Removal of Methylene Blue from Aqueous Solution by Mixture of Reused Silica Gel Desiccant and Natural Sand or Eggshell Waste
Abstract
1. Introduction
2. Materials and Methods
2.1. Materials
2.2. Preparation of the Adsorbents
2.2.1. Silica Gel Powder (SG)
2.2.2. Iraq Silica Sand Powder (SI)
2.2.3. Preparation of Eggshell Powder (ES)
2.2.4. Preparation of Powder Mixtures
2.3. Characterization
2.4. Adsorption Experiments
- where:
- RE—MB removal efficiency, %;
- C0—initial MB concentration, mg/L;
- Ct—MB concentration at time t, mg/L.
- where:
- V—solution volume, L;
- m—adsorbent weight, g;
- qt—MB adsorption capacity after time of contact of solution with the adsorbent, mg/g.
2.5. Kinetic Adsorption and Equilibrium Isotherms
3. Results and Discussion
3.1. X-ray Diffraction Results
3.2. Scanning Electron Microscopic and Energy-Dispersive X-ray Analysis Results
3.3. Fourier Transform Infrared (FTIR) Spectroscopy
3.4. Low-Temperature Nitrogen Adsorption
3.5. Thermogravimetric Analysis Results
3.6. Methylene Blue Adsorption from Water Solution
| Adsorbent Material | Initial Concentration, mg/L | RE, % | qt, mg/g | Ref. |
|---|---|---|---|---|
| diatomite | 100.0 | 100.0 | 101.10 | [75] |
| eggshell + membrane | 1000.0 | >95.0 | 94.90 | [38] |
| brown peat | 800.0 | >93.0 | 24. 27 | [76] |
| Sahara desert sand | 13.1 | 90.0 | 11.98 | [57] |
| sand | 100.0–900.0 | >99.0 | 2.50 | [37] |
| coal fly ash (zeolite) | 6.4 | 71.0 | 1.85 | [77] |
| SiO2 desiccant (SG) | 10.0 | 85.7 | 34.30 | this work |
| SiO2 desiccant + eggshell (SG-EG) | 10.0 | 80.1 | 32.00 | this work |
| SiO2 desiccant + treated sand (SG-SI) | 10.0 | 56.9 | 22.8 | this work |
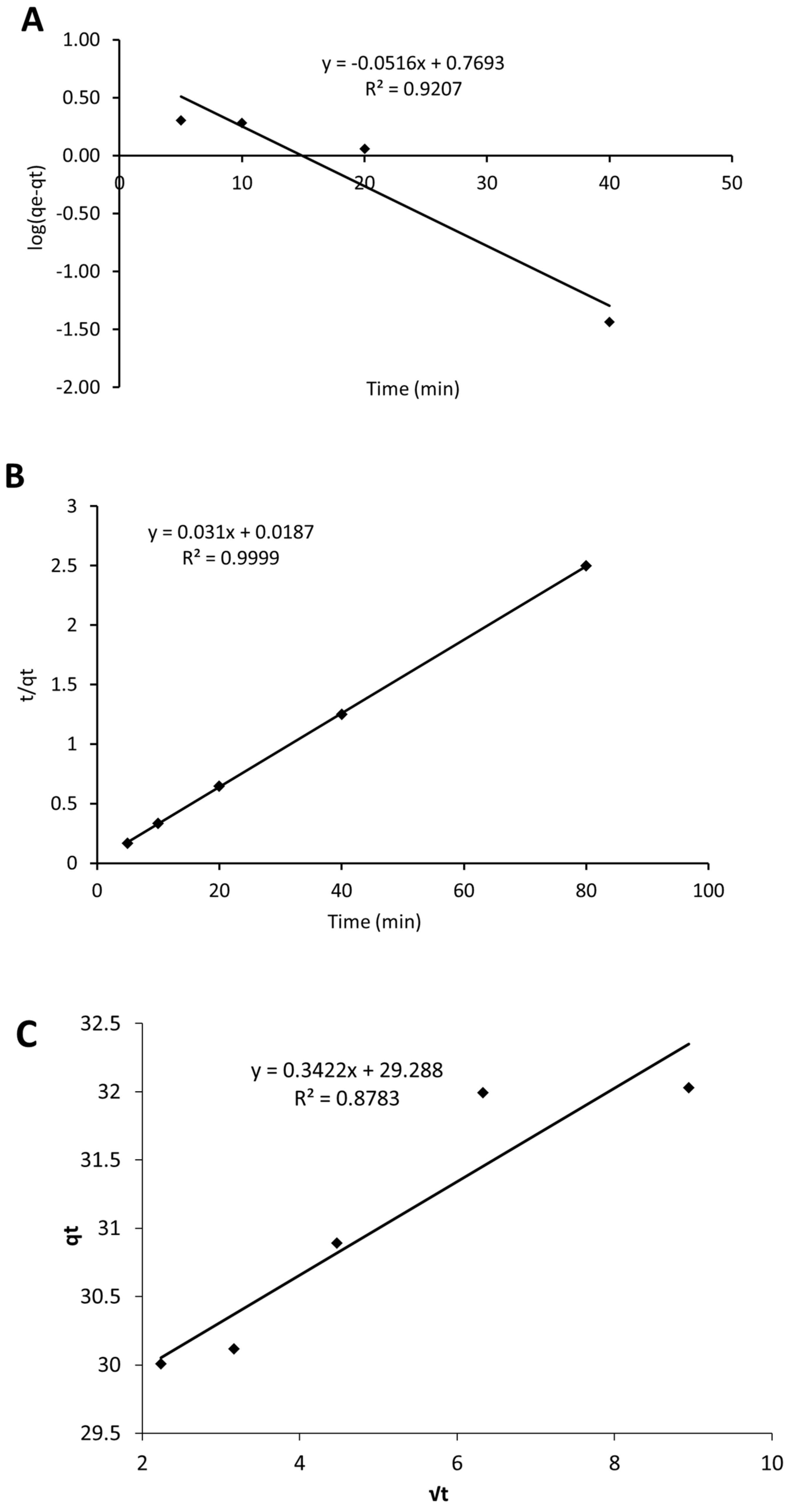
3.7. Kinetics and Isotherm Models
4. Conclusions
Supplementary Materials
Author Contributions
Funding
Institutional Review Board Statement
Informed Consent Statement
Data Availability Statement
Acknowledgments
Conflicts of Interest
References
- Dassanayake, R.; Acharya, S.; Abidi, N. Recent Advances in Biopolymer-Based Dye Removal Technologies. Molecules 2021, 26, 4697. [Google Scholar] [CrossRef] [PubMed]
- Fu, Y.; Viraraghavan, T. Fungal decolorization of dye wastewaters: A review. Bioresour. Technol. 2001, 79, 251–262. [Google Scholar] [CrossRef] [PubMed]
- Toh, Y.-C.; Yen, J.J.L.; Obbard, J.P.; Ting, Y.-P. Decolourisation of azo dyes by white-rot fungi (WRF) isolated in Singapore. Enzym. Microb. Technol. 2003, 33, 569–575. [Google Scholar] [CrossRef]
- Lellis, B.; Fávaro-Polonio, C.Z.; Pamphile, J.A.; Polonio, J.C. Effects of textile dyes on health and the environment and bioremediation potential of living organisms. Biotechnol. Res. Innov. 2019, 3, 275–290. [Google Scholar] [CrossRef]
- Islam, M.R.; Mostafa, M.G. Characterization of textile dyeing effluent and its treatment using polyaluminum chloride. Appl. Water Sci. 2020, 10, 119. [Google Scholar] [CrossRef]
- Alsukaibi, A.K.D. Various Approaches for the Detoxification of Toxic Dyes in Wastewater. Processes 2022, 10, 1968. [Google Scholar] [CrossRef]
- Liu, Y.; Li, C.; Bao, J.; Wang, X.; Yu, W.; Shao, L. Degradation of Azo Dyes with Different Functional Groups in Simulated Wastewater by Electrocoagulation. Water 2022, 14, 123. [Google Scholar] [CrossRef]
- Chiou, M.; Li, H. Adsorption behavior of reactive dye in aqueous solution on chemical cross-linked chitosan beads. Chemosphere 2003, 50, 1095–1105. [Google Scholar] [CrossRef]
- Lorenc-Grabowska, E.; Gryglewicz, G. Adsorption characteristics of Congo Red on coal-based mesoporous activated carbon. Dye. Pigment. 2007, 74, 34–40. [Google Scholar] [CrossRef]
- Qin, Q.; Sun, T.; Yin, W.; Xu, Y. Rapid and efficient removal of methylene blue by freshly prepared manganese dioxide. Cogent Eng. 2017, 4, 1345289. [Google Scholar] [CrossRef]
- Ahmadi, S.; Kord, M. Adsorptive removal of aniline from aqueous solutions by Pistacia atlantica (Baneh) shells: Isotherm and kinetic studies. J. Sci. Technol. Environ. Inform. 2017, 5, 327–335. [Google Scholar] [CrossRef]
- Tkaczyk, A.; Mitrowska, K.; Posyniak, A. Synthetic organic dyes as contaminants of the aquatic environment and their implications for ecosystems: A review. Sci. Total. Environ. 2020, 717, 137222. [Google Scholar] [CrossRef]
- Ponnusami, V.; Madhuram, R.; Krithika, V.; Srivastava, S. Effects of process variables on kinetics of methylene blue sorption onto untreated guava (Psidium guajava) leaf powder: Statistical analysis. Chem. Eng. J. 2008, 140, 609–613. [Google Scholar] [CrossRef]
- Wang, Z.; Gao, M.; Li, X.; Ning, J.; Zhou, Z.; Li, G. Efficient adsorption of methylene blue from aqueous solution by graphene oxide modified persimmon tannins. Mater. Sci. Eng. C 2019, 108, 110196. [Google Scholar] [CrossRef]
- Rafatullah, M.; Sulaiman, O.; Hashim, R.; Ahmad, A. Adsorption of methylene blue on low-cost adsorbents: A review. J. Hazard. Mater. 2010, 177, 70–80. [Google Scholar] [CrossRef]
- Tan, I.; Ahmad, A.; Hameed, B. Adsorption of basic dye using activated carbon prepared from oil palm shell: Batch and fixed bed studies. Desalination 2008, 225, 13–28. [Google Scholar] [CrossRef]
- Igwegbe, C.A.; Mohmmadi, L.; Ahmadi, S.; Rahdar, A.; Khadkhodaiy, D.; Dehghani, R.; Rahdar, S. Modeling of adsorption of Methylene Blue dye on Ho-CaWO4 nanoparticles using Response Surface Methodology (RSM) and Artificial Neural Network (ANN) techniques. Methodsx 2019, 6, 1779–1797. [Google Scholar] [CrossRef]
- Wang, B.; Gao, B.; Zimmerman, A.R.; Lee, X. Impregnation of multiwall carbon nanotubes in alginate beads dramatically enhances their adsorptive ability to aqueous methylene blue. Chem. Eng. Res. Des. 2018, 133, 235–242. [Google Scholar] [CrossRef]
- Wang, Y.-Z.; Wang, A.-J.; Liu, W.-Z.; Kong, D.-Y.; Tan, W.-B.; Liu, C. Accelerated azo dye removal by biocathode formation in single-chamber biocatalyzed electrolysis systems. Bioresour. Technol. 2013, 146, 740–743. [Google Scholar] [CrossRef]
- Goren, A.Y.; Recepoğlu, Y.K.; Edebalï; Sahin, C.; Genisoglu, M.; Okten, H.E. Electrochemical Degradation of Methylene Blue by a Flexible Graphite Electrode: Techno-Economic Evaluation. ACS Omega 2022, 7, 32640–32652. [Google Scholar] [CrossRef]
- Lima, C.S.; Batista, K.A.; Rodríguez, A.G.; Souza, J.R.; Fernandes, K.F. Photodecomposition and color removal of a real sample of textile wastewater using heterogeneous photocatalysis with polypyrrole. Sol. Energy 2015, 114, 105–113. [Google Scholar] [CrossRef]
- Xie, M.; Zhang, D.; Wang, Y.; Zhao, Y. Facile fabrication of ZnO nanorods modified with RGO for enhanced photodecomposition of dyes. Colloids Surf. A Physicochem. Eng. Asp. 2020, 603, 125247. [Google Scholar] [CrossRef]
- Nidheesh, P.; Zhou, M.; Oturan, M.A. An overview on the removal of synthetic dyes from water by electrochemical advanced oxidation processes. Chemosphere 2018, 197, 210–227. [Google Scholar] [CrossRef]
- Al-Tohamy, R.; Ali, S.S.; Li, F.; Okasha, K.M.; Mahmoud, Y.A.-G.; Elsamahy, T.; Jiao, H.; Fu, Y.; Sun, J. A critical review on the treatment of dye-containing wastewater: Ecotoxicological and health concerns of textile dyes and possible remediation approaches for environmental safety. Ecotoxicol. Environ. Saf. 2022, 231, 113160. [Google Scholar] [CrossRef]
- Katheresan, V.; Kansedo, J.; Lau, S.Y. Efficiency of various recent wastewater dye removal methods: A review. J. Environ. Chem. Eng. 2018, 6, 4676–4697. [Google Scholar] [CrossRef]
- Gerçel; Özcan, A.; Gerçel, H.F. Preparation of activated carbon from a renewable bio-plant of Euphorbia rigida by H2SO4 activation and its adsorption behavior in aqueous solutions. Appl. Surf. Sci. 2007, 253, 4843–4852. [Google Scholar] [CrossRef]
- Fernandes, E.P.; Silva, T.S.; Carvalho, C.M.; Selvasembian, R.; Chaukura, N.; Oliveira, L.M.; Meneghetti, S.M.P.; Meili, L. Efficient adsorption of dyes by γ-alumina synthesized from aluminum wastes: Kinetics, isotherms, thermodynamics and toxicity assessment. J. Environ. Chem. Eng. 2021, 9, 106198. [Google Scholar] [CrossRef]
- Salem, S.; Teimouri, Z.; Salem, A. Fabrication of magnetic activated carbon by carbothermal functionalization of agriculture waste via microwave-assisted technique for cationic dye adsorption. Adv. Powder Technol. 2020, 31, 4301–4309. [Google Scholar] [CrossRef]
- Abdullah, T.A.; Rasheed, R.T.; Juzsakova, T.; Al-Jammal, N.; Mallah, M.A.; Cuong, L.P.; Salman, A.D.; Domokos, E.; Ali, Z.; Cretescu, I. Preparation and characterization of MnO2-based nanoparticles at different annealing temperatures and their application in dye removal from water. Int. J. Environ. Sci. Technol. 2020, 18, 1499–1512. [Google Scholar] [CrossRef]
- Ooi, J.; Lee, L.Y.; Hiew, B.Y.Z.; Thangalazhy-Gopakumar, S.; Lim, S.S.; Gan, S. Assessment of fish scales waste as a low cost and eco-friendly adsorbent for removal of an azo dye: Equilibrium, kinetic and thermodynamic studies. Bioresour. Technol. 2017, 245, 656–664. [Google Scholar] [CrossRef]
- Srivatsav, P.; Bhargav, B.S.; Shanmugasundaram, V.; Arun, J.; Gopinath, K.P.; Bhatnagar, A. Biochar as an Eco-Friendly and Economical Adsorbent for the Removal of Colorants (Dyes) from Aqueous Environment: A Review. Water 2020, 12, 3561. [Google Scholar] [CrossRef]
- Dang, T.; Banerjee, A.; Cheney, M.; Qian, S.; Joo, S.; Min, B. Bio-silica coated with amorphous manganese oxide as an efficient catalyst for rapid degradation of organic pollutant. Colloids Surf. B Biointerfaces 2013, 106, 151–157. [Google Scholar] [CrossRef]
- Singh, S.; Sidhu, G.K.; Singh, H. Removal of methylene blue dye using activated carbon prepared from biowaste precursor. Indian Chem. Eng. 2019, 61, 28–39. [Google Scholar] [CrossRef]
- Li, Y.; Du, Q.; Liu, T.; Sun, J.; Wang, Y.; Wu, S.; Wang, Z.; Xia, Y.; Xia, L. Methylene blue adsorption on graphene oxide/calcium alginate composites. Carbohydr. Polym. 2013, 95, 501–507. [Google Scholar] [CrossRef]
- El-Azazy, M.; El-Shafie, A.S.; Yousef, B.A.-S. Green Tea Waste as an Efficient Adsorbent for Methylene Blue: Structuring of a Novel Adsorbent Using Full Factorial Design. Molecules 2021, 26, 6138. [Google Scholar] [CrossRef]
- Gaikwad, R.W.; Misal, S.A. Sorption Studies of Methylene Blue on Silica Gel. Int. J. Chem. Eng. Appl. 2010, 1, 4. [Google Scholar] [CrossRef]
- Amjlef, A.; Khrach, S.; El Fakir, A.A.; Farsad, S.; Et-Taleb, S.; El Alem, N. Adsorptive properties investigation of natural sand as adsorbent for methylene blue removal from contaminated water. Nanotechnol. Environ. Eng. 2021, 6, 26. [Google Scholar] [CrossRef]
- Abdel-Khalek, M.; Rahman, M.A.; Francis, A. Exploring the adsorption behavior of cationic and anionic dyes on industrial waste shells of egg. J. Environ. Chem. Eng. 2017, 5, 319–327. [Google Scholar] [CrossRef]
- Saleh, N.J.; Ibrahim, R.I.; Salman, A.D. Characterization of nano-silica prepared from local silica sand and its application in cement mortar using optimization technique. Adv. Powder Technol. 2015, 26, 1123–1133. [Google Scholar] [CrossRef]
- Brunauer, S.A.; Emmett, P.H.; Teller, E. Adsorption of gases in multimolecular layers. J. Am. Chem. Soc. 1938, 60, 309–319. [Google Scholar] [CrossRef]
- Barrett, E.P.B.; Joyner, L.G.; Halenda, P.P. The determination of pore volume and area distributions in porous substances. I.Computations from nitrogen isotherms. J. Am. Chem. Soc. 1951, 73, 373–380. [Google Scholar] [CrossRef]
- Al-Jammal, N.; Abdullah, T.A.; Juzsakova, T.; Zsirka, B.; Cretescu, I.; Vágvölgyi, V.; Sebestyén, V.; Le Phuoc, C.; Rasheed, R.T.; Domokos, E. Functionalized carbon nanotubes for hydrocarbon removal from water. J. Environ. Chem. Eng. 2019, 8, 103570. [Google Scholar] [CrossRef]
- Aljeboree, A.M.; Alshirifi, A.N.; Alkaim, A.F. Kinetics and equilibrium study for the adsorption of textile dyes on coconut shell activated carbon. Arab. J. Chem. 2017, 10, S3381–S3393. [Google Scholar] [CrossRef]
- Dawodu, F.A.; Akpomie, K.G. Simultaneous adsorption of Ni(II) and Mn(II) ions from aqueous solution unto a Nigerian kaolinite clay. J. Mater. Res. Technol. 2014, 3, 129–141. [Google Scholar] [CrossRef]
- Cheng, W.; Deng, Z.; Tong, X.; Lu, T. Hydrophobic Agglomeration of Fine Pyrite Particles Induced by Flotation Reagents. Minerals 2020, 10, 801. [Google Scholar] [CrossRef]
- Wahyudi, A.; Nurasid, T.; Rochani, S. Preparation of nanoparticle silica from silica sand and quartzite by ultrafine grinding. In Proceedings of the International Conference on Chemical and Material Engineering, Conference, Semarang Indonesia, 12–13 September 2012; Volume 28, pp. 1–7, ISBN 978-602-097-281-7. [Google Scholar]
- Tombarkiewicz, B.; Antonkiewicz, J.; Lis, M.W.; Pawlak, K.; Trela, M.; Witkowicz, R.; Gorczyca, O. Chemical properties of the coffee grounds and poultry eggshells mixture in terms of soil improver. Sci. Rep. 2022, 12, 2592. [Google Scholar] [CrossRef]
- Comas-Vives, A. Amorphous SiO2 surface models: Energetics of the dehydroxylation process, strain, ab initio atomistic thermodynamics and IR spectroscopic signatures. Phys. Chem. Chem. Phys. 2016, 18, 7475–7482. [Google Scholar] [CrossRef]
- Zhuravlev, L.T. The surface chemistry of amorphous silica. Zhuravlev model. Colloids Surf. A Physicochem. Eng. Asp. 2000, 173, 1–38. [Google Scholar] [CrossRef]
- Almeida, R.; Guiton, T.; Pantano, C. Characterization of silica gels by infrared reflection spectroscopy. J. Non-Cryst. Solids 1990, 121, 193–197. [Google Scholar] [CrossRef]
- Innocenzi, P. Infrared spectroscopy of sol–gel derived silica-based films: A spectra-microstructure overview. J. Non-Cryst. Solids 2003, 316, 309–319. [Google Scholar] [CrossRef]
- Müller, C.M.; Pejcic, B.; Esteban, L.; Piane, C.D.; Raven, M.; Mizaikoff, B. Infrared Attenuated Total Reflectance Spectroscopy: An Innovative Strategy for Analyzing Mineral Components in Energy Relevant Systems. Sci. Rep. 2014, 4, 6764. [Google Scholar] [CrossRef]
- Saikia, B.J.; Parthasarathy, G.; Sarmah, N.C. Fourier transform infrared spectroscopic estimation of crystallinity in SiO2 based rocks. Bull. Mater. Sci. 2008, 31, 775–779. [Google Scholar] [CrossRef]
- Gunasekaran, S.; Anbalagan, G.; Pandi, S. Raman and infrared spectra of carbonates of calcite structure. J. Raman Spectrosc. 2006, 37, 892–899. [Google Scholar] [CrossRef]
- Jovanovski, G.; Stefov, V.; Šoptrajanov, B.; Boev, B. Minerals from Macedonia. IV. Discrimination between some carbonate minerals by FTIR spectroscopy. Neues Jahrb. Für Mineral. Abh. 2002, 177, 241–253. [Google Scholar] [CrossRef]
- Nebagha, K.C.; Ziat, K.; Rghioui, L.; Khayetd, M.; Saidi, M.; Aboumaria, K.; El Hourch, A.; Sebti, S. Adsorptive removal of copper (II) from aqueous solutions using low cost Moroccan adsorbent. Part I: Parameters influencing Cu(II) adsorption. J. Mater. Environ. Sci. 2015, 6, 3022–3033. [Google Scholar]
- Varlikli, C.; Bekiari, V.; Kus, M.; Boduroglu, N.; Oner, I.; Lianos, P.; Lyberatos, G.; Icli, S. Adsorption of dyes on Sahara desert sand. J. Hazard. Mater. 2009, 170, 27–34. [Google Scholar] [CrossRef]
- Balabin, R.M.; Syunyaev, R.Z. Petroleum resins adsorption onto quartz sand: Near infrared (NIR) spectroscopy study. J. Colloid Interface Sci. 2008, 318, 167–174. [Google Scholar] [CrossRef]
- Pourhakkak, P.; Taghizadeh, M.; Taghizadeh, A.; Ghaedi, M. Chapter 2—Adsorbent. In Interface Science and Technology; Ghaedi, M., Ed.; Elsevier: Amsterdam, The Netherlands, 2021; Volume 33, pp. 71–210. [Google Scholar] [CrossRef]
- Dotto, G.; Santos, J.; Rodrigues, I.; Rosa, R.; Pavan, F.; Lima, E. Adsorption of Methylene Blue by ultrasonic surface modified chitin. J. Colloid Interface Sci. 2015, 446, 133–140. [Google Scholar] [CrossRef]
- Jia, P.; Tan, H.; Liu, K.; Gao, W. Removal of Methylene Blue from Aqueous Solution by Bone Char. Appl. Sci. 2018, 8, 1903. [Google Scholar] [CrossRef]
- Pallasser, R.; Minasny, B.; McBratney, A.B.; Xu, Z. Soil carbon determination by thermogravimetrics. Peerj 2013, 1, e6. [Google Scholar] [CrossRef]
- Bergna, H. (Ed.) The Colloid Chemistry of Silica; ACS: Washington, DC, USA, 1994; Chapter 1; pp. 1–47. [Google Scholar] [CrossRef]
- Hair, M.L. Hydroxyl groups on silica surface. J. Non-Cryst. Solids 1975, 19, 299–309. [Google Scholar] [CrossRef]
- Sneh, O.; George, S.M. Thermal Stability of Hydroxyl Groups on a Well-Defined Silica Surface. J. Phys. Chem. 1995, 99, 4639–4647. [Google Scholar] [CrossRef]
- Webber, J.; Zorzi, J.E.; Perottoni, C.A.; e Silva, S.M.; Cruz, R.C.D. Identification of α-Al2O3 surface sites and their role in the adsorption of stearic acid. J. Mater. Sci. 2016, 51, 5170–5184. [Google Scholar] [CrossRef]
- Yang, D.; Krasowska, M.; Sedev, R.; Ralston, J. The unusual surface chemistry of α-Al2O3 (0001). Phys. Chem. Chem. Phys. 2010, 12, 13724–13729. [Google Scholar] [CrossRef] [PubMed]
- Maxwell, T.H. The eggshell: Structure, composition and mineralization. Front. Biosci. 2012, 17, 1266–1280. [Google Scholar] [CrossRef]
- Chien, Y.-C.; Hincke, M.; McKee, M. Avian Eggshell Structure and Osteopontin. Cells Tissues Organs 2008, 189, 38–43. [Google Scholar] [CrossRef]
- Rodriguez-Navarro, C.; Ruiz-Agudo, E.; Luque, A.; Rodriguez-Navarro, A.B.; Huertas, M.O. Thermal decomposition of calcite: Mechanisms of formation and textural evolution of CaO nanocrystals. Am. Miner. 2009, 94, 578–593. [Google Scholar] [CrossRef]
- Karunadasa, K.S.; Manoratne, C.; Pitawala, H.; Rajapakse, R. Thermal decomposition of calcium carbonate (calcite polymorph) as examined by in-situ high-temperature X-ray powder diffraction. J. Phys. Chem. Solids 2019, 134, 21–28. [Google Scholar] [CrossRef]
- Bartter, J.; Diffey, H.; Yeung, Y.H.; O’Leary, F.; Häsler, B.; Maulaga, W.; Alders, R. Use of chicken eggshell to improve dietary calcium intake in rural sub-Saharan Africa. Matern. Child Nutr. 2018, 14, e12649. [Google Scholar] [CrossRef]
- Gupta, V.K.; Suhas; Ali, I.; Saini, V.K. Removal of Rhodamine B, Fast Green, and Methylene Blue from Wastewater Using Red Mud, an Aluminum Industry Waste. Ind. Eng. Chem. Res. 2004, 43, 1740–1747. [Google Scholar] [CrossRef]
- Somasundaran, P.; Agar, G. The zero point of charge of calcite. J. Colloid Interface Sci. 1967, 24, 433–440. [Google Scholar] [CrossRef]
- Al-Ghouti, M.A.; Khraisheh, M.A.; Ahmad, M.N.; Allen, S. Adsorption behaviour of methylene blue onto Jordanian diatomite: A kinetic study. J. Hazard. Mater. 2009, 165, 589–598. [Google Scholar] [CrossRef]
- Rusu, L.; Harja, M.; Simion, A.I.; Suteu, D.; Ciobanu, G.; Favier, L. Removal of Astrazone Blue from aqueous solutions onto brown peat. Equilibrium and kinetics studies. Korean J. Chem. Eng. 2014, 31, 1008–1015. [Google Scholar] [CrossRef]
- Fungaro, D.A.; Bruno, M.; Grosche, L.C. Adsorption and kinetic studies of methylene blue on zeolite synthesized from fly ash. Desalination Water Treat. 2009, 2, 231–239. [Google Scholar] [CrossRef]
- Geçgel, Ü.; Özcan, G.; Gürpınar, G.Ç. Removal of Methylene Blue from Aqueous Solution by Activated Carbon Prepared from Pea Shells (Pisum sativum). J. Chem. 2013, 2013, 614083. [Google Scholar] [CrossRef]
- Available online: https://www.sigmaaldrich.com/HU/en/product/aldrich/901931 (accessed on 31 January 2023).
- Hashem, A.; Al-Anwar, A.; Nagy, N.M.; Hussein, D.M.; Eisa, S. Isotherms and kinetic studies on adsorption of Hg(II) ions onto Ziziphus spina-christi L. from aqueous solutions. Green Process. Synth. 2016, 5, 213–224. [Google Scholar] [CrossRef]
- Chen, Y.-H.; Huang, P.-J. Sono-assisted rapid dye removal by chromium-based metal organic frameworks derived from waste PET bottles: Characterization, kinetics and adsorption isotherms. J. Environ. Chem. Eng. 2021, 9, 106766. [Google Scholar] [CrossRef]
- Bhatt, A.S.; Sakaria, P.L.; Vasudevan, M.; Pawar, R.R.; Sudheesh, N.; Bajaj, H.C.; Mody, H.M. Ad-sorption of an anionic dye from aqueous medium by organoclays: Equilibrium modeling, kinetic and thermodynamic exploration. RSC Adv. 2012, 2, 8663–8671. [Google Scholar] [CrossRef]
- Abdullah, T.A.; Juzsakova, T.; Rasheed, R.T.; Salman, A.D.; Adelikhah, M.; Cuong, L.P.; Cretescu, I. V2O5 Nanoparticles for Dyes Removal from Water. Chem. J. Mold. 2021, 16, 102–111. [Google Scholar] [CrossRef]
- Lowe, B.M.; Skylaris, C.-K.; Green, N.G. Acid-base dissociation mechanisms and energetics at the silica–water interface: An activationless process. J. Colloid Interface Sci. 2015, 451, 231–244. [Google Scholar] [CrossRef]
- Ayisi, E.N.; Fraňa, K. The Design and Test for Degradation of Energy Density of a Silica Gel-Based Energy Storage System Using Low Grade Heat for Desorption Phase. Energies 2020, 13, 4513. [Google Scholar] [CrossRef]
- Jacobs, J.H.; Deering, C.E.; Sui, R.; Lesage, K.L.; Marriott, R.A. Degradation of desiccants in temperature swing adsorption processes: The temperature dependent degradation of zeolites 4A, 13X and silica gels. Chem. Eng. J. 2023, 451, 139049. [Google Scholar] [CrossRef]












| Sample | SiO2, wt% | Al2O3, wt% | Na2O, wt% | CaCO3, wt% | SO3, wt% | MgO, wt% | |
|---|---|---|---|---|---|---|---|
| 1 | SI | 97.42 | 2.50 | 0.08 | - | - | - |
| 97.56 | 2.4 | 0.04 | - | - | - | ||
| average | 97.49 | 2.45 | 0.06 | - | - | - | |
| 2 | SG | 99.14 | 0.74 | 0.12 | - | - | - |
| 99.25 | 0.75 | - | - | - | - | ||
| average | 99.20 | 0.75 | 0.12 | - | - | - | |
| 3 | EG | 0.22 | - | - | 99.11 | 0.30 | 0.36 |
| 0.19 | - | - | 98.53 | 0.82 | 0.46 | ||
| average | 0.21 | 98.82 | 0.56 | 0.41 | |||
| 4 | SG-SI | 98.04 | 1.93 | 0.03 | - | - | - |
| 98.15 | 1.81 | 0.03 | - | - | - | ||
| average | 98.10 | 1.87 | 0.03 | ||||
| 5 | SG-EG | 30.93 | 0.13 | 0.10 | 68.54 | 0.17 | 0.14 |
| 44.82 | 0.22 | 0.04 | 54.63 | 0.11 | 0.17 | ||
| average | 37.88 | 0.17 | 0.07 | 61.58 | 0.14 | 0.16 |
| Sample | SBET, m2/g | Smicro, m2/g | V, cm3/g | Vmicro, cm3/g | Dav, nm |
|---|---|---|---|---|---|
| SI | 6 | 0.4 | 0.0390 | 0.0002 | 28.1 |
| ES | 1 | 0 | 0.0194 | 0 | 35.3 |
| SG | 633 | 91 | 0.2262 | 0.0485 | 2.3 |
| SG-ES | 360 | 68 | 0.1415 | 0.0279 | 3.1 |
| SG-SI | 330 | 59 | 0.1165 | 0.0246 | 2.8 |
| Pseudo-First Order | Pseudo-Second Order | Intra-Particle Diffusion | |||||||
|---|---|---|---|---|---|---|---|---|---|
| qe exp (mg/g) | k1 (min−1) | qe cal (mg/g) | R2 | k2 (g/mg min) | qe cal (mg/g) | R2 | Kd (mg/g min1/2) | I | R2 |
| 32.03 | 0.1188 | 5.88 | 0.9207 | 0.0514 | 32.26 | 0.9999 | 0.3422 | 29.988 | 0.8783 |
| Langmuir | Freundlich | |||||
|---|---|---|---|---|---|---|
| qmax (mg/g) | b (L/mg) | R2 | Kf (mg/g) (mg/L) | 1/n | n | R2 |
| 112.36 | 0.1564 | 0.8355 | 16.23 | 0.72 | 1.39 | 0.9497 |
Disclaimer/Publisher’s Note: The statements, opinions and data contained in all publications are solely those of the individual author(s) and contributor(s) and not of MDPI and/or the editor(s). MDPI and/or the editor(s) disclaim responsibility for any injury to people or property resulting from any ideas, methods, instructions or products referred to in the content. |
© 2023 by the authors. Licensee MDPI, Basel, Switzerland. This article is an open access article distributed under the terms and conditions of the Creative Commons Attribution (CC BY) license (https://creativecommons.org/licenses/by/4.0/).
Share and Cite
Juzsakova, T.; Salman, A.D.; Abdullah, T.A.; Rasheed, R.T.; Zsirka, B.; Al-Shaikhly, R.R.; Sluser, B.; Cretescu, I. Removal of Methylene Blue from Aqueous Solution by Mixture of Reused Silica Gel Desiccant and Natural Sand or Eggshell Waste. Materials 2023, 16, 1618. https://doi.org/10.3390/ma16041618
Juzsakova T, Salman AD, Abdullah TA, Rasheed RT, Zsirka B, Al-Shaikhly RR, Sluser B, Cretescu I. Removal of Methylene Blue from Aqueous Solution by Mixture of Reused Silica Gel Desiccant and Natural Sand or Eggshell Waste. Materials. 2023; 16(4):1618. https://doi.org/10.3390/ma16041618
Chicago/Turabian StyleJuzsakova, Tatjana, Ali Dawood Salman, Thamer Adnan Abdullah, Rashed Taleb Rasheed, Balázs Zsirka, Rasha R. Al-Shaikhly, Brindusa Sluser, and Igor Cretescu. 2023. "Removal of Methylene Blue from Aqueous Solution by Mixture of Reused Silica Gel Desiccant and Natural Sand or Eggshell Waste" Materials 16, no. 4: 1618. https://doi.org/10.3390/ma16041618
APA StyleJuzsakova, T., Salman, A. D., Abdullah, T. A., Rasheed, R. T., Zsirka, B., Al-Shaikhly, R. R., Sluser, B., & Cretescu, I. (2023). Removal of Methylene Blue from Aqueous Solution by Mixture of Reused Silica Gel Desiccant and Natural Sand or Eggshell Waste. Materials, 16(4), 1618. https://doi.org/10.3390/ma16041618

