A Numerical Study on the Effect of Tool Speeds on Temperatures and Material Flow Behaviour in Refill Friction Stir Spot Welding of Thin AA7075-T6 Sheets
Abstract
1. Introduction
- Step 1:
- In this step, the clamping force is applied to the workpieces, and the clamping ring and the backing anvil firmly hold the workpieces. The probe and shoulder do not initiate frictional contact with the workpiece and rotate above the workpieces.
- Step 2:
- The rotating shoulder moves vertically downwards and penetrates the workpiece (plunging), and the probes advance vertically in the direction opposite the shoulder. This action initiates deformation and frictional heating. The softened material is drawn into the reservoir; see Figure 1b.
- Step 3:
- The material (plasticized) is refilled/pushed into the workpiece by switching the vertical directions of the rotating tools in this refilling step.
- Step 4:
- The shoulder and probe’s vertical and rotational motions are stopped once Step 3 is finished, and the clamping force is released.
2. Refill FSSW: Finite Element Modeling
2.1. Refill FSSW Geometry
2.2. Material Law, Materials, and Meshing
2.3. Boundary Conditions and Contact
- Plunging stage: The shoulder plunged with the specified PR, RS, and PD. The probe went in the reverse direction vertically, with a speed of 1.25 times that of the shoulder’s PR and the same RS as that of the shoulder. The softened/plasticized material was drawn inwards into the reservoir in this step.
- Refilling stage: The probe and shoulder switched their vertical movements, maintaining the axial speed of the previous step (plunging step), allowing the material to be refilled.
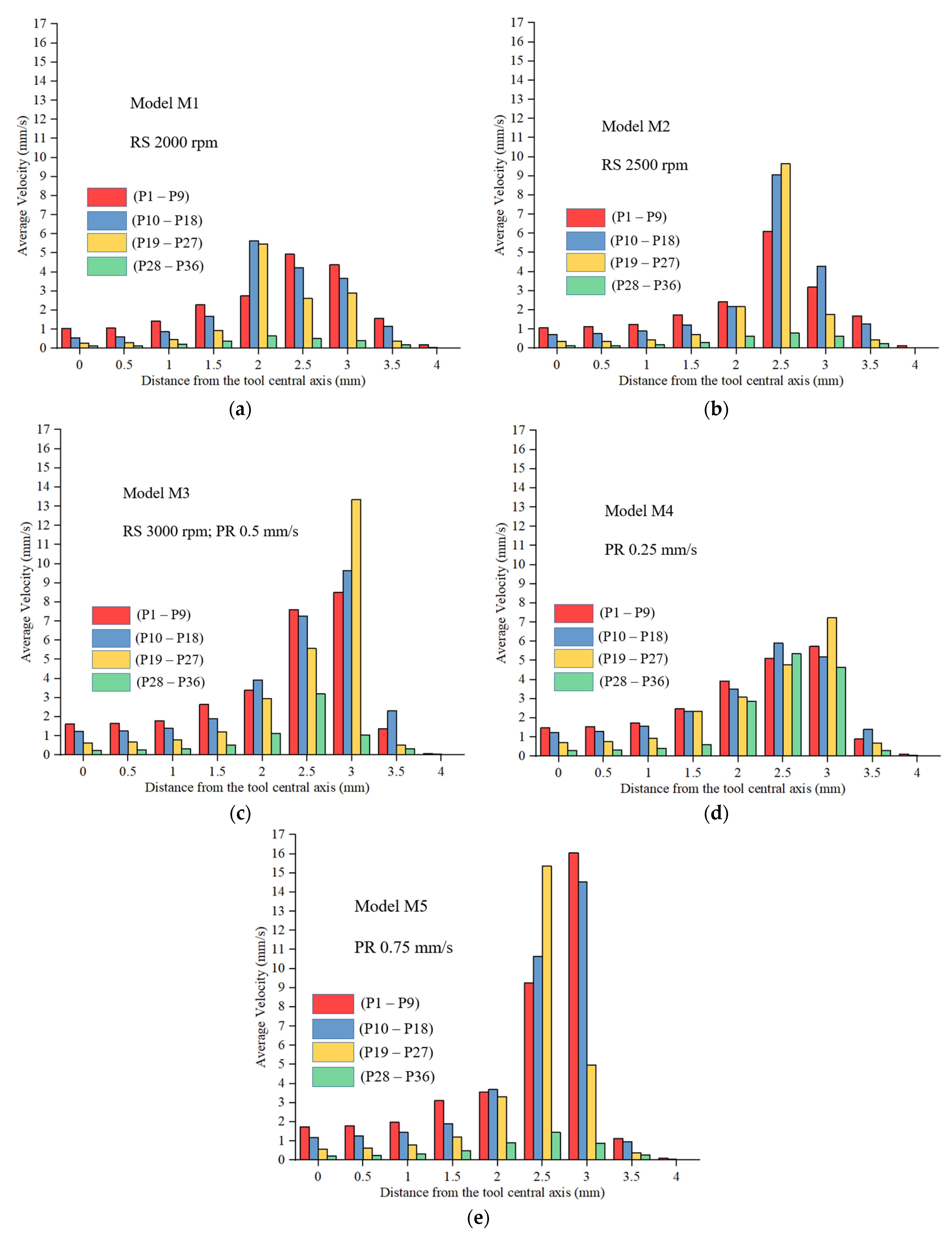
3. Results and Discussion
4. Conclusions
Author Contributions
Funding
Institutional Review Board Statement
Informed Consent Statement
Data Availability Statement
Acknowledgments
Conflicts of Interest
References
- Nandan, R.; DebRoy, T.; Bhadeshia, H.K.D.H. Recent Advances in Friction-Stir Welding—Process, Weldment Structure and Properties. Prog. Mater. Sci. 2008, 53, 980–1023. [Google Scholar] [CrossRef]
- Iwashita, T. Method and Apparatus for Joining. U.S. Patent 6,601,751, 5 August 2003. [Google Scholar]
- Witthar, K.; Brown, J.; Burford, D. Swept FSSW in Aluminum Alloys through Sealants and Surface Treatments. In Friction Stir Welding and Processing VI; John Wiley & Sons, Ltd.: Hoboken, NJ, USA, 2011; pp. 417–424. ISBN 978-1-118-06230-2. [Google Scholar]
- Schilling, C.; dos Santos, J. Method and Device for Joining at Least Two Adjoining Work Pieces by Friction Welding. U.S. Patent US6,722,556, 20 April 2004. [Google Scholar]
- Okamoto, K.; Hunt, F.; Hirano, S. Development of Friction Stir Welding Technique and Machine for Aluminum Sheet Metal Assembly—Friction Stir Welding of Aluminum for Automotive Applications (2); No. 2005–01–1254; SAE: Warrendale, PA, USA, 2005. [Google Scholar]
- Shen, Z.; Ding, Y.; Gerlich, A.P. Advances in Friction Stir Spot Welding. Crit. Rev. Solid State Mater. Sci. 2020, 45, 457–534. [Google Scholar] [CrossRef]
- Mazzaferro, J.A.E.; Rosendo, T.d.S.; Mazzaferro, C.C.P.; Ramos, F.D.; Tier, M.A.D.; Strohaecker, T.R.; dos Santos, J.F. Preliminary Study on the Mechanical Behavior of Friction Spot Welds. Soldag. Insp. 2009, 14, 238–247. [Google Scholar] [CrossRef]
- Shen, Z.; Chen, Y.; Hou, J.S.C.; Yang, X.; Gerlich, A.P. Influence of Processing Parameters on Microstructure and Mechanical Performance of Refill Friction Stir Spot Welded 7075-T6 Aluminium Alloy. Sci. Technol. Weld. Join. 2015, 20, 48–57. [Google Scholar] [CrossRef]
- Luty, G.; Andres, J.; Wrońska, A.; Burek, R.; Gałaszczyński, T. Effect of process parameters on microstructure and mechanical properties of RFSSW lap joints of thin AL7075-T6 sheets. Arch. Metall. Mater. 2018, 63, 39–43. [Google Scholar]
- Kluz, R.; Kubit, A.; Trzepiecinski, T.; Faes, K. Polyoptimisation of the Refill Friction Stir Spot Welding Parameters Applied in Joining 7075-T6 Alclad Aluminium Alloy Sheets Used in Aircraft Components. Int. J. Adv. Manuf. Technol. 2019, 103, 3443–3457. [Google Scholar] [CrossRef]
- Kluz, R.; Kubit, A.; Trzepiecinski, T.; Faes, K.; Bochnowski, W. A Weighting Grade-Based Optimization Method for Determining Refill Friction Stir Spot Welding Process Parameters. J. Mater. Eng. Perform. 2019, 28, 6471–6482. [Google Scholar] [CrossRef]
- Chai, P.; Wang, Y. Effect of Rotational Speed on Microstructure and Mechanical Properties of 2060 Aluminum Alloy RFSSW Joint. Met. Mater. Int. 2019, 25, 1574–1585. [Google Scholar] [CrossRef]
- Silva, B.H.; Zepon, G.; Bolfarini, C.; dos Santos, J.F. Refill Friction Stir Spot Welding of AA6082-T6 Alloy: Hook Defect Formation and Its Influence on the Mechanical Properties and Fracture Behavior. Mater. Sci. Eng. A 2020, 773, 138724. [Google Scholar] [CrossRef]
- Wang, Y.; Chai, P. Effects of Welding Parameters on Micro-Junction Structure and Fracture Behavior of Refill Friction Stir Spot Welded Joints for 2060 Aluminum Alloys. Weld. World 2020, 64, 2033–2051. [Google Scholar] [CrossRef]
- Kubit, A.; Trzepieciński, T.; Gadalińska, E.; Slota, J.; Bochnowski, W. Investigation into the Effect of RFSSW Parameters on Tensile Shear Fracture Load of 7075-T6 Alclad Aluminium Alloy Joints. Materials 2021, 14, 3397. [Google Scholar] [CrossRef] [PubMed]
- Effertz, P.S.; de Carvalho, W.S.; Guimarães, R.P.M.; Saria, G.; Amancio-Filho, S.T. Optimization of Refill Friction Stir Spot Welded AA2024-T3 Using Machine Learning. Front. Mater. 2022, 9, 864187. [Google Scholar] [CrossRef]
- Zou, Y.; Li, W.; Yang, X.; Su, Y.; Chu, Q.; Shen, Z. Microstructure and Mechanical Properties of Refill Friction Stir Spot Welded Joints: Effects of Tool Size and Welding Parameters. J. Mater. Res. Technol. 2022, 21, 5066–5080. [Google Scholar] [CrossRef]
- Zhou, L.; Luo, L.Y.; Wang, R.; Zhang, J.B.; Huang, Y.X.; Song, X.G. Process Parameter Optimization in Refill Friction Spot Welding of 6061 Aluminum Alloys Using Response Surface Methodology. J. Mater. Eng. Perform. 2018, 27, 4050–4058. [Google Scholar] [CrossRef]
- Kubit, A.; Bucior, M.; Wydrzyński, D.; Trzepieciński, T.; Pytel, M. Failure Mechanisms of Refill Friction Stir Spot Welded 7075-T6 Aluminium Alloy Single-Lap Joints. Int. J. Adv. Manuf. Technol. 2018, 94, 4479–4491. [Google Scholar] [CrossRef]
- Zhou, L.; Luo, L.Y.; Zhang, T.P.; He, W.X.; Huang, Y.X.; Feng, J.C. Effect of Rotation Speed on Microstructure and Mechanical Properties of Refill Friction Stir Spot Welded 6061-T6 Aluminum Alloy. Int. J. Adv. Manuf. Technol. 2017, 92, 3425–3433. [Google Scholar] [CrossRef]
- Ji, S.; Wang, Y.; Zhang, J.; Li, Z. Influence of Rotating Speed on Microstructure and Peel Strength of Friction Spot Welded 2024-T4 Aluminum Alloy. Int. J. Adv. Manuf. Technol. 2017, 90, 717–723. [Google Scholar] [CrossRef]
- de Castro, C.C.; Plaine, A.H.; de Alcântara, N.G.; dos Santos, J.F. Taguchi Approach for the Optimization of Refill Friction Stir Spot Welding Parameters for AA2198-T8 Aluminum Alloy. Int. J. Adv. Manuf. Technol. 2018, 99, 1927–1936. [Google Scholar] [CrossRef]
- Li, Z.; Gao, S.; Ji, S.; Yue, Y.; Chai, P. Effect of Rotational Speed on Microstructure and Mechanical Properties of Refill Friction Stir Spot Welded 2024 Al Alloy. J. Mater. Eng. Perform. 2016, 25, 1673–1682. [Google Scholar] [CrossRef]
- Tier, M.D.; Rosendo, T.S.; dos Santos, J.F.; Huber, N.; Mazzaferro, J.A.; Mazzaferro, C.P.; Strohaecker, T.R. The Influence of Refill FSSW Parameters on the Microstructure and Shear Strength of 5042 Aluminium Welds. J. Mater. Process. Technol. 2013, 213, 997–1005. [Google Scholar] [CrossRef]
- de Castro, C.C.; Plaine, A.H.; Dias, G.P.; de Alcântara, N.G.; dos Santos, J.F. Investigation of Geometrical Features on Mechanical Properties of AA2198 Refill Friction Stir Spot Welds. J. Manuf. Process. 2018, 36, 330–339. [Google Scholar] [CrossRef]
- Kwee, I.; de Waele, W.; Faes, K. Weldability of High-Strength Aluminium Alloy EN AW-7475-T761 Sheets for Aerospace Applications, Using Refill Friction Stir Spot Welding. Weld. World 2019, 63, 1001–1011. [Google Scholar] [CrossRef]
- Yang, H.G.; Yang, H.J. Experimental Investigation on Refill Friction Stir Spot Welding Process of Aluminum Alloys. Appl. Mech. Mater. 2013, 345, 243–246. [Google Scholar] [CrossRef]
- Kubit, A.; Kluz, R.; Trzepieciński, T.; Wydrzyński, D.; Bochnowski, W. Analysis of the Mechanical Properties and of Micrographs of Refill Friction Stir Spot Welded 7075-T6 Aluminium Sheets. Arch. Civ. Mech. Eng. 2018, 18, 235–244. [Google Scholar] [CrossRef]
- Kar, A.; Yadav, D.; Suwas, S.; Kailas, S.V. Role of Plastic Deformation Mechanisms during the Microstructural Evolution and Intermetallics Formation in Dissimilar Friction Stir Weld. Mater. Charact. 2020, 164, 110371. [Google Scholar] [CrossRef]
- Kar, A.; Kailas, S.V.; Suwas, S. Effect of Mechanical Mixing in Dissimilar Friction Stir Welding of Aluminum to Titanium with Zinc Interlayer. Trans. Indian Inst. Met. 2019, 72, 1533–1536. [Google Scholar] [CrossRef]
- Yamin, M.F. Mechanical and Microstructure Properties Evaluation of Similar Thin AA7075-T6 Welds by Refill Friction Stir Spot Welding. Master’s Thesis, Universiti Teknologi Petronas, Seri Iskandar, Malaysia, 2021. [Google Scholar]
- Shen, Z.; Yang, X.; Zhang, Z.; Cui, L.; Li, T. Microstructure and Failure Mechanisms of Refill Friction Stir Spot Welded 7075-T6 Aluminum Alloy Joints. Mater. Des. 2013, 44, 476–486. [Google Scholar] [CrossRef]
- Kluz, R.; Kubit, A.; Wydrzyński, D. Analysis of Structure and Shear/Peel Strength of Refill Friction Stir Spot Welded 7075-T6 Aluminium Alloy Joints. Adv. Sci. Technol. Res. J. 2017, 11, 297–303. [Google Scholar] [CrossRef]
- Muci-Küchler, K.H.; Kalagara, S.; Arbegast, W.J. Simulation of a Refill Friction Stir Spot Welding Process Using a Fully Coupled Thermo-Mechanical FEM Model. J. Manuf. Sci. Eng. 2010, 132, 14503. [Google Scholar] [CrossRef]
- Ji, S.; Li, Z.; Wang, Y.; Ma, L.; Zhang, L. Material Flow Behavior of Refill Friction Stir Spot Welded LY12 Aluminum Alloy. High Temp. Mater. Process. 2017, 36, 495–504. [Google Scholar] [CrossRef]
- Ji, S.; Wang, Y.; Li, Z.; Yue, Y.; Chai, P. Effect of Tool Geometry on Material Flow Behavior of Refill Friction Stir Spot Welding. Trans. Indian Inst. Met. 2017, 70, 1417–1430. [Google Scholar] [CrossRef]
- Malik, V.; Sanjeev, N.K.; Hebbar, H.S.; Kailas, S.V. Finite Element Simulation of Exit Hole Filling for Friction Stir Spot Welding—A Modified Technique to Apply Practically. Procedia Eng. 2014, 97, 1265–1273. [Google Scholar] [CrossRef]
- Kubit, A.; Trzepiecinski, T. A Fully Coupled Thermo-Mechanical Numerical Modelling of the Refill Friction Stir Spot Welding Process in Alclad 7075-T6 Aluminium Alloy Sheets. Arch. Civ. Mech. Eng. 2020, 20, 117. [Google Scholar] [CrossRef]
- Zhang, H.F.; Zhou, L.; Li, G.H.; Tang, Y.T.; Li, W.L.; Wang, R. Prediction and Validation of Temperature Distribution and Material Flow during Refill Friction Stir Spot Welding of AZ91D Magnesium Alloy. Sci. Technol. Weld. Join. 2021, 26, 153–160. [Google Scholar] [CrossRef]
- Pashazadeh, H.; Masoumi, A.; Teimournezhad, J. A Study on Material Flow Pattern in Friction Stir Welding Using Finite Element Method. Proc. Inst. Mech. Eng. Part B J. Eng. Manuf. 2013, 227, 1453–1466. [Google Scholar] [CrossRef]
- D’Urso, G.; Longo, M.; Giardini, C. Friction Stir Spot Welding (FSSW) of Aluminum Sheets: Experimental and Simulative Analysis. Key Eng. Mater. 2013, 549, 477–483. [Google Scholar] [CrossRef]
- Asadi, P.; Mahdavinejad, R.A.; Tutunchilar, S. Simulation and Experimental Investigation of FSP of AZ91 Magnesium Alloy. Mater. Sci. Eng. A 2011, 21, 6469–6477. [Google Scholar] [CrossRef]
- Janga, V.S.R.; Awang, M. Influence of Plunge Depth on Temperatures and Material Flow Behavior in Refill Friction Stir Spot Welding of Thin AA7075-T6 Sheets: A Numerical Study. Metals 2022, 12, 927. [Google Scholar] [CrossRef]
- Janga, V.S.R.; Awang, M.; Yamin, M.F.; Suhuddin, U.F.H.; Klusemann, B.; dos Santos, J.F. Experimental and Numerical Analysis of Refill Friction Stir Spot Welding of Thin AA7075-T6 Sheets. Materials 2021, 14, 7485. [Google Scholar] [CrossRef]
- Xiong, J.; Peng, X.; Shi, J.; Wang, Y.; Sun, J.; Liu, X.; Li, J. Numerical Simulation of Thermal Cycle and Void Closing during Friction Stir Spot Welding of AA-2524 at Different Rotational Speeds. Mater. Charact. 2021, 174, 110984. [Google Scholar] [CrossRef]
- Raza, S.H.; Mittnacht, T.; Diyoke, G.; Schneider, D.; Nestler, B.; Klusemann, B. Modeling of Temperature- and Strain-Driven Intermetallic Compound Evolution in an Al–Mg System via a Multiphase-Field Approach with Application to Refill Friction Stir Spot Welding. J. Mech. Phys. Solids 2022, 169, 105059. [Google Scholar] [CrossRef]
- Mandal, S.; Rice, J.; Elmustafa, A.A. Experimental and Numerical Investigation of the Plunge Stage in Friction Stir Welding. J. Mater. Process. Technol. 2008, 203, 411–419. [Google Scholar] [CrossRef]
- Fang, N. A New Quantitative Sensitivity Analysis of the Flow Stress of 18 Engineering Materials in Machining. J. Eng. Mater. Technol. 2005, 127, 192–196. [Google Scholar] [CrossRef]
- Akhunova, A.K.; Imayev, M.F.; Valeeva, A.K. Influence of the Pin Shape of the Tool during Friction Stir Welding on the Process Output Parameters. Lett. Mater. 2019, 9, 456–459. [Google Scholar] [CrossRef]
- Awang, M. Simulation of Friction Stir Spot Welding (FSSW) Process: Study of Friction Phenomena; West Virginia University Libraries: Morgantown, WV, USA, 2007. [Google Scholar]
- Gerlich, A.; Avramovic-Cingara, G.; North, T.H. Stir Zone Microstructure and Strain Rate during Al 7075-T6 Friction Stir Spot Welding. Metall. Mater. Trans. A 2006, 37, 2773–2786. [Google Scholar] [CrossRef]
- Starink, M.J. Effect of Compositional Variations on Characteristics of Coarse Intermetallic Particles in Overaged 7000 Aluminium Alloys. Mater. Sci. Technol. 2001, 17, 1324–1328. [Google Scholar] [CrossRef]
- Shen, Z.; Ding, Y.; Chen, J.; Fu, L.; Liu, X.C.; Chen, H.; Guo, W.; Gerlich, A.P. Microstructure, Static and Fatigue Properties of Refill Friction Stir Spot Welded 7075-T6 Aluminium Alloy Using a Modified Tool. Sci. Technol. Weld. Join. 2019, 24, 587–600. [Google Scholar] [CrossRef]
- Gerlich, A.; Yamamoto, M.; North, T.H. Local Melting and Cracking in Al 7075-T6 and Al 2024-T3 Friction Stir Spot Welds. Sci. Technol. Weld. Join. 2007, 12, 472–480. [Google Scholar] [CrossRef]
- Kalinenko, A.; Kim, K.; Vysotskiy, I.; Zuiko, I.; Malopheyev, S.; Mironov, S.; Kaibyshev, R. Microstructure-Strength Relationship in Friction-Stir Welded 6061-T6 Aluminum Alloy. Mater. Sci. Eng. A 2020, 793, 139858. [Google Scholar] [CrossRef]
- Woo, W.; Choo, H.; Withers, P.J.; Feng, Z. Prediction of Hardness Minimum Locations during Natural Aging in an Aluminum Alloy 6061-T6 Friction Stir Weld. J. Mater. Sci. 2009, 44, 6302–6309. [Google Scholar] [CrossRef]
- Deng, H.; Chen, Y.; Jia, Y.; Pang, Y.; Zhang, T.; Wang, S.; Yin, L. Microstructure and Mechanical Properties of Dissimilar NiTi/Ti6Al4V Joints via Back-Heating Assisted Friction Stir Welding. J. Manuf. Process. 2021, 64, 379–391. [Google Scholar] [CrossRef]
- Tang, W.; Guo, X.; McClure, J.C.; Murr, L.E.; Nunes, A. Heat Input and Temperature Distribution in Friction Stir Welding. J. Mater. Process. Manuf. Sci. 1998, 7, 163–172. [Google Scholar] [CrossRef]








| Temperature (°C) | 20 | 160 | 200 | 400 | 500 | 580 |
| Coefficient of Friction (µ) | 0.35 | 0.3 | 0.26 | 0.08 | 0.03 | 0.01 |
| Maximum Temperature (°C) at T1 | Maximum Temperature (°C) at T2 | Maximum Temperature (°C) at T3 | Maximum Temperature (°C) in SZ | % of Melting Point (635 °C) | |
|---|---|---|---|---|---|
| Experiment | 495 | 386 | 231 | - | - |
| Model M1 | 476 | 328 | 210 | 490 | 77 |
| Model M2 | 483 | 361 | 225 | 500 | 78 |
| Model M3 | 506 | 377 | 246 | 520 | 81 |
| Model M4 | 527 | 413 | 291 | 540 | 85 |
| Model M5 | 501 | 363 | 222 | 510 | 80 |
Disclaimer/Publisher’s Note: The statements, opinions and data contained in all publications are solely those of the individual author(s) and contributor(s) and not of MDPI and/or the editor(s). MDPI and/or the editor(s) disclaim responsibility for any injury to people or property resulting from any ideas, methods, instructions or products referred to in the content. |
© 2023 by the authors. Licensee MDPI, Basel, Switzerland. This article is an open access article distributed under the terms and conditions of the Creative Commons Attribution (CC BY) license (https://creativecommons.org/licenses/by/4.0/).
Share and Cite
Janga, V.S.R.; Awang, M.; Pedapati, S.R. A Numerical Study on the Effect of Tool Speeds on Temperatures and Material Flow Behaviour in Refill Friction Stir Spot Welding of Thin AA7075-T6 Sheets. Materials 2023, 16, 3108. https://doi.org/10.3390/ma16083108
Janga VSR, Awang M, Pedapati SR. A Numerical Study on the Effect of Tool Speeds on Temperatures and Material Flow Behaviour in Refill Friction Stir Spot Welding of Thin AA7075-T6 Sheets. Materials. 2023; 16(8):3108. https://doi.org/10.3390/ma16083108
Chicago/Turabian StyleJanga, Venkata Somi Reddy, Mokhtar Awang, and Srinivasa Rao Pedapati. 2023. "A Numerical Study on the Effect of Tool Speeds on Temperatures and Material Flow Behaviour in Refill Friction Stir Spot Welding of Thin AA7075-T6 Sheets" Materials 16, no. 8: 3108. https://doi.org/10.3390/ma16083108
APA StyleJanga, V. S. R., Awang, M., & Pedapati, S. R. (2023). A Numerical Study on the Effect of Tool Speeds on Temperatures and Material Flow Behaviour in Refill Friction Stir Spot Welding of Thin AA7075-T6 Sheets. Materials, 16(8), 3108. https://doi.org/10.3390/ma16083108

