A Numerical Procedure for Shakedown Analysis of Thick Cylindrical Vessels with Crossholes under Dual Cyclic Loadings
Abstract
1. Introduction
2. Classical Methods for Shakedown Analysis
2.1. Cycle-by-Cycle Method
2.2. min{PL, 2Pe} Method
2.3. Abdalla Method
2.4. Stress Analysis Design Method
3. The Proposed Numerical Procedure and Finite Element Model
3.1. The Modified Shakedown Analysis Procedure for Dual Cyclic Loadings
- Establish an initial polygonal loading domain, in which the domain corners are corresponding to different loading ratios, as shown in Figure 2.
- Apply two cyclic loadings on the structure monotonically along each loading path determined by a certain loading ratio, and calculate the elastic stress field of the structure.
- Increase the maximum loading (T0 + ∆T and P0 + ∆P) incrementally along the loading path in N steps, and calculate the elastic-plastic stress field of the structure at each step.
- Then assume that the total stress field consists of the elastic stress field and residual stress field. Calculate the residual stress field at each step by removing the elastic stress field, and output the maximum loading value of the residual stress field not exceeding the yield strength. Then the corresponding elastic shakedown limit load under the loading ratio is determined.
- Change the loading path for different loading ratios and repeat steps 2 to 4 in order to determine the elastic shakedown loading region of the structure under dual cyclic loadings as the orange region shown in Figure 2.
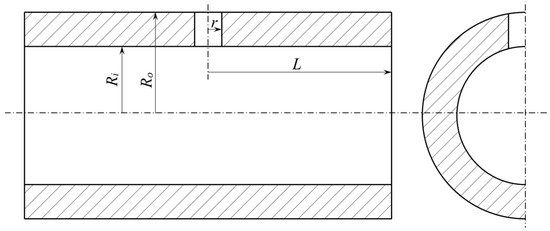
3.2. Finite Element Model and the Cyclic Loadings
4. Results and Discussion
4.1. Method Comparison
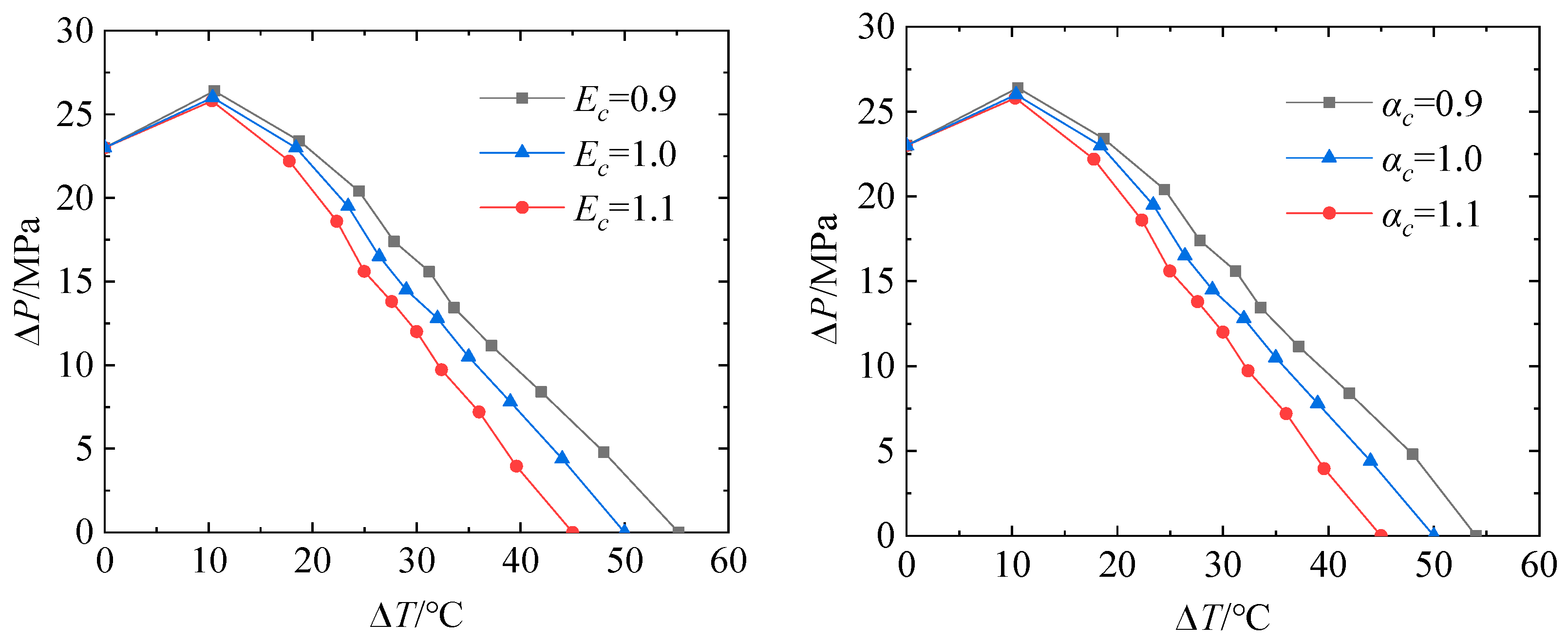
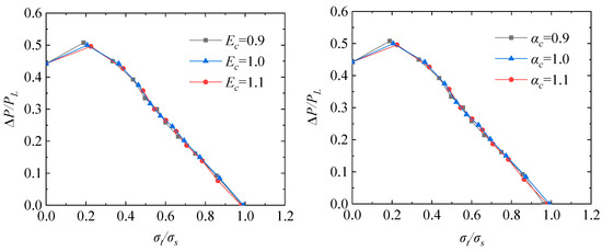
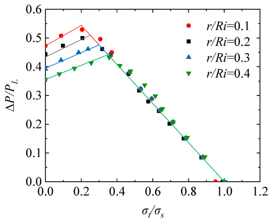
4.2. The Shakedown Analysis Considering Dual Cyclic Loadings
5. Conclusions
- (1)
- Comparing different shakedown analysis methods for only the application of cyclic internal pressure, it is shown that the Abdalla method is more accurate and is also effective for non-proportional loading.
- (2)
- The elastic shakedown limit load of the TCVC decreases with the increase in the elastic modulus and the thermal expansion coefficient of the material. After dimensionless treatment, the influence of material parameters can be eliminated.
- (3)
- The modified shakedown evaluation method and procedure proposed in this work can be used to accurately evaluate the shakedown of TCVCs under cyclic internal pressure and cyclic thermal loading.
Author Contributions
Funding
Institutional Review Board Statement
Informed Consent Statement
Data Availability Statement
Conflicts of Interest
References
- Bree, J. Elastic-Plastic Behaviour of Thin Tubes Subjected to Internal Pressure and Intermittent High-Heat Fluxes with Application to Fast-Nuclear-Reactor Fuel Elements. J. Strain Anal. Eng. 1967, 2, 226–238. [Google Scholar] [CrossRef]
- Mackenzie, D.; Boyle, J.T. A Simple Method of Estimating Shakedown Loads for Complex Structures. In Proceedings of the ASME Pressure Vessels and Piping Conference, Denver, CO, USA, 25–29 July 1993. [Google Scholar]
- Mackenzie, D.; Boyle, J.T.; Hamilton, R. Secondary Stress and Shakedown in Axisymmetric Nozzles. In Proceedings of the ASME Pressure Vessels and Piping Conference, Honolulu, HI, USA, 23–27 July 1995. [Google Scholar]
- Hamilton, R.; Boyle, J.T.; Shi, J.H. Shakedown Loading Bounds by Elastic Finite Element Analysis. In Proceedings of the Mechanical Engineering Congress and Exposition, Atlanta, GO, USA, 17–22 November 1996. [Google Scholar]
- Preiss, R. On the Shakedown Analysis of Nozzles Using Elasto-Plastic FEA. Int. J. Pres. Ves. Pip. 1999, 76, 421–434. [Google Scholar] [CrossRef]
- Muscat, M.; Mackenzie, D.; Hamilton, R. Evaluating Shakedown under Proportional Loading by Non-Linear Static Analysis. Comput. Struct. 2003, 81, 1727–1737. [Google Scholar] [CrossRef]
- Muscat, M.; Mackenzie, D. Elastic-Shakedown Analysis of Axisymmetric Nozzles. J. Press. Vess. Technol. ASME 2003, 125, 365–370. [Google Scholar] [CrossRef]
- Polizzotto, C. On the Conditions to Prevent Plastic Shakedown of Structures: Part I-Theory. J. Appl. Mech. Technol. ASME 1993, 60, 15–19. [Google Scholar] [CrossRef]
- Polizzotto, C. On the Conditions to Prevent Plastic Shakedown of Structures: Part II-The Plastic Shakedown Limit Load. J. Appl. Mech. Technol. ASME 1993, 60, 20–25. [Google Scholar] [CrossRef]
- Abdalla, H.F.; Megahed, M.; Younan, M.Y.A. Determination of Shakedown Limit Load for a 90-Degree Pipe Bend Using a Simplified Technique. J. Press. Vess. Technol. ASME 2006, 128, 618–624. [Google Scholar] [CrossRef]
- Abdalla, H.F.; Megahed, M.; Younan, M.Y.A. A Simplified Technique for Shakedown Limit Loading Determination. Nucl. Eng. Des. 2006, 237, 1231–1240. [Google Scholar] [CrossRef]
- Chen, H.F.; Ponter, A.R.S. The Linear Matching Method for Shakedown and Limit Analyses Applied to Rolling and Sliding Point Contact Problems. Road Mater. Pavement Des. 2005, 6, 9–30. [Google Scholar] [CrossRef]
- Adibi-Asl, R.; Reinhardt, W. Non-Cyclic Shakedown/Ratcheting Boundary Determfiination—Part 2: Numerical Implementation. Int. J. Pres. Ves. Pip. 2011, 88, 321–329. [Google Scholar] [CrossRef]
- Spiliopoulos, K.V.; Panagiotou, K.D. A Residual Stress Decomposition Based Method for the Shakedown Analysis of Structures. Comput. Method Appl. Mech. Eng. 2014, 276, 410–430. [Google Scholar] [CrossRef]
- Vlaicu, D. Shakedown Analysis of Nuclear Components Using Linear and Nonlinear Methods. J. Press. Vess. Technol. ASME 2010, 132, 021203. [Google Scholar] [CrossRef]
- Zheng, X.T.; Xuan, F.Z. Shakedown of Thick Cylinders with Radial Openings under Thermomechanical Loadings. J. Press. Vess. Technol. ASME 2012, 134, 011205. [Google Scholar] [CrossRef]
- Camilleri, D.; Mackenzie, D.; Hamilton, R. Shakedown of a Thick Cylinder with a Radial Crosshole. J. Press. Vess. Technol. ASME 2009, 131, 011203. [Google Scholar] [CrossRef]
- Yang, P.; Liu, Y.; Ohtake, Y. Limit analysis based on a modified elastic compensation method for nozzle-to-cylinder junctions. Int. J. Pres. Ves. Pip. 2005, 82, 770–776. [Google Scholar] [CrossRef]
- Nadarajah, C.; Mackenzie, D.; Boyle, J.T. Limit and shakedown analysis of nozzle/cylinder intersections under internal pressure and in-plane moment loading. Int. J. Pres. Ves. Pip. 1996, 68, 261–272. [Google Scholar] [CrossRef]
- Ma, Z.Y.; Chen, H.F.; Liu, Y.H.; Xuan, F.Z. A Direct Approach to the Evaluation of Structural Shakedown Limit Considering Limited Kinematic Hardening and Non-Isothermal Effect. Eur. J. Mech. A Solids 2020, 79, 103877. [Google Scholar] [CrossRef]
- Leu, S.Y.; Chen, Y.H.; Liao, K.C. Shakedown Analysis of Trusses under Cyclic Thermal Load with Temperature-Dependent Yield Stress. Struct. Eng. Mech. 2021, 78, 681–689. [Google Scholar]
- Chen, X.H.; Liu, Y.; Zhu, L.; Lang, L.; Chen, H.F. Shakedown Limit of Elbow Pipe under Coupled Cyclic Thermal-Mechanical Loading Based on the LMM. Int. J. Pres. Ves. Pip. 2022, 199, 104747. [Google Scholar] [CrossRef]
- Hubel, H.; Vollrath, B. Simplified Theory of Plastic Zones in the State of Elastic Shakedown with Stress Stiffening. Eur. J. Mech. A Solid 2022, 95, 104613. [Google Scholar] [CrossRef]
- Singh, A.K.; Khan, I.A.; Sharma, K.; Sen, R.N.; Mukherjee, A.B. Shakedown Analysis of Thick Cylinder with a Radial Opening with Primary Load Cycling In-Phase with Secondary Load. Procedia Eng. 2017, 173, 867–874. [Google Scholar] [CrossRef]
- Faupel, J.H.; Harris, D.B. Stress Concentration in Heavy-Walled Cylindrical Pressure Vessels. Ind. Eng. Chem. Res. 1957, 49, 1979–1986. [Google Scholar] [CrossRef]
- Gerdeen, J.C. Analysis of Stress Concentrations in Thick Cylinders with Sideholes and Crossholes. J. Eng. Ind. ASME 1972, 94, 815–823. [Google Scholar] [CrossRef]
- Makulsawatudom, P.; Mackenzie, D.; Hamilton, R. Stress Concentration at Crossholes in Thick Cylindrical Vessels. J. Strain Anal. Eng. 2005, 39, 471–481. [Google Scholar] [CrossRef]
- ASME Boiler and Pressure Vessel Code; The American Society of Mechanical Engineers: New York, NY, USA, 2007.










| Method | Supported Load | Main Features | |
|---|---|---|---|
| Elastic compensation method | Proportional load | Large error for complex structures | |
| The cycle-by-cycle method | All kinds of load | Time-consuming | |
| Nonlinear superposition methods | Muscat and Mackenzie method | All kinds of load | Only the mechanical loads |
| Min {PL, 2Pe} method | Proportional load | Good precision | |
| Abdalla method | All kinds of load | Good precision | |
| Temperature | 300 °C | 400 °C |
|---|---|---|
| Young’s modulus (GPa) | 176 | 168 |
| Yield stress (MPa) | 109.12 | 100.80 |
| Poisson’s ratio | 0.3 | 0.3 |
| Thermal expansion coefficient (1/°C) | 17.2 × 10−6 | 17.8 × 10−6 |
Disclaimer/Publisher’s Note: The statements, opinions and data contained in all publications are solely those of the individual author(s) and contributor(s) and not of MDPI and/or the editor(s). MDPI and/or the editor(s) disclaim responsibility for any injury to people or property resulting from any ideas, methods, instructions or products referred to in the content. |
© 2023 by the authors. Licensee MDPI, Basel, Switzerland. This article is an open access article distributed under the terms and conditions of the Creative Commons Attribution (CC BY) license (https://creativecommons.org/licenses/by/4.0/).
Share and Cite
Chen, Y.; Jin, X.; Guo, Y.; Zhao, J.; Guo, S. A Numerical Procedure for Shakedown Analysis of Thick Cylindrical Vessels with Crossholes under Dual Cyclic Loadings. Materials 2023, 16, 3364. https://doi.org/10.3390/ma16093364
Chen Y, Jin X, Guo Y, Zhao J, Guo S. A Numerical Procedure for Shakedown Analysis of Thick Cylindrical Vessels with Crossholes under Dual Cyclic Loadings. Materials. 2023; 16(9):3364. https://doi.org/10.3390/ma16093364
Chicago/Turabian StyleChen, Yangxi, Xin Jin, Yan Guo, Jian Zhao, and Sujuan Guo. 2023. "A Numerical Procedure for Shakedown Analysis of Thick Cylindrical Vessels with Crossholes under Dual Cyclic Loadings" Materials 16, no. 9: 3364. https://doi.org/10.3390/ma16093364
APA StyleChen, Y., Jin, X., Guo, Y., Zhao, J., & Guo, S. (2023). A Numerical Procedure for Shakedown Analysis of Thick Cylindrical Vessels with Crossholes under Dual Cyclic Loadings. Materials, 16(9), 3364. https://doi.org/10.3390/ma16093364
