Dynamic Multi-Mode Mie Model for Gain-Assisted Metal Nano-Spheres
Abstract
1. Introduction
2. Constitutive System of Equations
2.1. Rotational Fields and How Too Much Gain Breaks the Quasi-Static Limit
2.2. Polarization Projections on Vector Spherical Harmonics
3. Numerical Solutions
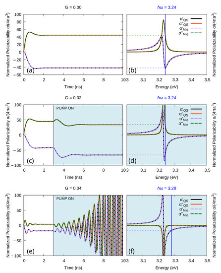
3.1. Quasi-Static Limit and Beyond
3.2. Time Dependence of Mie Coefficients
3.3. Sub Emissive Gain-Driven Field “Sculpturing”


4. Discussion
5. Conclusions
Author Contributions
Funding
Institutional Review Board Statement
Informed Consent Statement
Data Availability Statement
Acknowledgments
Conflicts of Interest
References
- Ramakrishna, S.A.; Pendry, J.B. Removal of absorption and increase in resolution in a near-field lens via optical gain. Phys. Rev. B 2003, 67, 201101.1–201101.4. [Google Scholar] [CrossRef]
- Lawandy, N.M. Localized Surface Plasmon Singularities in Amplifying Media. Appl. Phys. Lett. 2004, 85, 5040–5042. [Google Scholar] [CrossRef]
- Noginov, M.A.; Zhu, G.; Bahoura, M.; Adegoke, J.; Small, C.E.; Ritzo, B.A.; Drachev, V.P.; Shalaev, V.M. Enhancement of surface plasmons in an Ag aggregate by optical gain in a dielectric medium. Opt. Lett. 2006, 31, 3022–3024. [Google Scholar] [CrossRef]
- Sarychev, A.; Tartakovsky, G. Magnetic plasmonic metamaterials in actively pumped host medium and plasmonic nanolaser. Phys. Rev. B 2007, 75, 085436. [Google Scholar] [CrossRef]
- Zhou, J.; Koschny, T.; Soukoulis, C.M. An efficient way to reduce losses of left-handed metamaterials. Opt. Express 2008, 16, 11147–11152. [Google Scholar] [CrossRef] [PubMed]
- Oulton, R.F.; Sorger, V.J.; Zentgraf, T.; Ma, R.M.; Gladden, C.; Dai, L.; Bartal, G.; Zhang, X. Plasmon lasers at deep subwavelength scale. Nature 2009, 461, 629–632. [Google Scholar] [CrossRef] [PubMed]
- Abdolvand, A.; Podlipensky, A.; Seifert, G.; Graener, H. Fine optical structuring in glass with embedded elliptical silver nanoparticles using dc electric field. In Proceedings of the EQEC ’05. European Quantum Electronics Conference, Munich, Germany, 12–17 June 2005; p. 347. [Google Scholar] [CrossRef]
- Su, K.H.; Wei, Q.H.; Zhang, X.; Mock, J.; Smith, D.; Schultz, S. Surface plasmon coupling between two nano Au particles. In Proceedings of the 2003 Third IEEE Conference on Nanotechnology, San Francisco, CA, USA, 12–14 August 2003; Volume 1, pp. 279–282. [Google Scholar] [CrossRef]
- Kelly, K.L.; Coronado, E.; Zhao, L.L.; Schatz, G.C. The Optical Properties of Metal Nanoparticles: The Influence of Size, Shape, and Dielectric Environment. J. Phys. Chem. B 2003, 107, 668–677. [Google Scholar] [CrossRef]
- Fang, A.; Koschny, T.; Soukoulis, C. Self-consistent calculations of loss-compensated fishnet metamaterials. Phys. Rev. B 2010, 82, 121102. [Google Scholar] [CrossRef]
- Xiao, S.; Drachev, V.; Kildishev, A.; Ni, X.; Chettiar, U.; Yuan, H.; Shalaev, V. Loss-free and active optical negative-index metamaterials. Nature 2010, 466, 735–738. [Google Scholar] [CrossRef]
- Chipouline, A.; Petschulat, J.; Tuennermann, A.; Pertsch, T.; Menzel, C.; Rockstuhl, C.; Lederer, F.; Fedotov, V.A. Multipole model for metamaterials with gain: From nano-laser to quantum metamaterials. In Proceedings of the SPIE—The International Society for Optical Engineering, Prague, Czech Republic, 17 May 2011; 8070, pp. 123–131. [Google Scholar] [CrossRef]
- Liu, S.; Li, J.; Zhou, F.; Gan, L.; Li, Z. Efficient surface plasmon amplification from gain-assisted gold nanorods. Opt. Lett. 2011, 36, 1296–1298. [Google Scholar] [CrossRef]
- Wuestner, S.; Pusch, A.; Tsakmakidis, K.; Hamm, J.; Hess, O. Overcoming losses with gain in a negative refractive index metamaterial. Phys. Rev. Lett. 2010, 105, 127401. [Google Scholar] [CrossRef]
- Bolger, P.; Dickson, W.; Krasavin, A.; Liebscher, L.; Hickey, S.; Skryabin, D.; Zayats, A. Amplified spontaneous emission of surface plasmon polaritons and limitations on the increase of their propagation length. Opt. Lett. 2010, 35, 1197–1199. [Google Scholar] [CrossRef] [PubMed]
- Strangi, G.; De Luca, A.; Ravaine, S.; Ferrie, M.; Bartolino, R. Gain induced optical transparency in metamaterials. Appl. Phys. Lett. 2011, 98, 251912. [Google Scholar] [CrossRef]
- De Luca, A.; Grzelczak, M.P.; Pastoriza-Santos, I.; Liz-Marzán, L.M.; Deda, M.L.; Striccoli, M.; Strangi, G. Dispersed and Encapsulated Gain Medium in Plasmonic Nanoparticles: A Multipronged Approach to Mitigate Optical Losses. ACS Nano 2011, 5, 5823–5829. [Google Scholar] [CrossRef] [PubMed]
- Infusino, M.; De Luca, A.; Veltri, A.; Vázquez-Vázquez, C.; Correa-Duarte, M.; Dhama, R.; Strangi, G. Loss-Mitigated Collective Resonances in Gain-Assisted Plasmonic Mesocapsules. ACS Photonics 2014, 1, 371–376. [Google Scholar] [CrossRef]
- Rahimi Rashed, A.; De Luca, A.; Dhama, R.; Hosseinzadeh, A.; Infusino, M.; El Kabbash, M.; Ravaine, S.; Bartolino, R.; Strangi, G. Battling absorptive losses by plasmon-exciton coupling in multimeric nanostructures. RSC Adv. 2015, 5, 53245–53254. [Google Scholar] [CrossRef]
- Schurig, D.; Mock, J.J.; Justice, B.J.; Cummer, S.A.; Starr, J.B.P.a.A.F.; Smith, D.R. Metamaterial Electromagnetic Cloak at Microwave Frequencies. Science 2006, 314, 977–980. [Google Scholar] [CrossRef]
- Cai, W.; Chettiar, U.K.; Kildishev, A.V.; Shalaev, V.M. Optical Cloaking with Metamaterials. Nat. Photon. 2008, 1, 224–227. [Google Scholar] [CrossRef]
- Veltri, A. Designs for electromagnetic cloaking a three-dimensional arbitrary shaped star-domain. Opt. Express 2009, 17, 20494–20501. [Google Scholar] [CrossRef] [PubMed]
- Zhang, X.; Liu, Z. Superlenses to overcome the diffraction limit. Nat. Mater. 2008, 7, 435–441. [Google Scholar] [CrossRef]
- Haxha, S.; AbdelMalek, F.; Ouerghi, F.; Charlton, M.D.B.; Aggoun, A.; Fang, X. Metamaterial Superlenses Operating at Visible Wavelength for Imaging Applications. Sci. Rep. 2018, 8, 16119. [Google Scholar] [CrossRef] [PubMed]
- Plum, E.; Fedotov, V.; Kuo, P.; Tsai, D.; Zheludev, N. Towards the lasing spaser: Controlling metamaterial optical response with semiconductor quantum dots. Opt. Express 2009, 17, 8548–8550. [Google Scholar] [CrossRef] [PubMed]
- Zheludev, N.; Prosvirnin, S.; Papasimakis, N.; Fedotov, V. Lasing Spaser. Nat. Photon. 2008, 2, 351–354. [Google Scholar] [CrossRef]
- Stockman, M.I. Spasers explained. Nat. Photonics 2008, 2, 327–329. [Google Scholar] [CrossRef]
- Hill, M.T.; Marell, M.; Leong, E.S.P.; Smalbrugge, B.; Zhu, Y.; Sun, M.; Veldhoven, P.J.V.; Geluk, E.J.; Karouta, F.; Oei, Y.S.; et al. Lasing in metal-insulator-metal sub-wavelength plasmonic waveguides. Opt. Express 2009, 17, 11107–11112. [Google Scholar] [CrossRef] [PubMed]
- Noginov, M.A.; Zhu, G.; Belgrave, A.M.; Bakker, R.; Shalaev, V.M.; Narimanov, E.E.; Stout, S.; Herz, E.; Suteewong, T.; Wiesner, U. Demonstration of a spaser-based nanolaser. Nature 2009, 460, 1110–1112. [Google Scholar] [CrossRef] [PubMed]
- Galanzha, E.I.; Weingold, R.; Nedosekin, D.A.; Sarimollaoglu, M.; Nolan, J.; Harrington, W.; Kuchyanov, A.S.; Parkhomenko, R.G.; Watanabe, F.; Nima, Z.; et al. Spaser as a biological probe. Nat. Commun. 2017, 8, 1–7. [Google Scholar] [CrossRef]
- Alix-Panabières, C.; Pantel, K. Biological labels: Here comes the spaser. Nat. Mater. 2017, 16, 790–791. [Google Scholar] [CrossRef]
- Azzam, S.I.; Kildishev, A.V.; Ma, R.M.; Ning, C.Z.; Oulton, R.; Shalaev, V.M.; Stockman, M.I.; Xu, J.L.; Zhang, X. Ten years of spasers and plasmonic nanolasers. Light. Sci. Appl. 2020, 9, 90. [Google Scholar] [CrossRef]
- Veltri, A.; Aradian, A. Optical response of a metallic nanoparticle immersed in a medium with optical gain. Phys. Rev. B 2012, 85, 115429. [Google Scholar] [CrossRef]
- Veltri, A.; Chipouline, A.; Aradian, A. Multipolar, time-dynamical model for the loss compensation and lasing of a spherical plasmonic nanoparticle spaser immersed in an active gain medium. Sci. Rep. 2016, 6, 33018. [Google Scholar] [CrossRef] [PubMed]
- Pezzi, L.; Palermo, G.; Veltri, A.; Cataldi, U.; Bürgi, T.; Ritacco, T.; Giocondo, M.; Umeton, C.; De Luca, A. Photo-thermal study of a layer of randomly distributed gold nanoparticles: From nano-localization to macro-scale effects. J. Phys. D Appl. Phys. 2017, 50, 435302. [Google Scholar] [CrossRef]
- Polimeno, P.; Patti, F.; Infusino, M.; Sanchez, J.J.; Iati, M.A.; Saija, R.; Volpe, G.; Marago, O.M.; Veltri, A. Gain-Assisted Optomechanical Position Locking of Metal/Dielectric Nanoshells in Optical Potentials. ACS Photonics 2020, 7, 1262–1270. [Google Scholar] [CrossRef]
- Polimeno, P.; Patti, F.; Infusino, M.; Iatì, M.A.; Saija, R.; Volpe, G.; Maragò, O.M.; Veltri, A. Optical trapping of gain-assisted plasmonic nano-shells: Theorical study of the optical forces in a pumped regime below the emission threshold. In Proceedings of the Optical Trapping and Optical Micromanipulation XVIII; Dholakia, K., Spalding, G.C., Eds.; International Society for Optics and Photonics, SPIE: San Diego, CA, USA, 2021; Volume 11798, pp. 170–177. [Google Scholar]
- Bohren, C.F.; Huffman, D.R. Absorption and Scattering of Light by Small Particles; WILEY-VCH Verlag GmbH & Co. KGaA: Hoboken, NJ, USA, 1998. [Google Scholar]
- Caicedo, K.; Cathey, A.; Infusino, M.; Aradian, A.; Veltri, A. Gain-driven singular resonances in active core-shell and nano-shell plasmonic particles. J. Opt. Soc. Am. B 2022, 39, 107. [Google Scholar] [CrossRef]






Disclaimer/Publisher’s Note: The statements, opinions and data contained in all publications are solely those of the individual author(s) and contributor(s) and not of MDPI and/or the editor(s). MDPI and/or the editor(s) disclaim responsibility for any injury to people or property resulting from any ideas, methods, instructions or products referred to in the content. |
© 2023 by the authors. Licensee MDPI, Basel, Switzerland. This article is an open access article distributed under the terms and conditions of the Creative Commons Attribution (CC BY) license (https://creativecommons.org/licenses/by/4.0/).
Share and Cite
Recalde, N.; Bustamante, D.; Infusino, M.; Veltri, A. Dynamic Multi-Mode Mie Model for Gain-Assisted Metal Nano-Spheres. Materials 2023, 16, 1911. https://doi.org/10.3390/ma16051911
Recalde N, Bustamante D, Infusino M, Veltri A. Dynamic Multi-Mode Mie Model for Gain-Assisted Metal Nano-Spheres. Materials. 2023; 16(5):1911. https://doi.org/10.3390/ma16051911
Chicago/Turabian StyleRecalde, Nicole, Daniel Bustamante, Melissa Infusino, and Alessandro Veltri. 2023. "Dynamic Multi-Mode Mie Model for Gain-Assisted Metal Nano-Spheres" Materials 16, no. 5: 1911. https://doi.org/10.3390/ma16051911
APA StyleRecalde, N., Bustamante, D., Infusino, M., & Veltri, A. (2023). Dynamic Multi-Mode Mie Model for Gain-Assisted Metal Nano-Spheres. Materials, 16(5), 1911. https://doi.org/10.3390/ma16051911

