Effects of Mud Content on the Setting Time and Mechanical Properties of Alkali-Activated Slag Mortar
Abstract
1. Introduction
- (1)
- Does the mud affect the setting time of AAS, and is there the same effect for different mud contents and different kinds of mud;
- (2)
- Does the mud in the sand affect the compressive and flexural strengths of AAS mortar, and is there the same effect for different mud contents and different kinds of mud;
- (3)
- Is the threshold mud content of sand the same for AAS materials as the threshold mud content stipulated by the specification associated with the cement mixture?
2. Materials and Methods
2.1. Materials
2.2. Testing Design
2.2.1. Testing Grouping
2.2.2. Water–Binder Ratio
2.2.3. Sample Maintaining
2.3. Test Methods
2.3.1. Setting Time
2.3.2. AAS Mortar Strength
2.3.3. Micro-Analysis
3. Test Results and Analysis
3.1. Setting Time
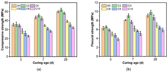
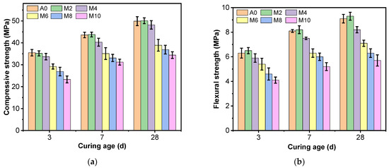
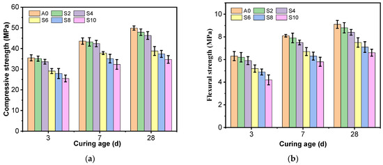
3.2. Mechanical Property
3.3. Mechanism Analysis
4. Conclusions
- (1)
- Mud in the sand significantly affects the setting time of AAS. As the mud absorbs water, the alkali concentration increases, which speeds up the reaction of AAS and shortens the initial setting time of AAS but the mud slows down the hydration process and makes the final setting time longer. With the increase in mud content, this phenomenon also becomes more and more significant. Clay has a more significant influence than silt;
- (2)
- With the increase in the silt content in the sand, the compressive strength and flexural strength of AAS mortar both decrease. When the silt content is less than 4%, there is no significant effect of silt on the mechanical properties of AAS mortar. When the silt content exceeds 4%, the silt affects the hydration process of AAS that leads to the weakening of the bond between the gel and the sand, producing loose flocculent gel and reducing the mechanical properties of AAS mortar significantly;
- (3)
- The clay in the sand has almost no negative impact on the compressive and flexural strengths of AAS mortar when the clay content is less than 4%; the strength of AAS mortar decreases rapidly when the content exceeds 4%. The clay slows down the hydration process of AAS, hinders the bonding between the gel and sand, and the clay minerals destroy the original dense gel structure. Microscopic analysis shows that a small amount of N-A-S-H gel and partially ordered crystals are produced, which destroys the dense gel structure;
- (4)
- The recommended threshold mud content of sand for AAS mortar is 4% according to the setting time and strength. However, other properties of AAS mortar with mud should be studied further in order to calibrate the recommended thresholds.
Author Contributions
Funding
Institutional Review Board Statement
Informed Consent Statement
Data Availability Statement
Conflicts of Interest
References
- Bakharev, T.; Sanjayan, J.G.; Cheng, Y. Resistance of alkali-activated slag concrete to carbonation. Cem. Concr. Res. 2001, 31, 1277–1283. [Google Scholar] [CrossRef]
- Imbabi, M.S.; Carrigan, C.; McKenna, S. Trends and developments in green cement and concrete technology. Int. J. Sustain. Built Environ. 2012, 1, 194–216. [Google Scholar] [CrossRef]
- Pierrehumbert, R. There is no Plan B for dealing with the climate crisis. Bull. At. Sci. 2019, 75, 215–221. [Google Scholar] [CrossRef]
- Benhelal, E.; Zahedi, G.; Shamsaei, E.; Bahadori, A. Global strategies and potentials to curb CO2 emissions in cement industry. J. Clean. Prod. 2013, 51, 142–161. [Google Scholar] [CrossRef]
- Wojtacha-Rychter, K.; Smoliński, A. Multi-Case Study on Environmental and Economic Benefits through Co-Burning Refuse-Derived Fuels and Sewage Sludge in Cement Industry. Materials 2022, 15, 4176. [Google Scholar] [CrossRef]
- Zhu, J.; Zheng, W.Z. Effectiveness of alkali-activated slag cementitious material as adhesive for structural reinforcement. In Applied Mechanics and Materials; Trans Tech Publications Ltd.: Stafa-Zurich, Switzerland, 2012; Volume 193, pp. 418–422. [Google Scholar] [CrossRef]
- John, S.K.; Nadir, Y.; Girija, K. Effect of source materials, additives on the mechanical properties and durability of fly ash and fly ash-slag geopolymer mortar: A review. Constr. Build. Mater. 2021, 280, 122443. [Google Scholar] [CrossRef]
- Xie, J.; Zhao, J.; Wang, J.; Fang, C.; Yuan, B.; Wu, Y. Impact behaviour of fly ash and slag-based geopolymeric concrete: The effects of recycled aggregate content, water-binder ratio and curing age. Constr. Build. Mater. 2022, 331, 127359. [Google Scholar] [CrossRef]
- Amran, Y.M.; Alyousef, R.; Alabduljabbar, H.; El-Zeadani, M. Clean production and properties of geopolymer concrete; A review. J. Clean. Prod. 2020, 251, 119679. [Google Scholar] [CrossRef]
- Singh, B.; Ishwarya, G.; Gupta, M.; Bhattacharyya, S.K. Geopolymer concrete: A review of some recent developments. Constr. Build. Mater. 2015, 85, 78–90. [Google Scholar] [CrossRef]
- Amran, M.; Huang, S.; Debbarma, S.; Rashid, R.S. Fire resistance of geopolymer concrete: A critical review. Constr. Build. Mater. 2022, 324, 126722. [Google Scholar] [CrossRef]
- Jiang, M.; Chen, X.; Rajabipour, F.; Hendrickson, C.T. Comparative life cycle assessment of conventional, glass powder, and alkali-activated slag concrete and mortar. J. Infrastruct. Syst. 2014, 20, 4014020. [Google Scholar] [CrossRef]
- Alsalman, A.; Assi, L.N.; Kareem, R.S.; Carter, K.; Ziehl, P. Energy and CO2 emission assessments of alkali-activated concrete and Ordinary Portland Cement concrete: A comparative analysis of different grades of concrete. Clean. Environ. Syst. 2021, 3, 100047. [Google Scholar] [CrossRef]
- Thwe, E.; Khatiwada, D.; Gasparatos, A. Life cycle assessment of a cement plant in Naypyitaw, Myanmar. Clean. Environ. Syst. 2021, 2, 100007. [Google Scholar] [CrossRef]
- Li, Z.; Delsaute, B.; Lu, T.; Kostiuchenko, A.; Staquet, S.; Ye, G. A comparative study on the mechanical properties, autogenous shrinkage and cracking proneness of alkali-activated concrete and ordinary Portland cement concrete. Constr. Build. Mater. 2021, 292, 123418. [Google Scholar] [CrossRef]
- Norvell, J.K.; Stewart, J.G.; Juenger, M.C.; Fowler, D.W. Influence of clays and clay-sized particles on concrete performance. J. Mater. Civ. Eng. 2007, 19, 1053–1059. [Google Scholar] [CrossRef]
- Muñoz, J.F.; Gullerud, K.J.; Cramer, S.M.; Tejedor, M.I.; Anderson, M.A. Effects of coarse aggregate coatings on concrete performance. J. Mater. Civ. Eng. 2010, 22, 96–103. [Google Scholar] [CrossRef]
- Ohemeng, E.A.; Ekolu, S.O. A review on the reactivation of hardened cement paste and treatment of recycled aggregates. Mag. Concr. Res. 2020, 72, 526–539. [Google Scholar] [CrossRef]
- Fernandes, V.A.; Purnell, P.; Still, G.T.; Thomas, T.H. The effect of clay content in sands used for cementitious materials in developing countries. Cem. Concr. Res. 2007, 37, 751–758. [Google Scholar] [CrossRef]
- Nehdi, M.L. Clay in cement-based materials: Critical overview of state-of-the-art. Constr. Build. Mater. 2014, 51, 372–382. [Google Scholar] [CrossRef]
- Saberi Varzaneh, A.; Naderi, M. Experimental and Finite Element Study to Determine the Mechanical Properties and Bond Between Repair Mortars and Concrete Substrates. J. Appl. Comput. Mech. 2022, 8, 493–509. [Google Scholar]
- Ferreiro, S.; Herfort, D.; Damtoft, J.S. Effect of raw clay type, fineness, water-to-cement ratio and fly ash addition on workability and strength performance of calcined clay–limestone Portland cements. Cem. Concr. Res. 2017, 101, 1–12. [Google Scholar] [CrossRef]
- Ting, L.; Qiang, W.; Shiyu, Z. Effects of ultra-fine ground granulated blast-furnace slag on initial setting time, fluidity and rheological properties of cement pastes. Powder Technol. 2019, 345, 54–63. [Google Scholar] [CrossRef]
- Herzog, A.; Mitchell, J.K. Reactions accompanying stabilization of clay with cement. Highw. Res. Rec. 1963. Available online: http://onlinepubs.trb.org/Onlinepubs/hrr/1963/36/36-008.pdf (accessed on 24 March 2023).
- Bouguerra, A.; Ledhem, A.; De Barquin, F.; Dheilly, R.M.; Quéneudec, M. Effect of microstructure on the mechanical and thermal properties of lightweight concrete prepared from clay, cement, and wood aggregates. Cem. Concr. Res. 1998, 28, 1179–1190. [Google Scholar] [CrossRef]
- Zhao, Z.; Wang, S.; Ren, J.; Wang, Y.; Wang, C. Fatigue characteristics and prediction of cement-stabilized cold recycled mixture with road-milling materials considering recycled aggregate composition. Constr. Build. Mater. 2021, 301, 124122. [Google Scholar] [CrossRef]
- Attou, F.; Bruand, A.; Le Bissonnais, Y. Effect of clay content and silt—Clay fabric on stability of artificial aggregates. Eur. J. Soil Sci. 1998, 49, 569–577. [Google Scholar] [CrossRef]
- Tan, H.; Gu, B.; Guo, Y.; Ma, B.; Huang, J.; Ren, J.; Zou, F.; Guo, Y. Improvement in compatibility of polycarboxylate superplasticizer with poor-quality aggregate containing montmorillonite by incorporating polymeric ferric sulfate. Constr. Build. Mater. 2018, 162, 566–575. [Google Scholar] [CrossRef]
- Deshmukh, S.R.; Patil, S.N.; Maske, M.M. Study of concrete mixes (M20 and M30) with optimum cement consumption using 100% crushed sand and effect of silt content in the crushed sand on strength and workability of the concrete. Mater. Today Proc. 2022, 59, 867–871. [Google Scholar] [CrossRef]
- Ge, Z.; Wang, Y.; Sun, R.; Wu, X.; Guan, Y. Influence of ground waste clay brick on properties of fresh and hardened concrete. Constr. Build. Mater. 2015, 98, 128–136. [Google Scholar] [CrossRef]
- Zhou, Y.; Du, H.; Liu, Y.; Liu, J.; Liang, S. An experimental study on mechanical, shrinkage and creep properties of early-age concrete affected by clay content on coarse aggregate. Case Stud. Constr. Mater. 2022, 16, e1135. [Google Scholar] [CrossRef]
- Habert, G.; Choupay, N.; Escadeillas, G.; Guillaume, D.; Montel, J.M. Clay content of argillites: Influence on cement based mortars. Appl. Clay Sci. 2009, 43, 322–330. [Google Scholar] [CrossRef]
- Sharma, M.; Bishnoi, S.; Martirena, F.; Scrivener, K. Limestone calcined clay cement and concrete: A state-of-the-art review. Cem. Concr. Res. 2021, 149, 106564. [Google Scholar] [CrossRef]
- Wang, Z.; Li, M.; Shen, L.; Wang, J. Incorporating clay as a natural and enviro-friendly partial replacement for cement to reduce carbon emissions in peat stabilisation: An experimental investigation. Constr. Build. Mater. 2022, 353, 128901. [Google Scholar] [CrossRef]
- Cardoso, T.C.; de Matos, P.R.; Py, L.; Longhi, M.; Cascudo, O.; Kirchheim, A.P. Ternary cements produced with non-calcined clay, limestone, and Portland clinker. J. Build. Eng. 2022, 45, 103437. [Google Scholar] [CrossRef]
- Nguyen, Q.D.; Afroz, S.; Zhang, Y.; Kim, T.; Li, W.; Castel, A. Autogenous and total shrinkage of limestone calcined clay cement (LC3) concretes. Constr. Build. Mater. 2022, 314, 125720. [Google Scholar] [CrossRef]
- Msinjili, N.S.; Vogler, N.; Sturm, P.; Neubert, M.; Schröder, H.; Kühne, H.; Hünger, K.; Gluth, G.J. Calcined brick clays and mixed clays as supplementary cementitious materials: Effects on the performance of blended cement mortars. Constr. Build. Mater. 2021, 266, 120990. [Google Scholar] [CrossRef]
- Shafizadeh, A.; Gimmi, T.; Van Loon, L.R.; Kaestner, A.P.; Mäder, U.K.; Churakov, S.V. Time-resolved porosity changes at cement-clay interfaces derived from neutron imaging. Cem. Concr. Res. 2020, 127, 105924. [Google Scholar] [CrossRef]
- Kirthika, S.K.; Surya, M.; Singh, S.K. Effect of clay in alternative fine aggregates on performance of concrete. Constr. Build. Mater. 2019, 228, 116811. [Google Scholar] [CrossRef]
- Tregger, N.A.; Pakula, M.E.; Shah, S.P. Influence of clays on the rheology of cement pastes. Cem. Concr. Res. 2010, 40, 384–391. [Google Scholar] [CrossRef]
- Ministry of General Administration of Quality Supervision, Inspection and Quarantine of the People’s Republic of China. Standard Sand for Cement Strength Testing; AQSIQ: Beijing, China, 2014.
- Ministry of Housing and Urban-Rural Development of the People’s Republic of China. Technical Standard for Application of Alkali-Activated Slag Concrete; Ministry of Housing and Urban-Rural Development of the People’s Republic of China: Beijing, China, 2018.
- Ministry of Transport of the People’s Republic of China. Testing Methods of Cement and Concrete for Highway Engineering; Ministry of Transport of the People’s Republic of China: Beijing, China, 2020.
- Ren, J.; Zhao, Z.; Xu, Y.; Wang, S.; Chen, H.; Huang, J.; Xue, B.; Wang, J.; Chen, J.; Yang, C. High-fluidization, early strength cement grouting material enhanced by Nano-SiO2: Formula and mechanisms. Materials 2021, 14, 6144. [Google Scholar] [CrossRef]
- Zhao, Z.; Chen, J.; Wang, J.; Zhuang, S.; Chen, H.; Zhao, H.; Wang, C.; Zhang, L.; Li, M.; Li, G. Effect Mechanisms of Toner and Nano-SiO2 on Early Strength of Cement Grouting Materials for Repair of Reinforced Concrete. Buildings 2022, 12, 1320. [Google Scholar] [CrossRef]
- Tian, L.; Chen, X.; Liu, X.; Li, H.; Ge, Y. Mechanisms of recycled fine brick aggregate in autogenous shrinkage mitigation, mechanical properties enhancement and microstructure improvement of alkali-activated slag-fly ash mortar. Constr. Build. Mater. 2023, 373, 130755. [Google Scholar] [CrossRef]
- Perná, I.; Hanzlíček, T. The setting time of a clay-slag geopolymer matrix: The influence of blast-furnace-slag addition and the mixing method. J. Clean. Prod. 2016, 112, 1150–1155. [Google Scholar] [CrossRef]
- Louati, S.; Baklouti, S.; Samet, B. Acid based geopolymerization kinetics: Effect of clay particle size. Appl. Clay Sci. 2016, 132, 571–578. [Google Scholar] [CrossRef]
- Manić, V.; Miljković, L.; Djurić-Stanojević, B. The 1HT1 study of the influence of clay addition on Portland cement hydration. Appl. Magn. Reson. 1997, 13, 231–239. [Google Scholar] [CrossRef]
- Vipulanandan, C.; Sunder, S. Effects of meta-kaolin clay on the working and strength properties of cement grouts. In Grouting and Deep Mixing 2012; American Society of Civil Engineers: Reston, VA, USA, 2012; pp. 1739–1747. [Google Scholar] [CrossRef]
- Zhao, H.; Ma, Y.; Zhang, J.; Hu, Z.; Li, H.; Wang, Y.; Liu, J.; Wang, K. Effect of clay content on shrinkage of cementitious materials. Constr. Build. Mater. 2022, 322, 125959. [Google Scholar] [CrossRef]
- Ayodele, F.O.; Ayeni, I.S. Analysis of influence of silt/clay impurities present in fine aggregates on the compressive strength of concrete. Int. J. Eng. Res. Sci. Technol. 2015, 15, 6. [Google Scholar]
- Zhao, Y.; Kong, L.; Xu, R.; Liu, J.; Sang, S. Strength behaviors of hydrate-bearing clayey-silty sediments with multiple factors. J. Petrol. Sci. Eng. 2022, 219, 111035. [Google Scholar] [CrossRef]
- Li, D.; Wang, Z.; Liang, D.; Wu, X. Effect of clay content on the mechanical properties of hydrate-bearing sediments during hydrate production via depressurization. Energies 2019, 12, 2684. [Google Scholar] [CrossRef]
- Su, Y.; Luo, B.; Luo, Z.; Xu, F.; Huang, H.; Long, Z.; Shen, C. Mechanical characteristics and solidification mechanism of slag/fly ash-based geopolymer and cement solidified organic clay: A comparative study. J. Build. Eng. 2023, 71, 106459. [Google Scholar] [CrossRef]
- Rivera, J.F.; de Gutiérrez, R.M.; Ramirez-Benavides, S.; Orobio, A. Compressed and stabilized soil blocks with fly ash-based alkali-activated cements. Constr. Build. Mater. 2020, 264, 120285. [Google Scholar] [CrossRef]
- Lecomte, I.; Henrist, C.; Liégeois, M.; Maseri, F.; Rulmont, A.; Cloots, R. (Micro)-structural comparison between geopolymers, alkali-activated slag cement and Portland cement. J. Eur. Ceram. Soc. 2006, 26, 3789–3797. [Google Scholar] [CrossRef]
- Yip, C.K.; Lukey, G.C.; Van Deventer, J.S. The coexistence of geopolymeric gel and calcium silicate hydrate at the early stage of alkaline activation. Cem. Concr. Res. 2005, 35, 1688–1697. [Google Scholar] [CrossRef]
- Yang, J.; Li, D.; Fang, Y. Effect of synthetic CaO-Al2O3-SiO2-H2O on the early-stage performance of alkali-activated slag. Constr. Build. Mater. 2018, 167, 65–72. [Google Scholar] [CrossRef]
- Provis, J.L.; Bernal, S.A. Geopolymers and related alkali-activated materials. Annu. Rev. Mater. Res. 2014, 44, 299–327. [Google Scholar] [CrossRef]
- Jiang, S.; Xu, J.; Song, Y.; Xu, Y. Alkali-activated fly ash foam concrete with Yellow River silt: Physico-mechanical and structural properties. Constr. Build. Mater. 2023, 373, 130879. [Google Scholar] [CrossRef]
- Karozou, A.; Konopisi, S.; Paulidou, E.; Stefanidou, M. Alkali activated clay mortars with different activators. Constr. Build. Mater. 2019, 212, 85–91. [Google Scholar] [CrossRef]
- García-Lodeiro, I.; Palomo, A.; Fernández-Jiménez, A.; Macphee, D.E. Compatibility studies between NASH and CASH gels. Study in the ternary diagram Na2O–CaO–Al2O3–SiO2–H2O. Cem. Concr. Res. 2011, 41, 923–931. [Google Scholar] [CrossRef]
- Walkley, B.; San Nicolas, R.; Sani, M.; Rees, G.J.; Hanna, J.V.; van Deventer, J.S.; Provis, J.L. Phase evolution of C-(N)-ASH/NASH gel blends investigated via alkali-activation of synthetic calcium aluminosilicate precursors. Cem. Concr. Res. 2016, 89, 120–135. [Google Scholar] [CrossRef]
- Provis, J.L.; Van Deventer, J. Geopolymerisation kinetics. 2. Reaction kinetic modelling. Chem. Eng. Sci. 2007, 62, 2318–2329. [Google Scholar] [CrossRef]
- Khalifa, A.Z.; Cizer, Ö.; Pontikes, Y.; Heath, A.; Patureau, P.; Bernal, S.A.; Marsh, A.T. Advances in alkali-activation of clay minerals. Cem. Concr. Res. 2020, 132, 106050. [Google Scholar] [CrossRef]







| Oxide | CaO | Al2O3 | SiO2 | MgO | Fe2O3 | TiO2 | SO3 | MnO | Na2O |
|---|---|---|---|---|---|---|---|---|---|
| Mass (wt.%) | 42.6 | 14.2 | 27.8 | 8.09 | 0.378 | 1.2 | 2.46 | 0.401 | 0.55 |
| Chemical Composition | SiO2 | Al2O3 | Fe2O3 | K2O | Na2O | MgO | SO3 | CaO | TiO2 | MnO | P2O5 | LOI |
|---|---|---|---|---|---|---|---|---|---|---|---|---|
| Clay (wt.%) | 57.6 | 33.6 | 1.1 | 0.3 | 0.4 | 0.02 | — | 1 | 0.04 | 0.02 | 0.03 | 4.94 |
| Silt (wt.%) | 63.7 | 15.9 | 3.07 | 2.6 | 1.82 | 1.87 | 0.06 | 5.72 | 0.48 | 0.05 | 0.13 | 3.8 |
| Mix Id | Activator Percentages | Na2O Percentages | Mud Percentages |
|---|---|---|---|
| A0 | 6% | 3% | 0 |
| S2 | 6% | 3% | Silt-2% |
| S4 | 6% | 3% | Silt-4% |
| S6 | 6% | 3% | Silt-6% |
| S8 | 6% | 3% | Silt-8% |
| S10 | 6% | 3% | Silt-10% |
| C2 | 6% | 3% | Clay-2% |
| C4 | 6% | 3% | Clay-4% |
| C6 | 6% | 3% | Clay-6% |
| C8 | 6% | 3% | Clay-8% |
| C10 | 6% | 3% | Clay-10% |
| M2 | 6% | 3% | Mixed mud-2% |
| M4 | 6% | 3% | Mixed mud-4% |
| M6 | 6% | 3% | Mixed mud-6% |
| M8 | 6% | 3% | Mixed mud-8% |
| M10 | 6% | 3% | Mixed mud-10% |
| Mix Id | Initial Setting Time (Min) | Final Setting Time (Min) | Compressive Strength (MPa) | Flexural Strength (MPa) | ||||
|---|---|---|---|---|---|---|---|---|
| 3 d | 7 d | 28 d | 3 d | 7 d | 28 d | |||
| A0 | 46 | 150 | 35.5 | 43.6 | 49.9 | 6.3 | 8.1 | 9.1 |
| S2 | 40 | 159 | 35.1 | 43.2 | 47.9 | 6.2 | 7.9 | 8.8 |
| S4 | 36 | 184 | 33.6 | 42.4 | 46.3 | 5.9 | 7.5 | 8.4 |
| S6 | 33 | 194 | 29.1 | 37.8 | 40.8 | 5.2 | 6.7 | 7.5 |
| S8 | 31 | 208 | 27.9 | 35.1 | 37.4 | 4.9 | 6.3 | 7.1 |
| S10 | 28 | 225 | 25.5 | 32.3 | 34.7 | 4.2 | 5.8 | 6.6 |
| C2 | 42 | 165 | 35.9 | 45.7 | 52.1 | 6.6 | 9.1 | 9.8 |
| C4 | 35 | 186 | 34.5 | 42.4 | 48.4 | 5.9 | 7.7 | 8.7 |
| C6 | 27 | 215 | 28.4 | 34.5 | 39.2 | 5 | 6.2 | 7 |
| C8 | 21 | 238 | 25.8 | 31.1 | 35.4 | 4.7 | 5.7 | 6.4 |
| C10 | 17 | 244 | 22.9 | 28.2 | 32.1 | 3.8 | 5.1 | 5.9 |
| M2 | 43 | 161 | 35.2 | 43.8 | 50.1 | 6.5 | 8.2 | 9.3 |
| M4 | 37 | 179 | 33.7 | 40.3 | 48.2 | 5.9 | 7.5 | 8.2 |
| M6 | 31 | 206 | 29.2 | 35.1 | 38.9 | 5.4 | 6.3 | 7.1 |
| M8 | 26 | 217 | 26.9 | 33.1 | 36.9 | 4.6 | 6 | 6.3 |
| M10 | 23 | 238 | 23.3 | 31.2 | 34.4 | 4.1 | 5.2 | 5.7 |
Disclaimer/Publisher’s Note: The statements, opinions and data contained in all publications are solely those of the individual author(s) and contributor(s) and not of MDPI and/or the editor(s). MDPI and/or the editor(s) disclaim responsibility for any injury to people or property resulting from any ideas, methods, instructions or products referred to in the content. |
© 2023 by the authors. Licensee MDPI, Basel, Switzerland. This article is an open access article distributed under the terms and conditions of the Creative Commons Attribution (CC BY) license (https://creativecommons.org/licenses/by/4.0/).
Share and Cite
Li, S.; Chen, D.; Jia, Z.; Li, Y.; Li, P.; Yu, B. Effects of Mud Content on the Setting Time and Mechanical Properties of Alkali-Activated Slag Mortar. Materials 2023, 16, 3355. https://doi.org/10.3390/ma16093355
Li S, Chen D, Jia Z, Li Y, Li P, Yu B. Effects of Mud Content on the Setting Time and Mechanical Properties of Alkali-Activated Slag Mortar. Materials. 2023; 16(9):3355. https://doi.org/10.3390/ma16093355
Chicago/Turabian StyleLi, Shuaijun, Deyong Chen, Zhirong Jia, Yilin Li, Peiqing Li, and Bin Yu. 2023. "Effects of Mud Content on the Setting Time and Mechanical Properties of Alkali-Activated Slag Mortar" Materials 16, no. 9: 3355. https://doi.org/10.3390/ma16093355
APA StyleLi, S., Chen, D., Jia, Z., Li, Y., Li, P., & Yu, B. (2023). Effects of Mud Content on the Setting Time and Mechanical Properties of Alkali-Activated Slag Mortar. Materials, 16(9), 3355. https://doi.org/10.3390/ma16093355

