Comparative Analysis of Machine Learning Models for Predicting the Mechanical Behavior of Bio-Based Cellular Composite Sandwich Structures
Abstract
1. Introduction
2. Experimental Methodology
3. Workflow of ML Analysis
3.1. Database Overview
3.2. Model Development
3.2.1. Generalized Regression Neural Network
3.2.2. Extreme Learning Machine
3.2.3. Support Vector Regression
3.3. Hyperparameter Tuning and Optimization
3.4. ML Evaluation Metrics
4. Results and Discussion
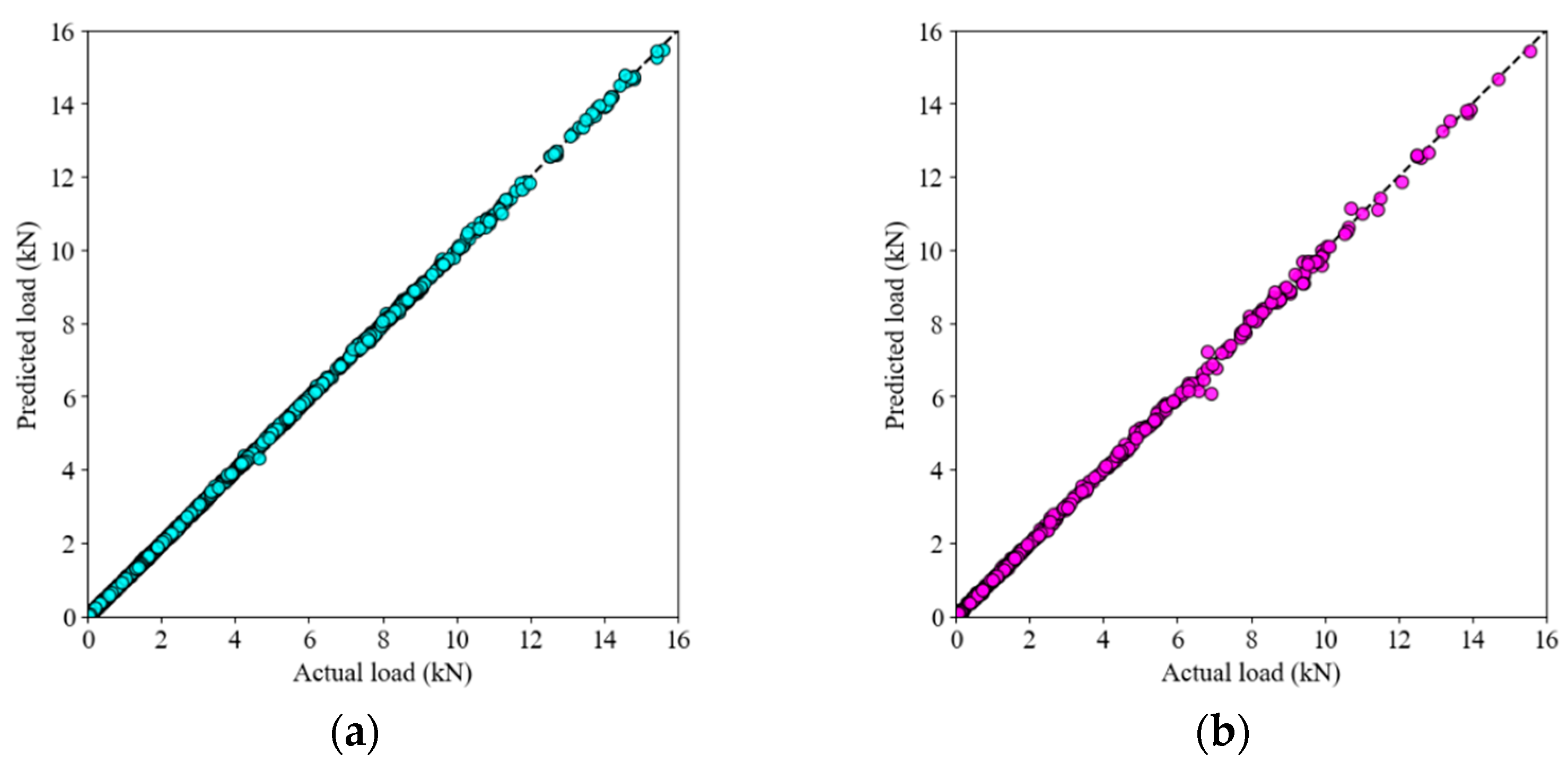
4.1. Load-Displacement Behavior Prediction
4.2. Prediction of Load-Displacement Behavior
5. Conclusions
- The GRNN model showed a high predictive accuracy with a high R2 value, a low MAE and RMSE value, and a good generalization that effectively captures the complex nonlinear load-shift behavior.
- The SVR model was less powerful and showed less accurate predictions with a lower R2 value, a higher MAE and RMSE, and difficulties in predicting strong peaks and fluctuations.
- The ELM model captured general trends and patterns well but had some accuracy issues with load peaks, making it more suitable for general rather than detailed predictions.
- The Taylor diagrams showed that the GRNN model had the highest correlation and the most accurate standard deviation and therefore performed better than the other models.
- The GRNN model had the highest AUC values for both the training and test data, indicating better performance compared to the other models.
- The Williams plot indicated a high percentage of data points within the application range for the GRNN model, confirming its robustness and accuracy in predicting load-displacement behavior and its reliability for practical applications.
Author Contributions
Funding
Institutional Review Board Statement
Informed Consent Statement
Data Availability Statement
Conflicts of Interest
References
- Tao, T.; Li, L.; He, Q.; Wang, Y.; Guo, J. Mechanical Behavior of Bio-Inspired Honeycomb–Core Composite Sandwich Structures to Low-Velocity Dynamic Loading. Materials 2024, 17, 1191. [Google Scholar] [CrossRef]
- Taghizadeh, S.A.; Farrokhabadi, A.; Liaghat, G.; Pedram, E.; Malekinejad, H.; Mohammadi, S.F.; Ahmadi, H. Characterization of Compressive Behavior of PVC Foam Infilled Composite Sandwich Panels with Different Corrugated Core Shapes. Thin-Walled Struct. 2019, 135, 160–172. [Google Scholar] [CrossRef]
- Eyvazian, A.; Taghizadeh, S.A.; Hamouda, A.M.; Tarlochan, F.; Moeinifard, M.; Gobbi, M. Buckling and Crushing Behavior of Foam-Core Hybrid Composite Sandwich Columns under Quasi-Static Edgewise Compression. J. Sandw. Struct. Mater. 2021, 23, 2643–2670. [Google Scholar] [CrossRef]
- Eyvazian, A.; Moeinifard, M.; Musharavati, F.; Taghizadeh, S.A.; Mahdi, E.; Hamouda, A.M.; Tran, T.N. Mechanical Behavior of Resin Pin-Reinforced Composite Sandwich Panels under Quasi-Static Indentation and Three-Point Bending Loading Conditions. J. Sandw. Struct. Mater. 2021, 23, 2127–2145. [Google Scholar] [CrossRef]
- Wang, Z.; Zhou, J.; Peng, K. The Potential of Multi-Task Learning in CFDST Design: Load-Bearing Capacity Design with Three MTL Models. Materials 2024, 17, 1994. [Google Scholar] [CrossRef]
- Fagersand, H.M.; Morin, D.; Mathisen, K.M.; He, J.; Zhang, Z. Transferability of Temperature Evolution of Dissimilar Wire-Arc Additively Manufactured Components by Machine Learning. Materials 2024, 17, 742. [Google Scholar] [CrossRef]
- Ham, S.; Ji, S.; Cheon, S.S. The Design of a Piecewise-Integrated Composite Bumper Beam with Machine-Learning Algorithms. Materials 2024, 17, 602. [Google Scholar] [CrossRef]
- Wei, Z.; Zhou, C.; Zhang, F.; Zhou, C. Reliability Optimization of the Honeycomb Sandwich Structure Based on A Neural Network Surrogate Model. Materials 2023, 16, 7465. [Google Scholar] [CrossRef]
- Yuan, Z.; Niu, M.-Q.; Ma, H.; Gao, T.; Zang, J.; Zhang, Y.; Chen, L.-Q. Predicting Mechanical Behaviors of Rubber Materials with Artificial Neural Networks. Int. J. Mech. Sci. 2023, 249, 108265. [Google Scholar] [CrossRef]
- Wang, W.; Wang, H.; Zhou, J.; Fan, H.; Liu, X. Machine Learning Prediction of Mechanical Properties of Braided-Textile Reinforced Tubular Structures. Mater. Des. 2021, 212, 110181. [Google Scholar] [CrossRef]
- Zhang, S.L.; Zhang, Z.X.; Xin, Z.X.; Pal, K.; Kim, J.K. Prediction of Mechanical Properties of Polypropylene/Waste Ground Rubber Tire Powder Treated by Bitumen Composites via Uniform Design and Artificial Neural Networks. Mater. Des. 2010, 31, 1900–1905. [Google Scholar] [CrossRef]
- Osa-Uwagboe, N.; Udu, A.G.; Khaksar Ghalati, M.; Silberschmidt, V.V.; Aremu, A.; Dong, H.; Demirci, E. A Machine Learning-Enabled Prediction of Damage Properties for Fiber-Reinforced Polymer Composites under Out-of-Plane Loading. Eng. Struct. 2024, 308, 117970. [Google Scholar] [CrossRef]
- Viotti, I.D.; Gomes, G.F. Delamination Identification in Sandwich Composite Structures Using Machine Learning Techniques. Comput. Struct. 2023, 280, 106990. [Google Scholar] [CrossRef]
- Takagi, A.; Ichikawa, R.; Miyagawa, T.; Song, J.; Yonezu, A.; Nagatsuka, H. Machine Learning–Based Estimation Method for the Mechanical Response of Composite Cellular Structures. Polym. Test. 2023, 126, 108161. [Google Scholar] [CrossRef]
- Singh, A.; Gu, Z.; Hou, X.; Liu, Y.; Hughes, D.J. Design Optimisation of Braided Composite Beams for Lightweight Rail Structures Using Machine Learning Methods. Compos. Struct. 2022, 282, 115107. [Google Scholar] [CrossRef]
- Zhang, Z.; Zhou, H.; Ma, J.; Xiong, L.; Ren, S.; Sun, M.; Wu, H.; Jiang, S. Space Deployable Bistable Composite Structures with C-Cross Section Based on Machine Learning and Multi-Objective Optimization. Compos. Struct. 2022, 297, 115983. [Google Scholar] [CrossRef]
- Li, M.; Zhang, H.; Li, S.; Zhu, W.; Ke, Y. Machine Learning and Materials Informatics Approaches for Predicting Transverse Mechanical Properties of Unidirectional CFRP Composites with Microvoids. Mater. Des. 2022, 224, 111340. [Google Scholar] [CrossRef]
- Zhao, G.; Xu, T.; Fu, X.; Zhao, W.; Wang, L.; Lin, J.; Hu, Y.; Du, L. Machine-Learning-Assisted Multiscale Modeling Strategy for Predicting Mechanical Properties of Carbon Fiber Reinforced Polymers. Compos. Sci. Technol. 2024, 248, 110455. [Google Scholar] [CrossRef]
- Li, N.; Kang, Z.; Zhang, J. Strength Investigation of Tannic Acid-Modified Cement Composites Using Experimental and Machine Learning Approaches. Constr. Build. Mater. 2024, 422, 135684. [Google Scholar] [CrossRef]
- Zhang, C.; Zhu, Z.; Shi, L.; Kang, X.; Wan, Y.; Huo, W.; Yang, L. Compressive Strength and Sensitivity Analysis of Fly Ash Composite Foam Concrete: Efficient Machine Learning Approach. Adv. Eng. Softw. 2024, 192, 103634. [Google Scholar] [CrossRef]
- Wang, M.; Chen, Y.; Zhang, C.L.; Hong, W.; Yang, C.X.; Wang, J.W.; Sun, J.; Li, W.; Yan, C. Length-Scale Effect on the Hardness of Metallic/Ceramic Multilayered Composites: A Machine Learning Prediction. Scr. Mater. 2024, 242, 115921. [Google Scholar] [CrossRef]
- Ferdousi, S.; Advincula, R.; Sokolov, A.P.; Choi, W.; Jiang, Y. Investigation of 3D Printed Lightweight Hybrid Composites via Theoretical Modeling and Machine Learning. Compos. Part B Eng. 2023, 265, 110958. [Google Scholar] [CrossRef]
- Jiang, X.; Liu, F.; Wang, L. Machine Learning-Based Stiffness Optimization of Digital Composite Metamaterials with Desired Positive or Negative Poisson’s Ratio. Theor. Appl. Mech. Lett. 2023, 13, 100485. [Google Scholar] [CrossRef]
- Sharma, A.; Abhimhanyu, V.; Datta, S. Design of Hybrid PEEK Composite with Improved Tribo-Mechanical Properties for Biomedical Applications—A Machine Learning Approach. Mater. Today Proc. 2022, 65 Pt 1, 335–341. [Google Scholar] [CrossRef]
- Hao, W.; Shi, D.; Liu, C.; Fan, Y.; Yang, X.; Tan, L.; Zhang, B. A Novel Microstructure-Informed Machine Learning Framework for Mechanical Property Evaluation of SiCf/Ti Composites. J. Mater. Res. Technol. 2024, 28, 420–433. [Google Scholar] [CrossRef]
- Karathanasopoulos, N.; Singh, A.; Hadjidoukas, P. Machine Learning-Based Modelling, Feature Importance and Shapley Additive Explanations Analysis of Variable-Stiffness Composite Beam Structures. Structures 2024, 62, 106206. [Google Scholar] [CrossRef]
- Taghizadeh, S.; Niknejad, A.; Concli, F. Mechanical Behavior of Novel Bio Composite Sandwich Structures under Quasi-Static Compressive Loading Condition. In Towards a Smart, Resilient and Sustainable Industry; Borgianni, Y., Matt, D.T., Molinaro, M., Orzes, G., Eds.; ISIEA 2023. Lecture Notes in Networks and Systems; Springer: Cham, Switzerland, 2023; Volume 745, pp. 423–432. [Google Scholar] [CrossRef]
- Taghizadeh, S.; Niknejad, A.; Macconi, L.; Concli, F. Mechanical Characterization of Novel Lightweight Bio and Bio-Inspired Sandwich Composites: Investigating the Impact of Geometrical Parameters and Reinforcement Techniques. Available online: https://ssrn.com/abstract=4857912 (accessed on 8 June 2024).
- Specht, D.F. A General Regression Neural Network. IEEE Trans. Neural Netw. 1991, 2, 568–576. [Google Scholar] [CrossRef]
- Suresh Kumar, C.; Arumugam, V.; Sengottuvelusamy, R.; Srinivasan, S.; Dhakal, H.N. Failure Strength Prediction of Glass/Epoxy Composite Laminates from Acoustic Emission Parameters Using Artificial Neural Network. Appl. Acoust. 2017, 115, 32–41. [Google Scholar] [CrossRef]
- Huang, G.-B.; Zhu, Q.-Y.; Siew, C.-K. Extreme Learning Machine: Theory and Applications. Neurocomputing 2006, 70, 489–501. [Google Scholar] [CrossRef]
- Ding, S.; Xu, X.; Nie, R. Extreme Learning Machine and Its Applications. Neural Comput. Applic 2014, 25, 549–556. [Google Scholar] [CrossRef]
- Wang, J.; Lu, S.; Wang, S.H.; Zhang, Y.D. A Review on Extreme Learning Machine. Multimed Tools Appl. 2022, 81, 41611–41660. [Google Scholar] [CrossRef]
- Basak, D.; Pal, S.; Patranabis, D.C. Support Vector Regression. Neural Inf. Process.-Lett. Rev. 2007, 11, 203–224. [Google Scholar]
- Awad, M.; Khanna, R. (Eds.) Support Vector Regression. In Efficient Learning Machines; Apress: Berkeley, CA, USA, 2015; pp. 67–80. ISBN 978-143-025-990-9. [Google Scholar] [CrossRef]
- Akiba, T.; Sano, S.; Yanase, T.; Ohta, T.; Koyama, M. Optuna: A Next-Generation Hyperparameter Optimization Framework. In Proceedings of the 25th ACM SIGKDD International Conference on Knowledge Discovery & Data Mining (KDD ‘19), Association for Computing Machinery, New York, NY, USA, 25 August 2019; pp. 2623–2631. [Google Scholar] [CrossRef]


















| Specimen No. | n | Hc (mm) | tc (mm) | Dc (mm) | Ht (mm) | Mt (g) | Cupule Type |
|---|---|---|---|---|---|---|---|
| A-01 | 16 | 30.5 | 3 | 19.5 | 40.5 | 54.29 | Only A |
| A-02 | 9 | 30.5 | 3 | 19.5 | 40.5 | 29.81 | Only A |
| A-03 | 4 | 30.5 | 3 | 19.5 | 40.5 | 13.47 | Only A |
| A-04 | 9 | 30.5 | 3 | 19.5 | 40.5 | 34.89 | Aoutter + Cinner |
| B-01 | 16 | 26.5 | 3 | 19.5 | 36.5 | 34.18 | Only B |
| B-02 | 9 | 26.5 | 3 | 19.5 | 36.5 | 21.43 | Only B |
| B-03 | 4 | 26.5 | 3 | 19.5 | 36.5 | 9.53 | Only B |
| B-04 | 9 | 26.5 | 3 | 19.5 | 36.5 | 25.49 | Boutter + Cinner |
| C-01 | 16 | 17 | 2 | 12.5 | 27 | 12 | Only C |
| C-02 | 9 | 17 | 2 | 12.5 | 27 | 7.92 | Only C |
| C-03 | 4 | 17 | 2 | 12.5 | 27 | 3.47 | Only C |
| Displacement (mm) | n | Hoc (mm) | Doc (mm) | toc (mm) | Hic (mm) | Dic (mm) | tic (mm) | Mt (g) | Ht (mm) | LBalsa (mm) | Load (kN) | |
|---|---|---|---|---|---|---|---|---|---|---|---|---|
| count | 2122 | 2122 | 2122 | 2122 | 2122 | 2122 | 2122 | 2122 | 2122 | 2122 | 2122 | 2122 |
| mean | 7.7 | 9.4 | 26.5 | 18.2 | 2.8 | 3.5 | 2.6 | 0.4 | 24.1 | 36.5 | 55.4 | 3.3 |
| std | 4.7 | 4.4 | 4.9 | 2.7 | 0.4 | 6.9 | 5.0 | 0.8 | 14.4 | 4.9 | 16.0 | 3.4 |
| min | 0.0 | 4.0 | 17.0 | 12.5 | 2.0 | 0.0 | 0.0 | 0.0 | 3.5 | 27.0 | 25.0 | 0.0 |
| 25% | 3.7 | 4.0 | 26.5 | 19.5 | 3.0 | 0.0 | 0.0 | 0.0 | 12.0 | 36.5 | 40.0 | 0.6 |
| 50% | 7.4 | 9.0 | 26.5 | 19.5 | 3.0 | 0.0 | 0.0 | 0.0 | 25.5 | 36.5 | 60.0 | 2.0 |
| 75% | 11.4 | 16.0 | 30.5 | 19.5 | 3.0 | 0.0 | 0.0 | 0.0 | 34.2 | 40.5 | 80.0 | 5.1 |
| max | 17.5 | 16.0 | 30.5 | 19.5 | 3.0 | 17.0 | 12.5 | 2.0 | 54.3 | 40.5 | 80.0 | 15.6 |
| Model | Hyperparameter | Value |
|---|---|---|
| SVR | C | 995.37 |
| ε | 0.3591 | |
| ELM | Number of neurons | 484 |
| Activation function | Tanh | |
| GRNN | σ | 0.00275 |
| Model | Training Dataset | Test Dataset | ||||
|---|---|---|---|---|---|---|
| RMSE | MAE | R2 | RMSE | MAE | R2 | |
| GRNN | 0.0301 | 0.0177 | 0.9999 | 0.0874 | 0.0489 | 0.9993 |
| ELM | 0.2428 | 0.1690 | 0.9946 | 0.2637 | 0.1810 | 0.9940 |
| SVR | 0.5769 | 0.3782 | 0.9700 | 0.5980 | 0.3976 | 0.9695 |
Disclaimer/Publisher’s Note: The statements, opinions and data contained in all publications are solely those of the individual author(s) and contributor(s) and not of MDPI and/or the editor(s). MDPI and/or the editor(s) disclaim responsibility for any injury to people or property resulting from any ideas, methods, instructions or products referred to in the content. |
© 2024 by the authors. Licensee MDPI, Basel, Switzerland. This article is an open access article distributed under the terms and conditions of the Creative Commons Attribution (CC BY) license (https://creativecommons.org/licenses/by/4.0/).
Share and Cite
Sheini Dashtgoli, D.; Taghizadeh, S.; Macconi, L.; Concli, F. Comparative Analysis of Machine Learning Models for Predicting the Mechanical Behavior of Bio-Based Cellular Composite Sandwich Structures. Materials 2024, 17, 3493. https://doi.org/10.3390/ma17143493
Sheini Dashtgoli D, Taghizadeh S, Macconi L, Concli F. Comparative Analysis of Machine Learning Models for Predicting the Mechanical Behavior of Bio-Based Cellular Composite Sandwich Structures. Materials. 2024; 17(14):3493. https://doi.org/10.3390/ma17143493
Chicago/Turabian StyleSheini Dashtgoli, Danial, Seyedahmad Taghizadeh, Lorenzo Macconi, and Franco Concli. 2024. "Comparative Analysis of Machine Learning Models for Predicting the Mechanical Behavior of Bio-Based Cellular Composite Sandwich Structures" Materials 17, no. 14: 3493. https://doi.org/10.3390/ma17143493
APA StyleSheini Dashtgoli, D., Taghizadeh, S., Macconi, L., & Concli, F. (2024). Comparative Analysis of Machine Learning Models for Predicting the Mechanical Behavior of Bio-Based Cellular Composite Sandwich Structures. Materials, 17(14), 3493. https://doi.org/10.3390/ma17143493

