Warm Mix Asphalt Binder Utilizing Water Foaming and Fluxing Using Bio-Derived Agent
Abstract
1. Introduction
2. Materials and Methods
2.1. Materials
2.1.1. Asphalt Binder
2.1.2. Bio-Derived Fluxing Agent (Bioflux)
- −
- Cobalt catalyst: 0.1% m/m converted to metal;
- −
- Polymerization initializer: cumene hydrogen peroxide 1.0% m/m.
2.2. Methods
2.2.1. Design of Experiment
- −
- Non-foamed asphalt binders (designation: NF);
- −
- Foamed asphalt binders, tested immediately after foaming (designation: F);
- −
- Foamed asphalt binders, tested 14 days after foaming (designation: F-14d).
2.2.2. Testing Methods
- −
- Classical properties of asphalt binders:
- o
- Penetration at 25 °C (EN 1426);
- o
- Softening point (EN 1427);
- o
- Fraass breaking point (EN 12593);
- o
- Elastic recovery (EN 13398)–only polymer-modified bitumen;
- o
- Dynamic viscosity using a rotational viscometer at 90 °C, 110 °C and 135 °C (EN 13702-2).
- −
- Performance characteristics of asphalt binders:
- o
- Oscillatory dynamic shear testing for obtaining G*/sin(δ) values and calculating high critical temperatures (G*/sin(δ) = 1.0 kPa before RTFOT or G*/sin(δ) = 2.2 after RTFOT, EN 14770);
- o
- Multiple stress creep recovery testing using DSR for evaluating non-recoverable compliance and recovery after RTFOT (EN 16659);
- o
- Bending beam rheometer testing for evaluating low critical temperatures after RTFOT + PAV (S60 = 300 MPa or m60 = 0.3, EN 14771).
- −
- Type of the asphalt binder (50/70, 45/80–55, and 45/80–80);
- −
- Asphalt foaming (NF, F, F-14d);
- −
- Bioflux additive content (0%, 1%, 2%, and 3%).
3. Results
3.1. Classical Properties of the Investigated Asphalt Binders
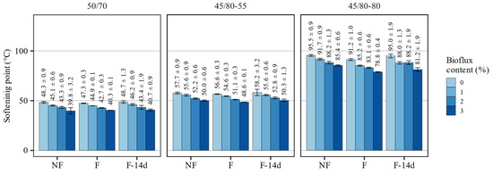
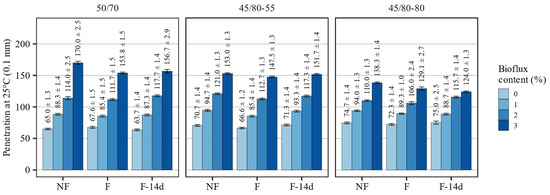
3.1.1. Penetration at 25 °C, Softening Point, and Fraass Breaking Point
3.1.2. Elastic Recovery
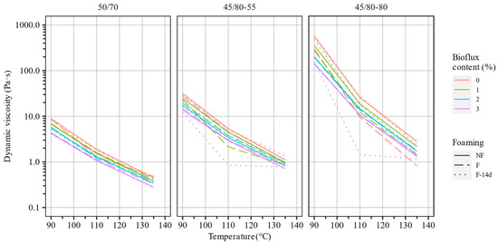
3.1.3. Dynamic Viscosity
3.2. Performance Characteristics of the Investigated Asphalt Binders
3.2.1. High and Low Critical Temperatures Measured in Dynamic Shear and Bending Beam Rheometers
3.2.2. Multiple Stress Creep Recovery Performance
4. Multivariate Optimization
5. Conclusions
- −
- The typical classification properties of the investigated binders (penetration, softening point, and Fraass breaking point) were very strongly influenced by the addition of the fluxing agent, and to a lesser degree by foaming; the penetration of the binders significantly increased, while the softening and breaking points decreased due to the addition of the fluxing agent.
- −
- The elastic recovery of the polymer-modified binders increase slightly with the addition of Bioflux (particularly the 45/80–80 asphalt binder), while foaming had negligible effects in this case.
- −
- Both foaming and fluxing resulted in a decrease in dynamic viscosity of all evaluated binders, but the effects were not additive, which resulted in that the foaming had little effect on the dynamic viscosity of asphalt binders when the Bioflux agent was added; the greatest relative reductions in dynamic viscosity were seen in the 45/80–80 asphalt binder, followed by the 45/80–55 binder.
- −
- When present, the effects of foaming were significant only directly after the process and did not persist when evaluated 14 days after foaming.
- −
- Major deterioration of the high-temperature performance due to introduction of the fluxing agent in the 50/70 and 45/80–55 asphalt binders was observed, both before and after foaming,
- −
- The 45/80–80 highly modified bitumen recorded decreased high critical temperatures and increased non-recoverable compliance in the non-foamed state, but after foaming, the fluxed 45/80–80 asphalt binder recorded improved high-temperature performance when 1% and 3% of Bioflux was used, which resulted in increased service temperature range, spanning up to 106.6 °C.
Author Contributions
Funding
Institutional Review Board Statement
Informed Consent Statement
Data Availability Statement
Acknowledgments
Conflicts of Interest
References
- Peng, B.; Cai, C.; Yin, G.; Li, W.; Zhan, Y. Evaluation system for CO2 emission of hot asphalt mixture. J. Traffic Transp. Eng. Engl. Ed. 2015, 2, 116–124. [Google Scholar] [CrossRef]
- Autelitano, F.; Giuliani, F. Analytical assessment of asphalt odor patterns in hot mix asphalt production. J. Clean. Prod. 2018, 172, 1212–1223. [Google Scholar] [CrossRef]
- Thives, L.P.; Ghisi, E. Asphalt mixtures emission and energy consumption: A review. Renew. Sustain. Energy Rev. 2017, 72, 473–484. [Google Scholar] [CrossRef]
- Almeida-Costa, A.; Benta, A. Economic and environmental impact study of warm mix asphalt compared to hot mix asphalt. J. Clean. Prod. 2016, 112, 2308–2317. [Google Scholar] [CrossRef]
- Xiu, M.; Wang, X.; Morawska, L.; Pass, D.; Beecroft, A.; Mueller, J.F.; Thai, P. Emissions of particulate matters, volatile organic compounds and polycyclic aromatic hydrocarbons from warm and hot asphalt mixes. J. Clean. Prod. 2020, 275, 123094. [Google Scholar] [CrossRef]
- Autelitano, F.; Garilli, E.; Giuliani, F. Half-warm mix asphalt with emulsion. An experimental study on workability and mechanical performances. Transp. Res. Procedia 2021, 55, 1081–1089. [Google Scholar] [CrossRef]
- Pasandín, A.R.; Pérez, I.; Gómez-Meijide, B. Performance of high RAP half-warm mix asphalt. Sustainability 2020, 12, 10240. [Google Scholar] [CrossRef]
- Iwański, M.M. Effect of Hydrated Lime on Indirect Tensile Stiffness Modulus of Asphalt Concrete Produced in Half-Warm Mix Technology. Materials 2020, 13, 4731. [Google Scholar] [CrossRef]
- Remišová, E.; Holý, M. Changes of Properties of Bitumen Binders by Additives Application. IOP Conf. Ser. Mater. Sci. Eng. 2017, 245, 032003. [Google Scholar] [CrossRef]
- Pereira, R.; Almeida-Costa, A.; Duarte, C.; Benta, A. Warm mix asphalt: Chemical additives’ effects on bitumen properties and limestone aggregates mixture compactibility. Int. J. Pavement Res. Technol. 2018, 11, 285–299. [Google Scholar] [CrossRef]
- Ghabchi, R.; Singh, D.; Zaman, M. Laboratory evaluation of stiffness, low-temperature cracking, rutting, moisture damage, and fatigue performance of WMA mixes. Road Mater. Pavement Des. 2015, 16, 334–357. [Google Scholar] [CrossRef]
- Iwański, M.M. Synergistic Effect of F–T Synthetic Wax and Surface-Active Agent Content on the Properties and Foaming Characteristics of Bitumen 50/70. Materials 2021, 14, 300. [Google Scholar] [CrossRef] [PubMed]
- Chomicz-Kowalska, A.; Maciejewski, K.; Iwański, M.M.; Janus, K. Effects of zeolites and hydrated lime on volumetrics and moisture resistance of foamed warm mix asphalt concrete. Bull. Polish Acad. Sci. Tech. Sci. 2021, 69, 1–9. [Google Scholar] [CrossRef]
- Woszuk, A.; Panek, R.; Madej, J.; Zofka, A.; Franus, W. Mesoporous silica material MCM-41: Novel additive for warm mix asphalts. Constr. Build. Mater. 2018, 183, 270–274. [Google Scholar] [CrossRef]
- Zhang, Y.; Leng, Z.; Zou, F.; Wang, L.; Chen, S.S.; Tsang, D.C.W. Synthesis of zeolite A using sewage sludge ash for application in warm mix asphalt. J. Clean. Prod. 2018, 172, 686–695. [Google Scholar] [CrossRef]
- Ahmadzadegan, F.; Sarkar, A. Mechanical properties of warm mix asphalt-stone matrix asphalt modified with nano zeolite material. J. Test. Eval. 2022, 50, 1–17. [Google Scholar] [CrossRef]
- Iwanski, M.M.; Chomicz-Kowalska, A.; Maciejewski, K. Resistance to moisture-induced damage of half-warm-mix asphalt concrete with foamed bitumen. Materials 2020, 13, 654. [Google Scholar] [CrossRef]
- Bairgi, B.K.; Mannan, U.A.; Tarefder, R.A. Tribological Evaluation for an In-Depth Understanding of Improved Workability of Foamed Asphalt. Transp. Res. Rec. J. Transp. Res. Board 2019, 2673, 533–545. [Google Scholar] [CrossRef]
- Yin, F.; Arambula, E.; Newcomb, D.E. Effect of water content on binder foaming characteristics and foamed mixture properties. Transp. Res. Rec. 2015, 2506, 1–7. [Google Scholar] [CrossRef]
- Iwański, M.; Chomicz-Kowalska, A.; Mazurek, G.; Buczyński, P.; Cholewińska, M.; Iwański, M.M.; Maciejewski, K.; Ramiączek, P. Effects of the Water-Based Foaming Process on the Basic and Rheological Properties of Bitumen 70/100. Materials 2021, 14, 2803. [Google Scholar] [CrossRef]
- Mohd Hasan, M.R.; You, Z. Ethanol based foamed asphalt as potential alternative for low emission asphalt technology. J. Traffic Transp. Eng. Engl. Ed. 2016, 3, 116–126. [Google Scholar] [CrossRef]
- Mohd Hasan, M.R.; Guo, T.; Wang, H.; Mohamed Jaafar, Z.F.; You, Z. Experimental assessments of methanol-based foaming agent in latex modified foamed binders and warm asphalt mixtures. J. Road Eng. 2022, 2, 84–97. [Google Scholar] [CrossRef]
- Gunka, V.; Prysiazhnyi, Y.; Demchuk, Y.; Hrynchuk, Y.; Sidun, I.; Reutskyy, V.; Bratychak, M. Production of Bitumen Modified With Low-Molecular Organic Compounds From Petroleum Residues. 5. Use of Maleic Anhydride for Foaming Bitumens. Chem. Chem. Technol. 2022, 16, 295–302. [Google Scholar] [CrossRef]
- Jan, K.; Radziszewski, P.; Piłat, J.; Kowalski, K.J.; Matraszek, K.; Świerzewski, P.; Gorol, J. WMA technologies in the aspect of modifying the properties of asphalt binders. MMAC project. Part 2 (in Polish). Mag. Autostrady 2011, 7, 16–20. [Google Scholar]
- Król, J.B.; Kowalski, K.J.; Niczke, Ł.; Radziszewski, P. Effect of bitumen fluxing using a bio-origin additive. Constr. Build. Mater. 2016, 114, 194–203. [Google Scholar] [CrossRef]
- Plewa, A. Asphalt mixtures with binders fluidized by addition of vegetable origin oil for applications as flexible anti-crack layers. Roads Bridges-Drog. Mosty 2019, 18, 181–192. [Google Scholar] [CrossRef]
- Kowalski, K.J.; Król, J.B.; Bańkowski, W.; Radziszewski, P.; Sarnowski, M. Thermal and fatigue evaluation of asphalt mixtures containing RAP treated with a bio-agent. Appl. Sci. 2017, 7, 216. [Google Scholar] [CrossRef]
- Piłat, J.; Gaweł, I.; Radziszewski, P.; Niczke, Ł.; Król, J.B.; Sarnowski, M. Cut-Back Asphalt and Method for Producing the Cut-back Asphalt (Asfalt Fluksowany i Sposób Wytwarzania Asfaltu Fluksowanego). Polish Patent No. PL 214138, 18 October 2012. [Google Scholar]
- Gawel, I.; Pilat, J.; Radziszewski, P.; Niczke, L.; Krol, J.; Sarnowski, M. Bitumen fluxes of vegetable origin. Polimery 2010, 55, 55–60. [Google Scholar] [CrossRef]
- Król, J.B.; Niczke, Ł.; Kowalski, K.J. Towards understanding the polymerization process in Bitumen bio-fluxes. Materials 2017, 10, 1058. [Google Scholar] [CrossRef]
- Somé, S.C.; Gaudefroy, V.; Delaunay, D. Effect of vegetable oil additives on binder and mix properties: Laboratory and field investigation. Mater. Struct. Constr. 2016, 49, 2197–2208. [Google Scholar] [CrossRef]
- Rasman, M.; Hassan, N.A.; Hainin, M.R.; Putra Jaya, R.; Haryati, Y.; Shukry, N.A.M.; Abdullah, M.E.; Kamaruddin, N.H.M. Engineering properties of bitumen modified with bio-oil. MATEC Web Conf. 2018, 250, 02003. [Google Scholar] [CrossRef]
- Xinxin, C.; Xuejuan, C.; Boming, T.; Yuanyuan, W.; Xiaolong, L. Investigation on possibility of waste vegetable oil rejuvenating aged asphalt. Appl. Sci. 2018, 8, 765. [Google Scholar] [CrossRef]
- Zaumanis, M.; Mallick, R.B.; Poulikakos, L.; Frank, R. Influence of six rejuvenators on the performance properties of Reclaimed Asphalt Pavement (RAP) binder and 100% recycled asphalt mixtures. Comput. Chem. Eng. 2014, 71, 538–550. [Google Scholar] [CrossRef]
- Maciejewski, K.; Chomicz-Kowalska, A.; Remisova, E. Effects of water-foaming and liquid warm mix additive on the properties and chemical composition of asphalt binders in terms of short term ageing process. Constr. Build. Mater. 2022, 341, 127756. [Google Scholar] [CrossRef]
- Maciejewski, K.; Ramiaczek, P.; Remisova, E. Effects of short-term ageing temperature on conventional and high-temperature properties of paving-grade bitumen with anti-stripping and wma additives. Materials 2021, 14, 6229. [Google Scholar] [CrossRef]
- Ghabchi, R.; Rani, S.; Zaman, M.; Ali, S.A. Effect of WMA additive on properties of PPA-modified asphalt binders containing anti-stripping agent. Int. J. Pavement Eng. 2021, 22, 418–431. [Google Scholar] [CrossRef]
- Turbay, E.; Martinez-Arguelles, G.; Navarro-Donado, T.; Sanchez-Cotte, E.; Polo-Mendoza, R.; Covilla-Valera, E. Rheological Behaviour of WMA-Modified Asphalt Binders with Crumb Rubber. Polymers 2022, 14, 4148. [Google Scholar] [CrossRef]
- Wang, H.; Liu, X.; Apostolidis, P.; Scarpas, T. Review of warm mix rubberized asphalt concrete: Towards a sustainable paving technology. J. Clean. Prod. 2018, 177, 302–314. [Google Scholar] [CrossRef]
- Ozturk, H.I.; Kamran, F. Laboratory evaluation of dry process crumb rubber modified mixtures containing Warm Mix Asphalt Additives. Constr. Build. Mater. 2019, 229, 116940. [Google Scholar] [CrossRef]
- Ragni, D.; Ferrotti, G.; Lu, X.; Canestrari, F. Effect of temperature and chemical additives on the short-term ageing of polymer modified bitumen for WMA. Mater. Des. 2018, 160, 514–526. [Google Scholar] [CrossRef]
- Pucułek, M.; Liphardt, A.; Radziszewski, P. Evaluation of the possibility of reduction of highly modified binders technological temperatures. Arch. Civ. Eng. 2020, 67, 557–570. [Google Scholar] [CrossRef]
- Maciejewski, K.; Chomicz-Kowalska, A. Foaming Performance and FTIR Spectrometric Analysis of Foamed Bituminous Binders Intended for Surface Courses. Materials 2021, 14, 2055. [Google Scholar] [CrossRef] [PubMed]
- WT-2 2014. Asphalt Mixes. Technical Requirements. Appendix to Ordinance No. 54 of the General Director of National Roads and Highways. 8 November 2014. Available online: https://www.gov.pl/attachment/34584de6-9577-4d36-876a-2e11c703128c (accessed on 15 November 2022).
- Martinez-Arguelles, G.; Giustozzi, F.; Crispino, M.; Flintsch, G.W. Investigating physical and rheological properties of foamed bitumen. Constr. Build. Mater. 2014, 72, 423–433. [Google Scholar] [CrossRef]
- Chomicz-Kowalska, A.; Maciejewski, K. Multivariate Optimization of Recycled Road Base Cold Mixtures with Foamed Bitumen. Procedia Eng. 2015, 108, 436–444. [Google Scholar] [CrossRef]











| Property | Unit of Measurement | Base Bitumen | Testing Method | ||
|---|---|---|---|---|---|
| 50/70 | 45/80–55 | 45/80–80 | |||
| Penetration at 25 °C | 0.1 mm | 65 | 71 | 75 | EN 1426 |
| Softening point | °C | 48.2 | 57.8 | 95.5 | EN 1427 |
| Fraass breaking point | °C | −13 | −18 | −22 | EN 12593 |
| Dynamic viscosity at 135 °C | Pa·s | 0.45 | 1.11 | 2.81 | EN 13702–2 |
| Dynamic viscosity at 135 °C after RTFOT | Pa·s | 0.65 | 1.51 | 3.77 | EN 13702–2 |
| Property | Rapeseed Methyl Esters, RME |
|---|---|
| Iodine number, g I2/100 g | ≥100 |
| Viscosity at 25 °C, Pa·s | ≤0.008 |
| Acid number, mg KOH/g | ≤0.50 |
| Flashpoint, °C | ≥180 |
| Asphalt Binder | Penetration at 25 °C | Softening Point (R and B) | Fraass Breaking Point | ||||||
|---|---|---|---|---|---|---|---|---|---|
| p-Values | 50/70 | 45/80–55 | 45/80–80 | 50/70 | 45/80–55 | 45/80–80 | 50/70 | 45/80–55 | 45/80–80 |
| Intercept | <0.001 | <0.001 | <0.001 | <0.001 | <0.001 | <0.001 | <0.001 | <0.001 | <0.001 |
| Bioflux | <0.001 | <0.001 | <0.001 | <0.001 | <0.001 | 0.002 | 0.012 | 0.005 | 0.154 |
| Foaming: F | 0.750 | 0.284 | 0.691 | 0.035 | 0.040 | 0.036 | 0.890 | 0.093 | 0.561 |
| F-14d | 0.882 | 0.976 | 0.764 | 0.193 | 0.328 | 0.585 | 0.854 | 0.021 | 0.358 |
| Bioflux × Foaming: F | 0.378 | 0.908 | 0.469 | 0.061 | 0.571 | 0.572 | 0.045 | 0.223 | 0.799 |
| F-14d | 0.612 | 0.780 | 0.253 | 0.741 | 0.852 | 0.475 | 0.449 | 0.035 | 0.932 |
| Adj. R2 | 0.938 | 0.980 | 0.966 | 0.991 | 0.990 | 0.917 | 0.710 | 0.918 | 0.312 |
| Asphalt Binder | Elastic Recovery | |
|---|---|---|
| p-Values | 45/80–55 | 45/80–80 |
| Intercept | <0.001 | <0.001 |
| Bioflux | 0.011 | 0.196 |
| Foaming: F | 0.074 | 0.375 |
| F-14d | 0.030 | 0.985 |
| Bioflux × Foaming: F | 0.078 | 0.915 |
| F-14d | 0.124 | 0.782 |
| Adj. R2 | 0.219 | 0.079 |
| Asphalt Binder | High Critical Temperature | Low Critical Temperature | ||||
|---|---|---|---|---|---|---|
| p-Values | 50/70 | 45/80–55 | 45/80–80 | 50/70 | 45/80–55 | 45/80–80 |
| Intercept | <0.001 | <0.001 | <0.001 | <0.001 | <0.001 | <0.001 |
| Bioflux | <0.001 | 0.000 | 0.303 | <0.001 | <0.001 | 0.028 |
| Foaming: F | 0.147 | 0.047 | 0.733 | <0.001 | 0.004 | 0.054 |
| F-14d | 0.542 | 0.477 | 0.670 | 0.003 | 0.596 | 0.544 |
| Bioflux × Foaming F | 0.105 | 0.312 | 0.882 | 0.049 | 0.239 | 0.015 |
| F-14d | 0.567 | 0.551 | 0.550 | 0.009 | 0.239 | 0.252 |
| Adj. R2 | 0.948 | 0.963 | 0.027 | 0.928 | 0.952 | 0.434 |
| Asphalt Binder | Jnr 3.2 kPa | R3.2 kPa | ||||
|---|---|---|---|---|---|---|
| p-Values | 50/70 | 45/80–55 | 45/80–80 | 50/70 | 45/80–55 | 45/80–80 |
| Intercept | 0.012 | <0.001 | <0.001 | - | <0.001 | <0.001 |
| Bioflux | 0.031 | <0.001 | 0.435 | - | <0.001 | 1.000 |
| Foaming: F | 0.951 | 0.389 | 0.631 | - | 0.831 | 0.531 |
| F-14d | 0.795 | 0.561 | 0.703 | - | 0.466 | 0.832 |
| Bioflux × Foaming: F | 0.216 | 0.121 | 0.601 | - | 0.929 | 0.439 |
| F-14d | 0.694 | 0.294 | 0.381 | - | 0.926 | 0.557 |
| Adj. R2 | 0.759 | 0.957 | 0.018 | - | 0.918 | 0.228 |
| Response Characteristic | Unit of Measurement | Data | Specification Limits | ||
|---|---|---|---|---|---|
| Minimum | Maximum | LSL | USL | ||
| High critical temperature (TC-High) | °C | 60 | 85.8 | 59.4 | 85.8 |
| Low critical temperature (TC-Low) | °C | −12.3 | −24.8 | −12.177 | −24.8 |
| Non-recoverable compliance (Jnr 3.2 kPa) | 1/kPa | 4.54 | 0.016 | 4.5854 | 0.016 |
| MSCR recovery (R3.2 kPa) | % | 0 | 97 | −1 | 97 |
| Assigned desirability | - | - | - | 0.0 | 1.0 |
Publisher’s Note: MDPI stays neutral with regard to jurisdictional claims in published maps and institutional affiliations. |
© 2022 by the authors. Licensee MDPI, Basel, Switzerland. This article is an open access article distributed under the terms and conditions of the Creative Commons Attribution (CC BY) license (https://creativecommons.org/licenses/by/4.0/).
Share and Cite
Iwański, M.; Chomicz-Kowalska, A.; Maciejewski, K.; Iwański, M.M.; Radziszewski, P.; Liphardt, A.; Król, J.B.; Sarnowski, M.; Kowalski, K.J.; Pokorski, P. Warm Mix Asphalt Binder Utilizing Water Foaming and Fluxing Using Bio-Derived Agent. Materials 2022, 15, 8873. https://doi.org/10.3390/ma15248873
Iwański M, Chomicz-Kowalska A, Maciejewski K, Iwański MM, Radziszewski P, Liphardt A, Król JB, Sarnowski M, Kowalski KJ, Pokorski P. Warm Mix Asphalt Binder Utilizing Water Foaming and Fluxing Using Bio-Derived Agent. Materials. 2022; 15(24):8873. https://doi.org/10.3390/ma15248873
Chicago/Turabian StyleIwański, Marek, Anna Chomicz-Kowalska, Krzysztof Maciejewski, Mateusz M. Iwański, Piotr Radziszewski, Adam Liphardt, Jan B. Król, Michał Sarnowski, Karol J. Kowalski, and Piotr Pokorski. 2022. "Warm Mix Asphalt Binder Utilizing Water Foaming and Fluxing Using Bio-Derived Agent" Materials 15, no. 24: 8873. https://doi.org/10.3390/ma15248873
APA StyleIwański, M., Chomicz-Kowalska, A., Maciejewski, K., Iwański, M. M., Radziszewski, P., Liphardt, A., Król, J. B., Sarnowski, M., Kowalski, K. J., & Pokorski, P. (2022). Warm Mix Asphalt Binder Utilizing Water Foaming and Fluxing Using Bio-Derived Agent. Materials, 15(24), 8873. https://doi.org/10.3390/ma15248873

