Band Gaps and Optical Properties of RENiO3 upon Strain: Combining First-Principles Calculations and Machine Learning
Abstract
1. Introduction
2. Methods
3. Results and Discussion
3.1. Band Gaps
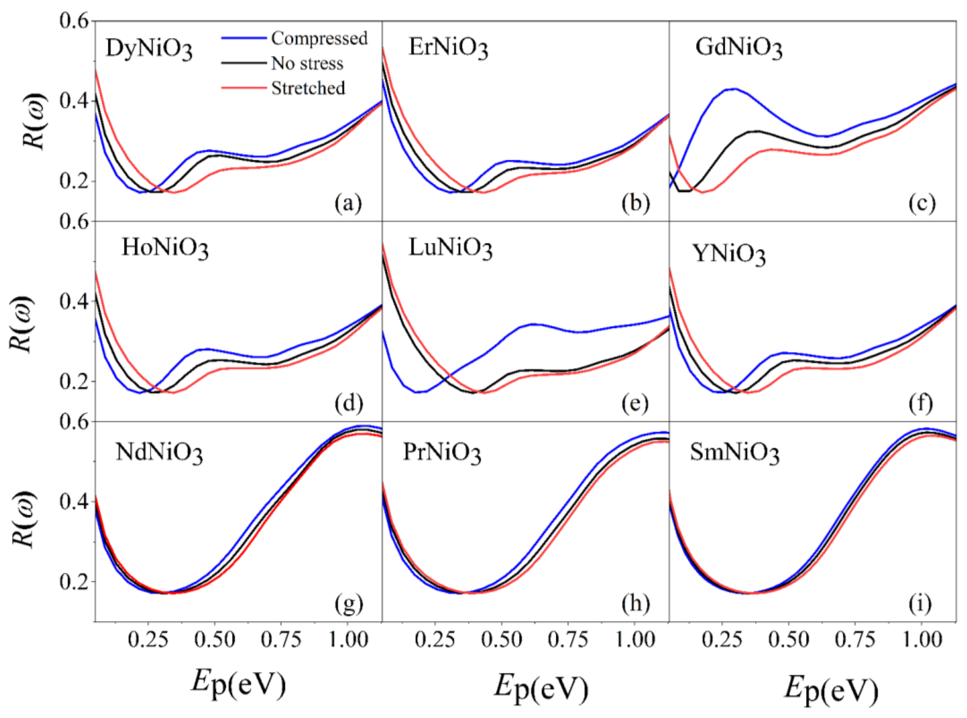
3.2. Optical Properties
4. Conclusions
Author Contributions
Funding
Data Availability Statement
Conflicts of Interest
References
- Medarde, M.L. Structural, magnetic and electronic properties of perovskites (R = rare earth). J. Phys. Condens. Matter 1997, 9, 1679–1707. [Google Scholar] [CrossRef]
- Conchon, F.; Boulle, A.; Guinebretière, R.; Dooryhée, E.; Hodeau, J.-L.; Girardot, C.; Pignard, S.; Kreisel, J.; Weiss, F. The role of strain-induced structural changes in the metal–insulator transition in epitaxial SmNiO3films. J. Phys. Condens. Matter 2008, 20, 145216. [Google Scholar] [CrossRef]
- Li, Z.; Zhou, Y.; Qi, H.; Pan, Q.; Zhang, Z.; Shi, N.N.; Lu, M.; Stein, A.; Li, C.Y.; Ramanathan, S.; et al. Correlated Perovskites as a New Platform for Super-Broadband-Tunable Photonics. Adv. Mater. 2016, 28, 9117–9125. [Google Scholar] [CrossRef] [PubMed]
- Oh, C.; Heo, S.; Jang, H.M.; Son, J. Correlated memory resistor in epitaxial NdNiO3 heterostructures with asymmetrical proton concentration. Appl. Phys. Lett. 2016, 108, 122106. [Google Scholar] [CrossRef]
- Catalan, G. Progress in perovskite nickelate research. Phase Transit. 2008, 81, 729–749. [Google Scholar] [CrossRef]
- Shi, J.; Ha, S.D.; Zhou, Y.; Schoofs, F.; Ramanathan, S. A correlated nickelate synaptic transistor. Nat. Commun. 2013, 4, 2676. [Google Scholar] [CrossRef]
- Shi, J.; Zhou, Y.; Ramanathan, S. Colossal resistance switching and band gap modulation in a perovskite nickelate by electron doping. Nat. Commun. 2014, 5, 4860. [Google Scholar] [CrossRef]
- Kaul, A.; Gorbenko, O.; Graboy, I.; Novojilov, M.; Bosak, A.; Kamenev, A.; Antonov, S.; Nikulin, I.; Mikhaylov, A.; Kartavtzeva, M. Epitaxial Stabilization in Thin Films of Oxides. MRS Online Proc. Libr. 2003, 755, 71. [Google Scholar] [CrossRef]
- Catalano, S.; Gibert, M.; Fowlie, J.; Iniguez, J.; Triscone, J.-M.; Kreisel, J. Rare-earth nickelates RNiO3: Thin films and heterostructures. Rep. Prog. Phys. 2018, 81, 046501. [Google Scholar] [CrossRef]
- Conchon, F.; Boulle, A.; Guinebretière, R.; Girardot, C.; Pignard, S.; Kreisel, J.; Weiss, F.; Dooryhée, E.; Hodeau, J.-L. Effect of tensile and compressive strains on the transport properties of SmNiO3 layers epitaxially grown on (001) SrTiO3 and LaAlO3 substrates. Appl. Phys. Lett. 2007, 91, 192110. [Google Scholar] [CrossRef]
- Kumar, A.; Singh, P.; Kaur, D.; Jesudasan, J.; Raychaudhuri, P. Substrate effect on electrical transport properties of RNiO3thin films prepared by pulsed laser deposition. J. Phys. D Appl. Phys. 2006, 39, 5310–5315. [Google Scholar] [CrossRef]
- Ikeda, A.; Manabe, T.; Naito, M. Epitaxial strain effect in perovskite RENiO3 films (RE = La–Eu) prepared by metal organic decomposition. Phys. C Supercond. Its Appl. 2014, 505, 24–31. [Google Scholar] [CrossRef]
- Cui, Y.; Ren, J.; Yang, G.; Gao, Y. First-Principles Study of Intrinsic Point Defects and Optical Properties of SmNiO3. J. Phys. Chem. A 2021, 125, 356–365. [Google Scholar] [CrossRef]
- Cai, M.Q.; Tan, X.; Yang, G.W.; Wen, L.Q.; Wang, L.L.; Hu, W.Y.; Wang, Y.G. Giant Magneto-Optical Kerr Effects in Ferromagnetic Perovskite BiNiO3 with Half-Metallic State. J. Phys. Chem. C 2008, 112, 16638–16642. [Google Scholar] [CrossRef]
- Kresse, G.; Furthmüller, J. Efficient iterative schemes forab initiototal-energy calculations using a plane-wave basis set. Phys. Rev. B 1996, 54, 11169–11186. [Google Scholar] [CrossRef]
- Kresse, G.; Hafner, J. Ab initio molecular dynamics for liquid metals. Phys. Rev. B 1993, 47, 558–561. [Google Scholar] [CrossRef]
- Xu, X.; Meng, X.; Wang, C.; Wu, F.; Chen, G. Charge Disproportionation in YNiO3 Perovskite: An ab Initio Calculation. J. Phys. Chem. B 2004, 108, 1165–1167. [Google Scholar] [CrossRef]
- Wagner, N.; Puggioni, D.; Rondinelli, J.M. Learning from Correlations Based on Local Structure: Rare-Earth Nickelates Revisited. J. Chem. Inf. Model. 2018, 58, 2491–2501. [Google Scholar] [CrossRef]
- Blöchl, P.E. Projector augmented-wave method. Phys. Rev. B 1994, 50, 17953–17979. [Google Scholar] [CrossRef]
- Perdew, J.P.; Burke, K.; Ernzerhof, M. Generalized gradient approximation made simple. Phys. Rev. Lett. 1996, 77, 3865–3868. [Google Scholar] [CrossRef]
- Dudarev, S.L.; Botton, G.A.; Savrasov, S.Y.; Humphreys, C.J.; Sutton, A.P. Electron-energy-loss spectra and the structural stability of nickel oxide: An LSDA+U study. Phys. Rev. B 1998, 57, 1505–1509. [Google Scholar] [CrossRef]
- Metal-Insulator Transition of strained SmNiO3 Thin Films: Structural, Electrical and Optical Properties | Scientific Reports. Available online: https://www.nature.com/articles/srep40915 (accessed on 16 February 2023).
- Stewart, M.K.; Yee, C.-H.; Liu, J.; Kareev, M.; Smith, R.K.; Chapler, B.C.; Varela, M.; Ryan, P.J.; Haule, K.; Chakhalian, J.; et al. Optical Study of Strained Ultrathin Films of Strongly Correlated LaNiO3. Phys. Rev. B 2011, 83, 075125. [Google Scholar] [CrossRef]
- Ducamp, M.; Coudert, F.-X. Prediction of Thermal Properties of Zeolites through Machine Learning. J. Phys. Chem. C 2022, 126, 1651–1660. [Google Scholar] [CrossRef]
- Egorova, O.; Hafizi, R.; Woods, D.C.; Day, G.M. Multifidelity Statistical Machine Learning for Molecular Crystal Structure Prediction. J. Phys. Chem. A 2020, 124, 8065–8078. [Google Scholar] [CrossRef]
- Kabra, V.; Birn, B.; Kamboj, I.; Augustyn, V.; Mukherjee, P.P. Mesoscale Machine Learning Analytics for Electrode Property Estimation. J. Phys. Chem. C 2022, 126, 14413–14429. [Google Scholar] [CrossRef]
- Zuo, Y.; Chen, C.; Li, X.-G.; Deng, Z.; Chen, Y.; Behler, J.; Csányi, G.; Shapeev, A.V.; Thompson, A.P.; Wood, M.A.; et al. Performance and Cost Assessment of Machine Learning Interatomic Potentials. J. Phys. Chem. A 2020, 124, 731–745. [Google Scholar] [CrossRef]
- Vailionis, A.; Boschker, H.; Siemons, W.; Houwman, E.P.; Blank, D.H.A.; Rijnders, G.; Koster, G. Misfit Strain Accommodation in Epitaxial ABO3 Perovskites: Lattice Rotations and Lattice Modulations. Phys. Rev. B 2011, 83, 064101. [Google Scholar] [CrossRef]
- Fu, H.; Xu, G. The Research of Combined FeatureSelection Based on Random Forest and RFE. In Proceedings of the 19th National Youth Communication Conference of China, Maoming, China, 14–16 August 2014; China Institute of Communications: Beijing, China, 2014; pp. 207–211. [Google Scholar]
- Hu, H.-Y.; Chen, J.-K.; Shao, F.; Wu, Y.; Meng, K.-K.; Li, Z.-P.; Miao, J.; Xu, X.-G.; Wang, J.-O.; Jiang, Y. Electrical conductivity and infrared ray photoconductivity for lattice distorted SmNiO3 perovskite oxide film. Acta Phys. Sin. 2019, 68, 198–207. [Google Scholar] [CrossRef]
- Ardizzone, I.; Zingl, M.; Teyssier, J.; Strand, H.U.R.; Peil, O.; Fowlie, J.; Georgescu, A.B.; Catalano, S.; Bachar, N.; Kuzmenko, A.B.; et al. Optical Properties of LaNiO3 Films Tuned from Compressive to Tensile Strain. Phys. Rev. B 2020, 102, 155148. [Google Scholar] [CrossRef]





| Strain | Sm | Y | Dy | Er | Lu | Ho | Pr | Nd | Gd |
|---|---|---|---|---|---|---|---|---|---|
| −2.0% | 0.4318 | 0.0647 | 0.0879 | 0.2022 | 0.2354 | 0.0831 | 0.0263 | 0.0100 | 0.0101 |
| −1.5% | 0.4607 | 0.1652 | 0.1473 | 0.2553 | 0.2774 | 0.1414 | 0.0592 | 0.0122 | 0.0016 |
| −1.0% | 0.4882 | 0.2179 | 0.2018 | 0.3065 | 0.3186 | 0.1970 | 0.1253 | 0.0464 | 0.0204 |
| −0.5% | 0.5146 | 0.2692 | 0.2542 | 0.3548 | 0.3741 | 0.2491 | 0.1836 | 0.1145 | 0.0768 |
| 0.0% | 0.5350 | 0.3187 | 0.3043 | 0.3971 | 0.4011 | 0.2991 | 0.2416 | 0.1721 | 0.1363 |
| 0.5% | 0.5547 | 0.3652 | 0.3527 | 0.4395 | 0.4398 | 0.3530 | 0.2965 | 0.2324 | 0.1910 |
| 1.0% | 0.5711 | 0.4275 | 0.3989 | 0.4819 | 0.4793 | 0.3934 | 0.3510 | 0.2882 | 0.2410 |
| 1.5% | 0.5833 | 0.4534 | 0.4408 | 0.5131 | 0.5061 | 0.4381 | 0.4028 | 0.3400 | 0.2919 |
| 2.0% | 0.5820 | 0.4642 | 0.4834 | 0.5394 | 0.5324 | 0.4788 | 0.4492 | 0.3922 | 0.3384 |
| S | M | X | V | RN | RO | RR | t |
|---|---|---|---|---|---|---|---|
| 2.83 | 0.000447 | −5.09 | 0.003 | ≈0 | ≈0 | 0.12 | 8 |
Disclaimer/Publisher’s Note: The statements, opinions and data contained in all publications are solely those of the individual author(s) and contributor(s) and not of MDPI and/or the editor(s). MDPI and/or the editor(s) disclaim responsibility for any injury to people or property resulting from any ideas, methods, instructions or products referred to in the content. |
© 2023 by the authors. Licensee MDPI, Basel, Switzerland. This article is an open access article distributed under the terms and conditions of the Creative Commons Attribution (CC BY) license (https://creativecommons.org/licenses/by/4.0/).
Share and Cite
Tang, X.; Luo, Z.; Cui, Y. Band Gaps and Optical Properties of RENiO3 upon Strain: Combining First-Principles Calculations and Machine Learning. Materials 2023, 16, 3070. https://doi.org/10.3390/ma16083070
Tang X, Luo Z, Cui Y. Band Gaps and Optical Properties of RENiO3 upon Strain: Combining First-Principles Calculations and Machine Learning. Materials. 2023; 16(8):3070. https://doi.org/10.3390/ma16083070
Chicago/Turabian StyleTang, Xuchang, Zhaokai Luo, and Yuanyuan Cui. 2023. "Band Gaps and Optical Properties of RENiO3 upon Strain: Combining First-Principles Calculations and Machine Learning" Materials 16, no. 8: 3070. https://doi.org/10.3390/ma16083070
APA StyleTang, X., Luo, Z., & Cui, Y. (2023). Band Gaps and Optical Properties of RENiO3 upon Strain: Combining First-Principles Calculations and Machine Learning. Materials, 16(8), 3070. https://doi.org/10.3390/ma16083070
