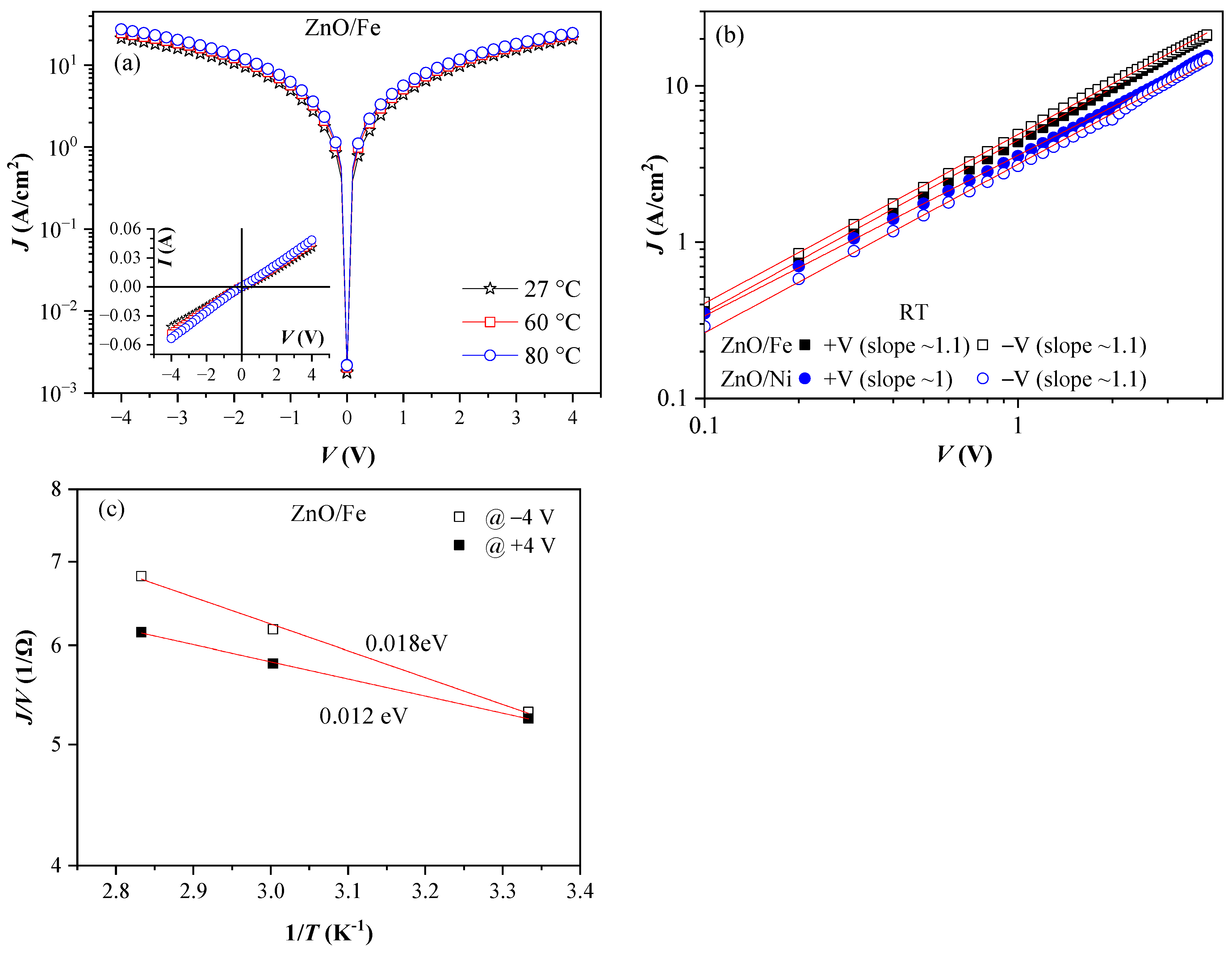
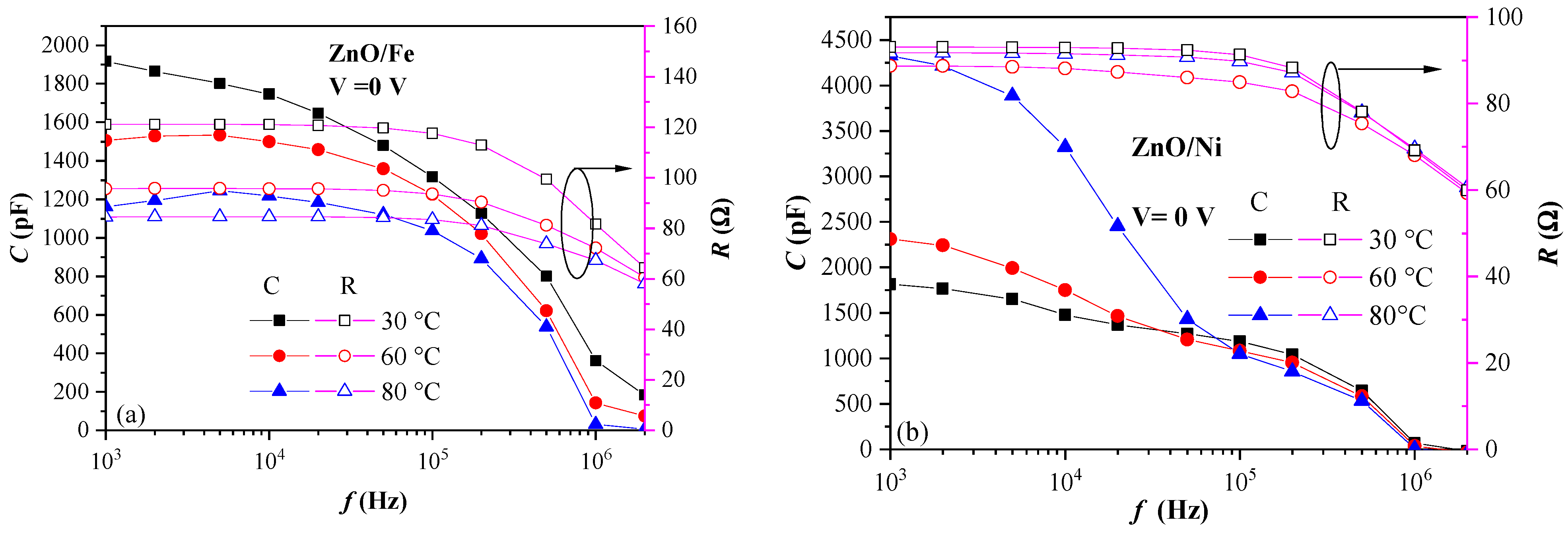
3. Results and Discussion
4. Conclusions
Author Contributions
Funding
Institutional Review Board Statement
Informed Consent Statement
Data Availability Statement
Conflicts of Interest
References
- Ozgur, U.; Alivov, Y.I.; Liu, C.; Teke, A.; Reshchikov, M.A.; Dogan, S.; Avrutin, V.; Cho, S.J.; Morko, H. A Comprehensive Review of ZnO Materials and Devices. J. Appl. Phys. 2005, 98, 041301. [Google Scholar] [CrossRef]
- Carcia, P.F.; McLean, R.S.; Reilly, M.H.; Nunes, G. Transparent ZnO thin-film transistor fabricated by rf magnetron sputtering. Appl. Phys. Lett. 2003, 82, 1117–1119. [Google Scholar] [CrossRef]
- Wisz, G.; Virt, I.; Sagan, P.; Potera, P.; Yavorskyi, R. Structural, optical and electrical properties of zinc oxide layers produced by pulsed laser deposition method. Nanoscale Res. Lett. 2017, 12, 253. [Google Scholar] [CrossRef]
- Znaidi, L. Sol–gel-deposited ZnO thin films: A review. Mater. Sci. Eng. B 2010, 174, 18–30. [Google Scholar] [CrossRef]
- Farrag, A.A.-G.; Balboul, M.R. Nano ZnO thin films synthesis by sol–gel spin coating method as a transparent layer for solar cell applications. J. Sol-Gel. Sci. Technol. 2016, 1, 269–279. [Google Scholar] [CrossRef]
- Phan, T.-L.; Yu, S.C.; Vincent, R.; Dan, N.H.; Shi, W.S. Photoluminescence properties of various CVD-grown ZnO nanostructures. J. Lumin. 2010, 130, 1142–1146. [Google Scholar] [CrossRef]
- Habibi, A.; Vatandoust, L.; Aref, S.M.; Naghshara, H. Formation of high performance nanostructured ZnO thin films as a function of annealing temperature: Structural and optical properties. Surf. Interfaces 2020, 21, 100723. [Google Scholar] [CrossRef]
- Saha, J.K.; Bukke, R.N.; Jang, J. Extremely Stable, High Performance Gd and Li Alloyed ZnO Thin Film Transistor by Spray Pyrolysis. Adv. Electron. Mater. 2020, 6, 2000594. [Google Scholar] [CrossRef]
- Leroux, C.; Guillaume, C.; Labbé, C.; Portier, X.; Zhuchenko, Z.; Zolotovsky, A.; Boullay, P.; Pelloquin, D. Structural Evolution in an Annealed (Eu, Tb)-Doped ZnO/Si Nanoscale Junction: Implication for Red LED Development. ACS Appl. Nano Mater. 2022, 5, 18545–18552. [Google Scholar] [CrossRef]
- Fu, S.; Xi, W.; Ren, J.; Wei, H.; Sun, W. Study on the Photocatalytic Properties of Metal–Organic Framework-Derived C-, N-Co-Doped ZnO. Materials 2024, 17, 855. [Google Scholar] [CrossRef]
- Wang, L.-W.; Chu, S.-Y. Effects of Post-Annealing on the Properties of ZnO:Ga Films with High Transparency (94%) and Low Sheet Resistance (29 Ω/square). Materials 2023, 16, 6463. [Google Scholar] [CrossRef] [PubMed]
- Blažeka, D.; Radičić, R.; Maletić, D.; Živković, S.; Momčilović, M.; Krstulović, N. Enhancement of Methylene Blue Photodegradation Rate Using Laser Synthesized Ag-Doped ZnO Nanoparticles. Nanomaterials 2022, 12, 2677. [Google Scholar] [CrossRef] [PubMed]
- Guziewicz, E.; Godlewski, M.; Krajewski, T.; Wachnicki, Ł.; Szczepanik, A.; Kopalko, K.; Wójcik-Godowska, A.; Przeździecka, E.; Paszkowicz, W.; Łusakowska, E.; et al. ZnO grown by atomic layer deposition: A material for transparent electronics and organic heterojunctions. J. Appl. Phys. 2009, 105, 122413. [Google Scholar] [CrossRef]
- Tynell, T.; Karppinen, M. Atomic layer deposition of ZnO: A review. Semicond. Sci. Technol. 2014, 29, 043001. [Google Scholar] [CrossRef]
- Nguyen, T.; Adjeroud, N.; Guennou, M.; Guillot, J.; Fleming, Y.; Papon, A.-M.; Arl, D.; Menguelti, K.; Joly, R.; Gambacorti, N.; et al. Controlling electrical and optical properties of zinc oxide thin films grown by thermal atomic layer deposition with oxygen gas. Results Mater. 2020, 6, 100088. [Google Scholar] [CrossRef]
- Huang, R.; Ye, S.; Sun, K.; Kiang, K.S.; de Groot, C.H.K. Fermi level tuning of ZnO films through supercycled atomic layer deposition. Nanoscale Res. Lett. 2017, 12, 541. [Google Scholar] [CrossRef] [PubMed]
- Pilz, J.; Perrotta, A.; Christian, P.; Tazreiter, M.; Resel, R.; Leising, G.; Griesser, T.; Coclite, A.M. Tuning of material prop erties of ZnO thin films grown by plasma-enhanced atomic layer deposition at room temperature. J. Vac. Sci. Technol. A 2017, 36, 01A109. [Google Scholar] [CrossRef]
- Gao, Z.; Banerjee, P. Review Article: Atomic layer deposition of doped ZnO films. J. Vac. Sci. Technol. A 2019, 37, 050802. [Google Scholar] [CrossRef]
- Ringleb, A.; Klement, P.; Schörmann, J.; Chatterjee, S.; Schlettwein, D. Harnessing the Potential of Porous ZnO Photoanodes in Dye-Sensitized Solar Cells by Atomic Layer Deposition of Mg-Doped ZnO. ACS Appl. Energy Mater. 2022, 5, 14825–14835. [Google Scholar] [CrossRef]
- Zhu, Y.; Wu, Y.; Cao, F.; Ji, X. Ga-concentration-dependent optical and electrical properties of Ga-doped ZnO thin films prepared by low-temperature atomic layer deposition. J. Mater. Sci. Mater. Electron. 2022, 33, 5696–5706. [Google Scholar] [CrossRef]
- Dietl, T.; Ohno, H.; Matsukura, F.; Cibert, J.; Ferrand, D. Zener Model Description of Ferromagnetism in Zinc-Blende Magnetic Semiconductors. Science 2000, 287, 1019–1022. [Google Scholar] [CrossRef] [PubMed]
- Quan, Z.; Zhang, X.; Liu, W.; Li, X.; Addison, K.; Gehring, G.A.; Xu, X. Enhanced room temperature magnetoresistance and spin injection from metallic cobalt in Co/ZnO and Co/ZnAlO films. ACS Appl. Mater. Interfaces 2013, 5, 3607–3613. [Google Scholar] [CrossRef] [PubMed]
- Liu, C.; Yun, F.; Morkoc, H. Ferromagnetism of ZnO and GaN: A Review. J. Mater. Sci. Mater. Electron. 2005, 9, 555–597. [Google Scholar] [CrossRef]
- Sawicki, M.; Guziewicz, E.; Łukasiewicz, M.I.; Proselkov, O.; Kowalik, I.A.; Lisowski, W.; Dluzewski, P.; Wittlin, A.; Jaworski, M.; Wolska, A.; et al. Homogeneous and heterogeneous magnetism in (Zn,Co)O: From a random antiferromagnet to a dipolar superferromagnet by changing the growth temperature. Phys. Rev. B 2013, 88, 085204. [Google Scholar] [CrossRef]
- Łukasiewicz, M.I.; Witkowski, B.; Godlewski, M.; Guziewicz, E.; Sawicki, M.; Paszkowicz, W.; Jakieła, R.; Krajewski, T.A.; Łuka, G. Effects related to deposition temperature of ZnCoO films grown by atomic layer deposition–uniformity of Co distribution, structural, optical, electrical and magnetic properties. Phys. Status Solidi B 2010, 247, 1666–1670. [Google Scholar] [CrossRef][Green Version]
- Paskaleva, A.; Blagoev, B.S.; Terziyska, P.T.; Mehandzhiev, V.; Tzvetkov, P.; Kovacheva, D.; Avramova, I.; Spassov, D.; Ivanova, T.; Gesheva, K. Structural, morphological and optical properties of atomic layer deposited transition metal (Co, Ni or Fe)-doped ZnO layers. J. Mater. Sci. Mater. Electron. 2021, 32, 7162–7175. [Google Scholar] [CrossRef]
- Paskaleva, A.; Buchkov, K.; Galluzzi, A.; Spassov, D.; Blagoev, B.; Ivanov, T.; Mehandzhiev, V.; Avramova, I.A.; Terzyiska, P.; Tzvetkov, P.; et al. Magneto-Optical and Multiferroic Properties of Transition-Metal (Fe, Co, or Ni)-Doped ZnO Layers Deposited by ALD. ACS Omega 2022, 7, 43306–43315. [Google Scholar] [CrossRef] [PubMed]
- Spassov, D.; Paskaleva, A.; Blagoev, B.; Mehandzhiev, V. Electric characterization of transition metal (Co, Ni, Fe) doped ZnO thin layers prepared by atomic layer deposition. J. Phys. Conf. Ser. 2023, 2436, 012014. [Google Scholar] [CrossRef]
- Galluzzi, A.; Buchkov, K.; Blagoev, B.S.; Paskaleva, A.; Avramova, I.; Mehandhziev, V.; Tzvetkov, P.; Terziyska, P.; Kovacheva, D.; Polichetti, M. Strong Magneto-Optical Kerr Effects in Ni-Doped ZnO Nanolaminate Structures Obtained by Atomic Layer Deposition. Materials 2023, 16, 6547. [Google Scholar] [CrossRef]
- Ali, M.Y.; Khan, M.K.R.; Karim, A.T.; Rahman, M.M.; Kamruzzaman, M. Effect of Ni doping on structure, morphology and opto-transport properties of spray pyrolised ZnO nano-fiber. Heliyon 2020, 6, e03588. [Google Scholar] [CrossRef]
- Iskenderoglu, D.; Güney, H. Synthesis and characterization of ZnO:Ni thin films grown by spray-deposition. Ceram. Int. 2017, 43, 16593–16599. [Google Scholar] [CrossRef]
- Hassan, M.M.; Khan, W.; Azam, A.; Naqvi, A.H. Effect of size reduction on structural and optical properties of ZnO matrix due to successive doping of Fe ions. J. Lumin. 2014, 145, 160–166. [Google Scholar] [CrossRef]
- Bu, I.Y.Y. Sol–gel production of ZnO:Co: Effect of postannealing temperature on its optoelectronic properties. Mater. Sci. Semicond. Proc. 2016, 41, 240–245. [Google Scholar] [CrossRef]
- Lin, T.T.; Young, S.L.; Kung, C.Y.; Chen, H.Z.; Kao, M.C.; Chang, M.C.; Ou, C.R. Variable-Range Hopping and Thermal Activation Conduction of Y-Doped ZnO Nanocrystalline Films. IEEE Trans. Nanotechnol. 2014, 13, 425–430. [Google Scholar] [CrossRef]
- Hussain, I.; Soomro, M.Y.; Bano, N.; Nur, O.; Willander, M. Interface trap characterization and electrical properties of Au-ZnO nanorod Schottky diodes by conductance and capacitance methods. J. Appl. Phys. 2012, 112, 064506. [Google Scholar] [CrossRef]
- Brillson, L.J.; Lu, Y. ZnO Schottky barriers and Ohmic contacts. J. Appl. Phys. 2011, 109, 121301. [Google Scholar] [CrossRef]
- Kasap, S.O. Principles of Electrical Engineering Materials and Devices; McGraw Hill: New York, NY, USA, 1997; Chapter 7. [Google Scholar]
- Jin, Y.; Kumar, S.; Gerhardt, R.A. Simulation of the Impedance Response of Thin Films as a Function of Film Conductivity and Thickness. In Proceedings of the 2015 COMSOL Conference, Boston, MA, USA, 7–9 October 2015; Available online: https://www.comsol.com/paper/simulation-of-the-impedance-response-of-thin-films-as-a-function-of-film-conduct-25532 (accessed on 8 July 2024).
- Lehru, R.; Radhanpura, J.; Kumar, R.; Zala, D.; Vadgama, V.S.; Dadhich, H.; Rathod, V.R.; Trivedi, R.K.; Pandya, D.D.; Shah, N.A.; et al. Studies on electrical properties of Fe doped ZnO nanostructured oxides synthesized by sol–gel method. Solid State Commun. 2021, 336, 114415. [Google Scholar] [CrossRef]
- Shi, Z.C.; Fan, R.F.; Yan, K.L.; Sun, K.; Zhang, M.; Wang, C.; Liu, X.; Zhang, X. Preparation of Iron Networks Hosted in Porous Alumina with Tunable Negative Permittivity and Permeability. Adv. Funct. Mater. 2013, 23, 4123–4132. [Google Scholar] [CrossRef]
- Fan, G.; Wang, Z.; Wei, Z.; Liu, Y.; Fan, R. Negative dielectric permittivity and high-frequency diamagnetic responses of percolated nickel/rutile cermets. Compos. Part A 2020, 139, 106132. [Google Scholar] [CrossRef]
- Fan, G.; Wang, Z.; Sun, K.; Liu, Y.; Fan, R. Doped ceramics of indium oxides for negative permittivity materials in MHz-kHz frequency regions. J. Mater. Sci. Technol. 2021, 61, 125–131. [Google Scholar] [CrossRef]
- Joly, R.; Girod, S.; Adjeroud, N.; Grysan, P.; Polesel-Maris, J. Evidence of Negative Capacitance and Capacitance Modulation by Light and Mechanical Stimuli in Pt/ZnO/Pt Schottky Junctions. Sensors 2021, 21, 2253. [Google Scholar] [CrossRef] [PubMed]
- Laurenti, M.; Verna, A.; Chiolerio, A. Evidence of Negative Capacitance in Piezoelectric ZnO Thin Films Sputtered on Interdigital Electrodes. ACS Appl. Mater. Interfaces 2015, 7, 24470–24479. [Google Scholar] [CrossRef] [PubMed]







| Eg, eV on Si | Eg, eV on SiO2/Si | Eg, eV on TiN/SiO2/Si | |
|---|---|---|---|
| ZnO/Ni | 3.30 | 3.30 | 3.17 |
| ZnO/Fe | 3.26 | 3.27 | 3.25 |
Disclaimer/Publisher’s Note: The statements, opinions and data contained in all publications are solely those of the individual author(s) and contributor(s) and not of MDPI and/or the editor(s). MDPI and/or the editor(s) disclaim responsibility for any injury to people or property resulting from any ideas, methods, instructions or products referred to in the content. |
© 2024 by the authors. Licensee MDPI, Basel, Switzerland. This article is an open access article distributed under the terms and conditions of the Creative Commons Attribution (CC BY) license (https://creativecommons.org/licenses/by/4.0/).
Share and Cite
Paskaleva, A.; Spassov, D.; Blagoev, B.; Terziyska, P. Peculiarities of Electric and Dielectric Behavior of Ni- or Fe-Doped ZnO Thin Films Deposited by Atomic Layer Deposition. Materials 2024, 17, 3546. https://doi.org/10.3390/ma17143546
Paskaleva A, Spassov D, Blagoev B, Terziyska P. Peculiarities of Electric and Dielectric Behavior of Ni- or Fe-Doped ZnO Thin Films Deposited by Atomic Layer Deposition. Materials. 2024; 17(14):3546. https://doi.org/10.3390/ma17143546
Chicago/Turabian StylePaskaleva, Albena, Dencho Spassov, Blagoy Blagoev, and Penka Terziyska. 2024. "Peculiarities of Electric and Dielectric Behavior of Ni- or Fe-Doped ZnO Thin Films Deposited by Atomic Layer Deposition" Materials 17, no. 14: 3546. https://doi.org/10.3390/ma17143546
APA StylePaskaleva, A., Spassov, D., Blagoev, B., & Terziyska, P. (2024). Peculiarities of Electric and Dielectric Behavior of Ni- or Fe-Doped ZnO Thin Films Deposited by Atomic Layer Deposition. Materials, 17(14), 3546. https://doi.org/10.3390/ma17143546

