Multi-Scale Study of a Phase Change Material on a Tropical Island for Evaluating Its Impact on Human Comfort in the Building Sector
Abstract
1. Introduction
2. Literature Review
- PCMs with melting temperatures lower than 21 °C can be used for cooling functions in buildings;
- PCMs with melting temperatures comprised between 20 and 30 °C are suitable for indoor thermal comfort in buildings;
- PCMs having a melting temperature between 29 and 60 °C can be used in energy storage, in particular for hot water production;
- Finally, PCMs with a melting temperature higher than 60 °C are dedicated to the heating function.
3. Materials and Methods
3.1. Material
3.2. Scanning Electron Microscopy
3.3. Chemical Analyses
3.4. DSC Experiments
- (i)
- The sample was initially cooled from ambient temperature to −70 °C using a −5 °C min−1 thermal ramp;
- (ii)
- It was maintained at −70 °C for 15 min to ensure its thermal equilibrium;
- (iii)
- Then, the thermal profile was recorded as a function of the temperature, with a constant heating ramp β, up to 100 °C in an inert atmosphere. This analysis section enabled us to determine the PCM’s melting characteristics (onset and endset temperatures and latent heat);
- (iv)
- Ultimately, the PCM sample was cooled down to −70 °C using a thermal ramp of −β (i.e., opposite to the value used during the heating step). In this way, the crystallization properties of the material were measured accurately.
3.5. Thermogravimetric Analyses
3.6. Thermomechanical Experiments
3.7. Outdoor Environment Description
3.8. Pilot Station
3.9. Data Collection
- The indoor air;
- The inner surface of the walls, ceiling, and floor;
- The outer surface of the north wall.
3.10. Thermal Performance Analysis
- The efficiency of the exchange of thermal energy through the north wall with the PCM;
- The intensity of thermal discomfort (ITD).
- Air velocity = 0.2 m s−1;
- Clothing = 1.3 clo (trousers, shirt, sweater, and jacket);
- Metabolic rate = 1 met (seated with sedentary activity);
- Average radiant temperature = 23 °C;
- Relative humidity = 50%.
4. Results and Discussion
4.1. Structural and Chemical Analyses
4.1.1. Scanning Electron Microscopy (SEM)
4.1.2. Fourier Transform Infrared Spectroscopy
4.2. Evolution of Thermal and Thermomechanical Properties with Temperature
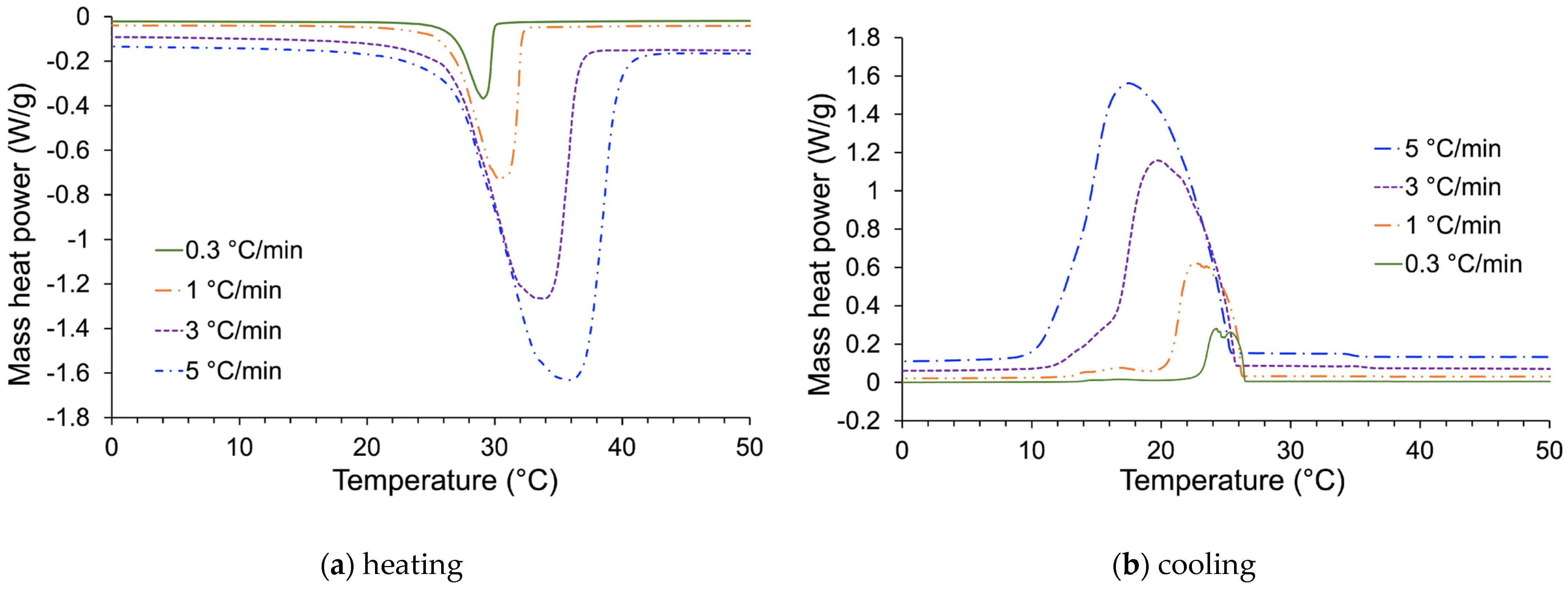
4.2.1. Differential Scanning Calorimetry (DSC)
4.2.2. Dynamic Rheometry
- Melting or softening of the binder (matrix in which the micro-spheres are dispersed);
- Thermal degradation of the composite material.

4.2.3. Thermogravimetric Analysis (TGA)
4.3. Onsite Data Analysis
4.3.1. Temperature
4.3.2. Heat Flux
4.4. Analysis of Environmental Variables and Thermal Comfort
4.4.1. Selection of Study Periods
- The summer season (January to April) noted “1”.
- The winter season (June to September) noted “2”.
- Two seasonal clear-sky days with maximum solar irradiance:
- -
- a summer day (26 February 2021);
- -
- a winter day (23 August 2021).
- For summer, we chose the hottest period of the summer season, focusing on a day characterized by clear skies, high solar radiation, and low wind speeds. These conditions were selected because they represent extreme summer scenarios that impose significant thermal loads on building envelopes, challenging the PCM’s capacity to mitigate heat gain.
- In contrast, the winter day selected had overcast skies and higher wind speeds, typical of winter conditions where heat loss is more pronounced. This day was chosen to reflect a scenario where the PCM’s ability to reduce heat loss is crucial. Additionally, this day exhibited higher heat fluxes through the exterior walls, which were critical for evaluating the PCM’s performance in minimizing heat loss during colder periods.
4.4.2. Method of Analysis
4.4.3. Summer Day: 26 February 2021
4.4.4. Winter Day: 23 August 2021
4.4.5. Seasonal Studies on the PCM
5. Conclusions
Author Contributions
Funding
Institutional Review Board Statement
Informed Consent Statement
Data Availability Statement
Conflicts of Interest
References
- Ministère de L’égalité des TERRITOIRES et du logement, Décret n° 2010-1269 du 26 Octobre 2010 Relatif aux Caractéristiques Thermiques et à la Performance Énergétique des Constructions, JORF n°0250 du 27 Octobre 2010. 2010. Available online: https://www.legifrance.gouv.fr/loda/id/JORFTEXT000022959342 (accessed on 13 September 2022).
- Ministère de la Transition Écologique, Décret n° 2021-1004 du 29 Juillet 2021 Relatif aux Exigences de Performance Énergétique et Environnementale des Constructions de Bâtiments en France Métropolitaine, JORF n° 0176 du 31 juillet 2021. 2021. Available online: https://www.legifrance.gouv.fr/jorf/id/JORFTEXT000043877196 (accessed on 13 September 2022).
- Ministère de la Transition Écologique et Solidaire. Programmation pluriannuelle de l’énergie Réunion; Technical Report; Ministère de la Transition Écologique et Solidaire: Paris, France, 2019. [Google Scholar]
- Observatoire Énergie Réunion. Bilan Énergétique de la Réunion 2017; Technical Report; Observatoire Énergie Réunion: Réunion, France, 2018. [Google Scholar]
- Observatoire Énergie Réunion. Bilan Énergétique de la Réunion 2018; Technical Report; Observatoire Énergie Réunion: Réunion, France, 2019. [Google Scholar]
- Faghri, A.; Zhang, Y. Introduction to transport phenomena. In Transport Phenomena in Multiphase Systems; Faghri, A., Zhang, Y., Eds.; Elsevier Academic Press: Boston, MA, USA, 2006; pp. 1–106. [Google Scholar]
- Pielichowska, K.; Pielichowski, K. Phase change materials for thermal energy storage. Prog. Mater. Sci. 2014, 65, 67–123. [Google Scholar] [CrossRef]
- Abhat, A. Low temperature latent heat thermal energy storage: Heat storage materials. Sol. Energy 1983, 30, 313–332. [Google Scholar] [CrossRef]
- Farid, M.M.; Khudhair, A.M.; Razack, S.A.K.; Al-Hallaj, S. A review on phase change energy storage: Materials and applications. Energy Convers. Manag. 2004, 45, 1597–1615. [Google Scholar] [CrossRef]
- Nazir, H.; Batool, M.; Bolivar Osorio, F.J.; Isaza-Ruiz, M.; Xu, X.; Vignarooban, K.; Phelan, P.; Inamuddin; Kannan, A.M. Recent developments in phase change materials for energy storage applications: A review. Int. J. Heat Mass Transf. 2019, 129, 491–523. [Google Scholar] [CrossRef]
- Sharma, A.; Tyagi, V.V.; Chen, C.; Buddhi, D. Review on thermal energy storage with phase change materials and applications. Renew. Sustain. Energy Rev. 2009, 13, 318–345. [Google Scholar] [CrossRef]
- Yang, L.; Jin, X.; Zhang, Y.; Du, K. Recent development on heat transfer and various applications of phase-change materials. J. Clean. Prod. 2021, 287, 124432. [Google Scholar] [CrossRef]
- Al-Absi, Z.A.; Mohd Isa, M.H.; Ismail, M. Phase change materials (pcms) and their optimum position in building walls. Sustainability 2020, 12, 1294. [Google Scholar] [CrossRef]
- Lamrani, B.; Johannes, K.; Kuznik, F. Phase change materials integrated into building walls: An updated review. Renew. Sustain. Energy Rev. 2021, 140, 110751. [Google Scholar] [CrossRef]
- Kenisarin, M.M. Thermophysical properties of some organic phase change materials for latent heat storage. a review. Sol. Energy 2014, 107, 553–575. [Google Scholar] [CrossRef]
- Aftab, W.; Huang, X.; Wu, W.; Liang, Z.; Mahmood, A.; Zou, R. Nanoconfined phase change materials for thermal energy applications. Energy Environ. Sci. 2018, 11, 1392–1424. [Google Scholar] [CrossRef]
- Alkan, C.; Günther, E.; Hiebler, S.; Ensari, Ö.F.; Kahraman, D. Polyurethanes as solid-solid phase change materials for thermal energy storage. Sol. Energy 2012, 86, 1761–1769. [Google Scholar] [CrossRef]
- Du, X.; Wang, H.; Wu, Y.; Du, Z.; Cheng, X. Solid–solid phase-change materials based on hyperbranched polyurethane for thermal energy storage. J. Appl. Polym. Sci. 2017, 26, 134. [Google Scholar] [CrossRef]
- Aftab, W.; Mahmood, A.; Guo, W.; Yousaf, M.; Tabassum, H.; Huang, X.; Liang, Z.; Cao, A.; Zou, R. Polyurethane-based flexible and conductive phase change composites for energy conversion and storage. Energy Storage Mater. 2019, 20, 401–409. [Google Scholar] [CrossRef]
- Zalba, B.; Marin, J.M.; Cabeza, L.F.; Mehling, H. Review on thermal energy storage with phase change: Materials, heat transfer analysis and applications. Appl. Therm. Eng. 2003, 23, 251–283. [Google Scholar] [CrossRef]
- Khudhair, A.M.; Farid, M.M. A review on energy conservation in building applications with thermal storage by latent heat using phase change materials. Energy Convers. Manag. 2004, 45, 263–275. [Google Scholar] [CrossRef]
- Zhang, Y.; Zhou, G.; Lin, K.; Zhang, Q.; Di, H. Application of latent heat thermal energy storage in buildings: State-of-the-art and outlook. Build. Environ. 2007, 42, 2197–2209. [Google Scholar] [CrossRef]
- Zhou, D.; Zhao, C.Y.; Tian, Y. Review on thermal energy storage with phase change materials (pcms) in building applications. Appl. Energy 2012, 92, 593–605. [Google Scholar] [CrossRef]
- Song, M.; Niu, F.; Mao, N.; Hu, Y.; Deng, S. Review on building energy performance improvement using phase change materials. Energy Build. 2018, 158, 776–793. [Google Scholar] [CrossRef]
- da Cunha, S.R.L.; de Aguiar, J.L.B. Phase change materials and energy efficiency of buildings: A review of knowledge. J. Energy Storage 2020, 27, 101083. [Google Scholar] [CrossRef]
- Cabeza, L.F.; Castell, A.; Barreneche, C.; Gracia, A.D.; Fernández, A.I.; de Gracia, A.; Fernández, A.I. Materials used as PCM in thermal energy storage in buildings: A review. Renew. Sustain. Energy Rev. 2011, 15, 1675–1695. [Google Scholar] [CrossRef]
- Jeon, J.; Lee, J.-H.; Seo, J.; Jeong, S.-G.; Kim, S. Application of PCM thermal energy storage system to reduce building energy consumption. J. Therm. Anal. Calorim. 2013, 111, 279–288. [Google Scholar] [CrossRef]
- Ben Romdhane, S.; Amamou, A.; Ben Khalifa, R.; Saïd, N.M.; Younsi, Z.; Jemni, A. A review on thermal energy storage using phase change materials in passive building applications. J. Build. Eng. 2020, 32, 101563. [Google Scholar] [CrossRef]
- Ahmadi, Y.; Kim, K.H.; Kim, S.; Tabatabaei, M. Recent advances in polyurethanes as efficient media for thermal energy storage. Energy Storage Mater. 2020, 30, 74–86. [Google Scholar] [CrossRef]
- Cao, Q.; Liu, P. Hyperbranched polyurethane as novel solid-solid phase change material for thermal energy storage. Eur. Polym. J. 2006, 42, 2931–2939. [Google Scholar] [CrossRef]
- Kuznik, F.; David, D.; Johannes, K.; Roux, J.-J. A review on phase change materials integrated in building walls. Renew. Sustain. Energy Rev. 2011, 15, 379–391. [Google Scholar] [CrossRef]
- Soares, N.; Costa, J.J.; Gaspar, A.R.; Santos, P. Review of passive pcm latent heat thermal energy storage systems towards buildings’ energy efficiency. Energy Build. 2013, 59, 82–103. [Google Scholar] [CrossRef]
- Akeiber, H.; Nejat, P.; Majid, M.Z.A.; Wahid, M.A.; Jomehzadeh, F.; Zeynali Famileh, I.; Calautit, J.K.; Hughes, B.R.; Zaki, S.A. A review on phase change material (PCM) for sustainable passive cooling in building envelopes. Renew. Sustain. Energy Rev. 2016, 60, 1470–1497. [Google Scholar] [CrossRef]
- Faraj, K.; Khaled, M.; Faraj, J.; Hachem, F.; Castelain, C. A review on phase change materials for thermal energy storage in buildings: Heating and hybrid applications. J. Energy Storage 2021, 33, 101913. [Google Scholar] [CrossRef]
- Liu, Z.; Fu, X.; Jiang, L.; Wu, B.; Wang, J.; Lei, J. Solvent-free synthesis and properties of novel solid-solid phase change materials with biodegradable castor oil for thermal energy storage. Sol. Energy Mater. Sol. Cells 2016, 147, 177–184. [Google Scholar] [CrossRef]
- Du, X.; Wang, H.; Cheng, X.; Du, Z. Synthesis and thermal energy storage properties of a solid-solid phase change material with a novel comb-polyurethane block copolymer structure. RSC Adv. 2016, 6, 42643–42648. [Google Scholar] [CrossRef]
- Lee, K.O.; Medina, M.A.; Raith, E.; Sun, X. Assessing the integration of a thin phase change material (PCM) layer in a residential building wall for heat transfer reduction and management. Appl. Energy 2015, 137, 699–706. [Google Scholar] [CrossRef]
- Murrill, E.; Breed, L. Solid-solid phase transitions determined by differential scanning calorimetry. Thermochim. Acta 1969, 1, 239–246. [Google Scholar] [CrossRef]
- Zhang, Z.Y.; Yang, L. Heat capacities and phase transitions of 1,1,1-trihydroxymethylpropane and pentaerythritol over the superambient temperature range. Thermochim. Acta 1989, 156, 157–161. [Google Scholar] [CrossRef]
- Zhang, Z.-Y.; Xu, Y.-P. Measurement of the thermal conductivities of 2-amino-2-methyl-1,3-propanediol (AMP), 2-amino-2-hydroxymethyl-1,3-propanediol (TRIS) and the mixture (AMP plus TRIS, mole ratio 50:50) in the temperature range from 20 °C to their super-melting temperatures. Sol. Energy 2001, 71, 299–303. [Google Scholar] [CrossRef]
- Xi, P.; Duan, Y.; Fei, P.; Xia, L.; Liu, R.; Cheng, B. Synthesis and thermal energy storage properties of the polyurethane solid-solid phase change materials with a novel tetrahydroxy compound. Eur. Polym. J. 2012, 48, 1295–1303. [Google Scholar] [CrossRef]
- Busico, V.; Carfagna, C.; Salerno, V.; Vacatello, M.; Fittipaldi, F. The layer perovskites as thermal energy storage systems. Sol. Energy 1980, 24, 575–579. [Google Scholar] [CrossRef]
- Li, W.; Zhang, D.; Zhang, T.; Wang, T.; Ruan, D.; Xing, D.; Li, H. Study of solid-solid phase change of (n−CnH2n+1NH3)2MCl4 for thermal energy storage. Thermochim. Acta 1999, 326, 183–186. [Google Scholar] [CrossRef]
- Gao, C.F.; Wang, L.P.; Li, Q.F.; Wang, C.; Nan, Z.D.; Lan, X.Z. Tuning thermal properties of latent heat storage material through confinement in porous media: The case of (1−CnH2n+1NH3)2ZnCl4 (n = 10 and 12). Sol. Energy Mater. Sol. Cells 2014, 128, 221–230. [Google Scholar] [CrossRef]
- Barreneche, C.; Navarro, H.; Serrano, S.; Cabeza, L.F.; Fernández, A.I. New database on phase change materials for thermal energy storage in buildings to help PCM selection. Energy Procedia 2014, 57, 2408–2415. [Google Scholar] [CrossRef]
- Lu, X.; Fang, C.; Sheng, X.; Zhang, L.; Qu, J. One-step and solvent-free synthesis of polyethylene glycol-based polyurethane as solid-solid phase change materials for solar thermal energy storage. Ind. Eng. Chem. Res. 2019, 58, 3024–3032. [Google Scholar] [CrossRef]
- Tyagi, V.V.; Pandey, A.K.; Kothari, R.; Tyagi, S.K. Thermodynamics and performance evaluation of encapsulated PCM-based energy storage systems for heating application in building. J. Therm. Anal. Calorim. 2014, 115, 915–924. [Google Scholar] [CrossRef]
- Ahmad, M.; Bontemps, A.; Sallée, H.; Quenard, D. Thermal testing and numerical simulation of a prototype cell using light wallboards coupling vacuum isolation panels and phase change material. Energy Build. 2006, 38, 673–681. [Google Scholar] [CrossRef]
- Ahmad, M.; Bontemps, A.; Sallée, H.; Quenard, D. Experimental investigation and computer simulation of thermal behaviour of wallboards containing a phase change material. Energy Build. 2006, 38, 357–366. [Google Scholar] [CrossRef]
- Yang, L.; Qiao, Y.; Liu, Y.; Zhang, X.; Zhang, C.; Liu, J. A kind of PCMs-based lightweight wallboards: Artificial controlled condition experiments and thermal design method investigation. Build. Environ. 2018, 144, 194–207. [Google Scholar] [CrossRef]
- Voelker, C.; Kornadt, O.; Ostry, M. Temperature reduction due to the application of phase change materials. Energy Build. 2008, 40, 937–944. [Google Scholar] [CrossRef]
- Barreneche, C.; Navarro, L.; Gracia, A.D.; Fernández, A.I.; Cabeza, L.F. In situ thermal and acoustic performance and environmental impact of the introduction of a shape-stabilized PCM layer for building applications. Renew. Energy 2016, 85, 281–286. [Google Scholar] [CrossRef]
- Kim, H.B.; Mae, M.; Choi, Y.; Kiyota, T. Experimental analysis of thermal performance in buildings with shape-stabilized phase change materials. Energy Build. 2017, 152, 524–533. [Google Scholar] [CrossRef]
- Zhang, Y.; Xu, X.; Di, H.; Lin, K.; Yang, R. Experimental study on the thermal performance of the shape-stabilized phase change material floor used in passive solar buildings. J. Sol. Energy Eng. Trans. ASME 2006, 128, 255–257. [Google Scholar] [CrossRef]
- Zhu, N.; Hu, N.; Hu, P.; Lei, F.; Li, S. Experiment study on thermal performance of building integrated with double layers shape-stabilized phase change material wallboard. Energy 2019, 167, 1164–1180. [Google Scholar] [CrossRef]
- Shi, J.; Huang, X.; Guo, H.; Shan, X.; Xu, Z.; Zhao, X.; Sun, Z.; Aftab, W.; Qu, C.; Yao, R.; et al. Experimental investigation and numerical validation on the energy-saving performance of a passive phase change material floor for a real scale building. ES Energy Environ. 2020, 8, 21–28. [Google Scholar] [CrossRef]
- Mandilaras, I.; Stamatiadou, M.; Katsourinis, D.; Zannis, G.; Founti, M. Experimental thermal characterization of a mediterranean residential building with PCM gypsum board walls. Build. Environ. 2013, 61, 93–103. [Google Scholar] [CrossRef]
- Biswas, K.; Lu, J.; Soroushian, P.; Shrestha, S. Combined experimental and numerical evaluation of a prototype nano-PCM enhanced wallboard. Appl. Energy 2014, 131, 517–529. [Google Scholar] [CrossRef]
- Castell, A.; Farid, M.M. Experimental validation of a methodology to assess PCM effectiveness in cooling building envelopes passively. Energy Build. 2014, 81, 59–71. [Google Scholar] [CrossRef]
- Barzin, R.; Chen, J.J.; Young, B.R.; Farid, M.M. Application of PCM energy storage in combination with night ventilation for space cooling. Appl. Energy 2015, 158, 412–421. [Google Scholar] [CrossRef]
- Barzin, R.; Chen, J.J.J.; Young, B.R.; Farid, M.M. Application of PCM underfloor heating in combination with PCM wallboards for space heating using price based control system. Appl. Energy 2015, 148, 39–48. [Google Scholar] [CrossRef]
- Shilei, L.; Neng, Z.; Guohui, F. Impact of phase change wall room on indoor thermal environment in winter. Energy Build. 2006, 38, 18–24. [Google Scholar] [CrossRef]
- Athienitis, A.K.; Liu, C.; Hawes, D.; Banu, D.; Feldman, D. Investigation of the thermal performance of a passive solar test-room with wall latent heat storage. Build. Environ. 1997, 32, 405–410. [Google Scholar] [CrossRef]
- Németh, B.; Ujhidy, A.; Tóth, J.; Gyenis, J.; Feczkó, T. Testing of microencapsulated phase-change heat storage in experimental houses under winter weather conditions. Build. Environ. 2021, 204, 108119. [Google Scholar] [CrossRef]
- Cabeza, L.F.; Castellón, C.; Nogués, M.; Medrano, M.; Leppers, R.; Zubillaga, O. Use of microencapsulated PCM in concrete walls for energy savings. Energy Build. 2007, 39, 113–119. [Google Scholar] [CrossRef]
- Castellón, C.; Castell, A.; Medrano, M.; Martorell, I.; Cabeza, L.F. Experimental study of PCM inclusion in different building envelopes. J. Sol. Energy Eng. Trans. ASME 2009, 131, 0410061–0410066. [Google Scholar] [CrossRef]
- Meng, E.; Wang, J.; Yu, H.; Cai, R.; Chen, Y.; Zhou, B. Experimental study of the thermal protection performance of the high reflectivity-phase change material (PCM) roof in summer. Build. Environ. 2019, 164, 106381. [Google Scholar] [CrossRef]
- Entrop, A.G.; Brouwers, H.J.H.; Reinders, A.H.M.E. Experimental research on the use of micro-encapsulated phase change materials to store solar energy in concrete floors and to save energy in dutch houses. Sol. Energy 2011, 85, 1007–1020. [Google Scholar] [CrossRef]
- Sá, A.V.; Azenha, M.; Sousa, H.D.; Samagaio, A. Thermal enhancement of plastering mortars with phase change materials: Experimental and numerical approach. Energy Build. 2012, 49, 16–27. [Google Scholar] [CrossRef]
- Kheradmand, M.; Azenha, M.; de Aguiar, J.L.B.; Castro-Gomes, J. Experimental and numerical studies of hybrid PCM embedded in plastering mortar for enhanced thermal behaviour of buildings. Energy 2016, 94, 250–261. [Google Scholar]
- Cerón, I.; Neila, J.; Khayet, M. Experimental tile with phase change materials (PCM) for building use. Energy Build. 2011, 43, 1869–1874. [Google Scholar] [CrossRef]
- Gracia, A.D.; Navarro, L.; Castell, A.; Ruiz-Pardo, A.; Alvárez, S.; Cabeza, L.F. Experimental study of a ventilated facade with PCM during winter period. Energy Build. 2013, 58, 324–332. [Google Scholar] [CrossRef]
- Rathore, P.K.S.; Shukla, S.K. An experimental evaluation of thermal behavior of the building envelope using macroencapsulated PCM for energy savings. Renew. Energy 2019, 149, 1300–1313. [Google Scholar] [CrossRef]
- Akeiber, H.J.; Hosseini, S.E.; Hussen, H.M.; Wahid, M.A.; Mohammad, A.T. Thermal performance and economic evaluation of a newly developed phase change material for effective building encapsulation. Energy Convers. Manag. 2017, 150, 48–61. [Google Scholar] [CrossRef]
- Hasan, M.I.; Basher, H.O.; Shdhan, A.O. Experimental investigation of phase change materials for insulation of residential buildings. Sustain. Cities Soc. 2018, 36, 42–58. [Google Scholar] [CrossRef]
- Al-Yasiri, Q.; Szabó, M. Thermal performance of concrete bricks based phase change material encapsulated by various aluminium containers: An experimental study under iraqi hot climate conditions. J. Energy Storage 2021, 40, 102710. [Google Scholar] [CrossRef]
- Konuklu, Y.; Paksoy, H.Ö. Phase change material sandwich panels for managing solar gain in buildings. J. Sol. Energy Eng. Trans. ASME 2009, 131, 0410121–0410127. [Google Scholar] [CrossRef]
- Silva, T.; Vicente, R.; Rodrigues, F.; Samagaio, A.; Cardoso, C. Performance of a window shutter with phase change material under summer mediterranean climate conditions. Appl. Therm. Eng. 2015, 84, 246–256. [Google Scholar] [CrossRef]
- Silva, T.; Vicente, R.; Soares, N.; Ferreira, V. Experimental testing and numerical modelling of masonry wall solution with PCM incorporation: A passive construction solution. Energy Build. 2012, 49, 235–245. [Google Scholar] [CrossRef]
- Meng, E.; Yu, H.; Zhan, G.; He, Y. Experimental and numerical study of the thermal performance of a new type of phase change material room. Energy Convers. Manag. 2013, 74, 386–394. [Google Scholar] [CrossRef]
- Shi, X.; Memon, S.A.; Tang, W.; Cui, H.; Xing, F. Experimental assessment of position of macro encapsulated phase change material in concrete walls on indoor temperatures and humidity levels. Energy Build. 2014, 71, 80–87. [Google Scholar] [CrossRef]
- Saxena, R.; Rakshit, D.; Kaushik, S.C. Experimental assessment of phase change material (PCM) embedded bricks for passive conditioning in buildings. Renew. Energy 2020, 149, 587–599. [Google Scholar] [CrossRef]
- Jumaux, G.; Quetelard, H.; Roy, D. Atlas Climatique de la Réunion; Météo-France, Direction interrégionale de la Réunion: Réunion, France, 2011. [Google Scholar]
- Peel, M.C.; Finlayson, B.L.; Mcmahon, T.A. Hydrology and earth system sciences updated world map of the köppen-geiger climate classification. Hydrol. Earth Syst. Sci. 2007, 11, 1633–1644. [Google Scholar] [CrossRef]
- Evola, G.; Marletta, L.; Sicurella, F. A methodology for investigating the effectiveness of PCM wallboards for summer thermal comfort in buildings. Build. Environ. 2013, 59, 517–527. [Google Scholar] [CrossRef]
- ASHRAE Standard 55; Thermal Environmental Conditions for Human Occupancy. ANSI: Washington, DC, USA, 2023.
- EN 15251:2007; Indoor Environmental Input Parameters for Design and Assessment of Energy Performance of Buildings Addressing Indoor Air Quality, Thermal Environment, Lighting and Acoustics. European Commission: Brussels, Belgium, 2007.
- Fanger, P.O. Thermal comfort: Analysis and applications in environmental engineering. Appl. Ergon. 1972, 3, 181. [Google Scholar]
- Hoof, J.V. Forty years of Fanger’s model of thermal comfort: Comfort for all? Indoor Air 2008, 18, 182–201. [Google Scholar] [CrossRef]
- Castellón, C.; Günther, E.; Mehling, H.; Hiebler, S.; Cabeza, L.F. Determination of the enthalpy of PCM as a function of temperature using a heat-flux DSC—A study of different measurement procedures and their accuracy. Int. J. Energy Res. 2008, 32, 1258–1265. [Google Scholar] [CrossRef]
- Jin, X.; Xu, X.; Zhang, X.; Yin, Y. Determination of the PCM melting temperature range using DSC. Thermochim. Acta 2014, 595, 17–21. [Google Scholar] [CrossRef]
- Fořt, J.; Pavlík, Z.; Trník, A.; Pavlíková, M.; Černý, R. Effect of the mode and dynamics of thermal processes on DSC-acquired phase-change temperature and latent heat of different kinds of PCM. Mater. Tehnol. 2017, 51, 919–924. [Google Scholar] [CrossRef]
- MTES. Code de L’énergie—Légifrance. 2022. Available online: https://www.legifrance.gouv.fr/codes/id/LEGITEXT000023983208/ (accessed on 3 March 2024).
- Djongyang, N.; Tchinda, R.; Njomo, D. Thermal comfort: A review paper. Renew. Sustain. Energy Rev. 2010, 14, 2626–2640. [Google Scholar] [CrossRef]
- Givoni, B. Comfort, climate analysis and building design guidelines. Energy Build. 1992, 18, 11–23. [Google Scholar] [CrossRef]
- Liu, L.; Hammami, N.; Trovalet, L.; Bigot, D.; Habas, J.-P.; Malet-Damour, B. Description of phase change materials (PCMs) used in buildings under various climates: A review. J. Energy Storage 2022, 56, 105760. [Google Scholar] [CrossRef]
- Hammami, N.; Liu, L.; Trovalet, L.; Bigot, D.; Malet-Damour, B.; Habas, J.P. Can vegetable oils be used as sustainable phase change materials for thermal energy storage in building? Mater. Today Sustain. 2023, 23, 100469. [Google Scholar] [CrossRef]



















| Material | Surface Transmittance (W m−2 K−1) | Density (kg m−3) | Thickness (m) |
|---|---|---|---|
| Composite wall (galvanized steel, polyurethane foam, galvanized steel) | 0.58 | 40 | 0.4 |
| Day | Outdoor Air Temperature Range (°C) | Reference Cell Air Temperature Range (°C) | Diffuse/Global Irradiation Ratio |
|---|---|---|---|
| 23 August 2021 (winter) | 8.4–20 | 10–27 | 0.11 |
| 15 October 2021 (mid-season) | 13.7–27.6 | 15.5–31.6 | 0.1 |
| 26 February 2021 (summer) | 19–26.2 | 20.4–31.7 | 0.32 |
| Heating Rate (°C min−1) | Process | Onset (°C) | Peak (°C) | Endset (°C) | Enthalpy (kJ kg−1) |
|---|---|---|---|---|---|
| 5 | Melting | 26.9 | 35.7 | 39.6 | 160 |
| −5 | Solidification | 25.3 | 17.8 | 12.4 | 157 |
| 3 | Melting | 26.8 | 33.6 | 36.5 | 162 |
| −3 | Solidification | 25.7 | 19.9 | 16.2 | 160 |
| 1 | Melting | 26.6 | 30.2 | 32.1 | 167 |
| −1 | Solidification | 26.0 | 22.7 | 20.4 | 161 |
| 0.3 | Melting | 26.9 | 29.0 | 29.9 | 171 |
| −0.3 | Solidification | 26.4 | 24.4 | 22.8 | 161 |
| Date | ② Melting Endset (°C) | ④ Crystallization Endset (°C) |
|---|---|---|
| 26 February 2021 (summer) | 28.3 | 23.4 |
| 15 October 2021 (mid-season) | 28.5 | 22.2 |
| Date | Melting Endset (°C) | Crystallization Endset (°C) | ||||
|---|---|---|---|---|---|---|
| Graphical ② | DSC (*) | Absolute Difference | Graphical ④ | DSC (*) | Absolute Difference | |
| 26 February 2021 (summer) | 28.3 | 29.9 | 1.6 | 23.4 | 22.8 | 0.6 |
| 15 October 2021 (mid-season) | 28.5 | 29.9 | 1.4 | 22.2 | 22.8 | 0.6 |
Disclaimer/Publisher’s Note: The statements, opinions and data contained in all publications are solely those of the individual author(s) and contributor(s) and not of MDPI and/or the editor(s). MDPI and/or the editor(s) disclaim responsibility for any injury to people or property resulting from any ideas, methods, instructions or products referred to in the content. |
© 2024 by the authors. Licensee MDPI, Basel, Switzerland. This article is an open access article distributed under the terms and conditions of the Creative Commons Attribution (CC BY) license (https://creativecommons.org/licenses/by/4.0/).
Share and Cite
Liu, L.; Hammami, N.; Bigot, D.; Malet-Damour, B.; Habas, J.-P. Multi-Scale Study of a Phase Change Material on a Tropical Island for Evaluating Its Impact on Human Comfort in the Building Sector. Materials 2024, 17, 3241. https://doi.org/10.3390/ma17133241
Liu L, Hammami N, Bigot D, Malet-Damour B, Habas J-P. Multi-Scale Study of a Phase Change Material on a Tropical Island for Evaluating Its Impact on Human Comfort in the Building Sector. Materials. 2024; 17(13):3241. https://doi.org/10.3390/ma17133241
Chicago/Turabian StyleLiu, Lisa, Nadia Hammami, Dimitri Bigot, Bruno Malet-Damour, and Jean-Pierre Habas. 2024. "Multi-Scale Study of a Phase Change Material on a Tropical Island for Evaluating Its Impact on Human Comfort in the Building Sector" Materials 17, no. 13: 3241. https://doi.org/10.3390/ma17133241
APA StyleLiu, L., Hammami, N., Bigot, D., Malet-Damour, B., & Habas, J.-P. (2024). Multi-Scale Study of a Phase Change Material on a Tropical Island for Evaluating Its Impact on Human Comfort in the Building Sector. Materials, 17(13), 3241. https://doi.org/10.3390/ma17133241

