Influence of Elevated Temperature on Color Centers in LiF Crystals and Their Photoluminescence
Abstract
:1. Introduction
2. Materials and Methods
- Method 1—A LiF sample after irradiation was submitted to step-annealing, i.e., a series of subsequent heat treatments at increasing temperatures from room temperature (RT) up to 400 °C with a step of 20 °C. After each heating step, the sample was cooled to RT and emission or absorption spectra were registered. Then, the sample was heated again to the next temperature step and the whole procedure was repeated.
- Method 2—PL emission spectra were measured while raising the temperature at a linear ramp. The heating stage was mounted into the setup of the fluorescence microscope. The sample was placed at the stage at RT. Then, the heat was turned on, and the sample was heated to 400 °C with a heating rate of 50 °C/min. At the same time that the heating procedure was employed, the sample was illuminated with 440 nm light and emission spectra were registered every 2 s.
3. Results and Discussion
3.1. Method 1
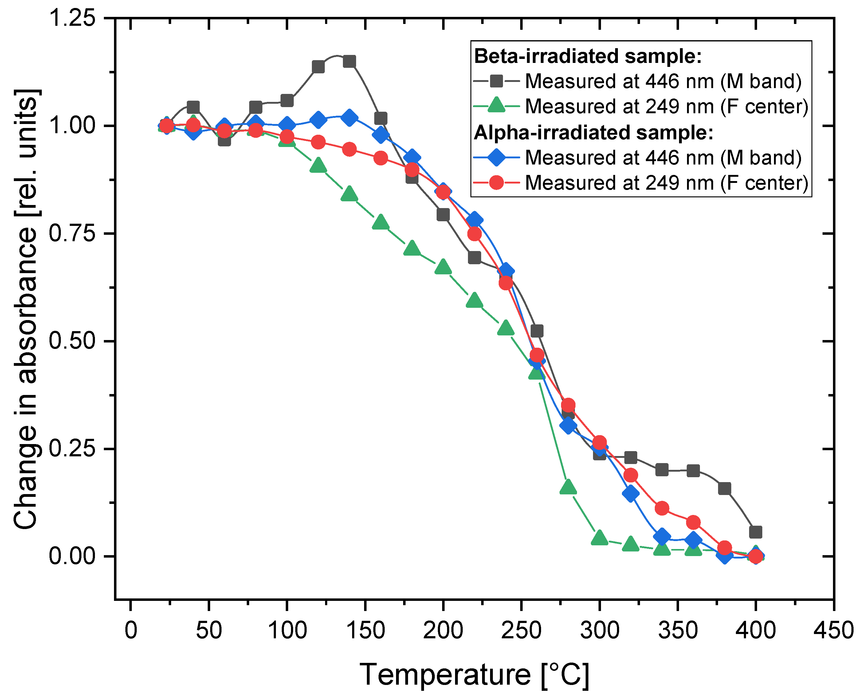
3.1.1. Absorption Spectra
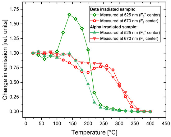
3.1.2. PL Emission Spectra
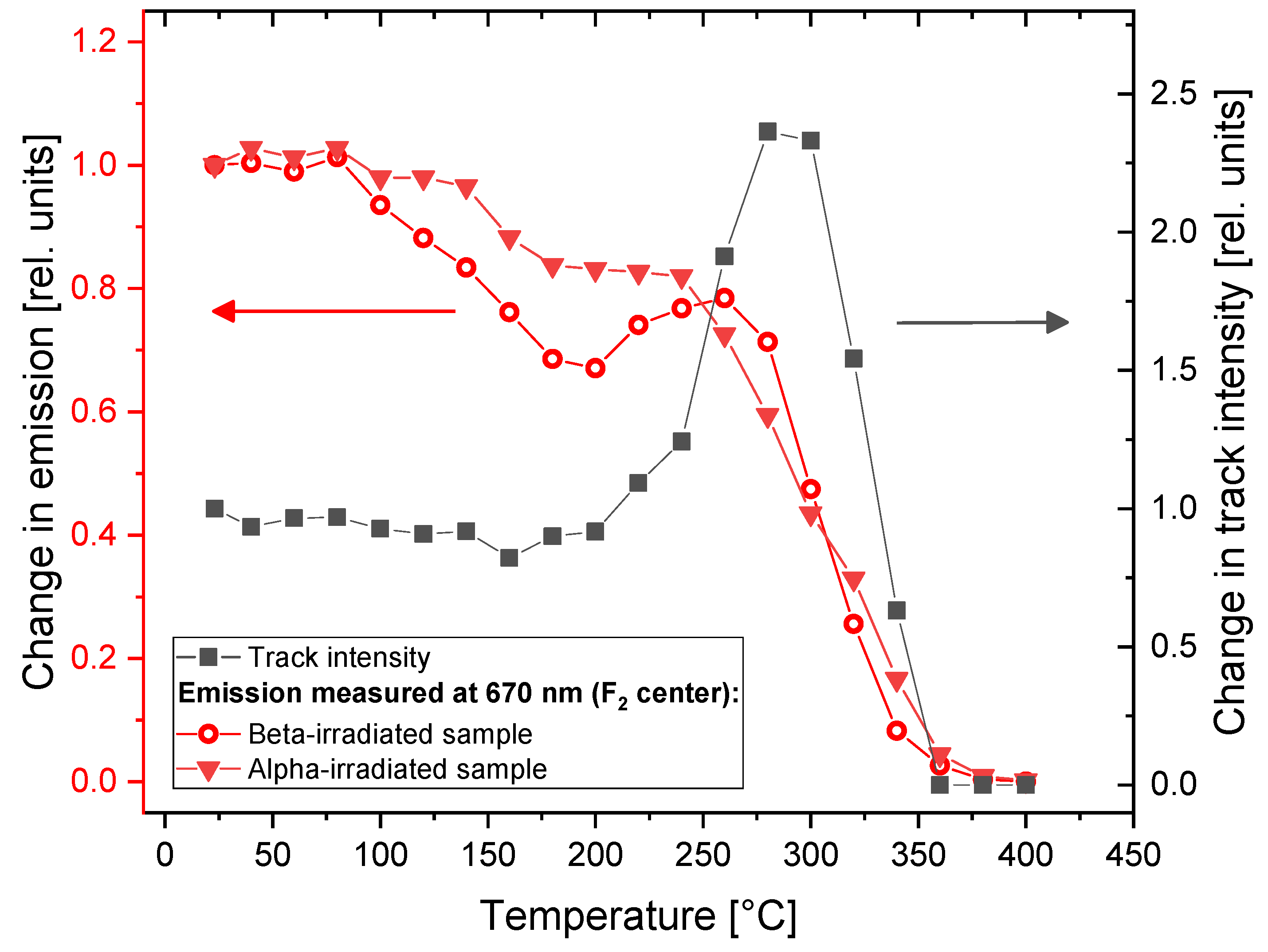
3.1.3. Fluorescent Tracks
3.2. Method 2
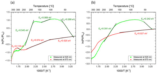
3.2.1. PL Emission Spectra
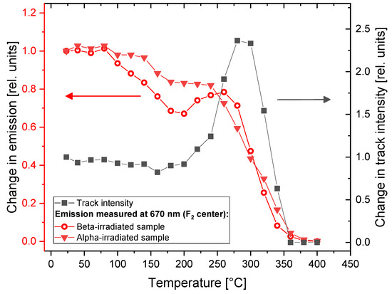
3.2.2. Fluorescent Tracks
4. Conclusions
- Heating at temperatures ranging between 100–200 °C increases the concentration of F3+ centers. The effect is visible both in the absorption and emission spectra and is much more significant for beta-irradiated than alpha-irradiated crystals. However, the increase in PL emission is too small to enable microscopic observation of fluorescent tracks in the green part of the spectrum.
- F3+ PL emission is very significantly increased when a measurement is performed at temperatures around 80 °C (factor 3), which is presumably due to the lower probability of the competitive, nonradiative process connected with the existence of the triplet state, which is present in the optical cycle of this color center. Such elevated temperatures of measurement enable the observation of fluorescent nuclear tracks in the F3+ green part of the spectrum. In the case of the main F2 red emission, raising the temperature of PL measurements does not lead to any increase in the signal.
- Heating at around 290 °C substantially increases F2 PL in the case of fluorescent track measurements (factor 2.5). The supposed cause is the creation of new F2 centers. However, this effect is barely visible in the emission spectrum (a small local maximum is present at a slightly lower temperature) and unnoticeable in the absorption spectrum. These results are not surprising, as previous investigation of fluorescent tracks showed that the strength of the effect decreases with the increasing dose, and spectral measurements required irradiation with much higher doses than the track observations. The mechanism behind these effects remains to be revealed and further investigations in this direction are planned.
Author Contributions
Funding
Institutional Review Board Statement
Informed Consent Statement
Data Availability Statement
Conflicts of Interest
References
- Baldacchini, G. Colored LiF: An optical material for all seasons. J. Lumin. 2002, 100, 333–343. [Google Scholar] [CrossRef]
- Leoncini, M.; Vincenti, M.A.; Bonfigli, F.; Libera, S.; Nichelatti, E.; Piccinini, M.; Ampollini, A.; Picardi, L.; Ronsivalle, C.; Mancini, A.; et al. Optical investigation of radiation-induced color centers in lithium fluoride thin films for low-energy proton-beam detectors. Opt. Mater. 2019, 88, 580–585. [Google Scholar] [CrossRef]
- Nichelatti, E.; Piccinini, M.; Ampollini, A.; Picardi, L.; Ronsivalle, C.; Bonfigli, F.; Vincenti, M.A.; Montereali, R.M. Modelling of photoluminescence from F2 and F3+ colour centres in lithium fluoride irradiated at high doses by low-energy proton beams. Opt. Mater. 2019, 89, 414–418. [Google Scholar] [CrossRef]
- Nichelatti, E.; Piccinini, M.; Ronsivalle, C.; Picardi, L.; Vincenti, M.A.; Montereali, R.M. Evaluation of saturation dose in spatial distributions of color centers generated by 18 MeV proton beams in lithium fluoride. Nucl. Instrum. Methods Phys. Res. Sect. B 2020, 464, 100–105. [Google Scholar] [CrossRef]
- Sorokin, M.V.; Schwartz, K.; Dubinko, V.I.; Khodan, A.N.; Dauletbekova, A.K.; Zdorovets, M.V. Kinetics of lattice defects induced in lithium fluoride crystals during irradiation with swift ions at room temperature. Nucl. Instrum. Methods Phys. Res. Sect. B 2020, 466, 17–19. [Google Scholar] [CrossRef]
- Voitovich, A.P.; Ignatenko, O.V.; Kalinov, V.S.; Kostik, O.E.; Mashko, V.V.; Novikov, A.N. Radiation-induced color centers with new properties in lithium fluoride crystals subjected to thermal shocks or compression. Radiat. Eff. Defects Solids 2021, 176, 529–537. [Google Scholar] [CrossRef]
- Koshkinbayeva, A.; Abdullaev, A.; Nurekeyev, Z.; Skuratov, V.A.; Wang, Y.; Khafizov, M.; Utegulov, Z. Thermal transport and optical spectroscopy in 710-MeV Bi ion irradiated LiF crystals. Nucl. Instrum. Methods Phys. Res. Sect. B 2020, 475, 14–19. [Google Scholar] [CrossRef]
- Bonfigli, F.; Botti, S.; Cecilia, A.; Montereali, R.M.; Nichelatti, E.; Nigro, V.; Piccinini, M.; Vincenti, M.A. Confocal Fluorescence Microscopy and Confocal Raman Microspectroscopy of X-ray Irradiated LiF Crystals. Condens. Matter 2021, 6, 37. [Google Scholar] [CrossRef]
- Piccinini, M.; Nichelatti, E.; Ampollini, A.; Bazzano, G.; De Angelis, C.; Della Monaca, S.; Nenzi, P.; Picardi, L.; Ronsivalle, C.; Surrenti, V.; et al. Dose response and Bragg curve reconstruction by radiophotoluminescence of color centers in lithium fluoride crystals irradiated with 35 MeV proton beams from 0.5 to 50 Gy. Radiat. Meas. 2020, 133, 106275. [Google Scholar] [CrossRef]
- Montereali, R.M.; Piccinini, M.; Ampollini, A.; Picardi, L.; Ronsivalle, C.; Bonfigli, F.; Nichelatti, E.; Vincenti, M.A. Visible photoluminescence of color centers in lithium fluoride detectors for low-energy proton beam Bragg curve imaging and dose mapping. Opt. Mater. 2019, 95, 109242. [Google Scholar] [CrossRef]
- Vincenti, M.A.; Leoncini, M.; Libera, S.; Ampollini, A.; Mancini, A.; Nichelatti, E.; Nigro, V.; Picardi, L.; Piccinini, M.; Ronsivalle, C.; et al. Enhanced photoluminescence of F2 and F3+ colour centres in lithium fluoride film-based detectors for proton beams. Opt. Mater. 2021, 119, 111376. [Google Scholar] [CrossRef]
- Pikuz, T.; Faenov, A.; Matsuoka, T.; Matsuyama, S.; Yamauchi, K.; Ozaki, N.; Albertazzi, B.; Inubushi, Y.; Yabashi, M.; Tono, K.; et al. 3D visualization of XFEL beam focusing properties using LiF crystal X-ray detector. Sci. Rep. 2015, 5, 17713. [Google Scholar] [CrossRef]
- Marczewska, B.; Bilski, P.; Nowak, T.; Gieszczyk, W.; Kłosowski, M. Imaging of proton Bragg peaks in LiF. Radiat. Prot. Dosim. 2017, 178, 333–336. [Google Scholar] [CrossRef] [PubMed]
- Bilski, P.; Marczewska, B. Fluorescent detection of single tracks of alpha particles using lithium fluoride crystals. Nucl. Instrum. Methods Phys. Res. Sect. B 2017, 392, 41–45. [Google Scholar] [CrossRef]
- Bilski, P.; Marczewska, B.; Sankowska, M.; Gieszczyk, W.; Mietelski, J.W. Range-based method of alpha-particle spectrometry using LiF fluorescent nuclear track detectors. Measurement 2020, 160, 107837. [Google Scholar] [CrossRef]
- Bilski, P.; Marczewska, B.; Kłosowski, M.; Gieszczyk, W.; Naruszewicz, M. Detection of neutrons with LiF fluorescent nuclear track detectors. Radiat. Meas. 2018, 116, 35–39. [Google Scholar] [CrossRef]
- Bilski, P.; Marczewska, B.; Gieszczyk, W.; Kłosowski, M.; Naruszewicz, M.; Sankowska, M.; Kodaira, S. Fluorescent imaging of heavy charged particle tracks with LiF single crystals. J. Lumin. 2019, 213, 82–87. [Google Scholar] [CrossRef]
- Bilski, P. Fluorescent Nuclear Track Detectors (FNTD) Based on LiF Single Crystals. Available online: https://wrmiss.org/workshops/twentyfourth/Bilski.pdf (accessed on 18 December 2022).
- Voitovich, A.P.; Loiko, P.A.; Mateos, X.; Runets, L.P.; Serres, J.M.; Stupak, A.P. Photoluminescence behavior of surface radiation induced color centers in lithium fluoride and influence of nanosized clusters. J. Lumin. 2017, 188, 75–80. [Google Scholar] [CrossRef]
- Dauletbekova, A.; Schwartz, K.; Sorokin, M.V.; Maniks, J.; Rusakova, A.; Koloberdin, M.; Akilbekov, A.; Zdorovets, M. LiF crystals irradiated with 150MeV Kr ions: Peculiarities of color center creation and thermal annealing. Nucl. Instrum. Methods Phys. Res. Sect. B 2013, 295 (Suppl. C), 89–93. [Google Scholar] [CrossRef]
- Akilbekov, A.T.; Russakova, A.V.; Dauletbekova, A.K.; Koloberdin, M.V.; Baijumanov, M.Z.; Zdorovets, M.V. Generation of color centers when annealing LiF crystals irradiated by Kr ions with an energy of 150 MeV. Bull. Russ. Acad. Sci. Phys. 2014, 78, 535–539. [Google Scholar] [CrossRef]
- Schwartz, K.; Volkov, A.E.; Sorokin, M.V.; Neumann, R.; Trautmann, C. Effect of irradiation parameters on defect aggregation during thermal annealing of LiF irradiated with swift ions and electrons. Phys. Rev. B 2010, 82, 144116. [Google Scholar] [CrossRef]
- Trautmann, C.; Schwartz, K.; Costantini, J.M.; Steckenreiter, T.; Toulemonde, M. Radiation defects in lithium fluoride induced by heavy ions. Nucl. Instrum. Methods Phys. Res. Sect. B 1998, 146, 367–378. [Google Scholar] [CrossRef]
- Izerrouken, M.; Meftah, A.; Nekkab, M. Color centers in neutron-irradiated Y3Al5O12, CAF2 and LiF single crystals. J. Lumin. 2007, 127, 696–702. [Google Scholar] [CrossRef]
- Izerrouken, M.; Guerbous, L.; Meftah, A. Thermal annealing study of F center clusters in LiF single crystals. Nucl. Instrum. Methods Phys. Res. Sect. A 2010, 613, 9–14. [Google Scholar] [CrossRef]
- Sankowska, M.; Bilski, P.; Marczewska, B. Thermal enhancement of the intensity of fluorescent nuclear tracks in lithium fluoride crystals. Radiat. Meas. 2022, 157, 106845. [Google Scholar] [CrossRef]
- McKeever, S.W.S. A Course in Luminescence Measurements and Analyses for Radiation Dosimetry; John Wiley & Sons: Hoboken, NJ, USA, 2022. [Google Scholar]
- Nahum, J.; Wiegand, D.A. Optical Properties of Some F-Aggregate Centers in LiF. Phys. Rev. 1967, 154, 817–830. [Google Scholar] [CrossRef]
- Schindelin, J.; Arganda-Carreras, I.; Frise, E.; Kaynig, V.; Longair, M.; Pietzsch, T.; Preibisch, S.; Rueden, C.; Saalfeld, S.; Schmid, B.; et al. Fiji: An open-source platform for biological-image analysis. Nat. Methods 2012, 9, 676. [Google Scholar] [CrossRef]
- Piccinini, M.; Ampollini, A.; Picardi, L.; Ronsivalle, C.; Bonfigli, F.; Libera, S.; Vincenti, M.A.; Montereali, R.M. Lithium fluoride colour centres-based imaging detectors for proton beam characterization at high doses. Radiat. Meas. 2016, 90, 188–191. [Google Scholar] [CrossRef]
- Voitovich, A.P.; Kalinov, V.S.; Naumenko, N.N.; Stupak, A.P. Radiation-induced color centers in the near-surface layer of lithium fluoride crystals. J. Appl. Spectrosc. 2006, 73, 866–873. [Google Scholar] [CrossRef]
- Baldacchini, G.; Cremona, M.; d’Auria, G.; Montereali, R.M.; Kalinov, V. Radiative and nonradiative processes in the optical cycle of the F3+ center in LiF. Phys. Rev. B 1996, 54, 17508–17514. [Google Scholar] [CrossRef]
- Tasoltan, T.B.; Ermakov, I.V.; Pukhov, K.K. Optical and nonradiative transitions involving triplet states of laser-active F3+ colour centres in LiF crystals. Quantum Electron. 1997, 27, 304. [Google Scholar]

















Disclaimer/Publisher’s Note: The statements, opinions and data contained in all publications are solely those of the individual author(s) and contributor(s) and not of MDPI and/or the editor(s). MDPI and/or the editor(s) disclaim responsibility for any injury to people or property resulting from any ideas, methods, instructions or products referred to in the content. |
© 2023 by the authors. Licensee MDPI, Basel, Switzerland. This article is an open access article distributed under the terms and conditions of the Creative Commons Attribution (CC BY) license (https://creativecommons.org/licenses/by/4.0/).
Share and Cite
Sankowska, M.; Bilski, P.; Marczewska, B.; Zhydachevskyy, Y. Influence of Elevated Temperature on Color Centers in LiF Crystals and Their Photoluminescence. Materials 2023, 16, 1489. https://doi.org/10.3390/ma16041489
Sankowska M, Bilski P, Marczewska B, Zhydachevskyy Y. Influence of Elevated Temperature on Color Centers in LiF Crystals and Their Photoluminescence. Materials. 2023; 16(4):1489. https://doi.org/10.3390/ma16041489
Chicago/Turabian StyleSankowska, Małgorzata, Pawel Bilski, Barbara Marczewska, and Yaroslav Zhydachevskyy. 2023. "Influence of Elevated Temperature on Color Centers in LiF Crystals and Their Photoluminescence" Materials 16, no. 4: 1489. https://doi.org/10.3390/ma16041489
APA StyleSankowska, M., Bilski, P., Marczewska, B., & Zhydachevskyy, Y. (2023). Influence of Elevated Temperature on Color Centers in LiF Crystals and Their Photoluminescence. Materials, 16(4), 1489. https://doi.org/10.3390/ma16041489

