Next Article in Journal
Effect of Multi-Element Microalloying on the Structure and Properties of High Chromium Cast Iron
Previous Article in Journal
Artifact-Free Microstructures in the Interfacial Reaction between Eutectic In-48Sn and Cu Using Ion Milling
Previous Article in Special Issue
Magnetic, Optical and Phonon Properties of Ion-Doped MgO Nanoparticles. Application for Magnetic Hyperthermia
 
 
Font Type:
Arial Georgia Verdana
Font Size:
Aa Aa Aa
Line Spacing:
Column Width:
Background:
Article

Inversion of the Complex Refractive Index of Au-Ag Alloy Nanospheres Based on the Contour Intersection Method

Xinjiang Key Laboratory for Luminescence Minerals and Optical Functional Materials, School of Physics and Electronic Engineering, Xinjiang Normal University, Urumqi 830054, China
*
Author to whom correspondence should be addressed.
Materials 2023, 16(9), 3291; https://doi.org/10.3390/ma16093291
Submission received: 17 February 2023 / Revised: 19 April 2023 / Accepted: 20 April 2023 / Published: 22 April 2023
(This article belongs to the Special Issue Investigation on Optical Phenomena of Micro/Nano Materials/Structures)

Abstract

The contour intersection method is a new method used to invert the complex refractive index of small particles. Research has yet to be reported on using this method to invert the complex refractive index of nanoparticles. This paper reports the feasibility and reliability of the contour intersection method in the inversion of the complex refractive index of nanoparticles using Au-Ag alloy nanospheres. The Mie theory and the size-dependent dielectric function are used to calculate the light scattering and absorption efficiency of Au-Ag alloy nanospheres corresponding to the complex refractive index. The complex refractive index of the particles is obtained by inversion with the contour intersection method. The backscattering efficiency constraint method is used to determine the unique solution when multiple valid solutions from the contour intersection method appear. The effects of the Au component percentage, particle size, and measurement errors on the inversion results are quantitatively analyzed. Finally, the inversion accuracy is compared and analyzed with the traditional iterative method. The results show that as long as the light scattering efficiency, light absorption efficiency, and backscattering efficiency of Au nanospheres can be measured, the accurate complex refractive index can also be calculated by inversion using the contour intersection method. The accuracy of the inversion results can be ensured when the measurement error is less than 5%. The results of inversion using the contour intersection method are better than those of the iterative methods under the same conditions. This study provides a simple and reliable inversion method for measuring the complex refractive index of Au-Ag alloy nanospheres.

1. Introduction

Noble metal nanoparticles are the most widely studied colloidal system in nanoscience and nanotechnology [1]. Localized surface plasmon resonance (LSPR) can occur when metal nanoparticles interact with incident light at specific wavelengths, called resonant wavelengths [2]. At the resonant wavelengths, nanoparticles strongly absorb and scatter incident light [3,4]. The resonant wavelength of the metal nanoparticles can be tuned from near-ultraviolet to near-infrared [5,6], making metal nanoparticles suitable in many fields such as bioimaging [7], photothermal therapy [8], surface-enhanced Raman scattering (SERS) [9], biosensing, and detection [10,11].
With the rapid development of nanotechnology, it is now possible to design and study different composite nanoparticles for various applications. Composite nanoparticles are widely studied because they overcome the deficiency of ordinary nanoparticles. Moreover, composite nanoparticles possess new properties arising from the synergistic effects of the combination in addition to the properties of their constituents [12,13,14]. Au nanoparticles have good chemical stability and photothermal properties and exhibit stable plasmonic reactions. Ag nanoparticles, on the other hand, have high refractive index sensitivity, strong surface-enhanced Raman scattering, and photocatalytic activity [15,16]. With the advantages of Au and Ag, Au-Ag alloy nanoparticles have been widely studied due to their excellent structural stability, biocompatibility, photothermal properties, refractive index sensing, strong surface-enhanced Raman scattering, and potential biomedical applications [17,18]. It is found that the solar thermal conversion efficiency of Au-Ag alloy nanoparticles is higher than that of gold nanoparticles [15]. Hollow Au-Ag alloy nanoparticles show better oxidation resistance [19]. Au-Ag alloy nanoparticles have higher refractive index sensitivity and surface-enhanced Raman scattering than gold nanoparticles [20]. Au-Ag alloy nanoparticles of different sizes and shapes can be prepared by synthesis methods such as chemical reduction techniques, nanosecond laser-induced alloying, and femtosecond laser irradiation [21]. Alloy nanoparticles provide a solution to the problems of monometallic nanoparticles in practical applications.
The complex refractive index is one of the important optical properties of nanoparticles used in many practical applications [22,23]. Therefore, accurately measuring the complex refractive index of Au-Ag alloy nanoparticles has essential research significance and value. Currently, the commonly used measurement methods include ellipsometry, laser transmission, dynamic and static light scattering, and light extinction spectroscopy [24,25,26,27]. Although ellipsometry measurements are accurate and can be monitored in real-time, it is challenging to characterize low absorption coefficients with this technique [24]. The measurement accuracy in the laser transmission method is directly related to the accuracy of the experimental instrument [25]. The dynamic and static light scattering method has no requirements for the dispersion of the sample and is suitable for particles from micron to submicron. However, the relevant experimental setup is complex [26]. The light extinction spectrometer measures the extinction coefficient in extinction spectroscopy. Then, Mie theory is used to invert the complex refractive index of particles. However, the light extinction spectroscopy method also has the limitation that the inversion error will increase when the concentration of the particle system is too high [27]. Mie theory is used to calculate the optical properties of nanoparticles such as Au-Ag alloys, Co-Plus-NI doped ZnO, and Ni/Cu co-doped ZnO [28,29]. The contour intersection method is similar to the light extinction spectroscopy, in which the scattering efficiency, absorption efficiency, and backscattering efficiency of a particle are measured first. Then, the complex refractive index of the particle is inverted using Mie theory [30]. The inversion method is a technique for determining the complex refractive index of a nanomaterial by measuring the scattering and absorption efficiencies of light at different wavelengths. In the inversion method, the measured scattering and absorption data are used to determine the complex refractive index of the material. This quantity is often denoted as n + ik, where n and k are the real and imaginary parts of the refractive index, respectively. The inverted complex refractive index is a valuable parameter for characterizing the optical properties of materials, including their absorption, scattering, and dispersion behavior. It can also be used to derive other optical constants such as the extinction coefficient and dielectric function. Compared to simulation and fitting procedures, the inversion method has several advantages. It is a physically based approach that does not require assumptions about the underlying model or functional form of the data. It is also relatively fast and accurate for certain types of materials and structures, especially when the material parameters are well-defined and homogeneous. However, the inversion method may not be suitable for complex or heterogeneous samples. In such cases, simulation and fitting procedures that incorporate more detailed models and empirical fitting parameters may be preferred.
Among the many complex refractive index measurement methods, the contour intersection method is of great interest because of its simplicity, low cost, real-time visual observation of the inversion process, and ability to quickly obtain the complex refractive index of particles [30]. Dapeng Zhao et al. [31] calculated the aerosol equivalent complex refractive index using the observed aerosol scattering coefficients, absorption coefficients, and particle size distribution data, providing more data support for future modeling in the Taishan area. Aidan Rafferty et al. [32] calculated the size and complex refractive index of aqueous aerosol particles using electromagnetic heating and cavity-enhanced Raman scattering. Renju Nandan et al. [33] estimated the complex refractive index of aerosol over a tropical atmosphere using a synergy of in situ measurements. As can be seen, the studies mentioned above have measured complex refractive indices of atmospheric aerosols. However, measurements of the refractive indices of other particles, especially gold and silver alloy nanoparticles, have rarely been reported.
In this paper, combined with Mie theory, an improved contour intersection method is proposed to measure the complex refractive index of Au-Ag alloy nanoparticles. The feasibility of the inversion results and the factors affecting the inversion results are quantitatively analyzed. The proposed method provides a fast and effective way to measure the complex refractive index of Au-Ag alloy nanoparticles.

2. Contour Intersection Method

The contour intersection method visualizes various optical parameter spaces as functions of n and k and looks for intersections in the curves defined by optical measurements. [30] The specific process of this method is shown in Figure 1. Firstly, the light scattering, absorption and backscattering efficiencies of nanoparticles with a given wavelength and diameter across a range of n and k are calculated. Then, the contours corresponding to measured scattering and absorption efficiencies are determined. Finally, intersection points on the contour line of the scattering and absorption efficiencies in n-k space are identified. If there is only one intersection point, the result is output, and the relative error is calculated. If multiple intersection points exist, the backscattering efficiency is added to constrain the unique solution. The scattering, absorption, and backscattering efficiencies of particles can be calculated using Mie theory.
For the Au-Ag alloy nanospheres, R represents the particle radius, x represents the molar fraction of gold, np is the particle refractive index, and nm is the refractive index of the surrounding medium, as shown in Figure 2.
When a beam of light irradiates the particles, LSPR occurs on the surface, and particles strongly scatter and absorb light. The scattering and absorption efficiency of particles can be calculated using Mie theory [34]. Detailed descriptions and derivations have been published previously [35,36,37]. The expressions for extinction, scattering, absorption, and backscattering efficiencies of spherical nanoparticles are as follows.
Q e x t = 2 x 2 n = 1 ( 2 n + 1 ) Re ( a n + b n )  
Q s c a = 2 x 2 n = 1 ( 2 n + 1 ) ( | a n | 2 + | b n | 2 )
Q a b s = Q e x t Q s c a = 2 x 2 n = 1 ( 2 n + 1 ) [ Re ( a n + b n ) | a n | 2 | b n | 2 ]
Q b a c k = 1 x 2 n = 1 ( 2 n + 1 ) ( 1 ) n ( a n b n ) 2
Here, x = 2πRnm is the size parameter, and λ is the wavelength of incident light in a vacuum. The numerical algorithm described in Bohren and Huffman’s monograph [35] was used to calculate scattering coefficients an and bn. As seen from the Equations (1)–(4), to solve the interaction problem between light and spherical particles, Mie theory only needs to know the incident light wavelength, particle diameter, particle refractive index, and refractive index of the surrounding medium. The calculations of extinction, scattering, and absorption efficiencies of spherical particles are then straightforward.
The refractive index of the particles can be calculated by the dielectric function while calculating the extinction, scattering, absorption, and backscattering efficiencies. Since the Au-Ag alloy nanoparticles are nonmagnetic, μr = 1, the refractive index of the nanoparticles can be written as follows.
n = ε r
where εr is the dielectric function.
In this study, an alloy dielectric function model developed by Rioux et al. [36] is adopted, which includes the Drude term and two critical points. This model is related to both optical frequency and alloy composition. It also considers the effect of particle size and alloy ratio on the dielectric function. The dielectric function of alloy nanoparticles can be expressed as follows.
ε r ω , x = ε ω p x 2 ω 2 + i ω Γ p x + ε CP 1 ω , ω 01 x , ω g 1 x , Γ 1 x , A 1 x + ε CP 2 ω , ω 02 x , Γ 2 x , A 2 x
where ω is the angular frequency of the incident light, and x is the mole fraction of Au. The mole fraction of Ag is 1 − x. ε is the contribution of free electrons from high energy level transition. ωp is the plasma frequency, and Γp is the damping coefficient of free electrons (collision frequency). εCP1 and εCP2 are the dielectric functions at two critical points. ω01 and ω02 are the transition thresholds at two critical points. ωg1 is the transition gap at the critical point. Γ1 and Γ2 are the damping coefficients at two critical points. A1 and A2 are amplitude parameters at two critical points.
Each parameter in the equation is related to the alloy composition. The frequency of the alloy plasma with any Au mole fraction can be written as follows.
ω p x = x 2 2 ω pAu 4 ω pAuAg 5050 + 2 ω pAg + x ω pAu + 4 ω pAuAg 5050 3 ω pAg + ω pAg
where ωpAu, ωpAg, and ωpAuAg5050 represent the plasma frequencies of pure Au, pure Ag, and 50%–50% equimolar fraction Au-Ag alloys, respectively. The other parameters also have the same composition dependence. In the above dielectric function model (Equation (6)), Rioux et al. used a genetic algorithm to fit multiple sets of experimental measurement data to obtain all unknown parameters in the model. The fitting parameters are shown in Table 1.
The collision frequency Γp of free electrons in metal nanoparticles is related to the average free path of free electrons. Similarly, Γp in Au-Ag alloy nanoparticles is also affected by the mean free path of free electrons. Therefore, the dielectric function of alloy nanoparticles can be modified as follows [37].
Γ p = Γ pBulk + α h v f L eff
where ΓpBulk is the damping coefficient of bulk material, which can be calculated by fitting parameters. α is a dimensionless parameter close to 1. h is the Planck constant. vf is the Fermi rate of free electrons, which is 1 × 106 m/s for Au-Ag alloys [36]. Leff represents the effective mean free path of free electrons, the size of nanoparticles [38].

3. Results and Discussion

We performed numerical simulations using the contour intersection method to obtain the composite refractive index of Au-Ag alloy nanoparticles. The process of contour line intersection inversion is shown in Figure 3. In the absence of Em, the measurement error, it is assumed that the diameters of the test particles are 50 nm, the incident wavelength is 633 nm, and x is 0.62. The original value of the particle complex refractive index (no, ko) is calculated by the modified model in the range n ∈ [no − ∆n, no + ∆n]; k ∈ [ko − ∆k, ko + ∆k]; ∆n = ∆k = 3 and with a step length of 0.001. The scattering efficiency (Qsca) and absorption efficiency (Qabs) in a given complex refractive index range are calculated by Mie theory, as shown in Figure 3a,b. Then, the contour lines are drawn using Qsca and Qabs corresponding to the original values of the complex refractive index. The two contour lines are projected onto the n-k plane to find their intersection, as shown in Figure 3c.
In order to solve the problem of multiple inversion effective solutions when only Qsca and Qabs are specified in the actual operation, the contour line of Qback is added to n-k space, as shown in Figure 4a. Finally, the contours of Qsca, Qabs, and Qback are identified and projected onto the n-k space. The results show that adding Qback can acquire a unique solution, as shown in Figure 4b.
The Au-Ag alloy nanospheres with 50 nm diameters were irradiated by 633 nm visible light. The complex refractive index was inverted by the contour line intersection method and traditional iterative method, as shown in Table 2. The original values of real and imaginary parts of the complex refractive index, the values of inversed complex refractive index, and their relative errors are given in the table. It can be seen from Table 2 that under this condition, the contour intersection method has ideal inversion results. However, how the changes in the proportion and sizes of Au components affect the accurate characterization of the inversion results requires further investigation.
Let us quantitatively analyze the influence of the Au component ratio, particle size, and measurement error on the complex refractive index inversion results of Au-Ag alloy nanospheres. The inversion accuracy is compared with that of the traditional iterative method. The accuracy and reliability of the inversion method are analyzed with the relative error of the real and imaginary parts of the complex refractive index. The relative error calculation formula is as follows.
E n = 100 % × n i n o n o , E k = 100 % × k i k o k o
En and Ek are the relative errors in the real and imaginary parts of the complex refractive index. ni and n0 are the inversion value and original value of the real part of the complex refractive index. ki and ko represent the inverse value and the original value of the imaginary part of the complex refractive index.
The following values of the parameters are used in the contour intersection method. The wavelength is 633 nm, the step size is 0.001, ∆n and ∆k are 0.2, and the particle diameters are 50 nm. Since the measurement errors in the actual measurement of Qsca and Qabs cannot be avoided, [−1%, 1%] random errors are added to Qsca and Qabs at different wavelengths. Em expresses random errors. The inversion results are shown in Figure 5.
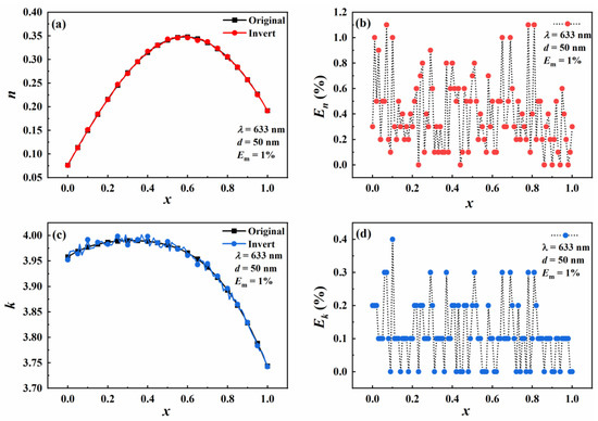
Figure 5a,c shows the inversion results of the real and imaginary parts of the complex refractive index. It can be seen that the real part of the complex refractive index increases first and then decreases with the increase of the proportion of the Au molar fraction. The value of the real part of the complex refractive index reaches the maximum at 0.58. The imaginary part of the complex refractive index increases slowly and then decreases significantly with the increase of the proportion of the Au molar fraction. The value of the imaginary part of the complex refractive index reaches the maximum at 0.29. Figure 5b presents the relative error in the inversion of the real part of the complex refractive index. It can be seen that the relative error of the real part n of the complex refractive index is less than 1.2%. Figure 5d shows the relative error in the inversion of the imaginary part of the complex refractive index. It can be seen that the relative error in the imaginary part of the complex refractive index fluctuates steadily with the increase of the proportion of Au molar fraction and is less than 0.4%.
The inversion results of the contour intersection method are compared with the traditional iterative method to see the influence of the proportion of Au on the inversion results and inversion accuracy more intuitively. The relative errors of the inversion results of the two methods are shown in Figure 6. It can be seen from Figure 6a,b that the relative error of the iterative method is as high as 4.3%. However, the relative error of the contour intersection method is less than 1.5%. For the imaginary part of the complex refractive index, the relative error of the iterative method is as high as 1.2%. However, the relative error of the contour intersection method is less than 0.5%. In general, the influence of the proportion of Au molar fraction on the inversion results of the iterative method is greater than that of the contour intersection method. The relative error in the inversion results of the iterative method is greater than the relative error in the inversion results of the contour intersection method. This indicates that the inversion accuracy of the contour intersection method is better than the traditional iterative method.
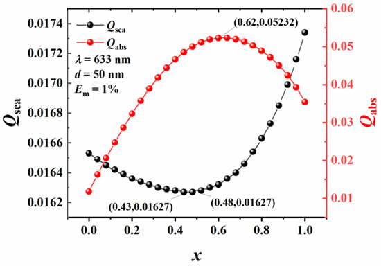
Particle size is an important parameter affecting particle light scattering and absorption characteristics. Therefore, the effect of particle size on the inversion of the complex refractive index of Au-Ag alloy nanospheres is analyzed. The step length is 0.001, the Em is 1%, the incident light wavelength is 633 nm, x is 0.62, and particle sizes are 20 nm, 40 nm, 60 nm, 80 nm, and 100 nm. The selection of the Au molar fraction is based on the analysis of the variation of the scattering and absorption efficiencies of Au-Ag alloy nanoparticles, considering the Au component ratio and the experimental results of Besner, Meunier et al. [21], as shown in Figure 7.
It can be seen from Figure 7 that the absorption efficiency of Au-Ag alloy nanoparticles increases first and then decreases with the increase of the Au molar fraction. Moreover, the absorption efficiency of Au-Ag alloy nanoparticles reaches the maximum at 0.62. The scattering efficiency decreases first and then increases with a minimum between 0.43 and 0.48. When the gold molar fraction in the alloy is higher than 0.4, the oxidization of most of the nanoparticles is quenched, which effectively inhibits the release of toxic silver ions into the solution. Alloy nanoparticles with 0.62 Au molar fraction in Au-Ag alloy are easy to manufacture and conducive to mass production. Therefore, in this work, 0.62 Au molar fraction is selected. The relevant complex refractive index is inverted by the contour intersection method, the results of which are shown in Figure 8.
In Figure 8, three precious metals, pure silver, gold–silver alloy, and pure gold, with Au molar fractions of 0, 0.62, and 1, are compared and analyzed. It can be seen from Figure 8a that the real part of the complex refractive index decreases with the increase in particle size. Moreover, the real part of the complex refractive index of gold–silver alloy is greater than that of pure gold. Interestingly, the real part of the complex refractive index of pure gold is greater than that of pure silver. Figure 8b shows the relative errors of the real part of the complex refractive index. It can be seen that the relative errors in the real part of the complex refractive index of pure gold are less than that of the alloy and pure silver as the particle size increases. The relative error of the real part of the complex refractive index of the alloy is greater than that of pure silver, and the relative errors of the two are <4%. The reason is that the Qsca of alloy nanoparticles increases with particle size and is larger than that of pure gold and pure silver. The influence of particle size on the Qsca of alloy nanoparticles is more significant, resulting in a large relative error. Figure 8c shows that the imaginary part of the complex refractive index changes minutely with increasing particle size.
Additionally, the real part of the complex refractive index of gold–silver alloy and pure silver is greater than that of pure gold. It shows that the particle size dramatically influences the real part of the complex refractive index but has little effect on the imaginary part of the complex refractive index. The proportion of silver in gold–silver alloy greatly influences the imaginary part of the complex refractive index. Figure 8d presents the relative errors in the inversion of the imaginary part of the complex refractive index. Figure 8d shows a similar trend to those in Figure 8b. The relative errors in both figures are less than 1.2%. The difference in the relative errors of the real and imaginary parts of the complex refractive index is that the particle size has different effects on the particle scattering and absorption efficiencies, resulting in different accuracy of the inversion results.
Figure 9 compares the inversion accuracies of the contour intersection and traditional iteration methods to further explore the influence of particle size. For the real part of the refractive index, it can be seen from Figure 9a that the relative error of the contour intersection method is less than 4%. The relative error of iterative inversion is less than 5%. For the imaginary part of the refractive index, it can be seen from Figure 9b that the contour intersection method has the best inversion result, in the range from 25 nm to 80 nm. The relative error in the contour intersection method inversion is less than that in the iterative method inversion. In general, in the particle size range from 20 nm to 100 nm, the relative error in the iterative method inversion is greater than that of contour intersection inversion. This shows that in the range from 20 nm to 100 nm, the inversion accuracy of the contour intersection method is better than the traditional iterative method under the same conditions.
Figure 10 shows the relative errors in the complex refractive index with respect to the incident wavelength for Ag, Au-Ag, and Au nanoparticles using the contour intersection method. The particle size for all three materials is 50 nm. The incident wavelengths range from 200 nm to 1000 nm, and the measurement error is 1%. The molar fraction of Au in Au-Ag alloy nanoparticles is 0.62, with x equal to 0.62. The results show that the relative errors in the inversion of the real parts of the complex refractive indices for all three nanoparticles are less than 2.2%. Similarly, the relative errors in the inversion of the imaginary parts of the complex refractive indices for all three nanoparticles are less than 1.5% with respect to the incident wavelengths. The influence of the incident wavelength on the inversion results is relatively small.
As shown in Table 3, Au-Ag alloy nanospheres with a value of x equal to 0.62 and diameters of 50 nm were irradiated by visible light at 633 nm wavelength. Table 3 gives the original values of the real and imaginary parts of the complex refractive index, the inverted complex refractive index values, their relative errors, and the time required for taking different steps in the complex refractive index range. From Table 3, it can be seen that the relative errors become progressively larger as the step-size increases. The relative error of the inversion results can be reduced by selecting smaller step sizes in the inversion process. However, accuracy can then be acquired at the expense of time.
The actual measurement process inevitably introduces errors, such as measurement errors and calculation errors. The particle diameter of 50 nm, step length of 0.001, Au molar fraction of 0.62, and wavelength range from 200 nm to 1000 nm were selected for inversion. The complex refractive indices of Au-Ag alloy nanoparticles with Em of 0%, 1%, 5%, and 7% were inverted by the iterative and contour intersection methods, and the relative errors were analyzed.
Contour-intersection-method inversion results are shown in Figure 11, where (a) and (c) present the inversion results of real and imaginary parts of the complex refractive index. It can be seen from Figure 11a,c that the real part of the complex refractive index increases first, then decreases, and then increases with the increase of wavelength. On the other hand, the imaginary part increases with the increase of wavelength. The inversion results become inaccurate with the increase of measurement errors. Figure 11b shows the relative errors in the inversion of the real part of the complex refractive index. It can be seen that the relative errors in the inversion are larger when the incident light wavelength is close to 200 nm and 600 nm. When Em = 5%, the relative error in the real part of the complex refractive index is about 10%. The relative error fluctuates when Em > 5%, and the inversion results become unstable. The possible reason is the smaller wavelength, which dramatically influences the particles’ scattering and absorption characteristics. Figure 11d manifests the relative error in the imaginary part of the complex refractive index, which has a trend similar to that of Figure 11b. The relative error in the imaginary part of the complex refractive index is below 3% when Em < 5%.
Figure 12 compares the inversion results of the contour intersection method and the traditional iterative method with respect to Em (measurement errors). It can be seen from Figure 12a that for the real part of the complex refractive index, the mean relative error of the inversion results from the iterative method increases with the increase in the measurement error. The mean relative error of the inversion results from the contour intersection method also has the same trend when Em < 5%. However, when Em > 5%, the mean relative error of the real part of the complex refractive index decreases. It can be seen from Figure 12b that for the imaginary part of the complex refractive index, the trend is similar to the real part of the refractive index. The overall analysis shows that the average relative error of the inversion results from the contour intersection method is less than that of the inversion results from the iterative method. When Em > 5%, with the sharp increase in the number of intersection points, the inversion result values show unpredictable volatility. An iterative method is a method of checking for the solutions against output conditions in a specific range. The increase in the measurement error largely depends on the selection of the starting parameters. Therefore, the influence of measurement error in the iterative method is stronger than that of the contour intersection method.
This work demonstrates the feasibility and accuracy of contour intersection method for determining the complex refractive index of a material using computation experiments rather than actual measurements. The proposed method involves a combination of two techniques: the inversion method, which uses numerical algorithms to invert the complex refractive index from measured scattering and absorption data, and the contour-crossing method, which analyzes the analytic continuation of the complex refractive index in the complex plane to retrieve the original refractive index.

4. Conclusions

In this work, the feasibility of inverting the complex refractive index of Au-Ag alloy nanospheres by light absorption and scattering is quantitatively studied using the Mie theory and size-dependent dielectric function. According to the relationship between light scattering, absorption, and complex refractive index, the complex refractive index of Au-Ag alloy nanospheres is inverted by the contour intersection method. The constraint method of determining the unique solution from multiple effective solutions was introduced in the contour intersection method. The effects of gold molar fraction, particle size, measurement error, and step size on the inversion results were quantitatively analyzed during the inversion process. The feasibility and accuracy of the inversion of the complex refractive index of Ag nanoparticles, Au-Ag alloy nanoparticles, and Au nanoparticles by the contour intersection method were analyzed in the incident wavelength range of 200 nm–1000 nm. Finally, the complex refractive indices of gold–silver alloy nanoparticles inverted by the contour-crossing method were compared with the original values. Moreover, the inversion accuracy was also compared to the conventional iterative method. The speed of inversion can be improved, and the accuracy of inversion results can be ensured if step sizes are in the range of 0.001–0.01 and measurement error is less than 5%. Under the same conditions, the inversion accuracy of the contour intersection method is better than that of the traditional iterative method. The complex refractive index of Au-Ag alloy nanoparticles can be obtained using the contour intersection method. In this paper, preliminary results have been achieved by inverting the refractive index of Au-Ag alloy nanoparticles. Our further research will focus on developing visualization software for the inversion of the complex refractive index of particles and improving the inversion algorithm to obtain high-accuracy inversion results easily and quickly.

Author Contributions

Conceptualization, L.C., P.T. and D.M.; methodology, L.C. and D.M.; software, L.C., D.M. and D.W.; validation, L.C. and P.T.; formal analysis, L.C. and D.M.; investigation, L.C. and P.T.; resources, P.T.; data curation, L.C. and Y.L.; writing—original draft preparation, L.C. and P.T.; writing review and editing, L.C. and P.T.; visualization, L.C. and D.M.; supervision, P.T.; project administration, P.T. and L.C.; funding acquisition, P.T. and L.C. All authors have read and agreed to the published version of the manuscript.

Funding

This work was supported by the Natural Science Foundation of Xinjiang Uygur Autonomous Region (Grant No. 2021D01A116), the National Natural Science Foundation of China (Grant No. 11764042), and the Research Fund of Xinjiang Normal University Research Platform Student Project (Grant No. KWFG202205).

Institutional Review Board Statement

Not applicable.

Informed Consent Statement

Not applicable.

Data Availability Statement

The data presented in this study are available in article.

Acknowledgments

We express our gratitude to Sumlin B.J., Pandey A., and Walker M.J. (Victoria Washington University) for use of the free inversion algorithm code.

Conflicts of Interest

The authors declare no conflict of interest.

References

  1. Sau, T.K.; Rogach, A.L.; Jäckel, F.; Klar, T.A.; Feldmann, J. Properties and applications of colloidal nonspherical noble metal nanoparticles. Adv. Mater. 2010, 22, 1805–1825. [Google Scholar] [CrossRef] [PubMed]
  2. Mulvaney, P. Surface plasmon spectroscopy of nanosized metal particles. Langmuir 1996, 12, 788–800. [Google Scholar] [CrossRef]
  3. Yguerabide, J.; Yguerabide, E.E. Light-Scattering Submicroscopic Particles as Highly Fluorescent Analogs and Their Use as Tracer Labels in Clinical and Biological Applications II. Experimental Characterization. Anal. Biochem. 1998, 262, 137–156. [Google Scholar] [CrossRef] [PubMed]
  4. Boisselier, E.; Astruc, D. Gold nanoparticles in nanomedicine: Preparations, imaging, diagnostics, therapies and toxicity. Chem. Soc. Rev. 2009, 38, 1759–1782. [Google Scholar] [CrossRef] [PubMed]
  5. Barnes, W.L.; Dereux, A.; Ebbesen, T.W. Surface plasmon subwavelength optics. Nature 2003, 424, 824–830. [Google Scholar] [CrossRef] [PubMed]
  6. Wang, J.; Yang, Y.; Li, H.; Gao, J.; He, P.; Bian, L.; Dong, F.; He, Y. Stable and tunable plasmon resonance of molybdenum oxide nanosheets from the ultraviolet to the near-infrared region for ultrasensitive surface-enhanced Raman analysis. Chem. Sci. 2019, 10, 6330–6335. [Google Scholar] [CrossRef] [PubMed]
  7. Wang, J.; Sun, J.; Hu, W.; Wang, Y.; Chou, T.; Zhang, B.; Zhang, Q.; Ren, L.; Wang, H. A porous Au@Rh bimetallic core-shell nanostructure as an H2O2 driven oxygenator to alleviate tumor hypoxia for simultaneous bimodal imaging and enhanced photodynamic therapy. Adv. Mater. 2020, 32, 2001862. [Google Scholar] [CrossRef]
  8. Li, Z.; Qian, W.N.; Wei, S.M. Application of photothermal conversion nanomaterials in tumor photothermal therapy. Laser Optoelectron. Prog. 2020, 57, 170005. [Google Scholar]
  9. Li, J.F.; Huang, Y.F.; Ding, Y.; Yang, Z.L.; Li, S.B.; Zhou, X.S.; Fan, F.R.; Zhang, W.; Zhou, Z.Y.; Wu, D.Y.; et al. Shell-isolated nanoparticle-enhanced Raman spectroscopy. Nature 2010, 464, 392–395. [Google Scholar] [CrossRef]
  10. Fathi, F.; Rashidi, M.; Omidi, Y. Ultra-sensitive detection by metal nanoparticles-mediated enhanced SPR biosensors. Talanta 2019, 192, 118–127. [Google Scholar] [CrossRef]
  11. Kaya, S.I.; Kurbanoglu, S.; Ozkan, S.A. Nanomaterials-based nanosensors for the simultaneous electrochemical determination of biologically important compounds: Ascorbic acid, uric acid, and dopamine. Crit. Rev. Anal. Chem. 2019, 49, 101–125. [Google Scholar] [CrossRef] [PubMed]
  12. Maity, K.; Mondal, A.; Saha, M.C. Cellulose Nanocrystal-Based All-3D-Printed Pyro-Piezoelectric Nanogenerator for Hybrid Energy Harvesting and Self-Powered Cardiorespiratory Monitoring toward the Human–Machine Interface. ACS Appl. Mater. Interfaces 2023, 15, 13956–13970. [Google Scholar] [CrossRef]
  13. Jaimy, S.; Nidheesh, P.V.; Kumar, M.S. Synthesis and applications of various bimetallic nanomaterials in water and wastewater treatment. J. Environ. Manag. 2020, 259, 110011. [Google Scholar]
  14. Giosia, M.D.; Polishchuk, I.; Weber, E.; Fermani, S.; Pasquini, L.; Pugno, N.M.; Zerbetto, F.; Montalti, M.; Calvaresi, M.; Falini, G.; et al. Bioinspired Nanocomposites: Ordered 2D Materials within a 3D Lattice. Adv. Funct. Mater. 2016, 30, 5569–5575. [Google Scholar] [CrossRef]
  15. Chen, M.J.; He, Y.R.; Zhu, J.Q. Preparation of Au-Ag bimetallic nanoparticles for enhanced solar photothermal conversion. Int. J. Heat Mass Transf. 2017, 114, 1098–1104. [Google Scholar] [CrossRef]
  16. Wang, M.; Liu, J.; Qin, X.; Nie, X.; Dong, Y.; Liang, X.; Zhu, Z.; Yang, D.; Shao, Y. Electrochemiluminescence detection of cardiac troponin I based on Au-Ag alloy nanourchins. Analyst 2020, 145, 873–879. [Google Scholar] [CrossRef]
  17. Yang, Y.; Shi, J.; Kawamura, G.; Nogami, M. Preparation of Au–Ag, Ag–Au Core–Shell Bimetallic Nanoparticles for Surface-Enhanced Raman Scattering. Scr. Mater. 2008, 58, 862–865. [Google Scholar] [CrossRef]
  18. Guo, L.; Jackman, J.A.; Jackman, J.A.; Yang, H.H.; Chen, P.; Cho, N.J.; Kim, D.H. Strategies for enhancing the sensitivity of plasmonic nanosensors. Nano Today 2015, 10, 213–239. [Google Scholar] [CrossRef]
  19. Yu, K.; Sun, X.; Pan, L.; Liu, T.; Liu, A.; Chen, G.; Huang, Y. Hollow Au–Ag alloy nanorices and their optical properties. Nanomaterials 2017, 7, 255. [Google Scholar] [CrossRef]
  20. Jian, J.L.; Qiu, X.Q. Improve the Hole Size–Dependent Refractive Index Sensitivity of Au–Ag Nanocages by Tuning the Alloy Composition. Plasmonics 2021, 17, 597–612. [Google Scholar]
  21. Besner, S.; Meunier, M. Femtosecond Laser Synthesis of AuAg Nanoalloys: Photoinduced Oxidation and Ions Release. J. Phys. Chem. C 2010, 114, 10403–10409. [Google Scholar] [CrossRef]
  22. Gang, Z.; Fei, L.; Chun, S.Z. Determination of the refractive index of ambient aerosols. Atmos. Environ. 2020, 240, 117800. [Google Scholar]
  23. Tuersun, P.; Zhu, C.; Han, X.E.; Ren, K.F.; Yin, Y. Light extinction spectrometry for determining the size distribution and concentration of polydisperse gold nanospheres. Optik 2020, 204, 163676. [Google Scholar] [CrossRef]
  24. Yakubovsky, D.I.; Arsenin, A.V.; Stebunov, Y.V.; Fedyanin, D.Y.; Volkov, V.S. Optical constants and structural properties of thin gold films. Opt. Express 2017, 25, 574–587. [Google Scholar] [CrossRef] [PubMed]
  25. Korn, G.; LeGarrec, B.; Rus, B. ELI extreme light infrastructure science and technology with ultra-intense laser. In Proceedings of the 2013 Conference on Lasers and Electro-Optics (CLEO), San Jose, CA, USA, 9–14 June 2013; IEEE: New York, NY, USA, 2013; p. 14381056. [Google Scholar]
  26. Yue, C.F.; Yang, G.L.; He, Z.J.; Li, F.G.; Peng, L. A method for measuring the refractive index of dynamic-static light scattering particles. J. Photonics 2008, 10, 2009–2013. [Google Scholar]
  27. Moskovits, M.; Srnová-Šloufová, I.; Vlčková, B. Bimetallic Ag–Au nanoparticles: Extracting meaningful optical constants from the surface-plasmon extinction spectrum. J. Chem. Phys. 2002, 116, 10435–10446. [Google Scholar] [CrossRef]
  28. Ajmal HM, S.; Khan, F.; Huda, N.U.; Lee, S.; Nam, K.; Kim, H.Y.; Eom, T.-H.; Kim, S.D. High-Performance Flexible Ultraviolet Photodetectors with Ni/Cu-Codoped ZnO Nanorods Grown on PET Substrates. Nanomaterials 2019, 9, 1067. [Google Scholar] [CrossRef]
  29. Ajmal HM, S.; Khan, F.; Nam, K.; Kim, H.Y.; Kim, S.D. Ultraviolet Photodetection Based on High-Performance Co-Plus-Ni Doped ZnO Nanorods Grown by Hydrothermal Method on Transparent Plastic Substrate. Nanomaterials 2020, 10, 1225. [Google Scholar] [CrossRef]
  30. Sumlin, B.J.; Heinson, W.R.; Chakrabarty, R.K. Retrieving the aerosol complex refractive index using PyMieScatt: A Mie computational package with visualization capabilities. J. Quant. Spectrosc. Radiat. Transf. 2018, 205, 127–134. [Google Scholar] [CrossRef]
  31. Zhao, D.; Yin, Y.; Zhang, M.; Wang, H.; Lu, C.; Yuan, L.; Shi, S. The Optical Properties of Aerosols at the Summit of Mount Tai in May and June and the Retrieval of the Complex Refractive Index. Atmosphere 2020, 11, 655. [Google Scholar] [CrossRef]
  32. Rafferty, A.; Preston, T.C. Measuring the size and complex refractive index of an aqueous aerosol particle using electromagnetic heating and cavity-enhanced Raman scattering. Phys. Chem. Chem. Phys. 2018, 20, 17038–17047. [Google Scholar] [CrossRef] [PubMed]
  33. Nandan, R.; Ratnam, M.V.; Kiran, V.R.; Madhavan, B.L.; Naik, D.N. Estimation of Aerosol Complex Refractive Index over a tropical atmosphere using a synergy of in-situ measurements. Atmos. Res. 2021, 257, 105625. [Google Scholar] [CrossRef]
  34. Mie, G. Beiträge zur Optik trüber Medien, speziell kolloidaler Metallösungen. Ann. Phys. 1908, 25, 377–445. [Google Scholar] [CrossRef]
  35. Bohren, C.F.; Huffman, D.R. Absorption and Scattering of Light by Small Particles; John Wiely & Sons: New York, NY, USA, 1983. [Google Scholar]
  36. Rioux, D.; Vallières, S.; Besner, S.; Muñoz, P.; Mazur, E.; Meunier, M. An analytic model for the dielectric function of Au, Ag, and their alloys. Adv. Opt. Mater. 2014, 2, 176–182. [Google Scholar] [CrossRef]
  37. Kreibig, U.; Vollmer, M. Optical Properties of Metal Clusters; Springer: Berlin/Heidelberg, Germany, 1995; Volume 25, pp. 203–274. [Google Scholar]
  38. Averitt, R.D.; Westcott, S.L.; Halas, N.J. Linear optical properties of gold nanoshells. J. Opt. Soc. Am. B 1999, 16, 1824–1832. [Google Scholar] [CrossRef]
Figure 1. Flowchart of the inversion process of the contour intersection method.
Figure 1. Flowchart of the inversion process of the contour intersection method.
Materials 16 03291 g001
Figure 2. Geometry of Au-Ag alloy nanospheres.
Figure 2. Geometry of Au-Ag alloy nanospheres.
Materials 16 03291 g002
Figure 3. The complex refractive index of Au nanoparticles with diameters of 50 nm at a wavelength of 633 nm. (a) Scattering efficiency (red). (b) Absorption efficiency (blue). (c) Scattering and absorption efficiencies after isometric projection on the n-k plane are inverted by the contour intersection method.
Figure 3. The complex refractive index of Au nanoparticles with diameters of 50 nm at a wavelength of 633 nm. (a) Scattering efficiency (red). (b) Absorption efficiency (blue). (c) Scattering and absorption efficiencies after isometric projection on the n-k plane are inverted by the contour intersection method.
Materials 16 03291 g003
Figure 4. The complex refractive index of Au nanoparticles with diameters of 50 nm at 633 nm. (a) Backscattering efficiency (green). (b) Projection of contour lines in the n-k plane inverted by the contour intersection method.
Figure 4. The complex refractive index of Au nanoparticles with diameters of 50 nm at 633 nm. (a) Backscattering efficiency (green). (b) Projection of contour lines in the n-k plane inverted by the contour intersection method.
Materials 16 03291 g004
Figure 5. Effect of Au component proportion on the real part (n) and imaginary part (k) of the inverted refractive index (a,c) with the corresponding relative errors (b,d).
Figure 5. Effect of Au component proportion on the real part (n) and imaginary part (k) of the inverted refractive index (a,c) with the corresponding relative errors (b,d).
Materials 16 03291 g005
Figure 6. The relative errors in the real part (a) and imaginary part (b) of the complex refractive index inverted by the contour intersection method and the iterative method with respect to the change in the Au molar fraction.
Figure 6. The relative errors in the real part (a) and imaginary part (b) of the complex refractive index inverted by the contour intersection method and the iterative method with respect to the change in the Au molar fraction.
Materials 16 03291 g006
Figure 7. Scattering and absorption efficiencies of Au-Ag alloy nanosphere with respect to the Au molar fraction.
Figure 7. Scattering and absorption efficiencies of Au-Ag alloy nanosphere with respect to the Au molar fraction.
Materials 16 03291 g007
Figure 8. The effect of particle size on the real part (n) and imaginary part (k) of the refractive index inverted by the contour intersection method. (a) The inversion results of the real part of the refractive index where molar fraction of Au is 0, 0.62, and 1, respectively. (b) The relative errors in the inversion of the real part of the refractive index. (c) The inversion results for the imaginary part of the refractive index where molar fraction of Au is 0, 0.62, and 1, respectively. (d) The relative errors in the inversion of the imaginary part of the refractive index.
Figure 8. The effect of particle size on the real part (n) and imaginary part (k) of the refractive index inverted by the contour intersection method. (a) The inversion results of the real part of the refractive index where molar fraction of Au is 0, 0.62, and 1, respectively. (b) The relative errors in the inversion of the real part of the refractive index. (c) The inversion results for the imaginary part of the refractive index where molar fraction of Au is 0, 0.62, and 1, respectively. (d) The relative errors in the inversion of the imaginary part of the refractive index.
Materials 16 03291 g008
Figure 9. The relative error in the inversion results of the contour intersection and iterative methods with respect to particle sizes. The relative errors of the real part (a) and imaginary part (b) of the complex refractive index. The molar fraction of Au is 0.62.
Figure 9. The relative error in the inversion results of the contour intersection and iterative methods with respect to particle sizes. The relative errors of the real part (a) and imaginary part (b) of the complex refractive index. The molar fraction of Au is 0.62.
Materials 16 03291 g009
Figure 10. Relative errors in the refractive indices of Ag nanoparticles, Au-Ag alloy nanoparticles, and Au nanoparticles with respect to incident wavelengths after inversion by the contour intersection method, where x is 0.62 for Au-Ag alloy. (a) Relative errors in the inversion of the real part of the refractive index. (b) Relative errors in the inversion of the imaginary part of the refractive index.
Figure 10. Relative errors in the refractive indices of Ag nanoparticles, Au-Ag alloy nanoparticles, and Au nanoparticles with respect to incident wavelengths after inversion by the contour intersection method, where x is 0.62 for Au-Ag alloy. (a) Relative errors in the inversion of the real part of the refractive index. (b) Relative errors in the inversion of the imaginary part of the refractive index.
Materials 16 03291 g010
Figure 11. The effect of measurement error on the inversion of refractive index by contour intersection method. (a) Inversion of the real part of the refractive index with a molar fraction of Au 0.62. (b) The relative error in the inversion of the real part of the refractive index. (c) The inversion of the imaginary part of the refractive index. (d) The relative error in the inversion of the imaginary part of the refractive index.
Figure 11. The effect of measurement error on the inversion of refractive index by contour intersection method. (a) Inversion of the real part of the refractive index with a molar fraction of Au 0.62. (b) The relative error in the inversion of the real part of the refractive index. (c) The inversion of the imaginary part of the refractive index. (d) The relative error in the inversion of the imaginary part of the refractive index.
Materials 16 03291 g011
Figure 12. The average relative errors in the inversion results of the contour intersection method and the iterative method with respect to Em. The average relative errors in the real (a) and imaginary (b) parts of the refractive index at an Au molar fraction of 0.62.
Figure 12. The average relative errors in the inversion results of the contour intersection method and the iterative method with respect to Em. The average relative errors in the real (a) and imaginary (b) parts of the refractive index at an Au molar fraction of 0.62.
Materials 16 03291 g012
Table 1. Fitted parameters of the dielectric function of Au-Ag alloy.
Table 1. Fitted parameters of the dielectric function of Au-Ag alloy.
MetalAuAuAg5050Ag
ωp/eV8.92349.02188.5546
Γp/eV0.0423890.167130.022427
ε2.27152.28381.7381
ωg1/eV2.66523.02094.0575
ω01/eV2.39572.79763.9260
Γ1/eV0.17880.188330.017723
A173.25122.99651.217
ω02/eV3.53623.34004.1655
Γ2/eV0.354670.683090.18819
A240.00757.54030.770
Table 2. The inversion results from the contour intersection and the iterative methods with a wavelength of 633 nm and nanoparticle diameters of 50 nm. The value of x is 0.62.
Table 2. The inversion results from the contour intersection and the iterative methods with a wavelength of 633 nm and nanoparticle diameters of 50 nm. The value of x is 0.62.
MethodnokonikiEn (%)Ek (%)
Contour intersection method0.346773.961380.346393.960820.110.1
Iterative method0.346773.961380.339563.943332.080.46
Table 3. The inversion results and times of the contour intersection method with different complex refractive index steps for an incident wavelength of 633 nm, diameters of 50 nm, and x equal to 0.62.
Table 3. The inversion results and times of the contour intersection method with different complex refractive index steps for an incident wavelength of 633 nm, diameters of 50 nm, and x equal to 0.62.
Step SizenokonikiEn (%)Ek (%)Time (s)
0.00050.346773.961380.346843.961670.0210.007632.37
0.0010.346773.961380.348313.966010.4440.11750.81
0.0050.346773.961380.349273.966170.7200.1211.40
0.010.346773.961380.350523.969921.0790.2160.81
0.050.346773.961380.337703.930612.6160.7770.73
0.10.346773.961380.358823.997433.4730.9100.66
Disclaimer/Publisher’s Note: The statements, opinions and data contained in all publications are solely those of the individual author(s) and contributor(s) and not of MDPI and/or the editor(s). MDPI and/or the editor(s) disclaim responsibility for any injury to people or property resulting from any ideas, methods, instructions or products referred to in the content.

Share and Cite

MDPI and ACS Style

Cheng, L.; Tuersun, P.; Ma, D.; Wumaier, D.; Li, Y. Inversion of the Complex Refractive Index of Au-Ag Alloy Nanospheres Based on the Contour Intersection Method. Materials 2023, 16, 3291. https://doi.org/10.3390/ma16093291

AMA Style

Cheng L, Tuersun P, Ma D, Wumaier D, Li Y. Inversion of the Complex Refractive Index of Au-Ag Alloy Nanospheres Based on the Contour Intersection Method. Materials. 2023; 16(9):3291. https://doi.org/10.3390/ma16093291

Chicago/Turabian Style

Cheng, Long, Paerhatijiang Tuersun, Dengpan Ma, Dilishati Wumaier, and Yixuan Li. 2023. "Inversion of the Complex Refractive Index of Au-Ag Alloy Nanospheres Based on the Contour Intersection Method" Materials 16, no. 9: 3291. https://doi.org/10.3390/ma16093291

APA Style

Cheng, L., Tuersun, P., Ma, D., Wumaier, D., & Li, Y. (2023). Inversion of the Complex Refractive Index of Au-Ag Alloy Nanospheres Based on the Contour Intersection Method. Materials, 16(9), 3291. https://doi.org/10.3390/ma16093291

Note that from the first issue of 2016, this journal uses article numbers instead of page numbers. See further details here.

Article Metrics

Back to TopTop