Unveiling the Potential of Corn Cob Biochar: Analysis of Microstructure and Composition with Emphasis on Interaction with NO2
Abstract
:1. Introduction
2. Materials and Methods
2.1. Preparation of Biochar
2.2. Techniques of Characterizations
2.3. NO2 Interaction with Biochar
3. Results and Discussion
3.1. Ultimate Analysis, Mineral Composition, and Proximate Analysis of Corn Cobs
3.2. Biochar Characterization
3.2.1. Biochar Yield
- The maximum biochar yield is obtained at a pyrolysis temperature of 400 °C, with a yield of 27.08%.
- The biochar production is rather stable within a particular temperature range, implying that 400 °C is the temperature wherein the maximum transformation of RM-CC into biochar happens. The yield changes within a tight range of approximately 1.8% between 450 °C and 600 °C, ranging from 24.60% to 22.22%. This shows that at elevated temperatures, the biochar output reaches a rather constant state, demonstrating a constant conversion rate throughout this range of temperatures.
- The findings emphasize the significance of optimizing the pyrolysis temperature in order to achieve the target biochar production. Given the increased yield attained at that temperature, a temperature close to 400 °C may be preferred for maximizing biochar production efficiency.
3.2.2. Ultimate Analysis, Mineral Composition, and Proximate Analysis of Biochars
3.2.3. pH and Electrical Conductivity Analysis
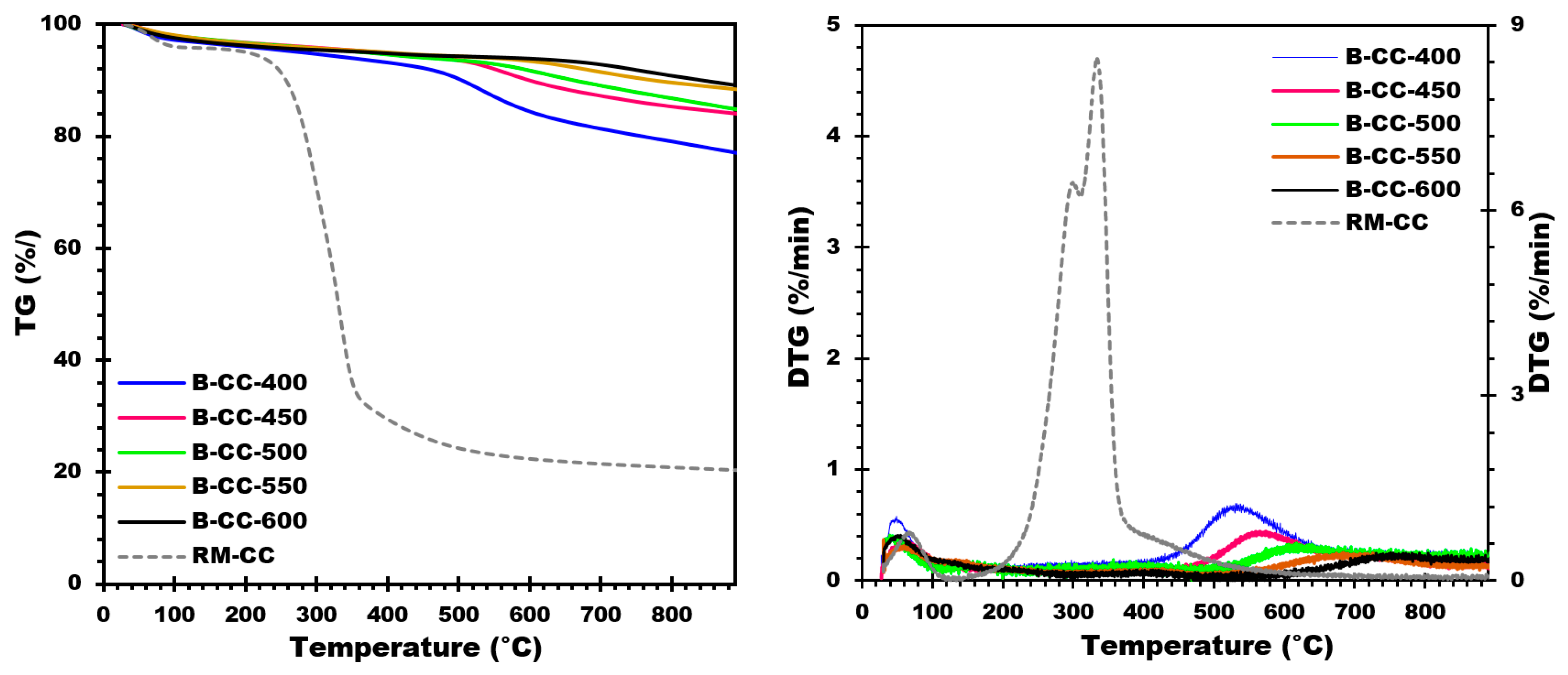
3.2.4. Thermogravimetric Analysis (TGA)
3.2.5. Textural Properties of Biochars
3.2.6. Scanning Electron Microscopy Analysis
3.2.7. Structural Analysis of Biochars
3.3. Analysis of the Interaction between Biochar and NO2
- Surface interaction: Initially, NO2 molecules adsorb onto the biochar surface by physical adsorption, weak van der Waals forces, or π-π interactions with aromatic carbon sites present in the biochar.
- Redox reactions: During interaction, some NO2 molecules may undergo redox reactions with specific functional groups on the biochar surface. This could lead to the formation of various surface-bound nitrogen species, such as nitro groups (-NO2) or nitrate groups (-NO3), as shown by the appearance of the N-O peak in the XPS spectra.
- Alteration of oxygen functionalities: The reduction of the CC CH peak in the XPS spectra suggests that interaction with NO2 may disrupt aromatic carbon-carbon bonds in the biochar structure. This may lead to the formation of oxygen-containing functional groups (e.g., carbonyl or carboxylic acid) on the biochar surface, as indicated by the appearance of the CO peak in the XPS spectra.
- K+ and NO2 interaction: The increased intensity of the K2p3/2 K+ peak after NO2 interaction may mean that NO2 is interacting with potassium-containing species present in the biochar. This interaction could be attributed to chemical reactions involving NO2 and potassium.
4. Conclusions
Supplementary Materials
Author Contributions
Funding
Institutional Review Board Statement
Informed Consent Statement
Data Availability Statement
Acknowledgments
Conflicts of Interest
References
- Colombo, M.; Nova, I.; Tronconi, E. NO2 adsorption on Fe- and Cu-zeolite catalysts: The effect of the catalyst red–ox state. Appl. Catal. B Environ. 2012, 111–112, 433–444. [Google Scholar] [CrossRef]
- Hanif, A.; Sun, M.; Wang, T.; Shang, S.; Tsang, D.C.W.; Shang, J. Ambient NO2 adsorption removal by Mg–Al layered double hydroxides and derived mixed metal oxides. J. Clean. Prod. 2021, 313, 127956. [Google Scholar] [CrossRef]
- Shang, S.; Yang, C.; Tian, Y.; Tao, Z.; Hanif, A.; Sun, M.; Wong, H.H.S.; Wang, C.; Shang, J. NO2 Removal by Adsorption on Transition-Metal-Based Layered Double Hydroxides. ACS EST Eng. 2021, 1, 375–384. [Google Scholar] [CrossRef]
- Fang, M.-L.; Chang, H.-Y.; Chen, C.-H.; Lin, S.-L.; Hsieh, Y.-K.; Chou, M.-S.; Chang, C.-Y. Chemical Adsorption of Nitrogen Dioxide with an Activated Carbon Adsorption System. Aerosol Air Qual. Res. 2019, 19, 2568–2575. [Google Scholar] [CrossRef]
- Bennici, S.; Gervasini, A. Catalytic activity of dispersed CuO phases towards nitrogen oxides (N2O, NO, and NO2). Appl. Catal. B Environ. 2006, 62, 336–344. [Google Scholar] [CrossRef]
- Gao, X.; Guo, R.; Ding, H.; Luo, Z.; Cen, K. Absorption of NO2 into Na2S solution in a stirred tank reactor. J. Zhejiang Univ. A 2009, 10, 434–438. [Google Scholar] [CrossRef]
- Grassian, V.H. Selective Catalytic Reduction of NOx. In Environmental Catalysis; CRC Press: Boca Raton, FL, USA, 2005; p. 14. ISBN 9781420027679. [Google Scholar]
- Chen, Y.; Wang, M.; Du, X.; Ran, J.; Zhang, L.; Tang, D. High Resistance to Na Poisoning of the V2O5-Ce(SO4)2/TiO2 Catalyst for the NO SCR Reaction. Aerosol Air Qual. Res. 2018, 18, 2948–2955. [Google Scholar] [CrossRef]
- Liu, H.; Zhang, Z.; Li, Q.; Chen, T.; Zhang, C.; Chen, D.; Zhu, C.; Jiang, Y. Novel Method for Preparing Controllable Nanoporous a-Fe2O3 and its Reactivity to SCR De-NOx. Aerosol Air Qual. Res. 2017, 17, 1898–1908. [Google Scholar] [CrossRef]
- Wu, C.; Chou, M.-S. Reduction of nitrogen dioxide from etching vent gases by scrubbing with caustic sodium sulfide solution. J. Chem. Technol. Biotechnol. 2014, 89, 1850–1858. [Google Scholar] [CrossRef]
- Shang, S.; Yang, C.; Tian, Y.; Tao, Z.; Smith, M.; Zhang, H.; Zhang, L.; Li, L.; Gu, Q.; Zhou, H.-C.; et al. Designing multivariate porphyrin-based metal-organic frameworks with Ni/Co dual-metal atom sites for cooperative NO2 capture and NO retention. Sep. Purif. Technol. 2023, 320, 124080. [Google Scholar] [CrossRef]
- Tian, Y.; Kong, M.; Tao, Z.; Yang, C.; Shang, S.; Gu, Q.; Tsang, D.C.W.; Li, L.; Shang, J. Efficient adsorption removal of NO2 by covalent triazine frameworks with fine-tuned binding sites. J. Hazard. Mater. 2023, 441, 129962. [Google Scholar] [CrossRef]
- Panigrahi, T.H.; Sahoo, S.R.; Murmu, G.; Maity, D.; Saha, S. Current challenges and developments of inorganic/organic materials for the abatement of toxic nitrogen oxides (NOx)—A critical review. Prog. Solid State Chem. 2022, 68, 100380. [Google Scholar] [CrossRef]
- Tao, Z.; Tian, Y.; Ou, S.Y.; Gu, Q.; Shang, J. Direct air capture of CO2 by metal cation-exchanged LTA zeolites: Effect of the charge-to-size ratio of cations. AIChE J. 2023, 69, e18139. [Google Scholar] [CrossRef]
- Sun, J.; Gao, W.; Fei, H.; Zhao, G. Efficient and selective electrochemical reduction of nitrate to N2 by relay catalytic effects of Fe-Ni bimetallic sites on MOF-derived structure. Appl. Catal. B Environ. 2022, 301, 120829. [Google Scholar] [CrossRef]
- Khan, S.; Wasfi, A.; Mushtaq, M.; Awwad, F.; Tit, N. Transition-metal single atom catalyst embedded in C2N for toxic-gas reduction reaction and selective gas-sensing application: Atomic-scale study. Appl. Surf. Sci. 2022, 599, 154037. [Google Scholar] [CrossRef]
- Ebrahim, A.M.; Bandosz, T.J. Effect of amine type on acidic toxic gas adsorption at ambient conditions on modified CuBTC. J. Environ. Chem. Eng. 2022, 10, 107261. [Google Scholar] [CrossRef]
- Kang, S.G.; Seong, Y.; Ryu, K. Identification of potential metal oxides for NO2 capture: A density functional theory study. J. Am. Ceram. Soc. 2022, 105, 5299–5308. [Google Scholar] [CrossRef]
- Ji, W.; Yang, F.; Sun, J.; Xu, R.; Li, P.; Jing, L. Improved Performance of g-C3N4 for Optoelectronic Detection of NO2 Gas by Coupling Metal–Organic Framework Nanosheets with Coordinatively Unsaturated Ni(II) Sites. ACS Appl. Mater. Interfaces 2023, 15, 11961–11969. [Google Scholar] [CrossRef]
- Wang, Z.; Sheveleva, A.M.; Lee, D.; Chen, Y.; Iuga, D.; Franks, W.T.; Ma, Y.; Li, J.; Li, L.; Cheng, Y.; et al. Modulation of Uptake and Reactivity of Nitrogen Dioxide in Metal-Organic Framework Materials. Angew. Chem. 2023, 62, e202302602. [Google Scholar] [CrossRef]
- Wang, X.; Li, K.; Liang, G.; Zhao, Y.; Su, R.; Luan, Z.; Li, L.; Xi, H. Amino-modified zirconia aerogels for the efficient filtration of NO2: Effects of water on the removal mechanisms. Environ. Sci. Nano 2021, 8, 3722–3734. [Google Scholar] [CrossRef]
- Shang, S.; Wen, C.; Yang, C.; Tian, Y.; Wang, C.; Shang, J. The low-temperature NO2 removal by tailoring metal node in porphyrin-based metal-organic frameworks. Sci. Total Environ. 2021, 801, 149710. [Google Scholar] [CrossRef] [PubMed]
- Brassard, P.; Godbout, S.; Lévesque, V.; Palacios, J.H.; Raghavan, V.; Ahmed, A.; Hogue, R.; Jeanne, T.; Verma, M. Biochar for soil amendment. In Char and Carbon Materials Derived from Biomass; Elsevier: Amsterdam, The Netherlands, 2019; pp. 109–146. [Google Scholar]
- Frikha, K.; Limousy, L.; Arif, M.B.; Thevenin, N.; Ruidavets, L.; Zbair, M.; Bennici, S. Exhausted Grape Marc Derived Biochars: Effect of Pyrolysis Temperature on the Yield and Quality of Biochar for Soil Amendment. Sustainability 2021, 13, 11187. [Google Scholar] [CrossRef]
- Zhao, W.; Yang, H.; He, S.; Zhao, Q.; Wei, L. A review of biochar in anaerobic digestion to improve biogas production: Performances, mechanisms and economic assessments. Bioresour. Technol. 2021, 341, 125797. [Google Scholar] [CrossRef] [PubMed]
- Ilić, M.; Haegel, F.-H.; Lolić, A.; Nedić, Z.; Tosti, T.; Ignjatović, I.S.; Linden, A.; Jablonowski, N.D.; Hartmann, H. Surface functional groups and degree of carbonization of selected chars from different processes and feedstock. PLoS ONE 2022, 17, e0277365. [Google Scholar] [CrossRef] [PubMed]
- Jeguirim, M.; Belhachemi, M.; Limousy, L.; Bennici, S. Adsorption/reduction of nitrogen dioxide on activated carbons: Textural properties versus surface chemistry—A review. Chem. Eng. J. 2018, 347, 493–504. [Google Scholar] [CrossRef]
- Bamdad, H.; Hawboldt, K. Comparative study between physicochemical characterization of biochar and metal organic frameworks (MOFs) as gas adsorbents. Can. J. Chem. Eng. 2016, 94, 2114–2120. [Google Scholar] [CrossRef]
- Lai, M.; Li, J.; Li, H.; Gui, Y.; Lü, J. Adsorption-reduction of Fe(III) by different biochars and their co-activation of H2O2 for oxidation of refractory pollutants. Catal. Commun. 2023, 176, 106626. [Google Scholar] [CrossRef]
- Trninić, M.; Wang, L.; Várhegyi, G.; Grønli, M.; Skreiberg, Ø. Kinetics of Corncob Pyrolysis. Energy Fuels 2012, 26, 2005–2013. [Google Scholar] [CrossRef]
- Gupta, G.K.; Ram, M.; Bala, R.; Kapur, M.; Mondal, M.K. Pyrolysis of chemically treated corncob for biochar production and its application in Cr(VI) removal. Environ. Prog. Sustain. Energy 2018, 37, 1606–1617. [Google Scholar] [CrossRef]
- Nguyen, M.H.; Zbair, M.; Dutournié, P.; Bennici, S. Thermochemical sorption heat storage: Investigate the heat released from activated carbon beads used as porous host matrix for MgSO4 salt. J. Energy Storage 2023, 59, 106452. [Google Scholar] [CrossRef]
- Bennici, S.; Dutournié, P.; Cathalan, J.; Zbair, M.; Nguyen, M.H.; Scuiller, E.; Vaulot, C. Heat storage: Hydration investigation of MgSO4/active carbon composites, from material development to domestic applications scenarios. Renew. Sustain. Energy Rev. 2022, 158, 112197. [Google Scholar] [CrossRef]
- Nguyen, M.H.; Zbair, M.; Dutournié, P.; Gervasini, A.; Vaulot, C.; Bennici, S. Toward new low-temperature thermochemical heat storage materials: Investigation of hydration/dehydration behaviors of MgSO4/Hydroxyapatite composite. Sol. Energy Mater. Sol. Cells 2022, 240, 111696. [Google Scholar] [CrossRef]
- NF EN ISO 14780: 2017; Solid Biofuels—Sample Preparation. European Commission: Brussels, Belgium, 2017.
- NF EN ISO 16948: 2015; Solid Biofuels—Determination of Total Content of Carbon, Hydrogen and Nitrogen. European Commission: Brussels, Belgium, 2015.
- NF EN ISO 16994: 2016; Solid Biofuels—Determination of Total Content of Sulfur and Chlorine. European Commission: Brussels, Belgium, 2016.
- Liu, X.; Chen, M.; Wei, Y. Combustion behavior of corncob/bituminous coal and hardwood/bituminous coal. Renew. Energy 2015, 81, 355–365. [Google Scholar] [CrossRef]
- Mullen, C.A.; Boateng, A.A.; Goldberg, N.M.; Lima, I.M.; Laird, D.A.; Hicks, K.B. Bio-oil and bio-char production from corn cobs and stover by fast pyrolysis. Biomass Bioenergy 2010, 34, 67–74. [Google Scholar] [CrossRef]
- Shariff, A.; Mohamad Aziz, N.S.; Ismail, N.I.; Abdullah, N. Corn Cob as a Potential Feedstock for Slow Pyrolysis of Biomass. J. Phys. Sci. 2016, 27, 123–137. [Google Scholar] [CrossRef]
- Zbair, M.; Ainassaari, K.; Drif, A.; Ojala, S.; Bottlinger, M.; Pirilä, M.; Keiski, R.L.; Bensitel, M.; Brahmi, R. Toward new benchmark adsorbents: Preparation and characterization of activated carbon from argan nut shell for bisphenol A removal. Environ. Sci. Pollut. Res. 2018, 25, 1869–1882. [Google Scholar] [CrossRef] [PubMed]
- Demiral, İ.; Eryazıcı, A.; Şensöz, S. Bio-oil production from pyrolysis of corncob (Zea mays L.). Biomass Bioenergy 2012, 36, 43–49. [Google Scholar] [CrossRef]
- Liu, X.; Zhang, Y.; Li, Z.; Feng, R.; Zhang, Y. Characterization of corncob-derived biochar and pyrolysis kinetics in comparison with corn stalk and sawdust. Bioresour. Technol. 2014, 170, 76–82. [Google Scholar] [CrossRef]
- Dieguez-Alonso, A.; Funke, A.; Anca-Couce, A.; Rombolà, A.; Ojeda, G.; Bachmann, J.; Behrendt, F. Towards Biochar and Hydrochar Engineering—Influence of Process Conditions on Surface Physical and Chemical Properties, Thermal Stability, Nutrient Availability, Toxicity and Wettability. Energies 2018, 11, 496. [Google Scholar] [CrossRef]
- Moiseenko, K.V.; Glazunova, O.A.; Savinova, O.S.; Vasina, D.V.; Zherebker, A.Y.; Kulikova, N.A.; Nikolaev, E.N.; Fedorova, T.V. Relation between lignin molecular profile and fungal exo-proteome during kraft lignin modification by Trametes hirsuta LE-BIN 072. Bioresour. Technol. 2021, 335, 125229. [Google Scholar] [CrossRef]
- Ippolito, J.A.; Cui, L.; Kammann, C.; Wrage-Mönnig, N.; Estavillo, J.M.; Fuertes-Mendizabal, T.; Cayuela, M.L.; Sigua, G.; Novak, J.; Spokas, K.; et al. Feedstock choice, pyrolysis temperature and type influence biochar characteristics: A comprehensive meta-data analysis review. Biochar 2020, 2, 421–438. [Google Scholar] [CrossRef]
- Tu, P.; Zhang, G.; Wei, G.; Li, J.; Li, Y.; Deng, L.; Yuan, H. Influence of pyrolysis temperature on the physicochemical properties of biochars obtained from herbaceous and woody plants. Bioresour. Bioprocess. 2022, 9, 131. [Google Scholar] [CrossRef]
- Spokas, K.A. Review of the stability of biochar in soils: Predictability of O:C molar ratios. Carbon Manag. 2010, 1, 289–303. [Google Scholar] [CrossRef]
- Budai, A.; Zimmerman, A.R.; Cowie, A.L.; Webber, J.B.W.; Singh, B.P.; Glaser, B.; Masiello, C.A.; Andersson, D.; Shields, F.; Lehmann, J.; et al. Biochar Carbon Stability Test Method: An assessment of methods to determine biochar carbon stability. Int. Biochar Initiat. 2013, 20, 1–10. [Google Scholar]
- Zhu, Z.; Duan, W.; Chang, Z.; Du, W.; Chen, F.; Li, F.; Oleszczuk, P. Stability of Functionally Modified Biochar: The Role of Surface Charges and Surface Homogeneity. Sustainability 2023, 15, 7745. [Google Scholar] [CrossRef]
- Al-Wabel, M.I.; Al-Omran, A.; El-Naggar, A.H.; Nadeem, M.; Usman, A.R.A. Pyrolysis temperature induced changes in characteristics and chemical composition of biochar produced from conocarpus wastes. Bioresour. Technol. 2013, 131, 374–379. [Google Scholar] [CrossRef] [PubMed]
- Selvarajoo, A.; Oochit, D. Effect of pyrolysis temperature on product yields of palm fibre and its biochar characteristics. Mater. Sci. Energy Technol. 2020, 3, 575–583. [Google Scholar] [CrossRef]
- Castilla-Caballero, D.; Barraza-Burgos, J.; Gunasekaran, S.; Roa-Espinosa, A.; Colina-Márquez, J.; Machuca-Martínez, F.; Hernández-Ramírez, A.; Vázquez-Rodríguez, S. Experimental data on the production and characterization of biochars derived from coconut-shell wastes obtained from the Colombian Pacific Coast at low temperature pyrolysis. Data Br. 2020, 28, 104855. [Google Scholar] [CrossRef]
- Yuan, J.-H.; Xu, R.-K.; Zhang, H. The forms of alkalis in the biochar produced from crop residues at different temperatures. Bioresour. Technol. 2011, 102, 3488–3497. [Google Scholar] [CrossRef]
- Tomczyk, A.; Sokołowska, Z.; Boguta, P. Biochar physicochemical properties: Pyrolysis temperature and feedstock kind effects. Rev. Environ. Sci. Bio/Technol. 2020, 19, 191–215. [Google Scholar] [CrossRef]
- Rehrah, D.; Reddy, M.R.; Novak, J.M.; Bansode, R.R.; Schimmel, K.A.; Yu, J.; Watts, D.W.; Ahmedna, M. Production and characterization of biochars from agricultural by-products for use in soil quality enhancement. J. Anal. Appl. Pyrolysis 2014, 108, 301–309. [Google Scholar] [CrossRef]
- Guerrero, M.; Ruiz, M.P.; Millera, Á.; Alzueta, M.U.; Bilbao, R. Characterization of Biomass Chars Formed under Different Devolatilization Conditions: Differences between Rice Husk and Eucalyptus. Energy Fuels 2008, 22, 1275–1284. [Google Scholar] [CrossRef]
- Keown, D.M.; Li, X.; Hayashi, J.; Li, C.-Z. Characterization of the Structural Features of Char from the Pyrolysis of Cane Trash Using Fourier Transform−Raman Spectroscopy. Energy Fuels 2007, 21, 1816–1821. [Google Scholar] [CrossRef]
- Sylla, N.F.; Ndiaye, N.M.; Ngom, B.D.; Momodu, D.; Madito, M.J.; Mutuma, B.K.; Manyala, N. Effect of porosity enhancing agents on the electrochemical performance of high-energy ultracapacitor electrodes derived from peanut shell waste. Sci. Rep. 2019, 9, 13673. [Google Scholar] [CrossRef] [PubMed]
- Yin, Y.; Yin, J.; Zhang, W.; Tian, H.; Hu, Z.; Ruan, M.; Song, Z.; Liu, L. Effect of Char Structure Evolution During Pyrolysis on Combustion Characteristics and Kinetics of Waste Biomass. J. Energy Resour. Technol. 2018, 140, 072203. [Google Scholar] [CrossRef]
- Azargohar, R.; Nanda, S.; Kozinski, J.A.; Dalai, A.K.; Sutarto, R. Effects of temperature on the physicochemical characteristics of fast pyrolysis bio-chars derived from Canadian waste biomass. Fuel 2014, 125, 90–100. [Google Scholar] [CrossRef]
- Yamauchi, S.; Kurimoto, Y. Raman spectroscopic study on pyrolyzed wood and bark of Japanese cedar: Temperature dependence of Raman parameters. J. Wood Sci. 2003, 49, 235–240. [Google Scholar] [CrossRef]
- Sheng, C. Char structure characterised by Raman spectroscopy and its correlations with combustion reactivity. Fuel 2007, 86, 2316–2324. [Google Scholar] [CrossRef]
- Li, X.; Hayashi, J.; Li, C. FT-Raman spectroscopic study of the evolution of char structure during the pyrolysis of a Victorian brown coal. Fuel 2006, 85, 1700–1707. [Google Scholar] [CrossRef]
- Guizani, C.; Jeguirim, M.; Gadiou, R.; Escudero Sanz, F.J.; Salvador, S. Biomass char gasification by H2O, CO2 and their mixture: Evolution of chemical, textural and structural properties of the chars. Energy 2016, 112, 133–145. [Google Scholar] [CrossRef]
- Sadezky, A.; Muckenhuber, H.; Grothe, H.; Niessner, R.; Pöschl, U. Raman microspectroscopy of soot and related carbonaceous materials: Spectral analysis and structural information. Carbon N. Y. 2005, 43, 1731–1742. [Google Scholar] [CrossRef]
- Shirahama, N.; Moon, S.; Choi, K.-H.; Enjoji, T.; Kawano, S.; Korai, Y.; Tanoura, M.; Mochida, I. Mechanistic study on adsorption and reduction of NO2 over activated carbon fibers. Carbon N. Y. 2002, 40, 2605–2611. [Google Scholar] [CrossRef]














| CHONS Analysis (wt. %, Dry Basis) | |||
|---|---|---|---|
| Element | Present Study | Ref. [30] | Ref. [38] |
| C | 48 | 47 | 49 |
| H | 6.04 | 6.4 | 5.4 |
| O | 43 | 43.4 | 44.2 |
| N | 0.77 | 0.5 | 0.4 |
| S | 0.13 | 0.1 | 0 |
| Mineral composition (wt.%, dry basis) | |||
| Element | Present Study | Ref. [39] | |
| Mg | 0.051 | 0.055 | |
| Al | 0.051 | 0.018 | |
| Si | 0.661 | 0.533 | |
| P | 0.108 | 0.111 | |
| Na | 0.015 | 0.01 | |
| Cl | 0.249 | - | |
| K | 0.826 | 1.038 | |
| Ca | 0.057 | 0.023 | |
| Fe | 0.032 | 0.008 | |
| Zn | 0.003 | - | |
| Br | 0.002 | - | |
| Proximate Analysis | This Study | Ref. [40] | Ref. [42] | Ref. [43] |
|---|---|---|---|---|
| (wt.%, Wet Basis) | ||||
| Humidity (Hm) | 4.33 | 7.14 | 7.36 | 11.7 |
| Volatile matter (VM) | 75.75 | 87.76 | 79.58 | 69.5 |
| Fixed carbon (FC) | 18.64 | 11.19 | 11.57 | 15.9 |
| Ash | 1.27 | 1.05 | 1.49 | 2.5 |
| CHONS Analysis (wt.%, Dry Basis) | ||||||
|---|---|---|---|---|---|---|
| Element | RM-CC | B-CC-400 | B-CC-450 | B-CC-500 | B-CC-550 | B-CC-600 |
| C | 48.00 | 80.50 | 82.20 | 84.60 | 87.00 | 87.30 |
| H | 6.04 | 3.53 | 3.17 | 2.80 | 2.33 | 1.82 |
| O | 43.00 | 9.03 | 6.81 | 4.98 | 3.02 | 2.64 |
| N | 0.77 | 0.87 | 0.75 | 0.88 | 0.79 | 0.86 |
| S | 0.13 | 0.12 | 0.17 | 0.11 | 0.11 | 0.13 |
| H/C molar ratio | 1.51 | 0.52 | 0.46 | 0.39 | 0.32 | 0.25 |
| O/C molar ratio | 0.67 | 0.08 | 0.06 | 0.04 | 0.03 | 0.02 |
| Mineral Composition (wt.%, Dry Basis) | ||||||
| Element | RM-CC | B-CC-400 | B-CC-450 | B-CC-500 | B-CC-550 | B-CC-600 |
| Mg | 0.051 | 0.315 | 0.404 | 0.326 | 0.475 | 0.381 |
| Al | 0.051 | 0.111 | 0.176 | 0.108 | 0.050 | 0.101 |
| Si | 0.661 | 1.102 | 1.411 | 1.170 | 0.725 | 1.149 |
| P | 0.108 | 0.313 | 0.382 | 0.350 | 0.331 | 0.367 |
| Na | 0.015 | 0.077 | 0.131 | 0.081 | 0.060 | 0.089 |
| Cl | 0.249 | 0.835 | 0.860 | 1.051 | 0.957 | 1.141 |
| K | 0.826 | 3.010 | 3.208 | 3.353 | 4.016 | 3.804 |
| Ca | 0.057 | 0.113 | 0.210 | 0.119 | 0.082 | 0.111 |
| Fe | 0.032 | 0.063 | 0.105 | 0.059 | 0.024 | 0.084 |
| Zn | 0.003 | 0.008 | 0.009 | 0.009 | 0.011 | 0.011 |
| Br | 0.002 | 0.003 | 0.004 | 0.006 | 0.0019 | 0.006 |
| Proximate Analysis (wt.%, Wet Basis) | ||||
|---|---|---|---|---|
| Humidity | VM | FC | Ash | |
| RM-CC | 4.17 | 75.96 | 18.51 | 1.36 |
| B-CC-400 | 2.52 | 21.17 | 72.69 | 3.62 |
| B-CC-450 | 1.92 | 14.56 | 79.31 | 4.22 |
| B-CC-500 | 2.14 | 14.28 | 79.18 | 4.39 |
| B-CC-550 | 1.96 | 10.44 | 83.72 | 4.64 |
| B-CC-600 | 2.53 | 10.20 | 82.55 | 4.72 |
| Biochar 450 °C | Biochar 450 °C after NO2 Adsorption | ||||||
|---|---|---|---|---|---|---|---|
| Block Id | Name | Position | %At Conc | Block Id | Name | Position | %At Conc |
| O1s | C-O | 532.8 | 12.79 | O1s | C-O | 532.5 | 9.15 |
| C1s | CC CH | 284.8 | 72.07 | O1s | N-O | 533.8 | 8.69 |
| C1s | C-OR | 286.6 | 5.68 | C1s | CC CH | 284.8 | 65.83 |
| C1s | C=O | 287.9 | 1.43 | C1s | C-OR | 286.6 | 4.34 |
| C1s | O=C-O | 289.1 | 1.10 | C1s | C=O | 287.9 | 1.91 |
| C1s | C(O3)2− | 289.8 | 1.26 | C1s | O=C-O | 289.1 | 1.59 |
| C1s | Sat | 291.0 | 1.64 | C1s | C(O3)2− | 289.9 | 0.22 |
| K2p | K2p3/2 K+ | 293.6 | 3.52 | C1s | Sat | 291.0 | 1.45 |
| Cl2p | Cl2p3/2 Cl− | 199.1 | 0.61 | K2p | K2p3/2 K+ | 293.8 | 3.42 |
| N1s | NO2− | 406.3 | 1.11 | ||||
| N1s | NO3− | 408.1 | 2.19 | ||||
| Biochar 500 °C | Biochar 500 °C after NO2 Adsorption | ||||||
| Block Id | Name | Position | %At Conc | Block Id | Name | Position | %At Conc |
| O1s | C-O | 532.7 | 11.55 | O1s | C-O | 532.5 | 7.00 |
| C1s | CC CH | 284.8 | 73.67 | O1s | N-O | 533.7 | 8.46 |
| C1s | C-OR | 286.6 | 3.90 | C1s | CC CH | 284.8 | 68.73 |
| C1s | C=O | 287.9 | 1.61 | C1s | C-OR | 286.6 | 3.99 |
| C1s | O=C-O | 289.1 | 0.94 | C1s | C=O | 287.9 | 1.63 |
| C1s | C(O3)2− | 289.9 | 1.70 | C1s | O=C-O | 289.1 | 1.53 |
| C1s | Sat | 291.1 | 1.68 | C1s | C(O3)2− | 289.9 | 0.33 |
| K2p | K2p3/2 K+ | 293.7 | 4.29 | C1s | Sat | 291.0 | 1.51 |
| Cl2p | Cl2p3/2 Cl− | 199.2 | 0.66 | K2p | K2p3/2 K+ | 293.8 | 3.61 |
| N1s | NO2− | 406.2 | 1.05 | ||||
| N1s | NO3− | 408.1 | 2.15 | ||||
| Biochar 550 °C | Biochar 550 °C after NO2 Adsorption | ||||||
| Block Id | Name | Position | %At Conc | Block Id | Name | Position | %At Conc |
| O1s | C-O | 532.7 | 11.56 | O1s | C-O | 532.14 | 6.09 |
| C1s | CC CH | 284.8 | 73.90 | O1s | N-O | 533.45 | 9.27 |
| C1s | C-OR | 286.6 | 3.61 | C1s | CC CH | 284.44 | 70.64 |
| C1s | C=O | 287.9 | 1.49 | C1s | C-OR | 286.22 | 2.35 |
| C1s | O=C-O | 289.1 | 1.04 | C1s | C=O | 287.54 | 1.22 |
| C1s | C(O3)2− | 289.9 | 1.68 | C1s | O=C-O | 288.69 | 1.34 |
| C1s | Sat | 291.1 | 1.63 | C1s | C(O3)2− | 289.54 | 0.23 |
| K2p | K2p3/2 K+ | 293.7 | 4.35 | C1s | Sat | 290.64 | 1.56 |
| Cl2p | Cl2p3/2 Cl− | 199.2 | 0.74 | C1s | K2p3/2 K+ | 293.57 | 3.94 |
| N1s | NO2− | 405.98 | 0.86 | ||||
| N1s | NO3− | 407.84 | 2.51 | ||||
Disclaimer/Publisher’s Note: The statements, opinions and data contained in all publications are solely those of the individual author(s) and contributor(s) and not of MDPI and/or the editor(s). MDPI and/or the editor(s) disclaim responsibility for any injury to people or property resulting from any ideas, methods, instructions or products referred to in the content. |
© 2023 by the authors. Licensee MDPI, Basel, Switzerland. This article is an open access article distributed under the terms and conditions of the Creative Commons Attribution (CC BY) license (https://creativecommons.org/licenses/by/4.0/).
Share and Cite
Drané, M.; Zbair, M.; Hajjar-Garreau, S.; Josien, L.; Michelin, L.; Bennici, S.; Limousy, L. Unveiling the Potential of Corn Cob Biochar: Analysis of Microstructure and Composition with Emphasis on Interaction with NO2. Materials 2024, 17, 159. https://doi.org/10.3390/ma17010159
Drané M, Zbair M, Hajjar-Garreau S, Josien L, Michelin L, Bennici S, Limousy L. Unveiling the Potential of Corn Cob Biochar: Analysis of Microstructure and Composition with Emphasis on Interaction with NO2. Materials. 2024; 17(1):159. https://doi.org/10.3390/ma17010159
Chicago/Turabian StyleDrané, Méghane, Mohamed Zbair, Samar Hajjar-Garreau, Ludovic Josien, Laure Michelin, Simona Bennici, and Lionel Limousy. 2024. "Unveiling the Potential of Corn Cob Biochar: Analysis of Microstructure and Composition with Emphasis on Interaction with NO2" Materials 17, no. 1: 159. https://doi.org/10.3390/ma17010159
APA StyleDrané, M., Zbair, M., Hajjar-Garreau, S., Josien, L., Michelin, L., Bennici, S., & Limousy, L. (2024). Unveiling the Potential of Corn Cob Biochar: Analysis of Microstructure and Composition with Emphasis on Interaction with NO2. Materials, 17(1), 159. https://doi.org/10.3390/ma17010159

