Investigation on Preparation and Performance of High Ga CIGS Absorbers and Their Solar Cells
Abstract
1. Introduction
2. Materials and Methods
3. Results
3.1. Results and Discussion
3.1.1. Cu(In,Ga)Se2 Growth and Characterization
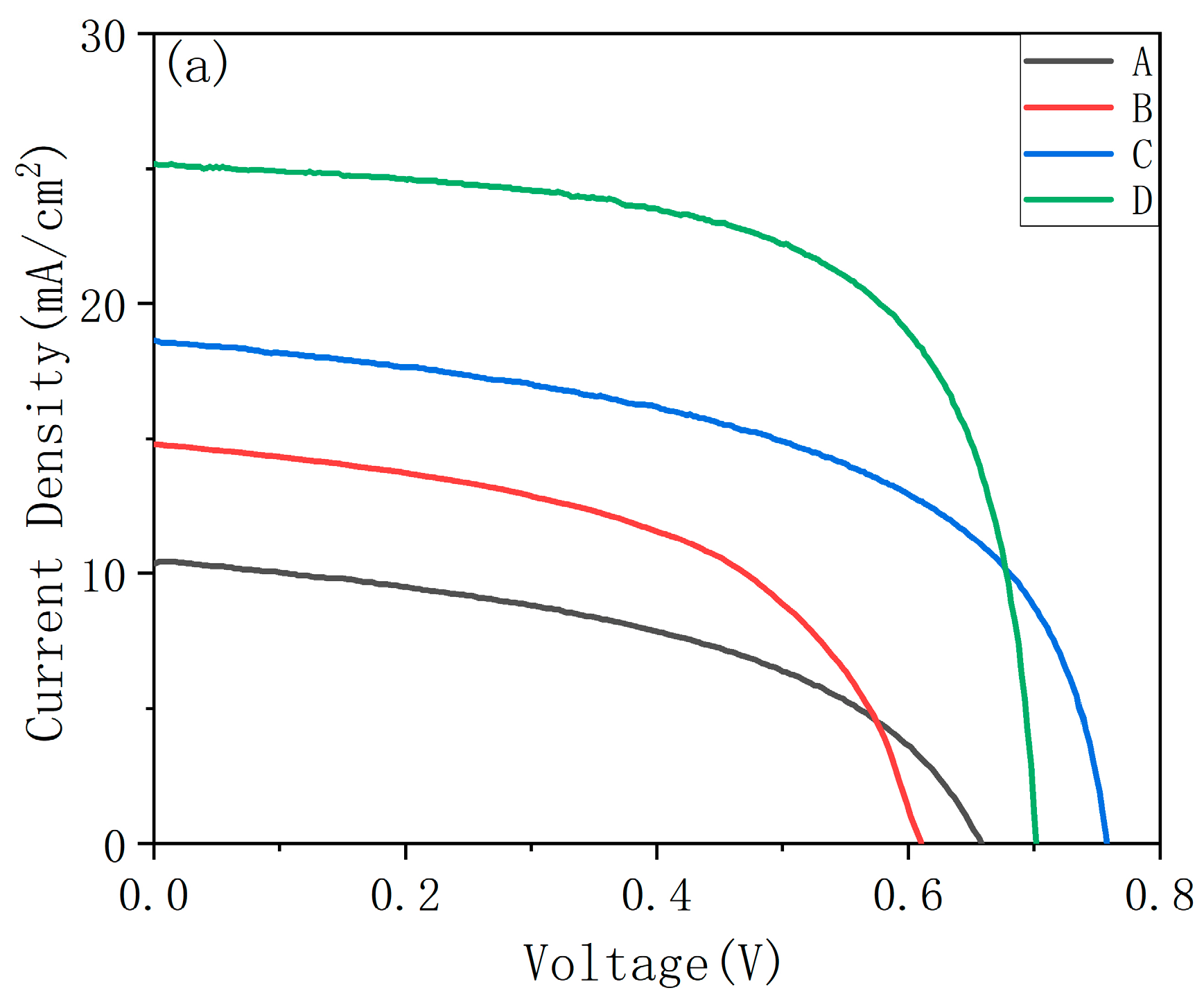
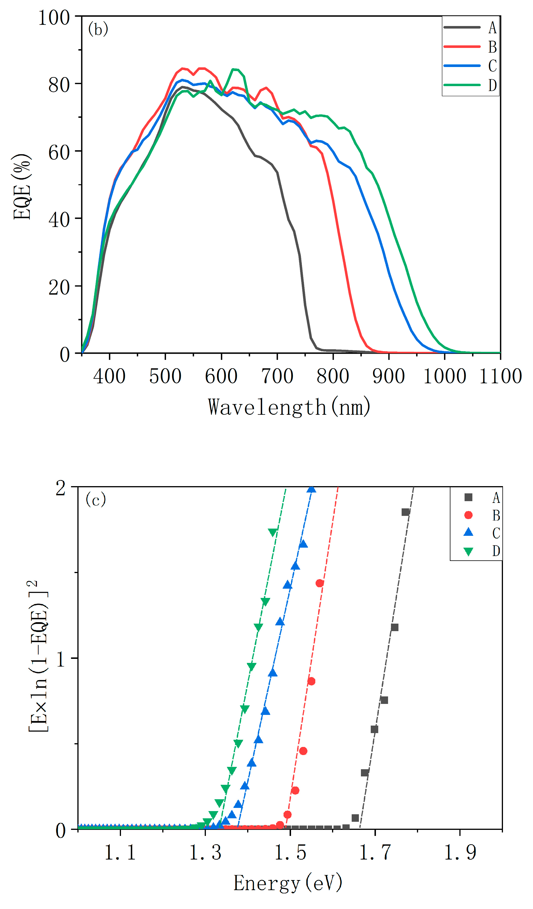
3.1.2. Characterization of CIGS Solar Cells
4. Conclusions
Author Contributions
Funding
Data Availability Statement
Conflicts of Interest
References
- Zeenat; Maryum Javed, S.; Ahmad, Z.; Ahmed, S.; Iqbal, S.; Naqvi, I.J.; Usman, M.; Ashiq, M.N.; Elnaggar, A.Y.; El-Bahy, Z.M. Highly dispersed active sites of Ni nanoparticles onto hierarchical reduced graphene oxide architecture towards efficient water oxidation. Fuel 2022, 312, 122926. [Google Scholar] [CrossRef]
- Kuang, C.; Tan, P.; Javed, M.; Humaira Khushi, H.; Nadeem, S.; Iqbal, S.; Alshammari, F.H.; Alqahtani, M.D.; Alsaab, H.O.; Awwad, N.S.; et al. Boosting photocatalytic interaction of sulphur doped reduced graphene oxide-based S@rGO/NiS2 nanocomposite for destruction of pathogens and organic pollutant degradation caused by visible light. Inorg. Chem. Commun. 2022, 141, 109575. [Google Scholar] [CrossRef]
- Li, H.; Ji, H.; Liu, J.; Liu, W.; Li, F.; Shen, Z. Interfacial modulation of ZnIn2S4 with high active Zr-S4 sites for boosting photocatalytic activation of oxygen and degradation of emerging contaminant. Appl. Catal. B Environ. 2023, 328, 122481. [Google Scholar] [CrossRef]
- Kwok, K.C.S.; Hu, G. Wind energy system for buildings in an urban environment. J. Wind. Eng. Ind. Aerodyn. 2023, 234, 105349. [Google Scholar] [CrossRef]
- Hussain, B.; Asif Ali Naqvi, S.; Anwar, S.; Usman, M. Effect of wind and solar energy production, and economic development on the environmental quality: Is this the solution to climate change? Gondwana Res. 2023, 119, 27–44. [Google Scholar] [CrossRef]
- Li, L.; Li, M.; Qin, Y.; Chen, Y.; Dai, W.; Zhang, Z.; Kong, X.; Gong, P.; Wang, Y.; Yang, R.; et al. Eicosane-based thermo-conductive phase change composite for efficient capture solar energy and using in real-environment as power source. Chem. Eng. J. 2023, 462, 142273. [Google Scholar] [CrossRef]
- Chandramohan, M.; Velumani, S.; Venkatachalam, T. Band structure calculations of Cu(In1−xGax)Se2. Mater. Sci. Eng. B 2010, 174, 200–204. [Google Scholar] [CrossRef]
- Nakamura, M.; Yamaguchi, K.; Kimoto, Y.; Yasaki, Y.; Kato, T.; Sugimoto, H. Cd-Free Cu(In,Ga)(Se,S)2 Thin-Film Solar Cell with Record Efficiency of 23.35%. IEEE J. Photovolt. 2019, 9, 1863–1867. [Google Scholar] [CrossRef]
- Hatt, T.; Schulze, P.S.C.; Er-Raji, O.; Richter, A.; Efinger, R.; Schultz-Wittmann, O.; Heydarian, M.; Tutsch, L.; Goldschmidt, J.C.; Glatthaar, M.; et al. Plated copper electrodes for two-terminal perovskite/silicon tandem solar cells. Sol. Energy Mater. Sol. Cells 2022, 246, 111912. [Google Scholar] [CrossRef]
- Chantana, J.; Takeguchi, K.; Mavlonov, A.; Kawano, Y.; Minemoto, T. Correlation between detailed balance limit and actual environmental factors for perovskite/crystalline Si tandem solar cells with different structures. Mater. Sci. Semicond. Process. 2022, 152, 107085. [Google Scholar] [CrossRef]
- Luo, J.; Tang, L.; Wang, S.; Yan, H.; Wang, W.; Chi, Z.; Gong, J.; Li, J.; Xiao, X. Manipulating Ga growth profile enables all-flexible high-performance single-junction CIGS and 4 T perovskite/CIGS tandem solar cells. Chem. Eng. J. 2023, 455, 140960. [Google Scholar] [CrossRef]
- Elbar, M.; Tobbeche, S.; Merazga, A. Effect of top-cell CGS thickness on the performance of CGS/CIGS tandem solar cell. Sol. Energy 2015, 122, 104–112. [Google Scholar] [CrossRef]
- Saad, M.; Kassis, A. Current–voltage analysis of the record-efficiency CuGaSe2 solar cell: Application of the current separation method and the interface recombination model. Sol. Energy Mater. Sol. Cells 2011, 95, 1927–1931. [Google Scholar] [CrossRef]
- Bouanani, B.; Joti, A.; Bachir Bouiadjra, F.S.; Kadid, A. Band gap and thickness optimization for improvement of CIGS/CIGS tandem solar cells using Silvaco software. Optik 2020, 204, 164217. [Google Scholar] [CrossRef]
- Elbar, M.; Tobbeche, S. Numerical Simulation of CGS/CIGS Single and Tandem Thin-film Solar Cells using the Silvaco-Atlas Software. Energy Procedia 2015, 74, 1220–1227. [Google Scholar] [CrossRef]
- Schmid, M.; Caballero, R.; Klenk, R.; Krč, J.; Rissom, T.; Topi, M.; Lux-Steiner, M.C. Experimental verification of optically optimized CuGaSe2 top cell for improving chalcopyrite tandems. EPJ Photovolt. 2010, 1, 10601. [Google Scholar]
- Hedayati, M.; Olyaee, S.; Ghorashi, S.M.B. The Effect of Adsorbent Layer Thickness and Gallium Concentration on the Efficiency of a Dual-Junction Copper Indium Gallium Diselenide Solar Cell. J. Electron. Mater. 2019, 49, 1454–1461. [Google Scholar] [CrossRef]
- Dos Santos, R.B.; Rivelino, R.; Mota Fde, B.; Kakanakova-Georgieva, A.; Gueorguiev, G.K. Feasibility of novel (H3C)nX(SiH3)3−n compounds (X = B, Al, Ga, In): Structure, stability, reactivity, and Raman characterization from ab initio calculations. Dalton Trans. 2015, 44, 3356–3366. [Google Scholar] [CrossRef]
- Chen, X.-D.; Chen, L.; Sun, Q.-Q.; Zhou, P.; Zhang, D.W. Hybrid density functional theory study of Cu(In1−xGax)Se2 band structure for solar cell application. AIP Adv. 2014, 4, 087118. [Google Scholar] [CrossRef]
- Wei, S.H.; Zunger, A. Band offsets and optical bowings of chalcopyrites and Zn-based II-VI alloys. J. Appl. Phys. 1995, 78, 3846–3856. [Google Scholar] [CrossRef]
- Khelifi, S.; Brammertz, G.; Choubrac, L.; Batuk, M.; Yang, S.; Meuris, M.; Barreau, N.; Hadermann, J.; Vrielinck, H.; Poelman, D.; et al. The path towards efficient wide band gap thin-film kesterite solar cells with transparent back contact for viable tandem application. Sol. Energy Mater. Sol. Cells 2021, 219, 110824. [Google Scholar] [CrossRef]
- Kawano, Y.; Chantana, J.; Nishimura, T.; Mavlonov, A.; Minemoto, T. [Ga]/([Ga]+[In]) profile controlled through Ga flux for performance improvement of Cu(In,Ga)Se2 solar cells on flexible stainless steel substrates. J. Alloys Compd. 2022, 899, 163276. [Google Scholar] [CrossRef]
- Tu, L.-H.; Cai, C.-H.; Lai, C.-H. Tuning Ga Grading in Selenized Cu(In,Ga)Se2 Solar Cells by Formation of Ordered Vacancy Compound. Solar RRL 2020, 5, 2000626. [Google Scholar] [CrossRef]
- Larsson, F.; Nilsson, N.S.; Keller, J.; Frisk, C.; Kosyak, V.; Edoff, M.; Törndahl, T. Record 1.0 V open-circuit voltage in wide band gap chalcopyrite solar cells. Prog. Photovolt. Res. Appl. 2017, 25, 755–763. [Google Scholar] [CrossRef]
- Eisenbarth, T.; Unold, T.; Caballero, R.; Kaufmann, C.A.; Abou-Ras, D.; Schock, H.W. Origin of defects in CuIn1−xGaxSe2 solar cells with varied Ga content. Thin Solid Film. 2009, 517, 2244–2247. [Google Scholar] [CrossRef]
- Steichen, M.; Larsen, J.; Gütay, L.; Siebentritt, S.; Dale, P.J. Preparation of CuGaSe2 absorber layers for thin film solar cells by annealing of efficiently electrodeposited Cu–Ga precursor layers from ionic liquids. Thin Solid Film. 2011, 519, 7254–7258. [Google Scholar] [CrossRef]
- Popp, A.; Pettenkofer, C. Epitaxial growth of CuGaSe2 thin-films by MBE—Influence of the Cu/Ga ratio. Appl. Surf. Sci. 2017, 416, 815–823. [Google Scholar] [CrossRef]
- Jung, S.; Kim, J. Growth and Structural Characteristics of CuGaSe2 Films Fabricated from Metallic Precursors Followed by an Elemental Se Reaction Process. J. Nanosci. Nanotechnol. 2016, 16, 5279–5284. [Google Scholar] [CrossRef]
- Wei, Y.; Zhuang, D.; Zhao, M.; Zhang, N.; Yu, X.; Sun, R.; Zhang, L.; Lyu, X.; Peng, X.; Wei, J. Fabrication of wide band-gap CuGaSe2 solar cells for tandem device applications by sputtering from a ternary target and post selenization treatment. Mater. Lett. 2018, 230, 128–131. [Google Scholar] [CrossRef]
- Zhuk, S.; Kushwaha, A.; Wong, T.K.S.; Masudy-Panah, S.; Smirnov, A.; Dalapati, G.K. Critical review on sputter-deposited Cu2ZnSnS4 (CZTS) based thin film photovoltaic technology focusing on device architecture and absorber quality on the solar cells performance. Sol. Energy Mater. Sol. Cells 2017, 171, 239–252. [Google Scholar] [CrossRef]
- Ramanujam, J.; Singh, U.P. Copper indium gallium selenide based solar cells—A review. Energy Environ. Sci. 2017, 10, 1306–1319. [Google Scholar] [CrossRef]
- Peng, X.; Zhao, M.; Zhuang, D.; Guo, L.; Ouyang, L.; Sun, R.; Zhang, L.; Wei, Y.; Zhan, S.; Lv, X.; et al. Multi-layer strategy to enhance the grain size of CIGS thin film fabricating by single quaternary CIGS target. J. Alloy. Compd. 2017, 710, 172–176. [Google Scholar] [CrossRef]
- Wang, C.; Zhuang, D.; Zhao, M.; Wei, Y.; Lyu, X.; Ren, G.; Wu, Y.; Hu, L.; Li, Y.; Gong, Q.; et al. The effects of preheating temperature on CuInGaSe2/CdS interface and the device performances. Sol. Energy 2019, 194, 11–17. [Google Scholar] [CrossRef]
- Ider, M.; Pankajavalli, R.; Zhuang, W.; Shen, J.Y.; Anderson, T.J. Thermochemistry of the Cu2Se–In2Se3 system. J. Alloy. Compd. 2014, 604, 363–372. [Google Scholar] [CrossRef]
- Ider, M.; Pankajavalli, R.; Zhuang, W.; Shen, J.Y.; Anderson, T.J. Thermochemistry of the Ga-Se System. ECS J. Solid State Sci. Technol. 2015, 4, Q51–Q60. [Google Scholar] [CrossRef]
- Liang, H.; Avachat, U.; Liu, W.; van Duren, J.; Le, M. CIGS formation by high temperature selenization of metal precursors in H2Se atmosphere. Solid-State Electron. 2012, 76, 95–100. [Google Scholar] [CrossRef]
- Aninat, R.; van den Bruele, F.J.; Schermer, J.J.; Tinnemans, P.; Emmelkamp, J.; Vlieg, E.; van der Vleuten, M.; Linden, H.; Theelen, M. In-situ XRD study on the selenisation parameters driving Ga/In interdiffusion in Cu(In,Ga)Se2 in a versatile, industrially-relevant selenisation furnace. Sol. Energy 2021, 230, 1085–1094. [Google Scholar] [CrossRef]
- Minemoto, T.; Matsui, T.; Takakura, H.; Hamakawa, Y.; Negami, T.; Hashimoto, Y.; Uenoyama, T.; Kitagawa, M. Theoretical analysis of the effect of conduction band offset of window/CIS layers on performance of CIS solar cells using device simulation. Sol. Energy Mater. Sol. Cells 2001, 67, 83–88. [Google Scholar] [CrossRef]
- Sobayel, M.K.; Chowdhury, M.S.; Hossain, T.; Alkhammash, H.I.; Islam, S.; Shahiduzzaman, M.; Akhtaruzzaman, M.; Techato, K.; Rashid, M.J. Efficiency enhancement of CIGS solar cell by cubic silicon carbide as prospective buffer layer. Sol. Energy 2021, 224, 271–278. [Google Scholar] [CrossRef]
- Zhang, Y.; Lin, S.; Hu, Z.; Cheng, S.; He, Z.; Zhou, Z.; Sun, S.; Liu, W.; Sun, Y. Towards an optimized gallium gradient for Cu(In,Ga)Se2 thin film via an improved constant low-temperature deposition process. Sol. Energy Mater. Sol. Cells 2020, 209, 110425. [Google Scholar] [CrossRef]






| Sample | Cu (at%) | In (at%) | Ga (at%) | Se (at%) | Ga/(In+Ga) |
|---|---|---|---|---|---|
| A | 22.8 | 0 | 25.1 | 52.1 | 1.00 |
| B | 22.6 | 2.4 | 22.7 | 52.3 | 0.90 |
| C | 22.6 | 4.8 | 20.5 | 52.1 | 0.81 |
| D | 22.4 | 6.9 | 18.2 | 52.5 | 0.72 |
| Sample A | Sample B | Sample C | Sample D | |
|---|---|---|---|---|
| Ga/(In+Ga) measured by ICP | 1.00 | 0.90 | 0.81 | 0.72 |
| Calculated Eg(eV) | 1.66 | 1.59 | 1.52 | 1.45 |
| Eg measured by PL (eV) | 1.66 | 1.59 | 1.55 | 1.48 |
| Sample | Ga/(In+Ga) | Efficiency (%) | Voc (mV) | Jsc (mA/cm2) | FF (%) | Voc,def (mV) |
|---|---|---|---|---|---|---|
| A | 1.00 | 3.26 | 659 | 10.5 | 46.86 | 1001 |
| B | 0.90 | 4.76 | 610 | 14.8 | 52.70 | 980 |
| C | 0.81 | 7.79 | 758 | 18.6 | 55.20 | 792 |
| D | 0.72 | 11.58 | 702 | 25.2 | 65.55 | 778 |
| Sample | Egmin (eV) | Eg by PL (eV) |
|---|---|---|
| A | 1.66 | 1.66 |
| B | 1.49 | 1.59 |
| C | 1.37 | 1.55 |
| D | 1.34 | 1.48 |
Disclaimer/Publisher’s Note: The statements, opinions and data contained in all publications are solely those of the individual author(s) and contributor(s) and not of MDPI and/or the editor(s). MDPI and/or the editor(s) disclaim responsibility for any injury to people or property resulting from any ideas, methods, instructions or products referred to in the content. |
© 2023 by the authors. Licensee MDPI, Basel, Switzerland. This article is an open access article distributed under the terms and conditions of the Creative Commons Attribution (CC BY) license (https://creativecommons.org/licenses/by/4.0/).
Share and Cite
Lv, X.; Zheng, Z.; Zhao, M.; Wang, H.; Zhuang, D. Investigation on Preparation and Performance of High Ga CIGS Absorbers and Their Solar Cells. Materials 2023, 16, 2806. https://doi.org/10.3390/ma16072806
Lv X, Zheng Z, Zhao M, Wang H, Zhuang D. Investigation on Preparation and Performance of High Ga CIGS Absorbers and Their Solar Cells. Materials. 2023; 16(7):2806. https://doi.org/10.3390/ma16072806
Chicago/Turabian StyleLv, Xiaoyu, Zilong Zheng, Ming Zhao, Hanpeng Wang, and Daming Zhuang. 2023. "Investigation on Preparation and Performance of High Ga CIGS Absorbers and Their Solar Cells" Materials 16, no. 7: 2806. https://doi.org/10.3390/ma16072806
APA StyleLv, X., Zheng, Z., Zhao, M., Wang, H., & Zhuang, D. (2023). Investigation on Preparation and Performance of High Ga CIGS Absorbers and Their Solar Cells. Materials, 16(7), 2806. https://doi.org/10.3390/ma16072806

