Laser Ablation Study of Cutting Ceramics with Consideration of the Beam Inclination Angle
Abstract
1. Introduction
2. Materials and Methods
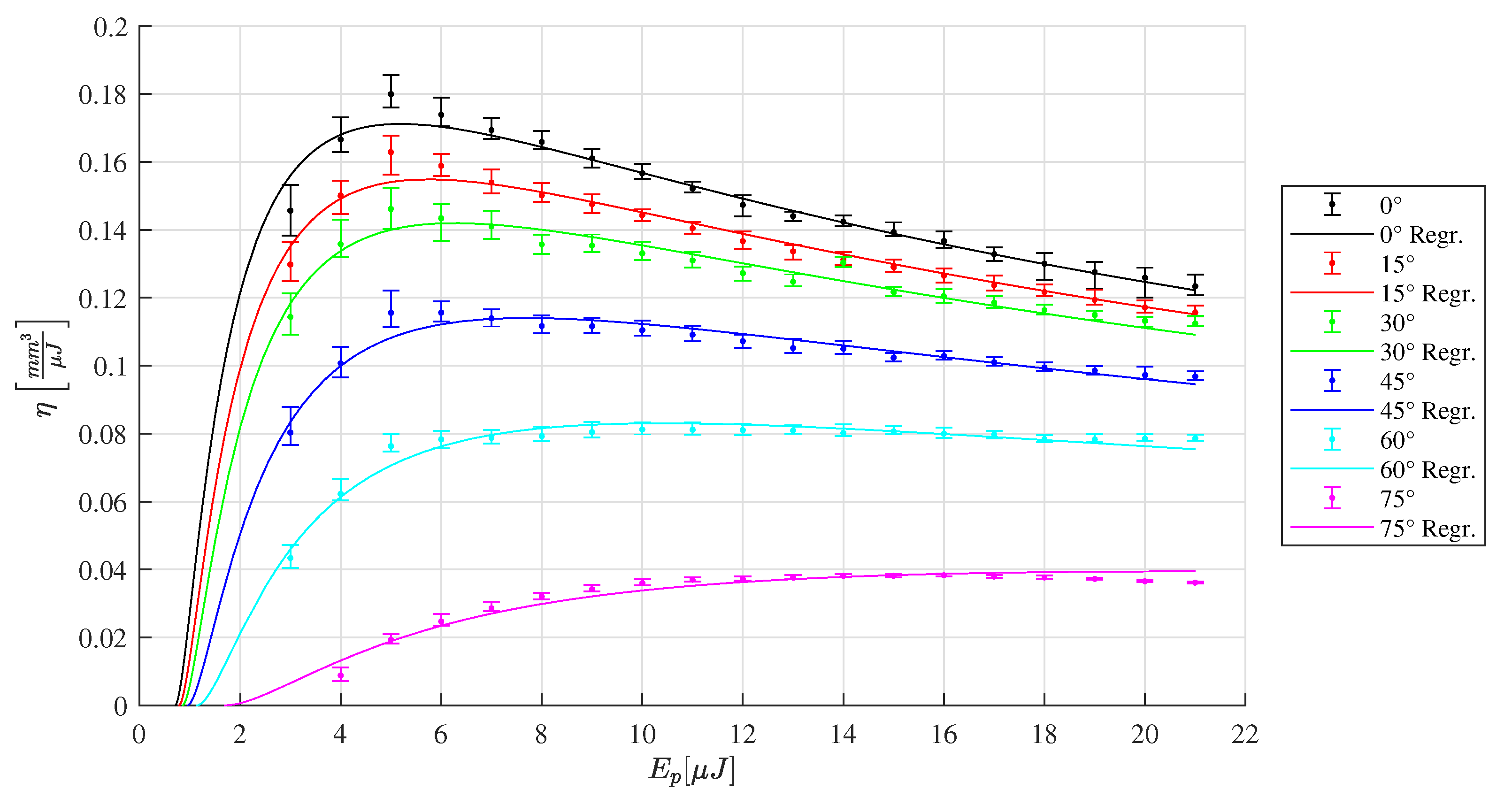
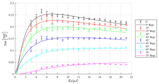
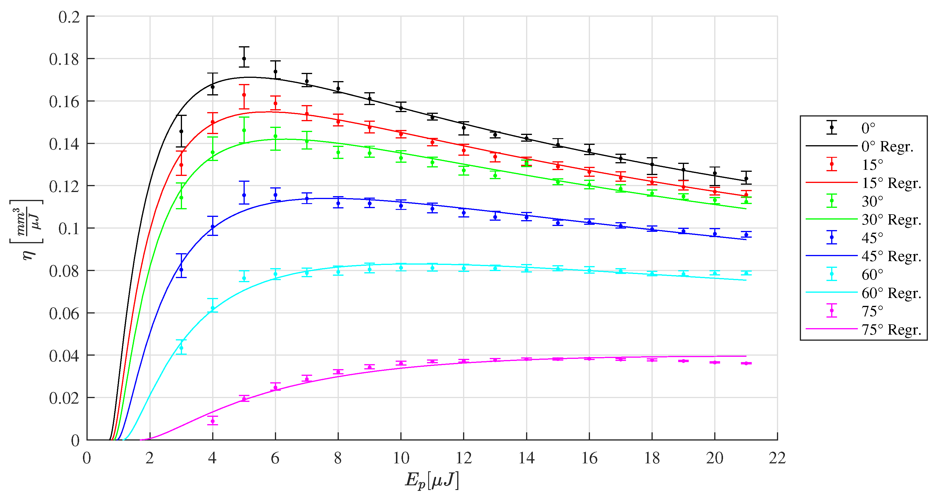
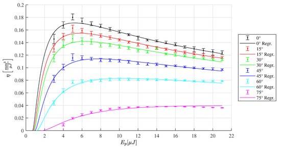
3. Results and Discussion
4. Application
5. Conclusions
Author Contributions
Funding
Institutional Review Board Statement
Informed Consent Statement
Data Availability Statement
Acknowledgments
Conflicts of Interest
References
- Dröder, K.; Karpuschewski, B.; Uhlmann, E.; Arrabiyeh, P.A.; Berger, D.; Busemann, S.; Hartig, J.; Madanchi, N.; Mahlfeld, G.; Sommerfeld, C. A comparative analysis of ceramic and cemented carbide end mills. Prod. Eng. 2020, 14, 355–364. [Google Scholar] [CrossRef]
- Whitney, E.D. Ceramic Cutting Tools: Materials, Development and Performance; Noyes Publications: Park Ridge, NJ, USA, 2012. [Google Scholar]
- Denkena, B.; Krödel, A.; Wippermann, A.; Wolters, P. Grinding of transformation-toughened mixed oxide ceramic. Int. J. Adv. Manufact. Technol. 2020, 109, 1463–1478. [Google Scholar] [CrossRef]
- El-Amir, A.A.M.; El-Maddah, A.A.; Ewais, E.M.M.; El-Sheikh, S.M.; Bayoumi, I.M.; Ahmed, Y. Sialon from synthesis to applications: An overview. J. Asian Ceramic Soci. 2021, 9, 1390–1418. [Google Scholar] [CrossRef]
- Yilbas, B.S.; Akhtar, S.S.; Ali, H.; Karatas, C.; Al-Qahtani, H. Laser treatment of SiAlON and surface characteristics. J. Manufact. Process. 2020, 56, 1230–1241. [Google Scholar] [CrossRef]
- Tshabalala, L.C.; Ntuli, C.P.; Fwamba, J.C.; Popoola, P.; Pityana, S.L. Surface Texturing of Sialon Ceramic by feMtosecond Pulsed Laser; Elsevier: Amsterdam, The Netherlands, 2017; Volume 7. [Google Scholar] [CrossRef]
- Pakuła, D.; Staszuk, M.; Dziekońska, M.; Kožmín, P.; Čermák, A. Laser Micro-Texturing of Sintered Tool Materials Surface. Materials 2019, 12, 3152. [Google Scholar] [CrossRef] [PubMed]
- Han, J.; Malek, O.; Vleugels, J.; Braem, A.; Castagne, S. Ultrashort pulsed laser ablation of zirconia-alumina composites for implant applications. J. Mater. Process. Technol. 2022, 299, 117335. [Google Scholar] [CrossRef]
- Ackerl, N.; Warhanek, M.; Gysel, J.; Wegener, K. Ultrashort-pulsed laser machining of dental ceramic implants. J. Eur. Ceramic Soc. 2019, 39, 1635–1641. [Google Scholar] [CrossRef]
- Ackerl, N.; Warhanek, M.; Gysel, J.; Wegener, K. Path calculation of 7-axes synchronous quasi-tangential laser manufacturing. Int. J. Adv. Manufact. Technol. 2019, 103, 1105–1116. [Google Scholar] [CrossRef]
- Warhanek, M.; Pfaff, J.; Martin, P.; Schönbächler, L.; Boos, J.; Wegener, K. Geometry Optimization of Polycrystalline Diamond Tools for the Milling of Sintered ZrO2. Procedia CIRP 2016, 46, 290–293. [Google Scholar] [CrossRef]
- Häfner, C.; Hajri, M.; Büttner, H.; Pfaff, J.; Wegener, K. FEM-Design & fabrication of a micro-milling tool by tangential laser machining. Procedia CIRP 2020, 95, 903–908. [Google Scholar] [CrossRef]
- Boerner, P.; Hajri, M.; Wahl, T.; Weixler, J.; Wegener, K. Picosecond pulsed laser ablation of dielectric rods: Angle-dependent ablation process model for laser micromachining. J. Appl. Phys. 2019, 125, 234902. [Google Scholar] [CrossRef]
- Neuenschwander, B.; Jaeggi, B.; Schmid, M.; Rouffiange, V.; Martin, P.E. Optimization of the volume ablation rate for metals at different laser pulse-durations from ps to fs. In Proceedings of the Laser Applications in Microelectronic and Optoelectronic Manufacturing (LAMOM) XVII. Int. Soc. Opt. Photon. 2012, 8243, 824307. [Google Scholar] [CrossRef]
- Poprawe, R.; Boucke, K.; Hoffman, D. Laser Beams. In Tailored Light 1: High Power Lasers for Production; Poprawe, R., Boucke, K., Hoffman, D., Eds.; RWTHedition, Springer: Berlin/Heidelberg, Germany, 2018; pp. 111–139. [Google Scholar] [CrossRef]
- Hajri, M.; Boerner, P.; Wegener, K. An industry-relevant method to determine material-specific parameters for ultra-short pulsed laser ablation of cemented carbide. Procedia CIRP 2018, 74, 709–713. [Google Scholar] [CrossRef]
- Noda, M.; Okuda, Y.; Tsuruki, J.; Minesaki, Y.; Takenouchi, Y.; Ban, S. Surface damages of zirconia by Nd: YAG dental laser irradiation. Dent. Mater. J. 2010, 29, 536–541. [Google Scholar] [CrossRef] [PubMed]
- Laude, L.D.; Ogeret, C.; Jadin, A.; Kolev, K. Excimer laser ablation of Y-SiAlON. Appl. Surf. Sci. 1998, 127-129, 848–851. [Google Scholar] [CrossRef]
- Shugaev, M.V.; Wu, C.; Armbruster, O.; Naghilou, A.; Brouwer, N.; Ivanov, D.S.; Derrien, T.J.Y.; Bulgakova, N.M.; Kautek, W.; Rethfeld, B.; et al. Fundamentals of ultrafast laser–material interaction. MRS Bull. 2016, 41, 960–968. [Google Scholar] [CrossRef]
- Armbruster, O.; Naghilou, A.; Kautek, W. The Role of Defects in Pulsed Laser Matter Interaction. In Advances in the Application of Lasers in Materials Science; Springer Series in Materials Science; Ossi, P.M., Ed.; Springer International Publishing: Cham, Switzerland, 2018; pp. 39–61. [Google Scholar] [CrossRef]
- Heiroth, S.; Koch, J.; Lippert, T.; Wokaun, A.; Günther, D.; Garrelie, F.; Guillermin, M. Laser ablation characteristics of yttria-doped zirconia in the nanosecond and femtosecond regimes. J. Appl. Phys. 2010, 107, 014908. [Google Scholar] [CrossRef]
- Han, J.; Zhang, F.; Van Meerbeek, B.; Vleugels, J.; Braem, A.; Castagne, S. Laser surface texturing of zirconia-based ceramics for dental applications: A review. Mater. Sci. Eng. C 2021, 123, 112034. [Google Scholar] [CrossRef] [PubMed]














| Indication | Symbol | LKT 550 | LST 320 | HTZ 500 LC |
|---|---|---|---|---|
| description | SiAlON | SiAlON (20 % TiN) | ATZ ceramic | |
| density | 3.24 | 3.53 | 5.96 | |
| Vickers hardness | HV 10 | 17.5 GPa | 16.6 GPa | 13 GPa (HV1) |
| 4-point bending strength | 1020 MPa | 850 MPa | 1858 MPa | |
| fracture toughness |
| Parameter | Unit | Value | |
|---|---|---|---|
| wavelength | [nm] | 1064 | |
| pulse duration | [ps] | 10 | |
| focal radius | [ | 14.4 | |
| tilt angle | [°] | 0–75 | |
| pulse energy | [ | 3–21 | |
| repetition rate | [kHz] | 400 | |
| scanspeed | [m/s] | 0.6 | |
| width of slot | l | [mm] | 0.6 |
| rotational speed | [rad/min] | 100 | |
| number of turns | R | [-] | 10 |
| number of pulses | N | [-] |
Disclaimer/Publisher’s Note: The statements, opinions and data contained in all publications are solely those of the individual author(s) and contributor(s) and not of MDPI and/or the editor(s). MDPI and/or the editor(s) disclaim responsibility for any injury to people or property resulting from any ideas, methods, instructions or products referred to in the content. |
© 2023 by the authors. Licensee MDPI, Basel, Switzerland. This article is an open access article distributed under the terms and conditions of the Creative Commons Attribution (CC BY) license (https://creativecommons.org/licenses/by/4.0/).
Share and Cite
Weixler, J.; Zweifel, M.; Schudeleit, T.; Bambach, M.; Wegener, K. Laser Ablation Study of Cutting Ceramics with Consideration of the Beam Inclination Angle. Materials 2023, 16, 2509. https://doi.org/10.3390/ma16062509
Weixler J, Zweifel M, Schudeleit T, Bambach M, Wegener K. Laser Ablation Study of Cutting Ceramics with Consideration of the Beam Inclination Angle. Materials. 2023; 16(6):2509. https://doi.org/10.3390/ma16062509
Chicago/Turabian StyleWeixler, Jodok, Marc Zweifel, Timo Schudeleit, Markus Bambach, and Konrad Wegener. 2023. "Laser Ablation Study of Cutting Ceramics with Consideration of the Beam Inclination Angle" Materials 16, no. 6: 2509. https://doi.org/10.3390/ma16062509
APA StyleWeixler, J., Zweifel, M., Schudeleit, T., Bambach, M., & Wegener, K. (2023). Laser Ablation Study of Cutting Ceramics with Consideration of the Beam Inclination Angle. Materials, 16(6), 2509. https://doi.org/10.3390/ma16062509

