Nanoindentation Test of Ion-Irradiated Materials: Issues, Modeling and Challenges
Abstract
1. Introduction
2. Issues and Solutions in the Nanoindentation Testing of Irradiated Samples
2.1. Nanoindentation
2.2. Practical Considerations for Nanoindentation Testing of Ion-Irradiated Materials
2.3. Setting the Zero Point
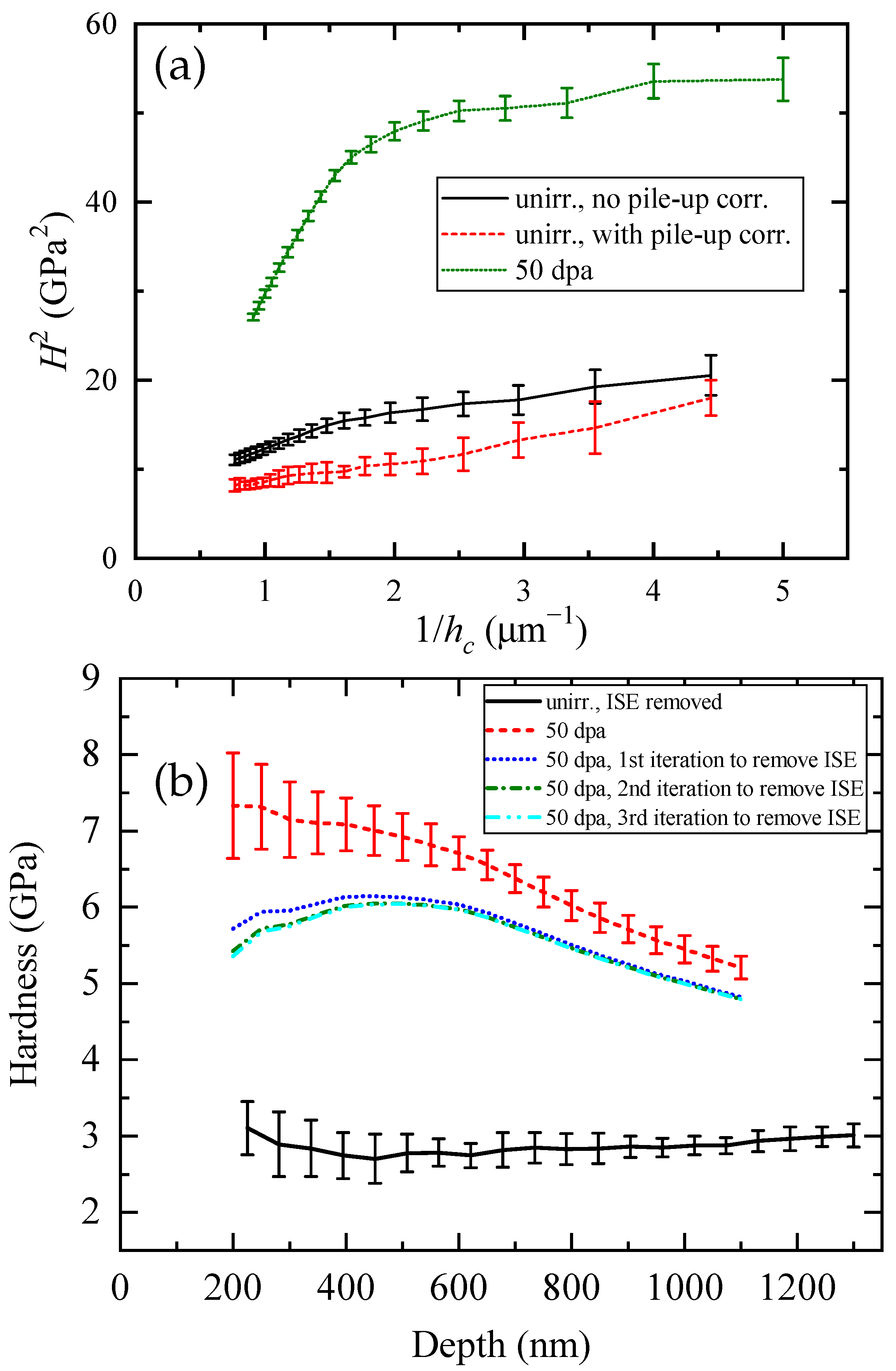
2.4. Correction of Pile-Up
2.5. Decoupling the Indentation Size Effect from Nanoindentation Hardness
2.6. Models for Extracting Bulk-Equivalent Hardness
3. CPFEM Modeling the Nanoindentation of Ion-Irradiated Materials
3.1. The CPFEM Framework: Phenomenological vs. Physics-Based Constitutive Models
3.2. Application of CPFEM in Nanoindentation for Ion-Irradiated Materials
4. Challenges in the Nanoindentation Testing of Ion-Irradiated Materials
4.1. Challenges of Extending Nanoindentation to High Temperatures
4.2. Challenges in the Multiscale Simulation of Nanoindentation for Ion-Irradiated Materials
5. Summary
Author Contributions
Funding
Conflicts of Interest
Abbreviations
| DBTT | ductile to brittle transition temperature |
| PIE | post irradiation examination |
| FEM | finite element method |
| CPFE | crystal plasticity finite element |
| CPFEM | crystal plasticity finite element method |
| MSG-CP | mechanism-based strain gradient crystal plasticity |
| dpa | displacements per atom |
| BCC | body-centered cubic |
| FCC | face-centered cubic |
| RVE | representative volume element |
| ISO | International Organization for Standardization |
| ASTM | American Society for Testing and Materials |
| CSM | continuous stiffness measurement |
| SC | single-cycle |
| MC | multi-cycle |
| PMC | progressive multi-cycle |
| SEM | scanning electron microscopy |
| TEM | transmission electron microscopy |
| AFM | atomic force microscopy |
| EMC | elastic-modulus-based correction |
| DGE | damage gradient effect |
| GND | geometrically necessary dislocation |
| SSD | statistically stored dislocation |
| ISE | indentation size effect |
| RISE | reverse indentation size effect |
| ATF | accident-tolerant fuel |
| FMS | ferritic/martensitic steel |
| RPV | reactor pressure vessel |
| DBH | dispersed barrier hardening |
| CRSS | critical resolved shear stress |
| HR-EBSD | high-angular resolution electron backscatter diffraction |
| MD | molecular dynamics |
| KMC | kinetic Monte Carlo |
| OKMC | object kinetic Monte Carlo |
| RT | rate theory |
| DD | dislocation dynamics |
References
- Was, G.S. Fundamentals of Radiation Materials Science; Springer: New York, NY, USA, 2017. [Google Scholar] [CrossRef]
- Buckthorpe, D. Introduction to Generation IV Nuclear Reactors. In Structural Materials for Generation IV Nuclear Reactors; Elsevier: Amsterdam, The Netherlands, 2017; pp. 1–22. [Google Scholar] [CrossRef]
- International Atomic Energy Agency. Structural Materials for Liquid Metal Cooled Fast Reactor Fuel Assemblies-Operational Behaviour; Number NF-T-4.3 in Nuclear Energy Series; International Atomic Energy Agency: Vienna, Austria, 2012. [Google Scholar]
- Li, K.; Kashkarov, E.; Ma, H.; Fan, P.; Zhang, Q.; Zhang, P.; Cao, X.; Zhang, J.; Wu, Z.; Lider, A.; et al. Irradiation resistance of preceramic paper-derived SiCf/SiC laminated composites. J. Mater. Sci. 2022, 57, 10153–10166. [Google Scholar] [CrossRef]
- Du, A.B.; Feng, W.; Ma, H.L.; Liang, T.; Yuan, D.Q.; Fan, P.; Zhang, Q.L.; Huang, C. Effects of Titanium and Silicon on the Swelling Behavior of 15-15Ti Steels by Heavy-Ion Beam Irradiation. Acta Metall. Sin. Engl. Lett. 2017, 30, 1049–1054. [Google Scholar] [CrossRef]
- Zinkle, S.J.; Busby, J.T. Structural materials for fission & fusion energy. Mater. Today 2009, 12, 12–19. [Google Scholar] [CrossRef]
- Ewing, R.C.; Weber, W.J.; Clinard, F.W. Radiation effects in nuclear waste forms for high-level radioactive waste. Prog. Nucl. Energy 1995, 29, 63–127. [Google Scholar] [CrossRef]
- Kanagaraj, B.; Anand, N.; Diana Andrushia, A.; Naser, M. Recent developments of radiation shielding concrete in nuclear and radioactive waste storage facilities—A state of the art review. Constr. Build. Mater. 2023, 404, 133260. [Google Scholar] [CrossRef]
- Abromeit, C. Aspects of simulation of neutron damage by ion irradiation. J. Nucl. Mater. 1994, 216, 78–96. [Google Scholar] [CrossRef]
- Was, G.S. Challenges to the use of ion irradiation for emulating reactor irradiation. J. Mater. Res. 2015, 30, 1158–1182. [Google Scholar] [CrossRef]
- Zinkle, S.J.; Snead, L.L. Opportunities and limitations for ion beams in radiation effects studies: Bridging critical gaps between charged particle and neutron irradiations. Scr. Mater. 2018, 143, 154–160. [Google Scholar] [CrossRef]
- Was, G.; Wirth, B.; Motta, A.; Morgan, D.; Kaoumi, D.; Hosemann, P.; Odette, R. High fidelity ion beam simulation of high dose neutron irradiation. United States Department of Energy: Washington, DC, USA, 2018. [Google Scholar] [CrossRef][Green Version]
- Standard ASTM E521; Standard Practice for Investigating the Effects of Neutron Radiation Damage Using Charged-Particle Irradiation. ASTM-International: West Conshohocken, PA, USA, 2016.
- Was, G.; Busby, J.; Allen, T.; Kenik, E.; Jensson, A.; Bruemmer, S.; Gan, J.; Edwards, A.; Scott, P.; Andreson, P. Emulation of neutron irradiation effects with protons: Validation of principle. J. Nucl. Mater. 2002, 300, 198–216. [Google Scholar] [CrossRef]
- Hosemann, P.; Vieh, C.; Greco, R.R.; Kabra, S.; Valdez, J.A.; Cappiello, M.J.; Maloy, S.A. Nanoindentation on ion irradiated steels. J. Nucl. Mater. 2009, 389, 239–247. [Google Scholar] [CrossRef]
- Armstrong, D.; Hardie, C.; Gibson, J.; Bushby, A.; Edmondson, P.; Roberts, S. Small-scale characterisation of irradiated nuclear materials: Part II nanoindentation and micro-cantilever testing of ion irradiated nuclear materials. J. Nucl. Mater. 2015, 462, 374–381. [Google Scholar] [CrossRef]
- Hosemann, P.; Kiener, D.; Wang, Y.; Maloy, S.A. Issues to consider using nano indentation on shallow ion beam irradiated materials. J. Nucl. Mater. 2012, 425, 136–139. [Google Scholar] [CrossRef]
- Kiener, D.; Minor, A.M.; Anderoglu, O.; Wang, Y.; Maloy, S.A.; Hosemann, P. Application of small-scale testing for investigation of ion-beam-irradiated materials. J. Mater. Res. 2012, 27, 2724–2736. [Google Scholar] [CrossRef]
- Hosemann, P. Small-scale mechanical testing on nuclear materials: Bridging the experimental length-scale gap. Scr. Mater. 2018, 143, 161–168. [Google Scholar] [CrossRef]
- Azevedo, C.R.F. A review on neutron-irradiation-induced hardening of metallic components. Eng. Fail. Anal. 2011, 18, 1921–1942. [Google Scholar] [CrossRef]
- Sokolov, M.A.; Tanigawa, H.; Odette, G.R.; Shiba, K.; Klueh, R.L. Fracture toughness and Charpy impact properties of several RAFMS before and after irradiation in HFIR. J. Nucl. Mater. 2007, 367–370, 68–73. [Google Scholar] [CrossRef]
- Li, S.; Wang, Y.; Dai, X.; Liu, F.; Li, J.; Wang, X. Evaluation of hardening behaviors in ion-irradiated Fe-9Cr and Fe-20Cr alloys by nanoindentation technique. J. Nucl. Mater. 2016, 478, 50–56. [Google Scholar] [CrossRef]
- Ruiz-Moreno, A.; Hähner, P. Indentation size effects of ferritic/martensitic steels: A comparative experimental and modelling study. Mater. Des. 2018, 145, 168–180. [Google Scholar] [CrossRef]
- Kasada, R.; Takayama, Y.; Yabuuchi, K.; Kimura, A. A new approach to evaluate irradiation hardening of ion-irradiated ferritic alloys by nano-indentation techniques. Fusion Eng. Des. 2011, 86, 2658–2661. [Google Scholar] [CrossRef]
- Zhu, P.; Zhao, Y.; Agarwal, S.; Henry, J.; Zinkle, S.J. Toward accurate evaluation of bulk hardness from nanoindentation testing at low indent depths. Mater. Des. 2022, 213, 110317. [Google Scholar] [CrossRef]
- Heintze, C.; Bergner, F.; Akhmadaliev, S.; Altstadt, E. Ion irradiation combined with nanoindentation as a screening test procedure for irradiation hardening. J. Nucl. Mater. 2016, 472, 196–205. [Google Scholar] [CrossRef]
- ISO 14577-1:2015; Metallic Materials—Instrumented Indentation Test for Hardness and Materials Parameters—Part 1: Test Method. International Organization for Standardization: Geneva, Switzerland, 2015.
- ASTM-International. Standard Practice for Instrumented Indentation Testing; ASTM: West Conshohocken, PA, USA, 2015. [Google Scholar]
- Nagy, P.M.; Kükemezey, I.I.; Kassavetis, S.; Berke, P.; Delplancke-Ogletree, M.P.; Logothetidis, S. The effect of roughness on nanoindentation results. Nanosci. Nanotechnol. Lett. 2013, 5, 480–483. [Google Scholar] [CrossRef]
- Marteau, J.; Bigerelle, M. Toward an understanding of the effect of surface roughness on instrumented indentation results. J. Mater. Sci. 2017, 52, 7239–7255. [Google Scholar] [CrossRef]
- Wang, J.; Toloczko, M.B.; Kruska, K.; Schreiber, D.K.; Edwards, D.J.; Zhu, Z.; Zhang, J. Carbon Contamination During Ion Irradiation—Accurate Detection and Characterization of its Effect on Microstructure of Ferritic/Martensitic Steels. Sci. Rep. 2017, 7, 15813. [Google Scholar] [CrossRef]
- Ma, H.; Fan, P.; Zhang, Q.; Zuo, Y.; Zhu, T.; Zheng, Y.; Wen, A.; Bai, R.; Cui, B.; Chen, L.; et al. Irradiation Hardening and Indentation Size Effect of the 304NG Stainless Steels after Triple Beam Irradiation; Springer: Singapore, 2018; pp. 187–196. [Google Scholar] [CrossRef]
- Was, G.S.; Taller, S.; Jiao, Z.; Monterrosa, A.M.; Woodley, D.; Jennings, D.; Kubley, T.; Naab, F.; Toader, O.; Uberseder, E. Resolution of the carbon contamination problem in ion irradiation experiments. Nucl. Instrum. Methods Phys. Res. B Beam Interact. Mater. At. 2017, 412, 58–65. [Google Scholar] [CrossRef]
- Hardie, C.D.; Roberts, S.G.; Bushby, A.J. Understanding the effects of ion irradiation using nanoindentation techniques. J. Nucl. Mater. 2014, 462, 391–401. [Google Scholar] [CrossRef]
- Beck, C.E.; Hofmann, F.; Eliason, J.K.; Maznev, A.A.; Nelson, K.A.; Armstrong, D.E. Correcting for contact area changes in nanoindentation using surface acoustic waves. Scr. Mater. 2017, 128, 83–86. [Google Scholar] [CrossRef]
- Das, S.; Yu, H.; Mizohata, K.; Tarleton, E.; Hofmann, F. Modified deformation behaviour of self-ion irradiated tungsten: A combined nano-indentation, HR-EBSD and crystal plasticity study. Int. J. Plast. 2020, 135, 102817. [Google Scholar] [CrossRef]
- Wheeler, J.M.; Armstrong, D.E.J.; Heinz, W.; Schwaiger, R. High temperature nanoindentation: The state of the art and future challenges. Curr. Opin. Solid State Mater. Sci. 2015, 19, 354–366. [Google Scholar] [CrossRef]
- Prasitthipayong, A.; Vachhani, S.J.; Tumey, S.J.; Minor, A.M.; Hosemann, P. Indentation size effect in unirradiated and ion-irradiated 800H steel at high temperatures. Acta Mater. 2018, 144, 896–904. [Google Scholar] [CrossRef]
- Oliver, W.C.; Pharr, G.M. An improved technique for determining hardness and elastic modulus using load and displacement sensing indentation experiments. J. Mater. Res. 1992, 7, 1564–1583. [Google Scholar] [CrossRef]
- Li, X.; Bhushan, B. A review of nanoindentation continuous stiffness measurement technique and its applications. Mater. Charact. 2002, 48, 11–36. [Google Scholar] [CrossRef]
- Oliver, W.; Pharr, G. Measurement of hardness and elastic modulus by instrumented indentation: Advances in understanding and refinements to methodology. J. Mater. Res. 2004, 19, 3–20. [Google Scholar] [CrossRef]
- Menčík, J. Determination of mechanical properties by instrumented indentation. Meccanica 2007, 42, 19–29. [Google Scholar] [CrossRef]
- Pharr, G.M.; Strader, J.H.; Oliver, W.C. Critical issues in making small-depth mechanical property measurements by nanoindentation with continuous stiffness measurement. J. Mater. Res. 2009, 24, 653–666. [Google Scholar] [CrossRef]
- Herrmann, K. Hardness Testing: Principles and Applications; ASM International: Almere, The Netherlands, 2011. [Google Scholar] [CrossRef]
- ISO 14577-2:2015; Metallic Materials—Instrumented Indentation Test for Hardness and Materials Parameters—Part 2: Verification and Calibration of Testing Machines. International Organization for Standardization: Geneva, Switzerland, 2015.
- Hay, J.C.; Bolshakov, A.; Pharr, G.M. A critical examination of the fundamental relations used in the analysis of nanoindentation data. J. Mater. Res. 1999, 14, 2296–2305. [Google Scholar] [CrossRef]
- Agilent Technologies, Inc. Manual of Agilent Technologies Nano Indenter G200; Agilent Technologies, Inc.: Palo Alto, CA, USA, 2009. [Google Scholar]
- Anton Paar, Inc. NHT3 User Manual; Manual G71IB002EN-B; Anton Paar, Inc.: Ashland, VA, USA, 2017. [Google Scholar]
- Woirgard, J.; Bellaton, B.; Consiglio, R. Measuring Head for Nanoindentation Instrument and Measuring Method Using Same. U.S. Patent 7685868, 15 November 2005. [Google Scholar]
- Qian, Q.; Ma, H.; Fan, P.; Zhang, Q.; Li, K.; Du, A.; Li, J.; Feng, W.; Yuan, D. An improved approach to decouple the indentation size effect from nanoindentation hardness of ion-irradiated samples. J. Phys. Conf. Ser. 2024; to be published. [Google Scholar]
- Marteau, J.; Mazeran, P.E.; Bouvier, S.; Bigerelle, M. Zero-point correction method for nanoindentation tests to accurately quantify hardness and indentation size effect. Strain 2012, 48, 491–497. [Google Scholar] [CrossRef]
- Choi, Y.; Lee, H.S.; Kwon, D. Analysis of sharp-tip-indentation load-depth curve for contact area determination taking into account pile-up and sink-in effects. J. Mater. Res. 2004, 19, 3307–3315. [Google Scholar] [CrossRef]
- Bolshakov, A.; Pharr, G.M. Influences of pileup on the measurement of mechanical properties by load and depth sensing indentation techniques. J. Mater. Res. 1998, 13, 1049–1058. [Google Scholar] [CrossRef]
- Sullivan, M.; Prorok, B.C. Evaluating indent pile-up with metallic films on ceramic-like substrates. J. Mater. Res. 2015, 30, 2046–2054. [Google Scholar] [CrossRef]
- Stilwell, N.A.; Tabor, D. Elastic recovery of conical indentations. Proc. Phys. Soc. 1961, 78, 169–179. [Google Scholar] [CrossRef]
- Cheng, Y.T.; Cheng, C.m. Effects of ‘sinking in’ and ‘piling up’ on estimating the contact area under load in indentation. Philos. Mag. Lett. 1998, 78, 115–120. [Google Scholar] [CrossRef]
- Cheng, Y.T.; Cheng, C.M. What is indentation hardness? Surf. Coat. Technol. 2000, 133–134, 417–424. [Google Scholar] [CrossRef]
- Pöhl, F.; Huth, S.; Theisen, W. Indentation of self-similar indenters: An FEM-assisted energy-based analysis. J. Mech. Phys. Solids 2014, 66, 32–41. [Google Scholar] [CrossRef]
- McElhaney, K.W.; Vlassak, J.J.; Nix, W.D. Determination of indenter tip geometry and indentation contact area for depth-sensing indentation experiments. J. Mater. Res. 1998, 13, 1300–1306. [Google Scholar] [CrossRef]
- Jin, K.; Xia, Y.; Crespillo, M.; Xue, H.; Zhang, Y.; Gao, Y.F.; Bei, H. Quantifying early stage irradiation damage from nanoindentation pop-in tests. Scr. Mater. 2018, 157, 49–53. [Google Scholar] [CrossRef]
- Bec, S.; Tonck, A.; Georges, J.M.; Georges, E.; Loubet, J.L. Improvements in the indentation method with a surface force apparatus. Philos. Mag. A Phys. Condens. Matter Struct. Defects Mech. Prop. 1996, 74, 1061–1072. [Google Scholar] [CrossRef]
- Hardie, C.D.; Odette, G.R.; Wu, Y.; Akhmadaliev, S.; Roberts, S.G. Mechanical properties and plasticity size effect of Fe-6%Cr irradiated by Fe ions and by neutrons. J. Nucl. Mater. 2016, 482, 236–247. [Google Scholar] [CrossRef]
- Moharrami, N.; Bull, S.J. A comparison of nanoindentation pile-up in bulk materials and thin films. Thin Solid Films 2014, 572, 189–199. [Google Scholar] [CrossRef]
- Kese, K.; Li, Z.C. Semi-ellipse method for accounting for the pile-up contact area during nanoindentation with the Berkovich indenter. Scr. Mater. 2006, 55, 699–702. [Google Scholar] [CrossRef]
- Kareer, A.; Prasitthipayong, A.; Krumwiede, D.; Collins, D.M.; Hosemann, P.; Roberts, S.G. An analytical method to extract irradiation hardening from nanoindentation hardness-depth curves. J. Nucl. Mater. 2018, 498, 274–281. [Google Scholar] [CrossRef]
- Wang, Z.J.; Allen, F.I.; Shan, Z.W.; Hosemann, P. Mechanical behavior of copper containing a gas-bubble superlattice. Acta Mater. 2016, 121, 78–84. [Google Scholar] [CrossRef]
- Pharr, G.M.; Herbert, E.G.; Gao, Y. The Indentation Size Effect: A Critical Examination of Experimental Observations and Mechanistic Interpretations. Annu. Rev. Mater. Res. 2010, 40, 271–292. [Google Scholar] [CrossRef]
- Voyiadjis, G.Z.; Yaghoobi, M. Review of nanoindentation size effect: Experiments and atomistic simulation. Crystals 2017, 7, 8–10. [Google Scholar] [CrossRef]
- Xiao, X.; Yu, L. Nano-indentation of ion-irradiated nuclear structural materials: A review. Nucl. Mater. Energy 2020, 22, 100721. [Google Scholar] [CrossRef]
- Kasada, R.; Konishi, S.; Yabuuchi, K.; Nogami, S.; Ando, M.; Hamaguchi, D.; Tanigawa, H. Depth-dependent nanoindentation hardness of reduced-activation ferritic steels after MeV Fe-ion irradiation. Fusion Eng. Des. 2014, 89, 1637–1641. [Google Scholar] [CrossRef]
- Xiao, X.; Chen, Q.; Yang, H.; Duan, H.; Qu, J. A mechanistic model for depth-dependent hardness of ion irradiated metals. J. Nucl. Mater. 2017, 485, 80–89. [Google Scholar] [CrossRef]
- Nix, W.D.; Gao, H.J. Indentation size effects in crystalline materials: A law for strain gradient plasticity. J. Mech. Phys. Solids 1998, 46, 411–425. [Google Scholar] [CrossRef]
- Huang, Y.; Zhang, F.; Hwang, K.C.; Nix, W.D.; Pharr, G.M.; Feng, G. A model of size effects in nano-indentation. J. Mech. Phys. Solids 2006, 54, 1668–1686. [Google Scholar] [CrossRef]
- Feng, G.; Nix, W.D. Indentation size effect in MgO. Scr. Mater. 2004, 51, 599–603. [Google Scholar] [CrossRef]
- Feng, G.; Budiman, A.S.; Nix, W.D.; Tamura, N.; Patel, J.R. Indentation size effects in single crystal copper as revealed by synchrotron x-ray microdiffraction. J. Appl. Phys. 2008, 104, 043501. [Google Scholar] [CrossRef]
- Durst, K.; Backes, B.; Göken, M. Indentation size effect in metallic materials: Correcting for the size of the plastic zone. Scr. Mater. 2005, 52, 1093–1097. [Google Scholar] [CrossRef]
- Huang, H.; Bahr, D.; Nelson, J.; Kramer, D.; Kriese, M.; Wright, A.; Robach, J.; Gerberich, W. Yield strength predictions from the plastic zone around nanocontacts. Acta Mater. 1998, 47, 333–343. [Google Scholar]
- Dolph, C.K.; da Silva, D.J.; Swenson, M.J.; Wharry, J.P. Plastic zone size for nanoindentation of irradiated Fe-9%Cr ODS. J. Nucl. Mater. 2016, 481, 33–45. [Google Scholar] [CrossRef]
- Chen, J.; Bull, S.J. On the relationship between plastic zone radius and maximum depth during nanoindentation. Surf. Coat. Technol. 2006, 201, 4289–4293. [Google Scholar] [CrossRef]
- Mata, M.; Casals, O.; Alcalá, J. The plastic zone size in indentation experiments: The analogy with the expansion of a spherical cavity. Int. J. Solids Struct. 2006, 43, 5994–6013. [Google Scholar] [CrossRef]
- Johnson, K. The correlation of indentation experiments. J. Mech. Phys. Solids 1970, 18, 115–126. [Google Scholar] [CrossRef]
- Liu, X.; Wang, R.; Jiang, J.; Wu, Y.; Zhang, C.; Ren, A.; Xu, C.; Qian, W. Slow positron beam and nanoindentation study of irradiation-related defects in reactor vessel steels. J. Nucl. Mater. 2014, 451, 249–254. [Google Scholar] [CrossRef]
- Takayama, Y.; Kasada, R.; Sakamoto, Y.; Yabuuchi, K.; Kimura, A.; Ando, M.; Hamaguchi, D.; Tanigawa, H. Nanoindentation hardness and its extrapolation to bulk-equivalent hardness of F82H steels after single- and dual-ion beam irradiation. J. Nucl. Mater. 2013, 442, S23–S27. [Google Scholar] [CrossRef]
- Zhang, H.; Zhang, C.; Yang, Y.; Meng, Y.; Jang, J.; Kimura, A. Irradiation hardening of ODS ferritic steels under helium implantation and heavy-ion irradiation. J. Nucl. Mater. 2014, 455, 349–353. [Google Scholar] [CrossRef]
- Saleh, M.; Zaidi, Z.; Ionescu, M.; Hurt, C.; Short, K.; Daniels, J.; Munroe, P.; Edwards, L.; Bhattacharyya, D. Relationship between damage and hardness profiles in ion irradiated SS316 using nanoindentation—Experiments and modelling. Int. J. Plast. 2016, 86, 151–169. [Google Scholar] [CrossRef]
- Duan, B.; Heintze, C.; Bergner, F.; Ulbricht, A.; Akhmadaliev, S.; Oñorbe, E.; de Carlan, Y.; Wang, T. The effect of the initial microstructure in terms of sink strength on the ion-irradiation-induced hardening of ODS alloys studied by nanoindentation. J. Nucl. Mater. 2017, 495, 118–127. [Google Scholar] [CrossRef]
- Xiao, X.; Yu, L. A hardening model for the cross-sectional nanoindentation of ion-irradiated materials. J. Nucl. Mater. 2018, 511, 220–230. [Google Scholar] [CrossRef]
- Saleh, M.; Xu, A.; Hurt, C.; Ionescu, M.; Daniels, J.; Munroe, P.; Edwards, L.; Bhattacharyya, D. Oblique cross-section nanoindentation for determining the hardness change in ion-irradiated steel. Int. J. Plast. 2019, 112, 242–256. [Google Scholar] [CrossRef]
- Hosemann, P. Studying radiation damage in structural materials by using ion accelerators. Rev. Accel. Sci. Technol. Accel. Appl. Ind. Environ. 2012, 4, 161–182. [Google Scholar] [CrossRef]
- Röder, F.; Heintze, C.; Pecko, S.; Akhmadaliev, S.; Bergner, F.; Ulbricht, A.; Altstadt, E. Nanoindentation of ion-irradiated reactor pressure vessel steels–model-based interpretation and comparison with neutron irradiation. Philos. Mag. 2018, 90, 911–933. [Google Scholar] [CrossRef]
- Vogel, K.; Heintze, C.; Chekhonin, P.; Akhmadaliev, S.; Altstadt, E.; Bergner, F. Relationships between depth-resolved primary radiation damage, irradiation-induced nanostructure and nanoindentation response of ion-irradiated Fe-Cr and ODS Fe-Cr alloys. Nucl. Mater. Energy 2020, 24, 100759. [Google Scholar] [CrossRef]
- Anderoglu, O.; Byun, T.S.; Toloczko, M.; Maloy, S.A. Mechanical performance of ferritic martensitic steels for high dose applications in advanced nuclear reactors. Metall. Mater. Trans. A 2013, 44, 70–83. [Google Scholar] [CrossRef]
- Kim, H.S.; Lee, D.H.; Seok, M.Y.; Zhao, Y.; Kim, W.J.; Kwon, D.; Jin, H.H.; Kwon, J.; il Jang, J. A novel way to estimate the nanoindentation hardness of only-irradiated layer and its application to ion irradiated Fe-12Cr alloy. J. Nucl. Mater. 2017, 487, 343–347. [Google Scholar] [CrossRef]
- Makin, M.J.; Minter, F.J. Irradiation hardening in copper and nickel. Acta Metall. 1960, 8, 691–699. [Google Scholar] [CrossRef]
- Liu, K.; Long, X.; Li, B.; Xiao, X.; Jiang, C. A hardening model considering grain size effect for ion-irradiated polycrystals under nanoindentation. Nucl. Eng. Technol. 2021, 53, 2960–2967. [Google Scholar] [CrossRef]
- Liu, K.; Zhang, B.; Long, X.; Deng, H.; Xiao, X.; Jiang, C. Revealing the hardening mechanisms of ion-irradiated nanostructured multilayers/substrate systems: A theoretical model. Int. J. Plast. 2021, 138, 102925. [Google Scholar] [CrossRef]
- Zinkle, S.J.; Matsukawa, Y. Observation and analysis of defect cluster production and interactions with dislocations. J. Nucl. Mater. 2004, 329–333, 88–96. [Google Scholar] [CrossRef]
- Seeger, A.K. On the Theory of Radiation Damage and Radiation Hardening. In Proceedings of the 2nd United Nations International Conference on the Peaceful Uses of Atomic Energy. UN, Geneva, Switzerland, 1–13 September 1958; Volume 6, p. 250. [Google Scholar]
- Xiao, X.; Yu, L. Comparison of linear and square superposition hardening models for the surface nanoindentation of ion-irradiated materials. J. Nucl. Mater. 2018, 503, 110–115. [Google Scholar] [CrossRef]
- Weng, G.J. A micromechanical theory of grain-size dependence in metal plasticity. J. Mech. Phys. Solids 1983, 31, 193–203. [Google Scholar] [CrossRef]
- Cheng, G.M.; Xu, W.Z.; Wang, Y.Q.; Misra, A.; Zhu, Y.T. Grain size effect on radiation tolerance of nanocrystalline Mo. Scr. Mater. 2016, 123, 90–94. [Google Scholar] [CrossRef]
- Tang, C.; Stueber, M.; Seifert, H.J.; Steinbrueck, M. Protective coatings on zirconium-based alloys as accident-Tolerant fuel (ATF) claddings. Corros. Rev. 2017, 35, 141–165. [Google Scholar] [CrossRef]
- Terrani, K.A. Accident tolerant fuel cladding development: Promise, status, and challenges. J. Nucl. Mater. 2018, 501, 13–30. [Google Scholar] [CrossRef]
- Kashkarov, E.; Afornu, B.; Sidelev, D.; Krinitcyn, M.; Gouws, V.; Lider, A. Recent advances in protective coatings for accident tolerant Zr-based fuel claddings. Coatings 2021, 11, 557. [Google Scholar] [CrossRef]
- Was, G.S.; Petti, D.; Ukai, S.; Zinkle, S. Materials for future nuclear energy systems. J. Nucl. Mater. 2019, 527, 151837. [Google Scholar] [CrossRef]
- Serag, E.; Caers, B.; Schuurmans, P.; Lucas, S.; Haye, E. Challenges and coating solutions for wear and corrosion inside Lead Bismuth Eutectic: A review. Surf. Coat. Technol. 2022, 441, 128542. [Google Scholar] [CrossRef]
- Tai, P.; Pang, L.; Shen, T.; Wang, Z.; Jin, P.; Huang, S.; Chang, H.; Wei, K.; Cui, M.; Sun, J.; et al. Microstructure evolution and nanohardness of nanostructured TiAlN coating under N+ ion irradiation. Surf. Coat. Technol. 2022, 441, 128494. [Google Scholar] [CrossRef]
- Misra, A.; Hirth, J.P.; Hoagland, R.G. Length-scale-dependent deformation mechanisms in incoherent metallic multilayered composites. Acta Mater. 2005, 53, 4817–4824. [Google Scholar] [CrossRef]
- Daghbouj, N.; Sen, H.S.; Čížek, J.; Lorinčík, J.; Karlík, M.; Callisti, M.; Čech, J.; Havránek, V.; Li, B.; Krsjak, V.; et al. Characterizing heavy ions-irradiated Zr/Nb: Structure and mechanical properties. Mater. Des. 2022, 219, 110732. [Google Scholar] [CrossRef]
- Marteau, J.; Bouvier, S.; Bigerelle, M. Review on Numerical Modeling of Instrumented Indentation Tests for Elastoplastic Material Behavior Identification. Arch. Comput. Methods Eng. 2014, 22, 577–593. [Google Scholar] [CrossRef]
- Wang, Q.; Long, F.; Wang, Z.; Guo, N.; Daymond, M.R. Orientation dependent evolution of plasticity of irradiated Zr-2.5Nb pressure tube alloy studied by nanoindentation and finite element modeling. J. Nucl. Mater. 2018, 512, 371–384. [Google Scholar] [CrossRef]
- Roters, F.; Eisenlohr, P.; Bieler, T.R.; Raabe, D. Crystal Plasticity Finite Element Methods; John Wiley & Sons, Ltd.: Hoboken, NJ, USA, 2010. [Google Scholar] [CrossRef]
- Frydrych, K. Modelling Irradiation Effects in Metallic Materials Using the Crystal Plasticity Theory: A Review. Crystals 2023, 13, 771. [Google Scholar] [CrossRef]
- Xiao, X.; Yu, L. Cross-sectional nano-indentation of ion-irradiated steels: Finite element simulations based on the strain-gradient crystal plasticity theory. Int. J. Eng. Sci. 2019, 143, 56–72. [Google Scholar] [CrossRef]
- Xiao, G.; Yang, X.; Qiu, J.; Chang, C.; Liu, E.; Duan, Q.; Shu, X.; Wang, Z. Determination of power hardening elastoplastic constitutive relation of metals through indentation tests with plural indenters. Mech. Mater. 2019, 138, 103173. [Google Scholar] [CrossRef]
- Xiao, X.; Chen, L.; Yu, L.; Duan, H. Modelling nano-indentation of ion-irradiated FCC single crystals by strain-gradient crystal plasticity theory. Int. J. Plast. 2019, 116, 216–231. [Google Scholar] [CrossRef]
- Yabuuchi, K.; Kuribayashi, Y.; Nogami, S.; Kasada, R.; Hasegawa, A. Evaluation of irradiation hardening of proton irradiated stainless steels by nanoindentation. J. Nucl. Mater. 2014, 446, 142–147. [Google Scholar] [CrossRef]
- Xiao, X.; Terentyev, D.; Chu, H.; Duan, H. Theoretical models for irradiation hardening and embrittlement in nuclear structural materials: A review and perspective. Acta Mech. Sin. Xuebao 2020, 36, 397–411. [Google Scholar] [CrossRef]
- Rice, J. Inelastic constitutive relations for solids: An internal-variable theory and its application to metal plasticity. J. Mech. Phys. Solids 1971, 19, 433–455. [Google Scholar] [CrossRef]
- Peirce, D.; Asaro, R.; Needleman, A. An analysis of nonuniform and localized deformation in ductile single crystals. Acta Metall. 1982, 30, 1087–1119. [Google Scholar] [CrossRef]
- Shu, J.Y.; Fleck, N.A. Strain gradient crystal plasticity: Size-dependentdeformation of bicrystals. J. Mech. Phys. Solids 1999, 47, 297–324. [Google Scholar] [CrossRef]
- Han, C.S.; Gao, H.; Huang, Y.; Nix, W.D. Mechanism-based strain gradient crystal plasticity—I. Theory. J. Mech. Phys. Solids 2005, 53, 1188–1203. [Google Scholar] [CrossRef]
- Han, C.S.; Gao, H.; Huang, Y.; Nix, W.D. Mechanism-based strain gradient crystal plasticity—II. Analysis. J. Mech. Phys. Solids 2005, 53, 1204–1222. [Google Scholar] [CrossRef]
- Lee, W.B.; Chen, Y.P. Simulation of micro-indentation hardness of FCC single crystals by mechanism-based strain gradient crystal plasticity. Int. J. Plast. 2010, 26, 1527–1540. [Google Scholar] [CrossRef]
- Ma, A.; Roters, F. A constitutive model for fcc single crystals based on dislocation densities and its application to uniaxial compression of aluminium single crystals. Acta Mater. 2004, 52, 3603–3612. [Google Scholar] [CrossRef]
- Dunne, F.P.; Rugg, D.; Walker, A. Lengthscale-dependent, elastically anisotropic, physically-based hcp crystal plasticity: Application to cold-dwell fatigue in Ti alloys. Int. J. Plast. 2007, 23, 1061–1083. [Google Scholar] [CrossRef]
- Reuber, C.; Eisenlohr, P.; Roters, F.; Raabe, D. Dislocation density distribution around an indent in single-crystalline nickel: Comparing nonlocal crystal plasticity finite-element predictions with experiments. Acta Mater. 2014, 71, 333–348. [Google Scholar] [CrossRef]
- Cheng, J.; Lane, R.; Kesler, M.S.; Brechtl, J.; Hu, X.; Mirzaeifar, R.; Rios, O.; Momen, A.M.; Nawaz, K. Experiment and non-local crystal plasticity finite element study of nanoindentation on Al-8Ce-10Mg alloy. Int. J. Solids Struct. 2021, 233, 111233. [Google Scholar] [CrossRef]
- Liu, M.; Tieu, A.K.; Lu, C.; Zhu, H.; Deng, G. A crystal plasticity study of the effect of friction on the evolution of texture and mechanical behaviour in the nano-indentation of an aluminium single crystal. Comput. Mater. Sci. 2014, 81, 30–38. [Google Scholar] [CrossRef]
- Deo, C.; Tomé, C.; Lebensohn, R.; Maloy, S. Modeling and simulation of irradiation hardening in structural ferritic steels for advanced nuclear reactors. J. Nucl. Mater. 2008, 377, 136–140. [Google Scholar] [CrossRef]
- Demiral, M.; Roy, A.; Silberschmidt, V.V. Indentation studies in b.c.c. crystals with enhanced model of strain-gradient crystal plasticity. Comput. Mater. Sci. 2013, 79, 896–902. [Google Scholar] [CrossRef]
- Lewandowski, M.J.; Stupkiewicz, S. Size effects in wedge indentation predicted by a gradient-enhanced crystal-plasticity model. Int. J. Plast. 2018, 109, 54–78. [Google Scholar] [CrossRef]
- Xiao, X.; Terentyev, D.; Bakaev, A.; Zinovev, A.; Dubinko, A.; Zhurkin, E.E. Crystal plasticity finite element method simulation for the nano-indentation of plasma-exposed tungsten. J. Nucl. Mater. 2019, 518, 334–341. [Google Scholar] [CrossRef]
- Shi, J.; Liu, G.; Wu, K.; Yu, P.; Zhu, H.; Zhao, G.; Shen, Y. Experiments and/or crystal plasticity finite element modeling of the mechanical properties of pristine and irradiated tungsten single crystal. Int. J. Plast. 2022, 154, 103293. [Google Scholar] [CrossRef]
- Ziegler, J.F.; Ziegler, M.; Biersack, J. SRIM—The stopping and range of ions in matter. Nucl. Instrum. Methods Phys. Res. B Beam Interact. Mater. At. 2010, 268, 1818–1823. [Google Scholar] [CrossRef]
- Abdolvand, H.; Daymond, M.R.; Mareau, C. Incorporation of twinning into a crystal plasticity finite element model: Evolution of lattice strains and texture in Zircaloy-2. Int. J. Plast. 2011, 27, 1721–1738. [Google Scholar] [CrossRef]
- Patra, A.; McDowell, D.L. Crystal plasticity-based constitutive modelling of irradiated bcc structures. Philos. Mag. 2012, 92, 861–887. [Google Scholar] [CrossRef]
- Zhao, N.; Roy, A.; Wang, W.; Zhao, L.; Silberschmidt, V.V. Coupling crystal plasticity and continuum damage mechanics for creep assessment in Cr-based power-plant steel. Mech. Mater. 2019, 130, 29–38. [Google Scholar] [CrossRef]
- Yu, Q.; Chatterjee, S.; Roche, K.J.; Po, G.; Marian, J. Coupling crystal plasticity and stochastic cluster dynamics models of irradiation damage in tungsten. Model. Simul. Mater. Sci. Eng. 2021, 29, 055021. [Google Scholar] [CrossRef]
- Wang, Q.; Cochrane, C.; Skippon, T.; Wang, Z.; Abdolvand, H.; Daymond, M.R. Orientation-dependent irradiation hardening in pure Zr studied by nanoindentation, electron microscopies, and crystal plasticity finite element modeling. Int. J. Plast. 2020, 124, 133–154. [Google Scholar] [CrossRef]
- Lin, P.; Nie, J.; Liu, M. Study on irradiation effect in stress-strain response with CPFEM during nano-indentation. Nucl. Mater. Energy 2020, 22, 100737. [Google Scholar] [CrossRef]
- Wheeler, J.M.; Michler, J. Invited Article: Indenter materials for high temperature nanoindentation. Rev. Sci. Instrum. 2013, 84, 101301. [Google Scholar] [CrossRef] [PubMed]
- Kiener, D.; Wurmshuber, M.; Alfreider, M.; Schaffar, G.J.; Maier-Kiener, V. Recent advances in nanomechanical and in situ testing techniques: Towards extreme conditions. Curr. Opin. Solid State Mater. Sci. 2023, 27, 101108. [Google Scholar] [CrossRef]
- Wheeler, J.M.; Michler, J. Elevated temperature, nano-mechanical testing in situ in the scanning electron microscope. Rev. Sci. Instrum. 2013, 84, 045103. [Google Scholar] [CrossRef] [PubMed]
- Chavoshi, S.Z.; Gallo, S.C.; Dong, H.; Luo, X. High temperature nanoscratching of single crystal silicon under reduced oxygen condition. Mater. Sci. Eng. A 2017, 684, 385–393. [Google Scholar] [CrossRef]
- Huang, Z.; Abad, M.D.; Ramsey, J.K.; de Figueiredo, M.R.; Kaoumi, D.; Li, N.; Asta, M.; Gronbech-Jensen, N.; Hosemann, P. A high temperature mechanical study on PH 13-8 Mo maraging steel. Mater. Sci. Eng. A 2016, 651, 574–582. [Google Scholar] [CrossRef]
- Harris, A.J.; Beake, B.D.; Armstrong, D.E.; Davies, M.I. Development of High Temperature Nanoindentation Methodology and its Application in the Nanoindentation of Polycrystalline Tungsten in Vacuum to 950 °C. Exp. Mech. 2017, 57, 1115–1126. [Google Scholar] [CrossRef]
- Minnert, C.; Oliver, W.C.; Durst, K. New ultra-high temperature nanoindentation system for operating at up to 1100 °C. Mater. Des. 2020, 192, 108727. [Google Scholar] [CrossRef]
- Gibson, J.S.; Roberts, S.G.; Armstrong, D.E. High temperature indentation of helium-implanted tungsten. Mater. Sci. Eng. A 2015, 625, 380–384. [Google Scholar] [CrossRef]
- Wirth, B.D.; Odette, G.R.; Marian, J.; Ventelon, L.; Young-Vandersall, J.A.; Zepeda-Ruiz, L.A. Multiscale modeling of radiation damage in Fe-based alloys in the fusion environment. J. Nucl. Mater. 2004, 329–333, 103–111. [Google Scholar] [CrossRef]
- Malerba, L.; Caturla, M.J.; Gaganidze, E.; Kaden, C.; Konstantinović, M.J.; Olsson, P.; Robertson, C.; Rodney, D.; Ruiz-Moreno, A.M.; Serrano, M.; et al. Multiscale modelling for fusion and fission materials: The M4F project. Nucl. Mater. Energy 2021, 29, 101051. [Google Scholar] [CrossRef]
- Accelerator Simulation and Theoretical Modelling of Radiation Effects—SMoRE-II, 2016–2023. Available online: https://www.iaea.org/projects/crp/t14003 (accessed on 6 May 2024).
- European Database for Multiscale Modelling of Radiation Damage, 2020–2024. Available online: https://cordis.europa.eu/project/id/900018 (accessed on 6 May 2024).
- Marian, J.; Becquart, C.S.; Domain, C.; Dudarev, S.L.; Gilbert, M.R.; Kurtz, R.J.; Mason, D.R.; Nordlund, K.; Sand, A.E.; Snead, L.L.; et al. Recent advances in modeling and simulation of the exposure and response of tungsten to fusion energy conditions. Nucl. Fusion 2017, 57, 092008. [Google Scholar] [CrossRef]
- Monnet, G. Multiscale modeling of irradiation hardening: Application to important nuclear materials. J. Nucl. Mater. 2018, 508, 609–627. [Google Scholar] [CrossRef]
- Gilbert, M.R.; Arakawa, K.; Bergstrom, Z.; Caturla, M.J.; Dudarev, S.L.; Gao, F.; Goryaeva, A.M.; Hu, S.Y.; Hu, X.; Kurtz, R.J.; et al. Perspectives on multiscale modelling and experiments to accelerate materials development for fusion. J. Nucl. Mater. 2021, 554, 153113. [Google Scholar] [CrossRef]
- Guanghong, L. Multiscale Modeling and Simulation of Fusion Metallic Material under Neutron Irradiation. At. Energy Sci. Technol. 2021, 55, 1–7. (In Chinese) [Google Scholar] [CrossRef]
- Chen, D.; He, X.; Chu, G.; He, X.; Jia, L.; Wang, Z.; Yang, W.; Hu, C. An overview: Multiscale simulation in understanding the radiation damage accumulation of reactor materials. Simulation 2021, 97, 659–675. [Google Scholar] [CrossRef]
- Golubov, S.; Barashev, A.; Stoller, R.E. Reaction Rate Theory. In Comprehensive Nuclear Materials; Elsevier: Amsterdam, The Netherlands, 2020; pp. 717–753. [Google Scholar] [CrossRef]
- Jourdan, T. Rate Theory: Cluster Dynamics, Grouping Methods, and Best Practices. In Handbook of Materials Modeling: Applications: Current and Emerging Materials, 2nd ed.; Springer: Cham, Switzerland, 2020; pp. 2489–2501. [Google Scholar] [CrossRef]
- Stoller, R.E.; Golubov, S.I.; Domain, C.; Becquart, C.S. Mean field rate theory and object kinetic Monte Carlo: A comparison of kinetic models. J. Nucl. Mater. 2008, 382, 77–90. [Google Scholar] [CrossRef]
- Domain, C.; Becquart, C.S. Object Kinetic Monte Carlo (OKMC): A Coarse-Grained Approach to Radiation Damage. In Handbook of Materials Modeling; Springer International Publishing: Cham, Switzerland, 2020; pp. 1287–1312. [Google Scholar] [CrossRef]
- Wang, X.; Luo, Y.; Dong, Y.; Yao, W. Study on Irradiation Damage of RPV Steels Based on Coupling Cluster Dynamics and Crystal Plasticity Finite Element Method. In Proceedings of the 2020 International Conference on Nuclear Engineering collocated with the ASME 2020 Power Conference, Volume 3: Student Paper Competition; Thermal-Hydraulics; Verification and Validation, Virtual, 4–5 August 2020; p. V003T12A017. [Google Scholar] [CrossRef]
- Yu, Q.; Po, G.; Marian, J. Physics-based model of irradiation creep for ferritic materials under fusion energy operation conditions. J. Appl. Phys. 2022, 132, 225101. [Google Scholar] [CrossRef]
- Engels, P.S.; Begau, C.; Gupta, S.; Schmaling, B.; Ma, A.; Hartmaier, A. Multiscale Modeling of Nanoindentation: From Atomistic to Continuum Models; Solid Mechanics and Its Applications; Springer: Dordrecht, The Netherlands, 2014; Volume 203, pp. 285–322. [Google Scholar] [CrossRef]








| High Temperature Challenges | Solutions |
|---|---|
| Frame compliance variation with temperature | Watercool frame to prevent changes in frame modulus and/or use high temperature materials with negligible modulus change within temperature range |
| Sensor/actuator calibrations change with temperature | Remove sensors/actuators from hot zone using insulators and active cooling |
| Contact surface temperature uncertainty | Measure surface temperature directly with surface mounted thermocouple or thermally instrumented and calibrated indenter, then match indenter temperature to sample surface temperature |
| Excessive thermal drift during testing | Increase stabilization time or tune indenter/sample temperatures for closer match |
| Indenter reacts with environment/sample | Exchange indenter material for more chemically stable material, e.g., use sapphire instead of diamond for indenting steels or in oxygen |
| Sample/indenter oxidizes at temperature | Implement system inside a vacuum chamber or environment chamber with inert gas |
Disclaimer/Publisher’s Note: The statements, opinions and data contained in all publications are solely those of the individual author(s) and contributor(s) and not of MDPI and/or the editor(s). MDPI and/or the editor(s) disclaim responsibility for any injury to people or property resulting from any ideas, methods, instructions or products referred to in the content. |
© 2024 by the authors. Licensee MDPI, Basel, Switzerland. This article is an open access article distributed under the terms and conditions of the Creative Commons Attribution (CC BY) license (https://creativecommons.org/licenses/by/4.0/).
Share and Cite
Ma, H.; Fan, P.; Qian, Q.; Zhang, Q.; Li, K.; Zhu, S.; Yuan, D. Nanoindentation Test of Ion-Irradiated Materials: Issues, Modeling and Challenges. Materials 2024, 17, 3286. https://doi.org/10.3390/ma17133286
Ma H, Fan P, Qian Q, Zhang Q, Li K, Zhu S, Yuan D. Nanoindentation Test of Ion-Irradiated Materials: Issues, Modeling and Challenges. Materials. 2024; 17(13):3286. https://doi.org/10.3390/ma17133286
Chicago/Turabian StyleMa, Hailiang, Ping Fan, Qiuyu Qian, Qiaoli Zhang, Ke Li, Shengyun Zhu, and Daqing Yuan. 2024. "Nanoindentation Test of Ion-Irradiated Materials: Issues, Modeling and Challenges" Materials 17, no. 13: 3286. https://doi.org/10.3390/ma17133286
APA StyleMa, H., Fan, P., Qian, Q., Zhang, Q., Li, K., Zhu, S., & Yuan, D. (2024). Nanoindentation Test of Ion-Irradiated Materials: Issues, Modeling and Challenges. Materials, 17(13), 3286. https://doi.org/10.3390/ma17133286

