Evaluation of Thermo-Viscous Properties of Bitumen Concerning the Chemical Composition
Abstract
1. Introduction
2. Materials and Methods
2.1. Test Methods
2.1.1. Conventional Testing of Bitumen
2.1.2. Viscosity Testing
2.1.3. Elemental and Compositional Analysis
2.2. Materials
3. Results and Discussion
3.1. Conventional Properties of Bitumen
3.2. Elemental and Compositional Analysis
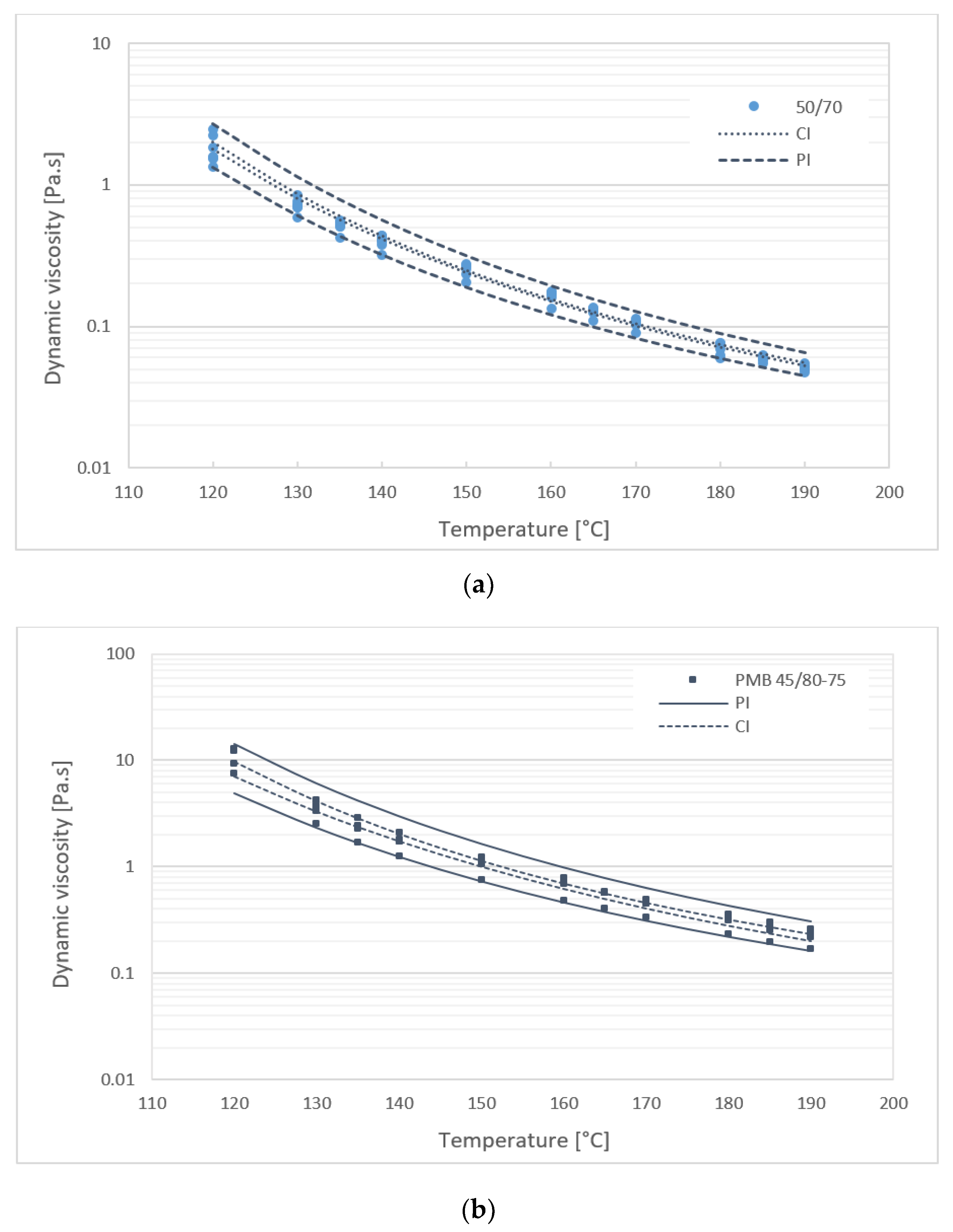
3.3. Thermo-Viscous Bitumen Properties
4. Conclusions
- -
- The elemental composition of tested bitumen showed no differences in the content of individual elements between paving grade bitumen 50/70 and bitumen 35/50 samples from different producers, or between paving grade and modified bitumen PMB 45/80-75; based on the SARA analysis the bitumen groups tested differ in asphaltene content from the average values of 13.4% for bitumen 50/70 to 19.0% for bitumen 25/55-60; although the composition results did not show significant differences between bitumen, the dynamic viscosity results in the temperature range of 120 to 190 °C demonstrated differences in values;
- -
- The viscosity values of the bitumen samples of the same gradation at all evaluated temperatures in the range of 120 to 190 °C are similar and were in interval corresponding to a confidence level of 95%; the variations between the values are due to the different sources of crude oil and processing technology; different types of bitumen have different viscosity values (statistically significant differences between the mean values), the highest values were observed for PMB 45/80-75 and PMB 25/55-60, followed 35/50 bitumen and the lowest values of 50/70;
- -
- The slope of the linear model expressing the viscosity–temperature relationship was observed as higher for paving grade bitumen 50/70 and bitumen 35/50, with a value of 3.87 and 3.70, respectively, compared to modified bitumen PMB 45/80-75 and PMB 25/55-60 with a value of 3.09 and 3.22; the SBS polymer has better compatibility with bitumen (aromates compound) and can influence viscosity;
- -
- The analysis of the SARA fraction composition of the bitumen on viscosity values showed that the impact of asphaltenes and aromates content is important for paving grade bitumen 50/70 (coefficient of linear regression above 0.7), as the asphaltenes content increases and decreasing the aromates content, an increase in viscosity was observed; in comparison, the strong effect of saturates of modified bitumen 45/80-75 was identified (coefficient of 0.7); the important effect could also be seen with the content of resins and asphaltenes (coefficient above the 0.5).
Author Contributions
Funding
Institutional Review Board Statement
Informed Consent Statement
Data Availability Statement
Conflicts of Interest
References
- Polacco, G.; Filippi, S.; Merusi, F.; Stastna, G. A review of the fundamentals of polymer-modified asphalts: Asphalt/polymer interactions and principles of compatibility. Adv. Colloid Interface Sci. 2015, 224, 72–112. [Google Scholar] [CrossRef]
- Wang, H.; Liu, X.; Scarpas, T. Non-Newtonian behaviors of Crumb Rubber-Modified Bituminous Binders. Appl. Sci. 2018, 8, 1760. [Google Scholar] [CrossRef]
- Airey, G. Bituminous Materials. In Construction Materials, Their Nature and Behaviour, 4th ed.; Domone, P., Illston, J., Eds.; CRC Press: Boca Raton, FL, USA, 2010. [Google Scholar]
- Mezger, T. The Rheology Handbook, 4th ed.; Hanover Vincentz Network: Hanover, Germany, 2014. [Google Scholar]
- Petersen, J.; Robertson, R.E.; Branthaver, J.F.; Anderson, D.A.; Christianson, D.W. Binder Characterization and Evaluation; National Academy of Sciences: Washington, DC, USA, 1994; Volume 1. [Google Scholar]
- Mirza, M.W.; Witczak, M.W. Development of a Global Aging System for Short and Long Term Aging of Asphalt Cements; Association of Asphalt Paving Technologists Technical Sessions: Portland, OR, USA, 1995; Volume 64, ISSN 0270-2932. [Google Scholar]
- Kotzakoulakis, K.; George, S.C. A simple and flexible correlation for predicting the viscosity of crude oils. J. Pet. Sci. Eng. 2017, 158, 416–423. [Google Scholar] [CrossRef]
- Sun, Z.; Yi, J.; Chen, Z.; Xie, S.; Xu, M.; Feng, D. Chemical and rheological properties of polymer modified bitumen incorporating bio-oil derived from waste cooking oil. Mater. Struct. 2019, 52, 106. [Google Scholar] [CrossRef]
- Nikolaides, A. Highway Engineering: Pavements, Materials and Control Quality; CRC Press: Boca Raton, FL, USA, 2015; ISBN 9781466579972. [Google Scholar]
- Holý, M.; Remišová, E. Routine testing of bitumen binders. Civ. Environ. Eng. 2017, 13, 125–133. [Google Scholar] [CrossRef]
- Remišová, E.; Holy, M. Properties of bituminous binders exposed to ageing process. IOP Conf. Ser. Mater. Sci. Eng. 2019, 471, 032030. [Google Scholar] [CrossRef]
- Muhammad, I.; Tijjani, N.; Dioha, I.J.; Musa, A. SARA Separation and Determination of Concentration Levels of Some Heavy Metals in Organic Fractions of Nigerian Crude Oil. Chem. Mater. Res. 2013, 3, 7–14. [Google Scholar]
- Lesueur, D. The colloidal structure of bitumen: Consequences on the rheology and on the mechanisms of bitumen modification. Adv. Colloid Interface Sci. 2009, 145, 42–82. [Google Scholar] [CrossRef] [PubMed]
- Hunter, R.N.; Self, A.; Read, J. The Shell Bitumen Handbook; Shell International Petroleum Company Ltd.: London, UK, 2015. [Google Scholar]
- Rakhmatullin, I.; Efimov, S.; Tyurin, V.; Gafurov, M.; Al-Muntaser, A.; Varfolomeev, M.; Klochkov, V. Qualitative and Quantitative Analysis of Heavy Crude Oil Samples and Their SARA Fractions with 13C Nuclear Magnetic Resonance. Processes 2020, 8, 995. [Google Scholar] [CrossRef]
- Hofko, B.; Eberhardsteiner, L.; Fuessl, J.; Grothe, H.; Handle, F.; Hospodka, M.; Grossegger, D.; Nahar, S.N.; Schmets, A.J.M.; Scarpas, A. Impact of maltene and asphaltene fraction on behaviour and microstructure of bitumen. Mater. Struct. 2016, 49, 829–841. [Google Scholar] [CrossRef]
- Eberhardsteiner, L.; Fussl, J.; Hofko, B.; Handle, F.; Hospodka, M.; Blab, R.; Grothe, H. Influence of asphaltene content on mechanical bitumen behavior: Experimental investigation and micromechanical modeling. Mater. Struct. 2015, 48, 3099–3112. [Google Scholar] [CrossRef]
- Neumann, H.J.; Braun, E.; Dempwolff, K.R. Bitumen und Seine Anwendung; Expert Verlag: Grafenau, Germany, 1981. [Google Scholar]
- Weigel, S.; Stephan, D. Modelling of rheological and ageing properties of bitumen based on its chemical structure. Mater. Struct. 2017, 50, 83. [Google Scholar] [CrossRef]
- Wang, T.; Wang, J.; Hou, X.; Xiao, F. Effects of SARA fractions on low temperature properties of asphalt binders. Road Mater. Pavement Des. 2019, 22, 539–556. [Google Scholar] [CrossRef]
- Abouelsaad, A.; White, G. Comparing the Effect of Thermal-Oxidation and Photo-Oxidation of Asphalt Mixtures on the Rheological and Chemical Properties of Extracted Bituminous Binder. Materials 2022, 15, 6793. [Google Scholar] [CrossRef] [PubMed]
- EN 1426; Bitumen and Bituminous Binders—Determination of Needle Penetration. European Committee for Standardization: Brussels, Belgium, 2007.
- EN 1427; Bitumen and Bituminous Binders—Determination of the Softening Point: Ring and Ball Method. European Committee for Standardization: Brussels, Belgium, 2015.
- EN 13302; Bitumen and Bituminous Binders—Determination of Dynamic Viscosity of Bituminous Binder Using a Rotating Spindle Apparatus. European Committee for Standardization: Brussels, Belgium, 2018.
- Ebrahim, P.; Tyllgren, P. Assessment of Asphalt Binder Viscosities with A New Approach. In Proceedings of the E&E Congress, Prague, Czech Republic, 1–3 June 2016. [Google Scholar]
- Holý, M.; Remišová, E. The boundary conditions for measurement of bitumen viscosity using a rotating spindle apparatus. In Proceedings of the 10th International scientific conference of Civil and Environmental Engineering, Košice, Slovak Republic, 26–27 April 2018. [Google Scholar]
- Paliukaite, M.; Vaitkus, A.; Zofka, A. Evaluation of bitumen fractional composition depending on the cruise oil type and production technology. In Proceedings of the 9th International Conference Environmental Engineering, Vilnius, Lithuania, 22–23 May 2014. [Google Scholar]
- Oyekunle, L.O. Influence of Chemical Composition on the Physical Characteristics of Paving Asphalt. Pet. Sci. Technol. 2007, 25, 1401–1414. [Google Scholar] [CrossRef]
- Gaestel, C.R.; Smadja, K.A. Lamminan Contribution à la connaissance des propriétés des bitumes routiers. Rev. Générale Des Routes Aérodromes 1971, 466, 85–97. [Google Scholar]
- Oliver, J.W.H. Changes in the chemical composition of Australian bitumens. Road Mater. Pavement Des. 2009, 10, 569–586. [Google Scholar] [CrossRef]
- Haider, S.W.; Mirza, M.W.; Thottempudi, A.K.; Bari, J.; Baladi, G.Y. Effect of Test Methods on Viscosity Temperature Susceptibility Characterization of Asphalt Binders for the Mechanistic-Empirical Pavement Design Guide. In Proceedings of the T&DI Congress 2011, Chicago, IL, USA, 13–16 March 2011. [Google Scholar]
- Mallick, R.B.; El-Korchi, T. Pavement Engineering: Principles and Practise; CRC Press: Boca Raton, FL, USA, 2009; ISBN 9781420060294. [Google Scholar]











| Bitumen | Fitted Parameters | ||
|---|---|---|---|
| Slope | Offset | R2 | |
| 50/70 | 3.873 | 10.556 | 0.996 |
| 35/50 | 3.697 | 10.085 | 0.991 |
| 45/80-75 | 3.093 | 8.611 | 0.988 |
| 25/55-60 | 3.219 | 8.931 | 0.992 |
| Effect | 50/70 | 35/50 | PMB 45/80-75 |
|---|---|---|---|
| p-Value (df = 12) | p-Value (df = 3) | p-Value (df = 5) | |
| Test temperature (in a range of 120 to 190 °C) | <0.001 | <0.001 | <0.001 |
Disclaimer/Publisher’s Note: The statements, opinions and data contained in all publications are solely those of the individual author(s) and contributor(s) and not of MDPI and/or the editor(s). MDPI and/or the editor(s) disclaim responsibility for any injury to people or property resulting from any ideas, methods, instructions or products referred to in the content. |
© 2023 by the authors. Licensee MDPI, Basel, Switzerland. This article is an open access article distributed under the terms and conditions of the Creative Commons Attribution (CC BY) license (https://creativecommons.org/licenses/by/4.0/).
Share and Cite
Remisova, E.; Briliak, D.; Holy, M. Evaluation of Thermo-Viscous Properties of Bitumen Concerning the Chemical Composition. Materials 2023, 16, 1379. https://doi.org/10.3390/ma16041379
Remisova E, Briliak D, Holy M. Evaluation of Thermo-Viscous Properties of Bitumen Concerning the Chemical Composition. Materials. 2023; 16(4):1379. https://doi.org/10.3390/ma16041379
Chicago/Turabian StyleRemisova, Eva, Dusan Briliak, and Michal Holy. 2023. "Evaluation of Thermo-Viscous Properties of Bitumen Concerning the Chemical Composition" Materials 16, no. 4: 1379. https://doi.org/10.3390/ma16041379
APA StyleRemisova, E., Briliak, D., & Holy, M. (2023). Evaluation of Thermo-Viscous Properties of Bitumen Concerning the Chemical Composition. Materials, 16(4), 1379. https://doi.org/10.3390/ma16041379

