Lithium-Ion Glass Gating of HgTe Nanocrystal Film with Designed Light-Matter Coupling
Abstract
1. Introduction
- Compatible with operations below room temperature;
- Solid state-based to be conveniently integrated into a device;
- Associated with a large capacitance to tune the relatively large thermally activated carrier density observed in narrow band gap NCs.
2. Materials and Methods
2.1. Nanocrystal Growth
2.2. Material Characterization
2.3. Electrical Characterization
2.4. Optical Resonator
3. Results and Discussion
3.1. Material of Interest with Short Wave Infrared Band Gap
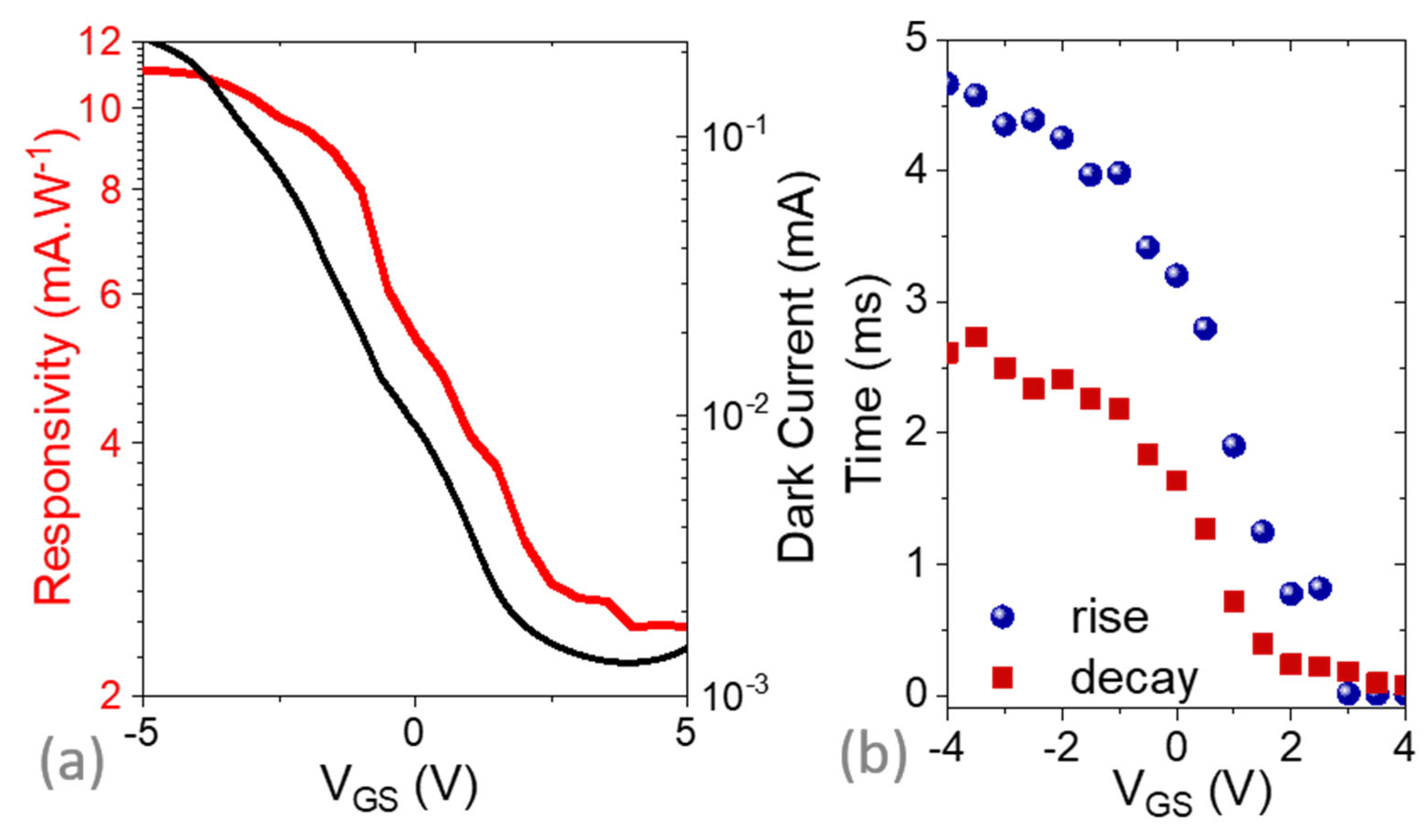
3.2. Gating Using Solid Electrolyte
3.3. Introduction of a Photonic Structure to Enhance the Absorption
4. Conclusions
Supplementary Materials
Author Contributions
Funding
Data Availability Statement
Conflicts of Interest
References
- Wang, Y.; Gu, Y.; Cui, A.; Li, Q.; He, T.; Zhang, K.; Wang, Z.; Li, Z.; Zhang, Z.; Wu, P.; et al. Fast Uncooled Mid-Wavelength Infrared Photodetectors with Heterostructures of van Der Waals on Epitaxial HgCdTe. Adv. Mater. 2022, 34, 2107772. [Google Scholar] [CrossRef] [PubMed]
- Lu, H.; Carroll, G.M.; Neale, N.R.; Beard, M.C. Infrared Quantum Dots: Progress, Challenges, and Opportunities. ACS Nano 2019, 13, 939–953. [Google Scholar] [CrossRef] [PubMed]
- Rogalski, A. Progress in Quantum Dot Infrared Photodetectors. In Quantum Dot Photodetectors; Tong, X., Wu, J., Wang, Z.M., Eds.; Lecture Notes in Nanoscale Science and Technology; Springer International Publishing: Cham, Switzerland, 2021; pp. 1–74. ISBN 978-3-030-74270-6. [Google Scholar]
- Pradhan, S.; Di Stasio, F.; Bi, Y.; Gupta, S.; Christodoulou, S.; Stavrinadis, A.; Konstantatos, G. High-Efficiency Colloidal Quantum Dot Infrared Light-Emitting Diodes via Engineering at the Supra-Nanocrystalline Level. Nat. Nanotechnol. 2019, 14, 72–79. [Google Scholar] [CrossRef] [PubMed]
- Qu, J.; Weis, M.; Izquierdo, E.; Mizrahi, S.G.; Chu, A.; Dabard, C.; Gréboval, C.; Bossavit, E.; Prado, Y.; Péronne, E.; et al. Electroluminescence from Nanocrystals above 2 µm. Nat. Photon. 2022, 16, 38–44. [Google Scholar] [CrossRef]
- Sayevich, V.; Robinson, Z.L.; Kim, Y.; Kozlov, O.V.; Jung, H.; Nakotte, T.; Park, Y.-S.; Klimov, V.I. Highly Versatile Near-Infrared Emitters Based on an Atomically Defined HgS Interlayer Embedded into a CdSe/CdS Quantum Dot. Nat. Nanotechnol. 2021, 16, 673–679. [Google Scholar] [CrossRef]
- Geiregat, P.; Houtepen, A.J.; Sagar, L.K.; Infante, I.; Zapata, F.; Grigel, V.; Allan, G.; Delerue, C.; Van Thourhout, D.; Hens, Z. Continuous-Wave Infrared Optical Gain and Amplified Spontaneous Emission at Ultralow Threshold by Colloidal HgTe Quantum Dots. Nat. Mater. 2018, 17, 35–42. [Google Scholar] [CrossRef]
- Cryer, M.E.; Browning, L.A.; Plank, N.O.V.; Halpert, J.E. Large Photogain in Multicolor Nanocrystal Photodetector Arrays Enabling Room-Temperature Detection of Targets Above 100 °C. ACS Photonics 2020, 7, 3078–3085. [Google Scholar] [CrossRef]
- Chen, M.; Lu, H.; Abdelazim, N.M.; Zhu, Y.; Wang, Z.; Ren, W.; Kershaw, S.V.; Rogach, A.L.; Zhao, N. Mercury Telluride Quantum Dot Based Phototransistor Enabling High-Sensitivity Room-Temperature Photodetection at 2000 nm. ACS Nano 2017, 11, 5614–5622. [Google Scholar] [CrossRef]
- Dong, Y.; Chen, M.; Yiu, W.K.; Zhu, Q.; Zhou, G.; Kershaw, S.V.; Ke, N.; Wong, C.P.; Rogach, A.L.; Zhao, N. Solution Processed Hybrid Polymer: HgTe Quantum Dot Phototransistor with High Sensitivity and Fast Infrared Response up to 2400 Nm at Room Temperature. Adv. Sci. 2020, 7, 2000068. [Google Scholar] [CrossRef]
- Bossavit, E.; Qu, J.; Abadie, C.; Dabard, C.; Dang, T.; Izquierdo, E.; Khalili, A.; Gréboval, C.; Chu, A.; Pierini, S.; et al. Optimized Infrared LED and Its Use in an All-HgTe Nanocrystal-Based Active Imaging Setup. Adv. Opt. Mater. 2022, 10, 2101755. [Google Scholar] [CrossRef]
- Pejović, V.; Georgitzikis, E.; Lee, J.; Lieberman, I.; Cheyns, D.; Heremans, P.; Malinowski, P.E. Infrared Colloidal Quantum Dot Image Sensors. IEEE Trans. Electron. Devices 2021, 69, 2840–2850. [Google Scholar] [CrossRef]
- Erwin, S.C.; Zu, L.; Haftel, M.I.; Efros, A.L.; Kennedy, T.A.; Norris, D.J. Doping Semiconductor Nanocrystals. Nature 2005, 436, 91–94. [Google Scholar] [CrossRef] [PubMed]
- Talapin, D.V.; Murray, C.B. PbSe Nanocrystal Solids for N- and p-Channel Thin Film Field-Effect Transistors. Science 2005, 310, 86–89. [Google Scholar] [CrossRef]
- Shulga, A.G.; Kahmann, S.; Dirin, D.N.; Graf, A.; Zaumseil, J.; Kovalenko, M.V.; Loi, M.A. Electroluminescence Generation in PbS Quantum Dot Light-Emitting Field-Effect Transistors with Solid-State Gating. ACS Nano 2018, 12, 12805–12813. [Google Scholar] [CrossRef] [PubMed]
- Lan, X.; Chen, M.; Hudson, M.H.; Kamysbayev, V.; Wang, Y.; Guyot-Sionnest, P.; Talapin, D.V. Quantum Dot Solids Showing State-Resolved Band-like Transport. Nat. Mater. 2020, 19, 323–329. [Google Scholar] [CrossRef]
- Lhuillier, E.; Keuleyan, S.; Zolotavin, P.; Guyot-Sionnest, P. Mid-Infrared HgTe/As2S3 Field Effect Transistors and Photodetectors. Adv. Mater. 2013, 25, 137–141. [Google Scholar] [CrossRef]
- Chung, D.S.; Lee, J.-S.; Huang, J.; Nag, A.; Ithurria, S.; Talapin, D.V. Low Voltage, Hysteresis Free, and High Mobility Transistors from All-Inorganic Colloidal Nanocrystals. Nano Lett. 2012, 12, 1813–1820. [Google Scholar] [CrossRef]
- Lim, B.T.; Cho, J.; Cheon, K.H.; Sim, K.M.; Shin, K.; Chung, D.S. Zirconium Oxide Dielectric Layer Grown by a Surface Sol–Gel Method for Low-Voltage, Hysteresis-Free, and High-Mobility Polymer Field Effect Transistors. Org. Electron. 2016, 28, 1–5. [Google Scholar] [CrossRef]
- Kim, H.; Cho, K.; Kim, D.W.; Lee, H.R.; Kim, S. Bottom- and Top-Gate Field-Effect Thin-Film Transistors with p Channels of Sintered HgTe Nanocrystals. Appl. Phys. Lett. 2006, 89, 173107. [Google Scholar] [CrossRef]
- Kim, D.-W.; Jang, J.; Kim, H.; Cho, K.; Kim, S. Electrical Characteristics of HgTe Nanocrystal-Based Thin Film Transistors Fabricated on Flexible Plastic Substrates. Thin Solid Film. 2008, 516, 7715–7719. [Google Scholar] [CrossRef]
- Gréboval, C.; Dabard, C.; Konstantinov, N.; Cavallo, M.; Chee, S.-S.; Chu, A.; Dang, T.H.; Khalili, A.; Izquierdo, E.; Prado, Y.; et al. Split-Gate Photodiode Based on Graphene/HgTe Heterostructures with a Few Nanosecond Photoresponse. ACS Appl. Electron. Mater. 2021, 3, 4681–4688. [Google Scholar] [CrossRef]
- Chee, S.-S.; Gréboval, C.; Magalhaes, D.V.; Ramade, J.; Chu, A.; Qu, J.; Rastogi, P.; Khalili, A.; Dang, T.H.; Dabard, C.; et al. Correlating Structure and Detection Properties in HgTe Nanocrystal Films. Nano Lett. 2021, 21, 4145–4151. [Google Scholar] [CrossRef]
- Shulga, A.G.; Piveteau, L.; Bisri, S.Z.; Kovalenko, M.V.; Loi, M.A. Double Gate PbS Quantum Dot Field-Effect Transistors for Tuneable Electrical Characteristics. Adv. Electron. Mater. 2016, 2, 1500467. [Google Scholar] [CrossRef]
- Gréboval, C.; Chu, A.; Magalhaes, D.V.; Ramade, J.; Qu, J.; Rastogi, P.; Khalili, A.; Chee, S.-S.; Aubin, H.; Vincent, G.; et al. Ferroelectric Gating of Narrow Band-Gap Nanocrystal Arrays with Enhanced Light–Matter Coupling. ACS Photonics 2021, 8, 259–268. [Google Scholar] [CrossRef]
- Liu, H.; Keuleyan, S.; Guyot-Sionnest, P. N- and p-Type HgTe Quantum Dot Films. J. Phys. Chem. C 2012, 116, 1344–1349. [Google Scholar] [CrossRef]
- Livache, C.; Izquierdo, E.; Martinez, B.; Dufour, M.; Pierucci, D.; Keuleyan, S.; Cruguel, H.; Becerra, L.; Fave, J.L.; Aubin, H.; et al. Charge Dynamics and Optolectronic Properties in HgTe Colloidal Quantum Wells. Nano Lett. 2017, 17, 4067–4074. [Google Scholar] [CrossRef]
- Houtepen, A.J.; Vanmaekelbergh, D. Orbital Occupation in Electron-Charged CdSe Quantum-Dot Solids. J. Phys. Chem. B 2005, 109, 19634–19642. [Google Scholar] [CrossRef]
- Roest, A.L.; Houtepen, A.J.; Kelly, J.J.; Vanmaekelbergh, D. Electron-Conducting Quantum-Dot Solids with Ionic Charge Compensation. Faraday Discuss. 2004, 125, 55–62. [Google Scholar] [CrossRef]
- Mulder, J.T.; du Fossé, I.; Alimoradi Jazi, M.; Manna, L.; Houtepen, A.J. Electrochemical P-Doping of CsPbBr3 Perovskite Nanocrystals. ACS Energy Lett. 2021, 6, 2519–2525. [Google Scholar] [CrossRef]
- Noumbé, U.N.; Gréboval, C.; Livache, C.; Chu, A.; Majjad, H.; Parra López, L.E.; Mouafo, L.D.N.; Doudin, B.; Berciaud, S.; Chaste, J.; et al. Reconfigurable 2D/0D p–n Graphene/HgTe Nanocrystal Heterostructure for Infrared Detection. ACS Nano 2020, 14, 4567–4576. [Google Scholar] [CrossRef]
- Gréboval, C.; Noumbe, U.; Goubet, N.; Livache, C.; Ramade, J.; Qu, J.; Chu, A.; Martinez, B.; Prado, Y.; Ithurria, S.; et al. Field-Effect Transistor and Photo-Transistor of Narrow-Band-Gap Nanocrystal Arrays Using Ionic Glasses. Nano Lett. 2019, 19, 3981–3986. [Google Scholar] [CrossRef] [PubMed]
- Gréboval, C.; Noumbé, U.N.; Chu, A.; Prado, Y.; Khalili, A.; Dabard, C.; Dang, T.H.; Colis, S.; Chaste, J.; Ouerghi, A.; et al. Gate Tunable Vertical Geometry Phototransistor Based on Infrared HgTe Nanocrystals. Appl. Phys. Lett. 2020, 117, 251104. [Google Scholar] [CrossRef]
- Wang, H.; Liu, Q.; Feng, X.; Zhang, Z.; Wang, K.; Liu, Z.; Dai, J.-F. An Ambipolar Transistor Based on a Monolayer WS 2 Using Lithium Ions Injection. Mater. Res. Express 2020, 7, 076302. [Google Scholar] [CrossRef]
- Philippi, M.; Gutiérrez-Lezama, I.; Ubrig, N.; Morpurgo, A.F. Lithium-Ion Conducting Glass Ceramics for Electrostatic Gating. Appl. Phys. Lett. 2018, 113, 033502. [Google Scholar] [CrossRef]
- Zhao, J.; Wang, M.; Li, H.; Zhang, X.; You, L.; Qiao, S.; Gao, B.; Xie, X.; Jiang, M. Lithium-Ion-Based Solid Electrolyte Tuning of the Carrier Density in Graphene. Sci. Rep. 2016, 6, 34816. [Google Scholar] [CrossRef]
- Alam, M.H.; Xu, Z.; Chowdhury, S.; Jiang, Z.; Taneja, D.; Banerjee, S.K.; Lai, K.; Braga, M.H.; Akinwande, D. Lithium-Ion Electrolytic Substrates for Sub-1V High-Performance Transition Metal Dichalcogenide Transistors and Amplifiers. Nat. Commun. 2020, 11, 3203. [Google Scholar] [CrossRef]
- Zhu, C.S.; Cui, J.H.; Lei, B.; Wang, N.Z.; Shang, C.; Meng, F.B.; Ma, L.K.; Luo, X.G.; Wu, T.; Sun, Z.; et al. Tuning Electronic Properties of FeSe 0.5 Te 0.5 Thin Flakes Using a Solid Ion Conductor Field-Effect Transistor. Phys. Rev. B 2017, 95, 174513. [Google Scholar] [CrossRef]
- Gréboval, C.; Chu, A.; Goubet, N.; Livache, C.; Ithurria, S.; Lhuillier, E. Mercury Chalcogenide Quantum Dots: Material Perspective for Device Integration. Chem. Rev. 2021, 121, 3627–3700. [Google Scholar] [CrossRef]
- Prado, Y.; Qu, J.; Gréboval, C.; Dabard, C.; Rastogi, P.; Chu, A.; Khalili, A.; Xu, X.Z.; Delerue, C.; Ithurria, S.; et al. Seeded Growth of HgTe Nanocrystals for Shape Control and Their Use in Narrow Infrared Electroluminescence. Chem. Mater. 2021, 33, 2054–2061. [Google Scholar] [CrossRef]
- Keuleyan, S.; Lhuillier, E.; Guyot-Sionnest, P. Synthesis of Colloidal HgTe Quantum Dots for Narrow Mid-IR Emission and Detection. J. Am. Chem. Soc. 2011, 133, 16422–16424. [Google Scholar] [CrossRef]
- Martinez, B.; Ramade, J.; Livache, C.; Goubet, N.; Chu, A.; Gréboval, C.; Qu, J.; Watkins, W.L.; Becerra, L.; Dandeu, E.; et al. HgTe Nanocrystal Inks for Extended Short-Wave Infrared Detection. Adv. Opt. Mater. 2019, 7, 1900348. [Google Scholar] [CrossRef]
- Rastogi, P.; Chu, A.; Dang, T.H.; Prado, Y.; Gréboval, C.; Qu, J.; Dabard, C.; Khalili, A.; Dandeu, E.; Fix, B.; et al. Complex Optical Index of HgTe Nanocrystal Infrared Thin Films and Its Use for Short Wave Infrared Photodiode Design. Adv. Opt. Mater. 2021, 9, 2002066. [Google Scholar] [CrossRef]
- Olmon, R.L.; Slovick, B.; Johnson, T.W.; Shelton, D.; Oh, S.-H.; Boreman, G.D.; Raschke, M.B. Optical Dielectric Function of Gold. Phys. Rev. B 2012, 86, 235147. [Google Scholar] [CrossRef]
- Dang, T.H.; Khalili, A.; Abadie, C.; Gréboval, C.; Cavallo, M.; Zhang, H.; Bossavit, E.; Utterback, J.K.; Dandeu, E.; Prado, Y.; et al. Nanocrystal-Based Active Photonics Device through Spatial Design of Light-Matter Coupling. ACS Photonics 2022, 9, 2528–2535. [Google Scholar] [CrossRef]
- Lhuillier, E.; Robin, A.; Ithurria, S.; Aubin, H.; Dubertret, B. Electrolyte-Gated Colloidal Nanoplatelets-Based Phototransistor and Its Use for Bicolor Detection. Nano Lett. 2014, 14, 2715–2719. [Google Scholar] [CrossRef]
- Lhuillier, E.; Keuleyan, S.; Guyot-Sionnest, P. Optical Properties of HgTe Colloidal Quantum Dots. Nanotechnology 2012, 23, 175705. [Google Scholar] [CrossRef]
- Chen, M.; Lu, L.; Yu, H.; Li, C.; Zhao, N. Integration of Colloidal Quantum Dots with Photonic Structures for Optoelectronic and Optical Devices. Adv. Sci. 2021, 8, 2101560. [Google Scholar] [CrossRef]
- Maës, C.; Vincent, G.; Flores, F.G.-P.; Cerutti, L.; Haïdar, R.; Taliercio, T. Infrared Spectral Filter Based on All-Semiconductor Guided-Mode Resonance. Opt. Lett. 2019, 44, 3090–3093. [Google Scholar] [CrossRef]
- Sharon, A.; Rosenblatt, D.; Friesem, A.A. Resonant Grating–Waveguide Structures for Visible and near-Infrared Radiation. J. Opt. Soc. Am. A 1997, 14, 2985–2993. [Google Scholar] [CrossRef]
- Chu, A.; Gréboval, C.; Goubet, N.; Martinez, B.; Livache, C.; Qu, J.; Rastogi, P.; Bresciani, F.A.; Prado, Y.; Suffit, S.; et al. Near Unity Absorption in Nanocrystal Based Short Wave Infrared Photodetectors Using Guided Mode Resonators. ACS Photonics 2019, 6, 2553–2561. [Google Scholar] [CrossRef]
- Moghaddam, N.; Gréboval, C.; Qu, J.; Chu, A.; Rastogi, P.; Livache, C.; Khalili, A.; Xu, X.Z.; Baptiste, B.; Klotz, S.; et al. The Strong Confinement Regime in HgTe Two-Dimensional Nanoplatelets. J. Phys. Chem. C 2020, 124, 23460–23468. [Google Scholar] [CrossRef]
- Guo, N.; Xiao, L.; Gong, F.; Luo, M.; Wang, F.; Jia, Y.; Chang, H.; Liu, J.; Li, Q.; Wu, Y.; et al. Light-Driven WSe 2 -ZnO Junction Field-Effect Transistors for High-Performance Photodetection. Adv. Sci. 2020, 7, 1901637. [Google Scholar] [CrossRef] [PubMed]
- Konstantatos, G.; Sargent, E.H. PbS Colloidal Quantum Dot Photoconductive Photodetectors: Transport, Traps, and Gain. Appl. Phys. Lett. 2007, 91, 173505. [Google Scholar] [CrossRef]
- Chu, A.; Gréboval, C.; Prado, Y.; Majjad, H.; Delerue, C.; Dayen, J.-F.; Vincent, G.; Lhuillier, E. Infrared Photoconduction at the Diffusion Length Limit in HgTe Nanocrystal Arrays. Nat. Commun. 2021, 12, 1794. [Google Scholar] [CrossRef]
- Liu, H.; Lhuillier, E.; Guyot-Sionnest, P. 1/f Noise in Semiconductor and Metal Nanocrystal Solids. J. Appl. Phys. 2014, 115, 154309. [Google Scholar] [CrossRef]
- Lai, Y.; Li, H.; Kim, D.K.; Diroll, B.T.; Murray, C.B.; Kagan, C.R. Low-Frequency (1/f) Noise in Nanocrystal Field-Effect Transistors. ACS Nano 2014, 8, 9664–9672. [Google Scholar] [CrossRef]




| Gate Technology | Dielectric | Ionic Glass | Ion Gel Electrolyte | Solid State Li Electrolyte |
|---|---|---|---|---|
| Temperature range | 4 K–300 K | 180 K–260 K | 300 K | 150–300 K |
| Sweep-rate range | Fast (several V·s−1) | Intermediate (0.1 V·s−1) | Slow (1 mV·s−1) | Better below 10 mV·s−1 |
| Subthreshold slope | 3400 mV/decade | 1200 mV/decade | 152 mV/decade | 1200 mV/decade |
| Gate voltage range | <60 V (dielectric breakdown) | Up to 10 V at 200 K | <3 V (electrochemical stability of the electrolyte) | Tested up to 7 V |
Disclaimer/Publisher’s Note: The statements, opinions and data contained in all publications are solely those of the individual author(s) and contributor(s) and not of MDPI and/or the editor(s). MDPI and/or the editor(s) disclaim responsibility for any injury to people or property resulting from any ideas, methods, instructions or products referred to in the content. |
© 2023 by the authors. Licensee MDPI, Basel, Switzerland. This article is an open access article distributed under the terms and conditions of the Creative Commons Attribution (CC BY) license (https://creativecommons.org/licenses/by/4.0/).
Share and Cite
Pierini, S.; Abadie, C.; Dang, T.H.; Khalili, A.; Zhang, H.; Cavallo, M.; Prado, Y.; Gallas, B.; Ithurria, S.; Sauvage, S.; et al. Lithium-Ion Glass Gating of HgTe Nanocrystal Film with Designed Light-Matter Coupling. Materials 2023, 16, 2335. https://doi.org/10.3390/ma16062335
Pierini S, Abadie C, Dang TH, Khalili A, Zhang H, Cavallo M, Prado Y, Gallas B, Ithurria S, Sauvage S, et al. Lithium-Ion Glass Gating of HgTe Nanocrystal Film with Designed Light-Matter Coupling. Materials. 2023; 16(6):2335. https://doi.org/10.3390/ma16062335
Chicago/Turabian StylePierini, Stefano, Claire Abadie, Tung Huu Dang, Adrien Khalili, Huichen Zhang, Mariarosa Cavallo, Yoann Prado, Bruno Gallas, Sandrine Ithurria, Sébastien Sauvage, and et al. 2023. "Lithium-Ion Glass Gating of HgTe Nanocrystal Film with Designed Light-Matter Coupling" Materials 16, no. 6: 2335. https://doi.org/10.3390/ma16062335
APA StylePierini, S., Abadie, C., Dang, T. H., Khalili, A., Zhang, H., Cavallo, M., Prado, Y., Gallas, B., Ithurria, S., Sauvage, S., Dayen, J. F., Vincent, G., & Lhuillier, E. (2023). Lithium-Ion Glass Gating of HgTe Nanocrystal Film with Designed Light-Matter Coupling. Materials, 16(6), 2335. https://doi.org/10.3390/ma16062335

