Magnetic Properties of 2D Nanowire Arrays: Computer Simulations
Abstract
1. Introduction
2. Model and Computer Simulation
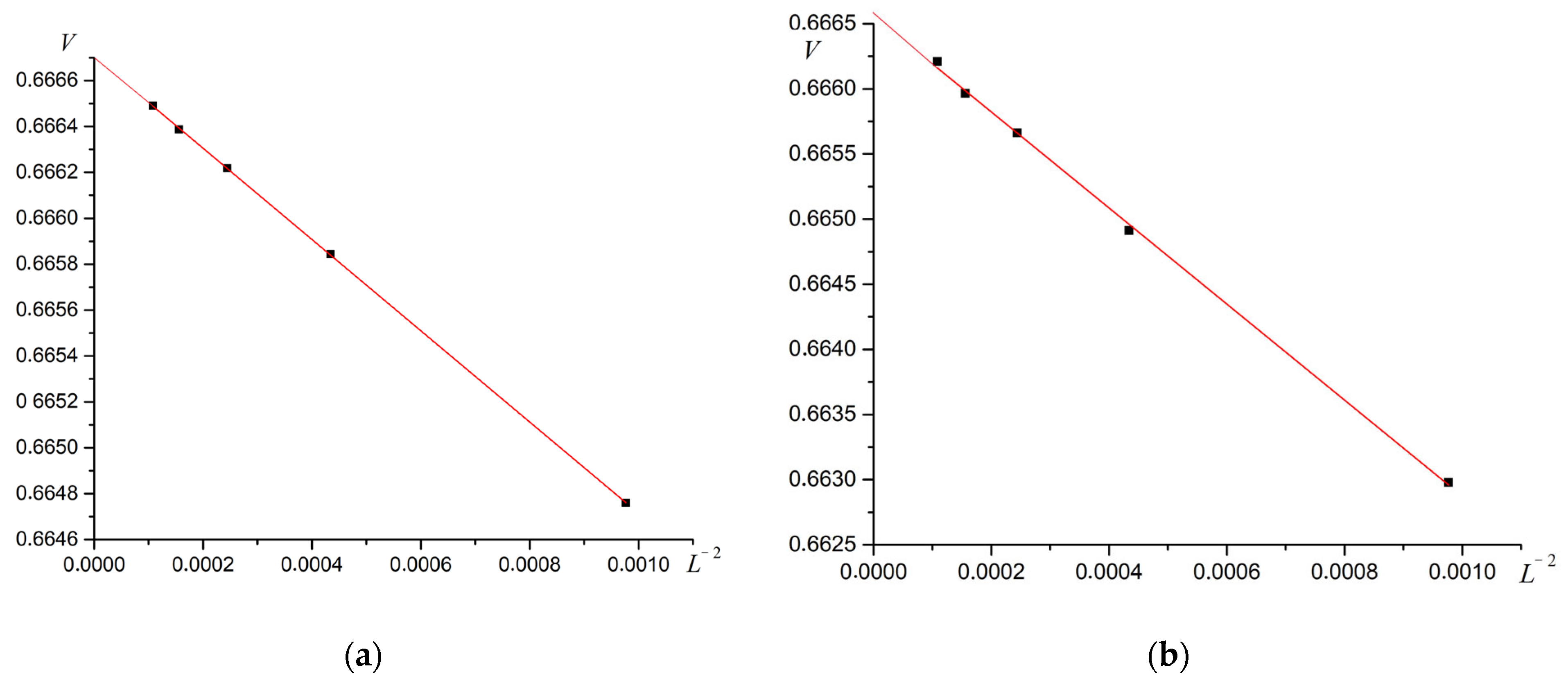
3. Results
4. Conclusions
Author Contributions
Funding
Institutional Review Board Statement
Informed Consent Statement
Data Availability Statement
Conflicts of Interest
References
- Fratila, R.M.; Rivera-Fernandez, S.; de la Fuente, J.M. Shape matters: Synthesis and biomedical applications of high aspect ratio magnetic nanomaterials. Nanoscale 2015, 7, 8233. [Google Scholar] [CrossRef] [PubMed]
- Sarkar, J.; Khan, G.G.; Basumallick, A. Nanowires: Properties, applications and synthesis via porous anodic aluminium oxide template. Bull. Mater. Sci. 2007, 30, 271–290. [Google Scholar] [CrossRef]
- Piraux, L. Magnetic Nanowires. Appl. Sci. 2020, 10, 1832. [Google Scholar] [CrossRef]
- Peixoto, L.; Magalhães, R.; Navas, D.; Moraes, S.; Redondo, C.; Morales, R.; Araújo, J.P.; Sousa, C.T. Magnetic nanostructures for emerging biomedical applications. Appl. Phys. Rev. 2020, 7, 011310. [Google Scholar] [CrossRef]
- Araujo, E.; Encinas, A.; Velazquez-Galvan, Y.; Martinez-Huerta, J.M.; Hamoir, G.; Ferain, E.; Piraux, L. Artificially modified magnetic anisotropy in interconnected nanowire networks. Nanoscale 2015, 7, 1485–1490. [Google Scholar] [CrossRef]
- Da Câmara Santa Clara Gomes, T.; De La Torre Medina, J.; Velázquez-Galván, Y.G.; Martínez-Huerta, J.M.; Encinas, A.; Piraux, L. Interplay between the magnetic and magneto-transport properties of 3D interconnected nanowire networks. J. Appl. Phys. 2016, 120, 043904. [Google Scholar] [CrossRef]
- Da Câmara Santa Clara Gomes, T.; De La Torre Medina, J.; Lemaitre, M.; Piraux, L. Magnetic and Magnetoresistive Properties of 3D Interconnected NiCo Nanowire Networks. Nanoscale Res. Lett. 2016, 11, 466. [Google Scholar] [CrossRef]
- De la Torre Medina, J.; da Câmara Santa Clara Gomes, T.; Velázquez Galván, Y.G.; Piraux, L. Large-scale 3-D interconnected Ni nanotube networks with controlled structural and magnetic properties. Sci. Rep. 2018, 8, 14555. [Google Scholar] [CrossRef]
- Da Câmara Santa Clara Gomes, T.; Abreu Araujo, F.; Piraux, L. Making flexible spin caloritronic devices with interconnected nanowire networks. Sci. Adv. 2019, 5, eaav2782. [Google Scholar] [CrossRef]
- Abreu Araujo, F.; da Câmara Santa Clara Gomes, T.; Piraux, L. Magnetic Control of Flexible Thermoelectric Devices Based on Macroscopic 3D Interconnected Nanowire Networks. Adv. Electron. Mater. 2019, 5, 1800819. [Google Scholar] [CrossRef]
- Da Câmara Santa Clara Gomes, T.; Marchal, N.; Abreu Araujo, F.; Piraux, L. Tunable magnetoresistance and thermopower in interconnected NiCr and CoCr nanowire networks. Appl. Phys. Lett. 2019, 115, 242402. [Google Scholar] [CrossRef]
- Cai, R.; Antohe, V.A.; Hu, Z.; Nysten, B.; Piraux, L.; Jonas, A.M. Multiferroic Nanopatterned Hybrid Material with Room-Temperature Magnetic Switching of the Electric Polarization. Adv. Mater. 2017, 29, 1604604. [Google Scholar] [CrossRef]
- Chou, S.Y.; Krauss, P.R.; Kong, L. Nanolithographically defined magnetic structures and quantum magnetic disk (invited). J. Appl. Phys. 1996, 79, 6101–6106. [Google Scholar] [CrossRef]
- Fernandez, A.; Bedrossian, P.J.; Baker, S.L.; Vernon, S.P.; Kania, D.R. Magnetic force microscopy of single-domain cobalt dots patterned using interference lithography. IEEE Trans. Magn. 1996, 32, 4472–4474. [Google Scholar] [CrossRef]
- Savas, T.A.; Farhoud, M.; Smith, H.I.; Hwang, M.; Ross, C.A. Properties of large-area nanomagnet arrays with 100 nm period made by interferometric lithography. J. Appl. Phys. 1999, 85, 6160–6162. [Google Scholar] [CrossRef]
- Gravier, L.; Serrano-Guisan, S.; Reuse, F.M.C.; Ansermet, J.-P. Thermodynamic description of heat and spin transport in magnetic nanostructures. Phys. Rev. B 2006, 73, 052410. [Google Scholar] [CrossRef]
- Flipse, J.; Bakker, F.L.; Slachter, A.; Dejene, F.K.; van Wees, B.J. Direct observation of the spin-dependent Peltier effect. Nat. Nanotechnol. 2012, 7, 166–168. [Google Scholar] [CrossRef]
- Böhnert, T.; Niemann, A.C.; Michel, A.-K.; Bäßler, S.; Gooth, J.; Tóth, B.G.; Neuróhr, K.; Péter, L.; Bakonyi, I.; Vega, V.; et al. Magnetothermopower and magnetoresistance of single Co-Ni/Cu multilayered nanowires. Phys. Rev. B 2014, 90, 165416. [Google Scholar] [CrossRef]
- Sellmyer, D.J.; Zheng, M.; Skomski, R. Magnetism of Fe, Co and Ni nanowires in self-assembled arrays. J. Phys. Condens. Matter 2001, 13, R433. [Google Scholar] [CrossRef]
- Hurst, S.J.; Payne, E.K.; Qin, L.; Mirkin, C.A. Multisegmented one-dimensional nanorods prepared by hard-template synthetic methods. Chem. Int. Ed. 2006, 45, 2672. [Google Scholar] [CrossRef]
- Pan, H.; Liu, B.; Yi, J.; Poh, C.; Lim, S.; Ding, J.; Feng, Y.; Huan, C.H.A.; Lin, J. Growth of Single-Crystalline Ni and Co Nanowires via Electrochemical Deposition and Their Magnetic Properties. J. Phys. Chem. B 2005, 109, 3094. [Google Scholar] [CrossRef] [PubMed]
- Sklyuyev, A.; Ciureanu, M.; Akyel, C.; Ciureanu, P.; Yelon, A. Microwave studies of magnetic anisotropy of Co nanowire arrays. J. Appl. Phys. 2009, 105, 023914. [Google Scholar] [CrossRef]
- Kartopu, G.; Yalcin, O.; Kazan, S.; Aktas, B. Preparation and FMR analysis of Co nanowires in alumina templates. J. Magn. Magn. Mater. 2009, 321, 1142. [Google Scholar] [CrossRef]
- De La Torre Medina, J.; Darques, M.; Piraux, L.; Encinas, A. Application of the anisotropy field distribution method to arrays of magnetic nanowires. J. Appl. Phys. 2009, 105, 023909. [Google Scholar] [CrossRef]
- Wang, Z.K.; Lim, H.S.; Zhang, V.L.; Goh, J.L.; Ng, S.C.; Kuok, M.H.; Su, H.L.; Tang, S.L. Collective spin waves in high-density two-dimensional arrays of FeCo nanowires. Nano Lett. 2006, 6, 1083. [Google Scholar] [CrossRef]
- Stashkevich, A.A.; Roussigné, Y.; Djemia, P.; Chérif, S.M.; Evans, P.R.; Murphy, A.P.; Hendren, W.R.; Atkinson, R.; Pollard, R.J.; Zayats, A.V.; et al. Spin-wave modes in Ni nanorod arrays studied by Brillouin light scattering. Phys. Rev. B 2009, 80, 144406. [Google Scholar] [CrossRef]
- Dubois, S.; Piraux, L.; George, J.M.; Ounadjela, K.; Duvail, J.L.; Fert, A. Evidence for a short spin diffusion length in permalloy from the giant magnetoresistance of multilayered nanowires. Phys. Rev. B 1999, 60, 477. [Google Scholar] [CrossRef]
- Encinas-Oropesa, A.; Demand, M.; Piraux, L.; Huynen, I.; Ebels, U. Dipolar interactions in arrays of nickel nanowires studied by ferromagnetic resonance. Phys. Rev. B 2001, 63, 104415. [Google Scholar] [CrossRef]
- Dumitru, I.; Li, F.; Wiley, J.B.; Cimpoesu, D.; Stancu, A.; Spinu, L. Study of magnetic interactions in metallic nanowire networks. IEEE Trans. Magn. 2005, 41, 3361. [Google Scholar] [CrossRef]
- Ghaddar, A.; Gloaguen, F.; Gieraltowski, J. Magnetic properties of ferromagnetic nanowire arrays: Theory and experiment. J. Phys. Conf. Ser. 2010, 200, 072032. [Google Scholar] [CrossRef]
- Belim, S.V.; Lyakh, O.V. Phase transitions in an ordered 2D array of cubic nanoparticles. Lett. Mater. 2022, 12, 126. [Google Scholar] [CrossRef]
- Belim, S.V.; Lyakh, O.V. A study of a phase transition in an array of ferromagnetic nanoparticles with the dipole–dipole interaction using computer simulation. Phys. Met. Metallogr. 2022, 123, 1049. [Google Scholar] [CrossRef]
- Kołtunowicz, T.N.; Bondariev, V.; Zukowski, P.; Sidorenko, J.; Bayev, V.; Fedotova, J.A. Ferromagnetic resonance spectros-copy of CoFeZr -CaF2 granular nanocomposites. Prog. Electromagn. Res. M 2020, 91, 11. [Google Scholar] [CrossRef]
- Scholz, W.; Fidler, J.; Schrefl, T.; Suess, D.; Dittrich, R.; Forster, H.; Tsiantos, V. Scalable parallel micromagnetic solvers for magnetic nanostructures. Comput. Mater. Sci. 2003, 28, 366. [Google Scholar] [CrossRef]
- Donahue, M.; Porter, D. Object Oriented Micromagnetic Framework (OOMMF). The National Institute of Standards and Technology (NIST). 2006. Available online: http://math.nist.gov/oommf (accessed on 20 April 2023).
- Fischbacher, T.; Franchin, M.; Bordignon, G.; Fangohr, H. A Systematic Approach to Multiphysics Extensions of Finite-Element-Based Micromagnetic Simulations: Nmag. IEEE Trans. Magn. 2007, 43, 2896–2898. [Google Scholar] [CrossRef]
- Scheinfein, M.R. LLG Micromagnetics Simulator TM. Available online: http://llgmicro.home.mindspring.com/index.htm (accessed on 20 April 2023).
- Berkov, D.V. MicroMagus. Available online: http://www.micromagus.de/home.html (accessed on 20 April 2023).
- Aharoni, A. Angular dependence of nucleation by curling in a prolate spheroid. J. Appl. Phys. 1997, 82, 1281. [Google Scholar] [CrossRef]
- Fernandez-Pacheco, A.; Serrano-Ramon, L.; Michalik, J.M.; Ibarra, M.R.; De Teresa, J.M.; O’Brien., L.; Petit, D.; Lee, J.; Cowburn, R.P. Three dimensional magnetic nanowires grown by focused electron-beam induced deposition. Sci. Rep. 2013, 3, 1492. [Google Scholar] [CrossRef]
- Ivanov, Y.P.; Vivas, L.G.; Asenjo, A.; Chuvilin, A.; Chubykalo-Fesenko, O.; Vazquez, M. Magnetic structure of a single-crystal hcp electrodeposited cobalt nanowire. Europhys. Lett. 2013, 102, 17009. [Google Scholar] [CrossRef]
- Salem, M.S.; Sergelius, P.; Zierold, R.; Montero Moreno, J.M.; Gorlitz, D.; Nielsch, K. Magnetic characterization of nickel-rich NiFe nanowires grown by pulsed electrodeposition. J. Mater. Chem. 2012, 22, 8549. [Google Scholar] [CrossRef]
- Landau, D.P.; Binder, K. Phase Diagrams and Multicritical Behavior of a Three-Dimensional Anisotropic Heisenberg Anti-ferromagnet. Phys. Rev. B. 1978, 17, 2328. [Google Scholar] [CrossRef]
- Binder, K. Critical Properties from Monte-Carlo Coarse-Graining and Renormalization. Phys. Rev. Lett. 1981, 47, 693. [Google Scholar] [CrossRef]
- Babaev, A.B.; Murtazaev, A.K. The tricritical point of the site-diluted three-dimensional 5-state Potts model. J. Magn. Magn. Mater. 2022, 563, 169864. [Google Scholar] [CrossRef]
- Liu, T.-T.; Zhu, Y.-H.; Shu, J.-C.; Zhang, M.; Cao, M.-S. Patterned MXene-enabled switchable health monitoring and electromagnetic protection for architecture. Mater. Today Phys. 2023, 31, 100988. [Google Scholar] [CrossRef]
- Zhang, M.; Wang, X.-X.; Cao, W.-Q.; Yuan, J.; Cao, M.-S. Electromagnetic Functions of Patterned 2D Materials for Micro–Nano Devices Covering GHz, THz, and Optical Frequency. Adv. Opt. Mater. 2019, 7, 1900689. [Google Scholar] [CrossRef]
- Zdorovets, M.V.; Kozlovskiy, A.L. Study of phase transformations in Co/CoCo2O4 nanowires. J. Alloys Compd. 2020, 815, 152450. [Google Scholar] [CrossRef]
- Zdorovets, M.V.; Kozlovskiy, A.L. Investigation of phase transformations and corrosion resistance in Co/CoCo2O4 nanowires and their potential use as a basis for lithium-ion batteries. Sci. Rep. 2019, 9, 16646. [Google Scholar] [CrossRef]
- Garcia, C.; Rosa, W.O.; Garcia, J.; Prida, V.M.; Hernando, B.; López, J.A.; Vargas, P.; Ross, C.A. Magnetization Reversal in Radially Distributed Nanowire Arrays. J. Phys. Chem. C 2018, 122, 5124–5130. [Google Scholar] [CrossRef]
- Nie, W.Y.; Lei, Y.; Zhang, Y.F.; Gao, Q.Q.; Chen, J.G.; Zhang, X.Y.; Yuan, L.F.; Cheng, Y.C.; Sun, A.H.; Wang, G.; et al. Direct Writing of Shape-Gradient Magnetic Alloy Microwire Arrays with Meniscus-Confined Electrodeposition Process. Adv. Mater. Technol. 2022, 7, 2200024. [Google Scholar] [CrossRef]


















Disclaimer/Publisher’s Note: The statements, opinions and data contained in all publications are solely those of the individual author(s) and contributor(s) and not of MDPI and/or the editor(s). MDPI and/or the editor(s) disclaim responsibility for any injury to people or property resulting from any ideas, methods, instructions or products referred to in the content. |
© 2023 by the authors. Licensee MDPI, Basel, Switzerland. This article is an open access article distributed under the terms and conditions of the Creative Commons Attribution (CC BY) license (https://creativecommons.org/licenses/by/4.0/).
Share and Cite
Belim, S.V.; Bychkov, I.V. Magnetic Properties of 2D Nanowire Arrays: Computer Simulations. Materials 2023, 16, 3425. https://doi.org/10.3390/ma16093425
Belim SV, Bychkov IV. Magnetic Properties of 2D Nanowire Arrays: Computer Simulations. Materials. 2023; 16(9):3425. https://doi.org/10.3390/ma16093425
Chicago/Turabian StyleBelim, Sergey V., and Igor V. Bychkov. 2023. "Magnetic Properties of 2D Nanowire Arrays: Computer Simulations" Materials 16, no. 9: 3425. https://doi.org/10.3390/ma16093425
APA StyleBelim, S. V., & Bychkov, I. V. (2023). Magnetic Properties of 2D Nanowire Arrays: Computer Simulations. Materials, 16(9), 3425. https://doi.org/10.3390/ma16093425

