Experimental and Numerical Study of Membrane Residual Stress in Q690 High-Strength Steel Welded Box Section Compressed Member
Abstract
1. Introduction
2. Experimental Process
2.1. Specimens
2.2. Sectioning Process
- Measurement before partial sectioning: It was essential to mark the cutting lines and drill gauge holes before measuring. Figure 4 displays a specimen marked with cutting lines and gauge holes. The initial gauge length was measured using a Whittemore strain gauge. Three sets of gauge length measurements were recorded, with discrepancies between them being less than 0.01 mm. Measurements were taken on both surfaces of the plates. To eliminate deviations due to temperature variation, the gauge length of a reference strip was measured. Then, the sectioning zone, as marked in step 1, was cut from the specimen using a sawing machine.
- Measurement before plate separation: Since the hole spacing inside the box could not be measured prior to partial sectioning, an additional measurement step, identical to the method described in step 2, was conducted. Then, the sectioning zone was divided into individual plates using a wire-cut electron discharge machine (WEDM).
- Measurement before complete sectioning: The gauge lengths of each plate’s strips were measured as in step 2 for two main reasons: Firstly, it was impossible to measure the inner-side distance of the strips at the plate junctions prior to separating the plates. Secondly, the results from this step could be refined using the self-equilibrium of the plate. Then, strips were cut from the plates using a WEDM, with most strips being 10 mm wide. However, strips from the compressive zone of the wide plate were 20 mm wide. Figure 5 exemplifies this by displaying RB-1’s strips post-sectioning.
- Measurement after complete sectioning: Gauge lengths for the strips from each plate were measured, following the same procedure as in step 2. Additionally, bending deformations in curved strips were measured after sectioning.
3. Test Results
3.1. Measured Residual Stress
3.2. Self-Equilibrium of Section
3.3. Simplified Model of Membrane Residual Stress
4. Unified Residual Stress Model Based on FEM
4.1. Finite Element Model
4.2. Finite Element Model Verification
4.3. Unified Residual Stress Model
5. Conclusions
- The welding residual stress adheres to the self-equilibrium criteria of the entire section, but not to the self-equilibrium of individual plates. The plate’s unbalanced force is influenced by section sizes and welding parameters.
- A larger plate size correlates with a decrease in the residual compressive stress across the section, with a more pronounced reduction observed in adjacent plates. Additionally, augmenting the number of welding passes tends to diminish residual compressive stresses across the section.
- The membrane residual compressive stress of the unified model advocated by ECCS exhibits an average of 9.4 times the measured values obtained in this study. The models proposed by Ban and Smodi are, on average, 3.5 and 1.5 times, respectively.
- A 3DTEFEM tailored for Q690 steel welded box sections was developed to conduct parameter analysis, culminating in the development of a precise unified model. It can serve as an accurate residual stress model for the buckling analysis of the compressed member.
Author Contributions
Funding
Institutional Review Board Statement
Informed Consent Statement
Data Availability Statement
Conflicts of Interest
Abbreviations
References
- Ban, H.Y.; Shi, G.; Shi, Y.J. Experimental and unified model investigations on residual stress within high strength steel welded I-sections. Eng. Mech. 2014, 31, 83–91. (In Chinese) [Google Scholar]
- Wang, J.; Di, J.; Zhang, Q.; Qin, F. Overall buckling behaviour of Q420–Q960 steel welded H-section axial compression members. Eng. Struct. 2021, 249, 113340. [Google Scholar] [CrossRef]
- Li, T.J.; Li, G.Q.; Wang, Y.B. Residual stress tests of welded Q690 high-strength steel box- and H-sections. J. Constr. Steel Res. 2015, 115, 283–289. [Google Scholar] [CrossRef]
- Ban, H.Y.; Shi, G.; Shi, Y.J. Experimental study on residual stress in 960MPa high strength steel welded box sections and unified model. China Civ. Eng. J. 2013, 46, 63–69. (In Chinese) [Google Scholar]
- Somodi, B.; Kövesdi, B. Residual stress measurements on welded square box sections using steel grades of S235–S960. Thin-Walled Struct. 2018, 123, 142–154. [Google Scholar] [CrossRef]
- JGJ/T 483-2020; Specifications for Design of High Strength Steel Structure. China Architecture Press: Beijing, China, 2020. (In Chinese)
- European Committee for Standardization (CEN). Eurocode 3—Design of Steel Structures—Part 1–12: Additional Rules for the Extension of EN 1993 up to Steel Grades S 700; European Committee for Standardization (CEN): Brussels, Belgium, 2007. [Google Scholar]
- ANSI/AISC 360-22; Specification for Structural Steel Buildings. American Institute of Steel Construction (AISC): Chicago, IL, USA, 2022.
- Wang, N.; Luo, L.; Liu, Y.; Peng, R. Research progress on stress measurement technology for metal components. Chin. J. Sci. Instrum. 2017, 38, 2508–2517. (In Chinese) [Google Scholar]
- Tsui, T.Y.; Oliver, W.C.; Pharr, G.M. Influences of stress on the measurement of mechanical properties using nanoindentation: Part I. Experimental studies in an aluminum alloy. J. Mater. Res. 1996, 11, 752–759. [Google Scholar] [CrossRef]
- Xin, H.; Xing, T.; Dai, H.; Zhang, J.; Yao, C.; Cui, M.; Zhang, Q. Study on Residual Stress in Disc-Milling Grooving of Blisks. Materials 2022, 15, 7261. [Google Scholar] [CrossRef] [PubMed]
- Liu, J.L. Study on Characterization and Control of Residual Stress in Low Alloy Steel Plate and Components. Master’s Thesis, China University of Petroleum, Beijing, China, 2023. (In Chinese). [Google Scholar]
- Abuku, S.; Cullity, B.D. A magnetic method for the determination of residual stress. Exp. Mech. 1971, 11, 217–223. [Google Scholar] [CrossRef]
- Rasmussen, K.J.R.; Hancock, G.J. Plate slenderness limits for high strength steel sections. J. Constr. Steel Res. 1992, 23, 73–96. [Google Scholar] [CrossRef]
- Rasmussen, K.J.R.; Hancock, G.J. Tests of high strength steel columns. J. Constr. Steel Res. 1995, 34, 27–52. [Google Scholar] [CrossRef]
- Ban, H.Y.; Shi, G.; Shi, Y.J.; Wang, Y. Investigation on residual stress in Q460 high strength steel welded box sections. J. Build. Struct. 2013, 34, 14–21. (In Chinese) [Google Scholar]
- Yang, B.; Zhu, Q.; Nie, S.D.; Elchalakani, M.; Xiong, G. Experimental and model investigation on residual stresses in Q460GJ thick-walled I-shaped sections. J. Constr. Steel Res. 2018, 145, 489–503. [Google Scholar] [CrossRef]
- Khan, M.; Paradowska, A.; Uy, B.; Mashiri, F.; Tao, Z. Residual stresses in high strength steel welded box sections. J. Constr. Steel Res. 2016, 116, 55–64. [Google Scholar] [CrossRef]
- Clarin, M. High Strength Steel: Local Buckling and Residual Stresses. Master’s Thesis, Luleå Tekniska Universitet, Luleå, Sweden, 2004. [Google Scholar]
- Wang, Y.B.; Li, G.Q.; Chen, S.W. The assessment of residual stresses in welded high strength steel box sections. J. Constr. Steel Res. 2012, 76, 93–99. [Google Scholar] [CrossRef]
- Cao, X.; Xu, Y.; Wang, M.; Zhao, G.; Gu, L.; Kong, Z. Experimental study on the residual stresses of 800 MPa high strength steel welded box sections. J. Constr. Steel Res. 2018, 148, 720–727. [Google Scholar] [CrossRef]
- Li, S. Modeling of Welding-induced Residual Stresses and Sensitization in Typical Dissimilar Metal Welded Joints Used in Power Plant Equipment. Ph.D. Thesis, Chongqing University, Chongqing, China, 2021. (In Chinese). [Google Scholar]
- Ueda, Y.; Yamakawa, T. Analysis of thermal elastic-plastic stress and strain during welding by finite element method. Jpn. Weld. Soc. Trans. 1971, 2, 90–100. [Google Scholar]
- Hibbitt, H.D.; Marcal, P.V. A numerical, thermo-mechanical model for the welding and subsequent loading of a fabricated structure. Comput. Struct. 1973, 3, 1145–1174. [Google Scholar] [CrossRef]
- Wang, Y.B. Experimental and Theoretical Study on Ultimate strength of Welded Q460 High Strength Steel Columns. Ph.D. Thesis, Tongji University, Shanghai, China, 2012. (In Chinese). [Google Scholar]
- Zhang, C.H.; Sun, J.M.; Li, Y.L.; Deng, D.A. Numerical simulation of residual stress of butt-welded joint involved in complex column-beam welded structure. J. Manuf. Process. 2022, 83, 458–470. [Google Scholar] [CrossRef]
- Leblond, J.B.; Mottet, G.; Devaux, J.; Devaux, J.C. Mathematical models of anisothermal phase transformations in steels, and predicted plastic behaviour. Mater. Sci. Technol. 1985, 1, 815–822. [Google Scholar] [CrossRef]
- Sjöström, S. Interactions and constitutive models for calculating quench stresses in steel. Mater. Sci. Technol. 1985, 1, 823–829. [Google Scholar] [CrossRef]
- Inoue, T.; Wang, Z. Coupling between stress, temperature, and metallic structures during processes involving phase transformations. Mater. Sci. Technol. 1985, 1, 845–850. [Google Scholar] [CrossRef]
- Denis, S.; Gautier, E.; Simon, A.; Beck, G. Stress-phase-transformation interactions—Basic principles, modelling, and calculation of internal stresses. Mater. Sci. Technol. 1985, 1, 805–814. [Google Scholar] [CrossRef]
- Wang, Y.; Liu, M.; Zhang, H.; Wen, Z.; Chang, M.; Feng, G.; Deng, D. Fabrication of reliable ZTA composite/Ti6Al4V alloy joints via vacuum brazing method: Microstructural evolution, mechanical properties and residual stress prediction. J. Eur. Ceram. Soc. 2021, 41, 4273–4283. [Google Scholar] [CrossRef]
- Hu, L.; Li, X.X.; Luo, W.Z.; Li, S.; Deng, D.A. Residual stress and deformation in UHS quenched steel butt-welded joint. Int. J. Mech. Sci. 2023, 245, 108099. [Google Scholar] [CrossRef]
- Li, S.; Hu, L.; Dai, P.Y.; Bi, T.; Deng, D.A. Influence of the groove shape on welding residual stresses in P92/SUS304 dissimilar metal butt-welded joints. J. Manuf. Process. 2021, 66, 376–386. [Google Scholar] [CrossRef]
- Huang, S.; Qiao, S.; Shao, C.; Li, L.; Li, S.; Deng, D.; Lu, F. Study on residual stress evolution of laser cladding low chromium carbon alloy on low-pressure rotor. J. Manuf. Process. 2023, 85, 31–42. [Google Scholar] [CrossRef]
- Tebedge, N.; Alpsten, G.; Tall, L. Residual-stress Measurement by the Sectioning Method. Exp. Mech. 1973, 13, 88–96. [Google Scholar] [CrossRef]
- Wang, G.Z.; Zhao, W.W. Measurement of residual stress in welded and hot-rolled I-section steel member. Ind. Constr. 1986, 16, 32–37. (In Chinese) [Google Scholar]
- AWS A5.28/A5.28M-2005(R2015); Specification for Low-Alloy Steel Electrodes and Rods for Gas Shielded Arc Welding. American Welding Society: Miami, FL, USA, 2015.
- GB/T 8110-2020; Welding Electrodes and Rods for Gas Shielding Arc Welding of Carbon and Low Alloy Steel. Standardization Administration of China: Beijing, China, 2021. (In Chinese)
- GB/T 25774.1-2023; Test Methods for Welding Consumables—Part 1: Preparation of Deposited Metal Test Pieces and Specimens for Mechanical Properties in Steel, Nickel and Nickel Alloys. Standards Press of China: Beijing, China, 2023. (In Chinese)
- GB/T 228.1-2021; Metallic Materials—Tensile Testing—Part 1: Method of Test at Room Temperature. Standards Press of China: Beijing, China, 2021. (In Chinese)
- GB/T 2975-2018; Steel and Steel Products: Location and Preparation of Test Pieces for Mechanical Testing. Standards Press of China: Beijing, China, 2019. (In Chinese)
- Sherman, D.R. Residual stress measurement in tubular members. Struct. Div. Proc. Am. Soc. Civ. Eng. 1969, 4, 635–647. [Google Scholar] [CrossRef]
- European Convention for Constructional Steelworks. Manual on Stability of Steel Structures: Part 2.2 Mechanical Properties and Residual Stresses; ECCS: Bruxelles, Belgium, 1976; pp. 31–46. [Google Scholar]
- Schaffer, E.L. Structural Fire Protection; ASCE: Preston, VA, USA, 2015. [Google Scholar]
- Duan, B.; Ma, D.Z. Modern Welding Engineering Handbook: Basic Volume; Chemical Industry Press: Beijing, China, 2016. (In Chinese) [Google Scholar]
- Qiang, X.; Bijlaard, F.; Kolstein, H. Dependence of mechanical properties of high strength steel S690 on elevated temperatures. Constr. Build. Mater. 2012, 30, 73–79. [Google Scholar] [CrossRef]




















| Specimen | Statistical Indicator | Hb (mm) | Bb (mm) | tx (mm) | ts (mm) | bb/ts | hb/tx | L (mm) | Number of Welding Passes |
|---|---|---|---|---|---|---|---|---|---|
| RB-1 | MV | 203.2 | 204.6 | 11.94 | 11.97 | 15.10 | 15.01 | 1142 | 2 |
| SD | 0.3 | 0.5 | 0.03 | 0.03 | 0.04 | 0.03 | 4 | — | |
| RB-2 | MV | 203.5 | 324.8 | 11.95 | 11.96 | 25.16 | 15.03 | 1621 | 2 |
| SD | 0.4 | 0.3 | 0.02 | 0.03 | 0.02 | 0.03 | 3 | — | |
| RB-3 | MV | 323.1 | 204.4 | 11.91 | 11.94 | 15.12 | 25.12 | 1620 | 2 |
| SD | 0.4 | 0.2 | 0.05 | 0.04 | 0.03 | 0.03 | 3 | — | |
| RB-4 | MV | 212.1 | 264.5 | 11.93 | 11.95 | 20.14 | 15.78 | 1378 | 2 |
| SD | 0.3 | 0.3 | 0.02 | 0.03 | 0.04 | 0.01 | 3 | — | |
| RB-5 | MV | 203.8 | 204.3 | 11.93 | 11.96 | 15.09 | 15.08 | 1142 | 1 |
| SD | 0.2 | 0.2 | 0.04 | 0.02 | 0.02 | 0.04 | 4 | — |
| Welding Wire | C | Mn | Si | S | P | Cr | Ni | Mo | Cu | Fe |
|---|---|---|---|---|---|---|---|---|---|---|
| CHW-80C | 0.076 | 1.86 | 0.52 | 0.006 | 0.007 | 0.32 | 2.15 | 0.60 | 0.21 | Balance |
| Tensile Strength (MPa) | Yield Strength (MPa) | Elongation at Failure (%) |
|---|---|---|
| 820 | 700 | 18 |
| Steel Plate | C | Mn | Si | S | P | Cr | Ni | Fe |
|---|---|---|---|---|---|---|---|---|
| Q690-12 | 0.08 | 1.76 | 0.07 | 0.001 | 0.015 | 0.21 | 0.02 | Balance |
| Q690-16 | 0.08 | 1.74 | 0.08 | 0.001 | 0.01 | 0.23 | 0.01 | Balance |
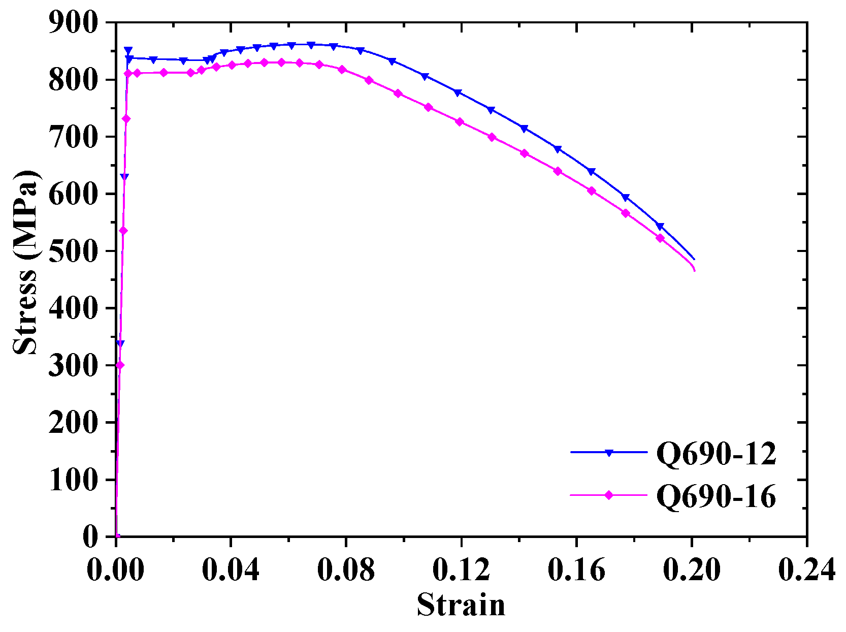
| Steel Plate Number | Statistical Indicator | Yield Strength fy (MPa) | Tensile Strength fu (MPa) | Young’s Modulus E (GPa) | Strain εst (%) | Strain εu (%) | Elongation at Failure (%) | fu/fy |
|---|---|---|---|---|---|---|---|---|
| Q690-12 | MV | 834 | 869 | 214.90 | 3.34 | 6.14 | 20.08 | 0.960 |
| SD | 0.68 | 6.04 | 7.12 | 0.18 | 0.14 | 0.76 | 0.006 | |
| Q690-16 | MV | 808 | 829 | 205.25 | 2.83 | 5.53 | 19.79 | 0.975 |
| SD | 2.78 | 1.28 | 3.61 | 0.57 | 0.20 | 1.14 | 0.002 |
| Specimen | Ferr (kN) | σerr (MPa) | ||||
|---|---|---|---|---|---|---|
| Left Web | Top Flange | Right Web | Bottom Flange | Entire Section | Entire Section | |
| RB-1 | 116.22 | −95.68 | 92.69 | −98.94 | 14.29 | 1.55 |
| RB-2 | 222.96 | −174.43 | 148.15 | −202.00 | −5.32 | −0.44 |
| RB-3 | 14.23 | 6.98 | 13.37 | −3.94 | 30.64 | 2.53 |
| RB-4 | 156.68 | −161.27 | 166.77 | −146.46 | 15.73 | 1.27 |
| RB-5 | 78.08 | −62.77 | 90.78 | −39.38 | 66.71 | 7.24 |
| Specimen | Statistical Indicator | σsrc | σsrt | σxrc | σxrt |
|---|---|---|---|---|---|
| RB-1 | MV | −86.14 | 278.53 | −55.51 | 402.31 |
| SD | 14.95 | 48.33 | 6.29 | 45.62 | |
| RB-2 | MV | −75.32 | 305.44 | −46.82 | 517.18 |
| SD | 11.17 | 45.32 | 8.77 | 96.87 | |
| RB-3 | MV | −46.7 | 324.12 | −63.75 | 419.91 |
| SD | 6.49 | 45.08 | 14.80 | 97.48 | |
| RB-4 | MV | −56.28 | 102.95 | −42.68 | 413.79 |
| SD | 4.25 | 7.78 | 9.98 | 96.71 | |
| RB-5 | MV | −108.06 | 420.83 | −81.48 | 464.54 |
| SD | 12.69 | 53.47 | 13.28 | 66.76 |
| Specimens | Measured Stress (MPa) | Simulated Stress (MPa) | ||
|---|---|---|---|---|
| Flange | Web | Flange | Web | |
| RB-1 | −86 | −56 | −83 | −59 |
| RB-2 | −75 | −47 | −65 | −33 |
| RB−3 | −47 | −64 | −41 | −57 |
| RB-4 | −56 | −43 | −59 | −21 |
| RB-5 | −108 | −81 | −120 | −88 |
| Parameter | Value (MPa) |
|---|---|
| σsrc | |
| σxrc | |
| σxrt | 420 |
| σsrt | Self-equilibrium |
Disclaimer/Publisher’s Note: The statements, opinions and data contained in all publications are solely those of the individual author(s) and contributor(s) and not of MDPI and/or the editor(s). MDPI and/or the editor(s) disclaim responsibility for any injury to people or property resulting from any ideas, methods, instructions or products referred to in the content. |
© 2024 by the authors. Licensee MDPI, Basel, Switzerland. This article is an open access article distributed under the terms and conditions of the Creative Commons Attribution (CC BY) license (https://creativecommons.org/licenses/by/4.0/).
Share and Cite
Wang, J.; Xu, A.; Di, J.; Qin, F.; Men, P. Experimental and Numerical Study of Membrane Residual Stress in Q690 High-Strength Steel Welded Box Section Compressed Member. Materials 2024, 17, 2296. https://doi.org/10.3390/ma17102296
Wang J, Xu A, Di J, Qin F, Men P. Experimental and Numerical Study of Membrane Residual Stress in Q690 High-Strength Steel Welded Box Section Compressed Member. Materials. 2024; 17(10):2296. https://doi.org/10.3390/ma17102296
Chicago/Turabian StyleWang, Jie, Aimin Xu, Jin Di, Fengjiang Qin, and Pengfei Men. 2024. "Experimental and Numerical Study of Membrane Residual Stress in Q690 High-Strength Steel Welded Box Section Compressed Member" Materials 17, no. 10: 2296. https://doi.org/10.3390/ma17102296
APA StyleWang, J., Xu, A., Di, J., Qin, F., & Men, P. (2024). Experimental and Numerical Study of Membrane Residual Stress in Q690 High-Strength Steel Welded Box Section Compressed Member. Materials, 17(10), 2296. https://doi.org/10.3390/ma17102296

