Impedance Spectroscopy as a Powerful Tool for Researching Molybdenum-Based Materials with Schiff Base Hydrazones
Abstract
1. Introduction
2. Materials and Methods
2.1. Preparation
2.1.1. Preparation of the Ligands
- H2L1: Color: yellow, Yield: 70.22%
- IR-ATR: 3336 cm−1 (N–H), 1651 cm−1 (C=O), 1603 cm−1 (C=N), 1479 cm−1 (C=C), 1275 cm−1 (C–O)
- EA: Ctheo: 55.82, Cfound: 55.56, Htheo: 3.68, Hfound: 3.57, Ntheo: 13.95, Nfound: 13.81%.
- DSC: Onset 302.82 °C, E = 2.86 kJ mol−1
- H2L2: Color: yellow, Yield: 93.26%
- IR-ATR: 3317 cm−1 (N–H), 1651 cm−1 (C=O), 1588 cm−1 (C=N), 1502 cm−1 (C=C), 1238 cm−1 (C–O)
- EA: Ctheo: 55.82, Cfound: 55.70, Htheo: 3.68, Hfound: 3.49, Ntheo: 13.95, Nfound: 13.63%.
- DSC: Onset 304.57 °C, E= 0.21 kJ mol−1
2.1.2. Preparation of the Complexes
- [MoO2(L1)(MeOH)]: Color: yellow, Yield: 46.89%
- IR-ATR: 1606 cm−1 (C=N), 1525 cm−1 (C=C), 1267 cm−1 (C–O), 1017 cm−1 (MeOH), 917 and 892 cm−1 (Mo=O)
- TGA: MeOHtheo: 6.98%, MeOHexp: 7.45%, MoO3theo: 29.25%, MoO3exp: 27.37%.
- EA: Ctheo: 39.23, Cfound: 39.13, Htheo: 2.85, Hfound: 2.68, Ntheo: 9.15, Nfound: 9.02%.
- [MoO2(L1)(EtOH)]: Color: yellow, Yield: 52.98%
- IR-ATR: 1606 cm−1 (C=N), 1515 cm−1 (C=C), 1270 cm−1 (C–O), 1042 cm−1 (EtOH), 918 and 903 cm−1 (Mo=O)
- TGA: EtOHtheo: 9.75%, EtOHexp: 10.3%, MoO3theo: 30.49%, MoO3exp: 28.51%.
- EA: Ctheo: 40.61, Cfound: 40.49, Htheo: 3.19, Hfound: 3.06, Ntheo: 8.88, Nfound: 8.55%.
- [MoO2(L1)(2-PrOH)]∙2-PrOH: Color: yellow, Yield: 24.57%
- IR-ATR: 1604 cm−1 (C=N), 1503 cm−1 (C=C), 1250 cm−1 (C–O), 943 cm−1 (PrOH), 921 and 909 cm−1 (Mo=O)
- TGA: PrOHtheo: 22.01%, PrOHexp: 19.6%, MoO3theo: 26.34%, MoO3exp: 25.26%.
- EA: Ctheo: 43.89, Cfound: 43.79, Htheo: 4.60, Hfound: 4.48, Ntheo: 7.68, Nfound: 7.53%.
- [MoO2(L2)(MeOH)]: Color: yellow, Yield: 31.22%
- IR-ATR: 1602 cm−1 (C=N), 1491 cm−1 (C=C), 1269 cm−1 (C–O), 1017 cm−1 (MeOH), 941 and 907 cm−1 (Mo=O)
- TGA: MeOHtheo: 6.98%, MeOHexp: 7.21%, MoO3theo: 29.25%, MoO3exp: 28.46%.
- EA: Ctheo: 39.23, Cfound: 39.07, Htheo: 2.85, Hfound: 2.70, Ntheo: 9.15, Nfound: 9.06%.
- Color: brown, Yield: 38.30%
- IR-ATR: 1602 cm−1 (C=N), 1513 cm−1 (C=C), 1215 cm−1 (C–O), 829 and 810 cm−1 (Mo=O)
- TGA: MoO3theo: 33.69%, MoO3exp: 32.67%.
- EA: Ctheo: 39.36, Cfound: 39.21, Htheo: 2.12, Hfound: 2.04, Ntheo: 9.84, Nfound: 9.62%.
2.2. Stability Investigation
2.3. Impedance Spectroscopy Measurements
2.4. Physical Methods
3. Results and Discussion
3.1. Preparation and Characterization of Molybdenum Complexes
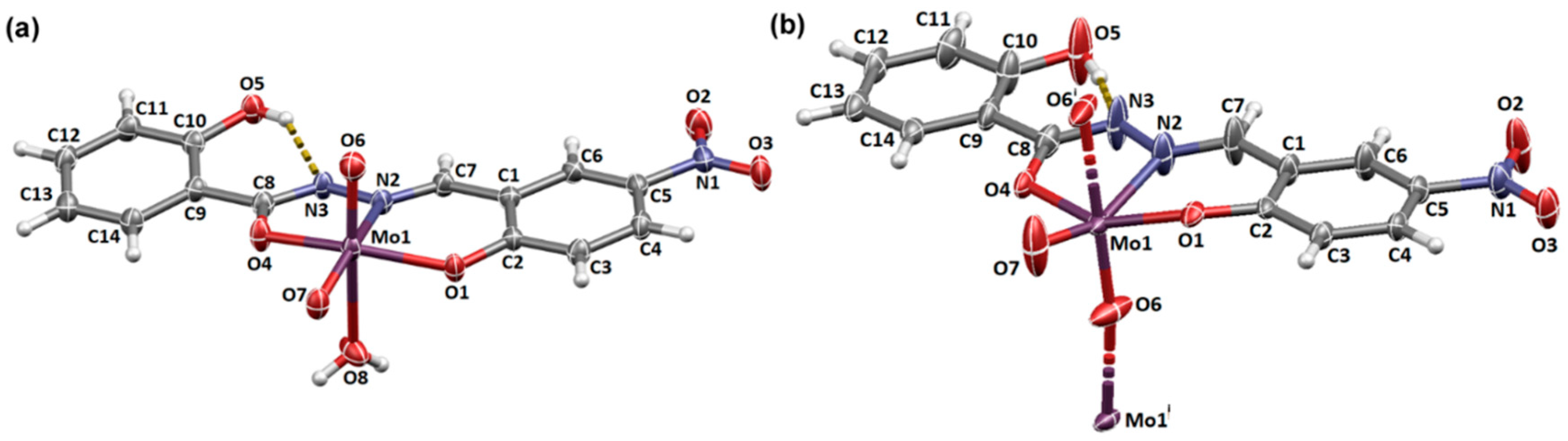
3.2. Description of Molecular and Crystal Structures
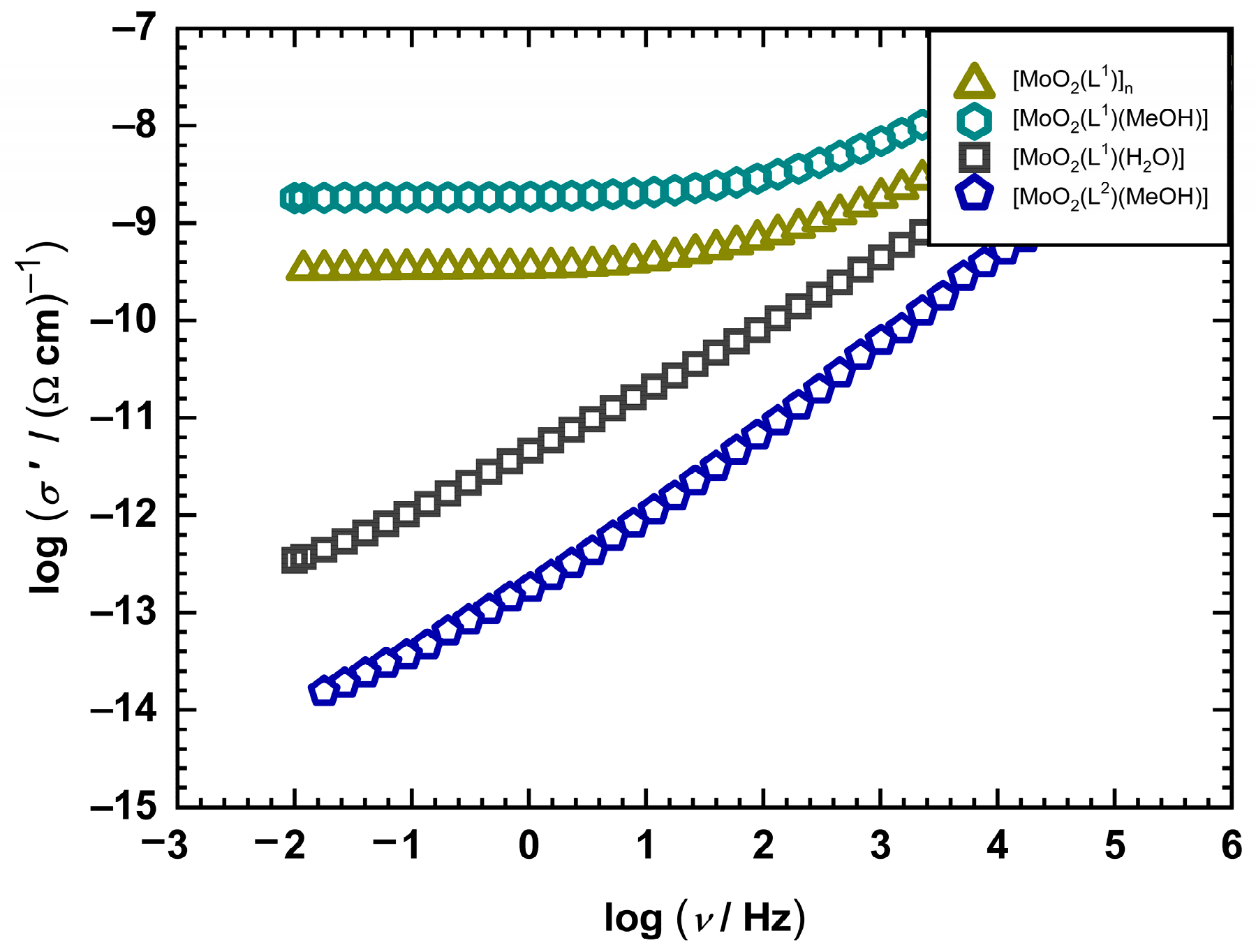
3.3. Impedance Spectroscopy Investigation of the Chosen Molybdenum Complexes
4. Conclusions
Supplementary Materials
Author Contributions
Funding
Institutional Review Board Statement
Informed Consent Statement
Data Availability Statement
Acknowledgments
Conflicts of Interest
References
- Rodríguez-Argüelles, M.C.; Mosquera-Vázquez, S.; Touron-Touceda, P.; Sanmartin-Matalobos, J.; García-Deibe, A.M.; Belicchi-Ferrari, M.; Pelosi, G.; Pelizzi, C.; Zani, F. Complexes of 2-thiophenecarbonyl and isonicotinoyl hydrazones of 3-(N-methyl) isatin: A study of their antimicrobial activity. J. Inorg. Biochem. 2007, 101, 138–147. [Google Scholar] [CrossRef]
- Kalinowski, D.S.; Sharpe, P.C.; Bernhardt, P.V.; Richardson, D.R. Structure–activity relationships of novel iron chelators for the treatment of iron overload disease: The methyl pyrazinylketone isonicotinoyl hydrazone series. J. Med. Chem. 2008, 51, 331–344. [Google Scholar]
- Kargar, H.; Kaka-Naeini, A.; Fallah-Mehrjardi, M.; Behjatmanesh-Ardakani, R.; Rudbari, H.A.; Munawar, K.S. Oxovanadium and dioxomolybdenum complexes: Synthesis, crystal structure, spectroscopic characterization and applications as homogeneous catalysts in sulfoxidation. J. Coord. Chem. 2021, 74, 1563–1583. [Google Scholar] [CrossRef]
- Karman, M.; Romanowski, G. Cis-dioxidomolybdenum(VI) complexes with chiral tetradentate Schiff bases: Synthesis, spectroscopic characterization and catalytic activity in sulfoxidation and epoxidation. Inorg. Chim. Acta 2020, 511, 119832. [Google Scholar] [CrossRef]
- Judmaier, M.E.; Holzer, C.; Volpe, M.; Mösch-Zanetti, N.C. Molybdenum (VI) dioxo complexes employing Schiff base ligands with an intramolecular donor for highly selective olefin epoxidation. Inorg. Chem. 2012, 51, 9956–9966. [Google Scholar] [CrossRef] [PubMed]
- Pisk, J.; Agustin, D.; Vrdoljak, V. Tetranuclear molybdenum(VI) hydrazonato epoxidation (pre)catalysts: Is water always the best choice? Catal. Commun. 2020, 142, 106027–106031. [Google Scholar]
- Pisk, J.; Rubčić, M.; Kuzman, D.; Cindrić, M.; Agustin, D.; Vrdoljak, V. Molybdenum(VI) complexes of hemilabile aroylhydrazone ligands as efficient catalysts for greener cyclooctene epoxidation: An experimental and theoretical approach. New J. Chem. 2019, 43, 5531–5542. [Google Scholar] [CrossRef]
- Mihalinec, J.; Pajski, M.; Guillo, P.; Mandarić, M.; Bebić, N.; Pisk, J.; Vrdoljak, V. Alcohol Oxidation Assisted by Molybdenum Hydrazonato Catalysts Employing Hydroperoxide Oxidants. Catalysts 2021, 11, 881. [Google Scholar] [CrossRef]
- Lacroix, P.G.; Averseng, F.; Malfant, I.; Nakatani, K. Synthesis, crystal structures, and molecular hyperpolarizabilities of a new Schiff base ligand, and its copper (II), nickel (II), and cobalt (II) metal complexes. Inorg. Chim. Acta 2004, 357, 3825–3835. [Google Scholar] [CrossRef]
- Sarkar, S.; Aydogdu, Y.; Dagdelen, F.; Bhaumik, B.B.; Dey, K. X-ray diffraction studies, thermal, electrical and optical properties of oxovanadium (IV) complexes with quadridentate schiff bases. Mater. Chem. Phys. 2004, 88, 357–363. [Google Scholar] [CrossRef]
- Sun, Z.Y.; Yuan, R.; Chai, Y.Q.; Xu, L.; Gan, X.X.; Xu, W.J. Study of a bis-furaldehyde Schiff base copper (II) complex as carrier for preparation of highly selective thiocyanate electrodes. Anal. Bioanal. Chem. 2004, 378, 490–494. [Google Scholar] [CrossRef] [PubMed]
- Revanasiddappa, M.; Khasim, S.; Raghavendra, S.C.; Basavaraja, C.; Suresh, T.; Angadi, S.D. Electrical conductivity studies on Co (II), Cu (II), Ni (II) and Cd (II) complexes of azines. E-J. Chem. 2008, 5, 797–801. [Google Scholar]
- Ding, K.Q.; Jia, Z.B.; Wang, Q.F.; Tian, N.; Tong, R.T.; Wang, X.K.; Shao, H.B. Electrochemical Impedance Study of Schiff Base by Means of Self-assembled Monolayer. Chin. Chem. Lett. 2001, 12, 1101–1104. [Google Scholar]
- Joseyphus, R.S.; Viswanathan, E.; Dhanaraj, C.J.; Joseph, J. Dielectric properties and conductivity studies of some tetradentate cobalt (II), nickel (II), and copper (II) Schiff base complexes. J. King Saud Univ. Sci. 2012, 24, 233–236. [Google Scholar] [CrossRef]
- Bafti, A.; Razum, M.; Topić, E.; Agustin, D.; Pisk, J.; Vrdoljak, V. Implication of oxidant activation on olefin epoxidation catalysed by Molybdenum catalysts with aroylhydrazonato ligands: Experimental and theoretical studies. Mol. Catal. 2021, 512, 111764. [Google Scholar]
- Xu, H.-M.; Liu, S.X. 5-Nitro salicylaldehyde (2-hydroxy benzo yl)hydrazone. Acta Crystallogr. Sect. E Struct. Rep. Online 2006, 62, o3026. [Google Scholar] [CrossRef]
- Chen, X.H.; Wu, Q.J.; Liang, Z.Y.; Zhan, C.R.; Liu, J.B. Nickel and zinc complexes with a monodentate heterocycle and tridentate Schiff base ligands: Self-assembly to one- and two-dimensional supramolecular networks via hydrogen bonding. Acta Cryst. C 2009, 65, m190–m194. [Google Scholar] [CrossRef]
- Xu, G.; Tang, B.; Hao, L.; Liu, G.; Li, H. Ligand-dependent assembly of dinuclear, linear tetranuclear and one-dimensional Zn(II) complexes with an aroylhydrazone Schiff base. CrystEngComm 2017, 19, 781–787. [Google Scholar] [CrossRef]
- Chen, G.J.-J.; McDonald, J.W.; Newton, W.E. Synthesis of molybdenum(IV) and molybdenum(V) complexes using oxo abstraction by phosphines. Mechanistic implications. Inorg. Chem. 1976, 15, 2612–2615. [Google Scholar] [CrossRef]
- Yu, S.-B.; Holm, R.H. Aspects of the oxygen atom transfer chemistry of tungsten. Inorg. Chem. 1989, 28, 4385–4391. [Google Scholar] [CrossRef]
- Rigaku Oxford Diffraction. CrysAlisPro Software System, Versions 1.171.42.49, 1.171.41.92a, 1.171.41.93a and 1.171.42.53a; Rigaku Oxford Diffraction: Oxford, UK, 2020. [Google Scholar]
- Sheldrick, G.M. SHELXT-Integrated space-group and crystal-structure determination. Acta Cryst. A 2015, 71, 3–8. [Google Scholar] [CrossRef]
- Sheldrick, G.M. Crystal structure refinement with SHELXL. Acta Cryst. C 2015, 71, 3–8. [Google Scholar] [CrossRef]
- Dolomanov, O.V.; Bourhis, L.J.; Gildea, R.J.; Howard, J.A.K.; Puschmann, H. OLEX2: A complete structure solution, refinement and analysis program. J. Appl. Cryst. 2009, 42, 339–341. [Google Scholar] [CrossRef]
- Macrae, C.F.; Sovago, I.; Cottrell, S.J.; Galek, P.T.A.; McCabe, P.; Pidcock, E.; Platings, M.; Shields, G.P.; Stevens, J.S.; Towler, M.; et al. Mercury 4.0: From visualization to analysis, design and prediction. J. Appl. Cryst. 2020, 53, 226–235. [Google Scholar]
- Cindrić, M.; Vrdoljak, V.; Strukan, N.; Kamenar, B. Synthesis and characterization of some mono- and dinuclear molybdenum(VI) thiosemicarbazonato complexes. Polyhedron 2005, 24, 369–376. [Google Scholar] [CrossRef]
- Vrdoljak, V.; Cindrić, M.; Milić, D.; Matković-Čalogović, D.; Novak, P.; Kamenar, B. Synthesis of five new molybdenum(VI) thiosemicarbazonato complexes. Crystal structures of salicylaldehyde and 3-methoxy-salicylaldehyde 4-methylthiosemicarbazones and their molybdenum(VI) complexes. Polyhedron 2005, 24, 1717–1726. [Google Scholar] [CrossRef]
- Fairlie, D.P.; Woon, T.C.; Wickramasinghe, W.A.; Willis, A.C. Amide-iminol tautomerism: Effect of metalation. Inorg. Chem. 1994, 33, 6425–6428. [Google Scholar] [CrossRef]
- Takahashi, O.; Kirikoshi, R. Intramolecular cyclization of aspartic acid residues assisted by three water molecules: A density functional theory study. Comput. Sci. Discov. 2014, 7, 015005. [Google Scholar] [CrossRef]
- Užarević, K.; Rubčić, M.; Radić, M.; Puškarić, A.; Cindrić, M. Mechanosensitive metal–ligand bonds in the design of new coordination compounds. CrystEngComm 2011, 13, 4314–4323. [Google Scholar] [CrossRef]
- Vrdoljak, V.; Pisk, J.; Agustin, D.; Novak, P.; Parlov Vuković, J.; Matković-Čalogović, D. Dioxomolybdenum(vi) and dioxotungsten(VI) complexes chelated with the ONO tridentate hydrazone ligand: Synthesis, structure and catalytic epoxidation activity. New J. Chem. 2014, 38, 6176–6185. [Google Scholar] [CrossRef]
- Pasayat, S.; Dash, S.P.; Roy, S.; Dinda, R.; Dhaka, S.; Maury, M.R.; Kaminsky, W.; Patil, Y.P.; Nethajid, M. Synthesis, structural studies and catalytic activity of dioxidomolybdenum(VI) complexes with aroylhydrazones of naphthol-derivative. Polyhedron 2014, 67, 1–10. [Google Scholar] [CrossRef]
- Nikolić, J.; Pavić, L.; Šantić, A.; Mošner, P.; Koudelka, L.; Pajić, D.; Moguš-Milanković, A. Novel insights into electrical transport mechanism in ionic-polaronic glasses. J. Am. Ceram. Soc. 2018, 101, 1221–1235. [Google Scholar]
- Pavić, L.; Šantić, A.; Nikolić, J.; Mošner, P.; Koudelka, L.; Pajić, D.; Moguš-Milanković, A. Nature of mixed electrical transport in Ag2O–ZnO–P2O5 glasses containing WO3 and MoO3. Electrochim. Acta 2018, 276, 434–445. [Google Scholar] [CrossRef]
- Šantić, A.; Nikolić, J.; Pavić, L.; Banhatti, R.D.; Mošner, P.; Koudelka, L.; Moguš-Milanković, A. Scaling features of conductivity spectra reveal complexities in ionic, polaronic and mixed ionic-polaronic conduction in phosphate glasses. Acta Mater. 2019, 175, 46–54. [Google Scholar] [CrossRef]
- Mošner, P.; Hostinský, T.; Koudelka, L.; Razum, M.; Pavić, L.; Montagne, L.; Revel, B. Structure-Property Correlation in Sodium Borophosphate Glasses Modified with Niobium Oxide. Coatings 2022, 12, 1626. [Google Scholar] [CrossRef]
- Pavić, L.; Nikolić, J.; Graça, M.P.F.; Costa, B.F.; Valente, M.A.; Skoko, Ž.; Šantić, A.; Moguš-Milanković, A. Effect of controlled crystallization on polaronic transport in phosphate-based glass-ceramics. Int. J. Appl. Glass Sci. 2020, 11, 97–111. [Google Scholar] [CrossRef]
- Pavić, L.; Sklepić, K.; Skoko, Ž.; Tricot, G.; Mošner, P.; Koudelka, L.; Moguš-Milanković, A. Ionic conductivity of lithium germanium phosphate glass-ceramics. J. Phys. Chem. C 2019, 123, 23312–23322. [Google Scholar] [CrossRef]
- Bafti, A.; Mandić, V.; Panžić, I.; Pavić, L.; Špada, V. CdSe QDs modified cellulose microfibrils for enhanced humidity sensing properties. Appl. Surf. Sci. 2022, 612, 155894. [Google Scholar] [CrossRef]
- Mustapić, M.; Bafti, A.; Glumac, Z.; Pavić, L.; Skoko, Ž.; Šegota, S.; Klaser, T.; Nedeljković, R.; Masud, M.K.; Alothman, A.A.; et al. Magnetic nanocellulose: Influence of structural features on conductivity and magnetic properties. Cellulose 2023, 30, 1149–1169. [Google Scholar] [CrossRef]
- Kojić, V.; Bohač, M.; Bafti, A.; Pavić, L.; Salamon, K.; Čižmar, T.; Gracin, D.; Juraić, K.; Leskovac, M.; Capan, I.; et al. Formamidinium Lead Iodide Perovskite Films with Polyvinylpyrrolidone Additive for Active Layer in Perovskite Solar Cells, Enhanced Stability and Electrical Conductivity. Materials 2021, 14, 4594. [Google Scholar] [CrossRef]
- Bafti, A.; Rukavina, M.; Mandić, V.; Panžić, I.; Pavić, L.; Krajnc, A.; Volavšek, J. Monitoring of the conductivity properties with respect to the development of geopolymer network. Ceram. Int. 2023. [Google Scholar] [CrossRef]






| Mo Complex | MeOH Vapors | EtOH Vapors | 2-PrOH Vapors |
|---|---|---|---|
| [MoO2(L1)(MeOH)] | - | [MoO2(L1)(H2O)] | [MoO2(L1)(2-PrOH)]∙2-PrOH |
| [MoO2(L1)(EtOH)] | [MoO2(L1)(MeOH)] | - | [MoO2(L1)(2-PrOH)]∙2-PrOH |
| [MoO2(L1)(2-PrOH)]∙2-PrOH | [MoO2(L1)(MeOH)] | [MoO2(L1)(EtOH)] | - |
| [MoO2(L2)(MeOH)] | - | [MoO2(L2)(H2O)] | [MoO2(L2)(H2O)] |
| [MoO2(L2)(H2O)] | [MoO2(L2)(MeOH)] | [MoO2(L2)(H2O)] | [MoO2(L2)(H2O)] |
| Compounds | EDC/kJ mol–1 (Cooling Run) |
|---|---|
| [MoO2(L1)(MeOH)] | 65.5 |
| [MoO2(L2)(MeOH)] | 66.0 |
| [MoO2(L2)(H2O)] | 105.1 |
| Compounds | σDC/(Ωcm)−1 |
|---|---|
| [MoO2(L1)(MeOH)] | 1.82 × 10–9 |
| [MoO2(L2)(MeOH)] | 1.52 × 10–14 |
| [MoO2(L2)(H2O)] | 3.43 × 10–13 |
| [MoO2(L1)]n | 3.35 × 10–10 |
Disclaimer/Publisher’s Note: The statements, opinions and data contained in all publications are solely those of the individual author(s) and contributor(s) and not of MDPI and/or the editor(s). MDPI and/or the editor(s) disclaim responsibility for any injury to people or property resulting from any ideas, methods, instructions or products referred to in the content. |
© 2023 by the authors. Licensee MDPI, Basel, Switzerland. This article is an open access article distributed under the terms and conditions of the Creative Commons Attribution (CC BY) license (https://creativecommons.org/licenses/by/4.0/).
Share and Cite
Sarjanović, J.; Stojić, M.; Rubčić, M.; Pavić, L.; Pisk, J. Impedance Spectroscopy as a Powerful Tool for Researching Molybdenum-Based Materials with Schiff Base Hydrazones. Materials 2023, 16, 1064. https://doi.org/10.3390/ma16031064
Sarjanović J, Stojić M, Rubčić M, Pavić L, Pisk J. Impedance Spectroscopy as a Powerful Tool for Researching Molybdenum-Based Materials with Schiff Base Hydrazones. Materials. 2023; 16(3):1064. https://doi.org/10.3390/ma16031064
Chicago/Turabian StyleSarjanović, Josipa, Martina Stojić, Mirta Rubčić, Luka Pavić, and Jana Pisk. 2023. "Impedance Spectroscopy as a Powerful Tool for Researching Molybdenum-Based Materials with Schiff Base Hydrazones" Materials 16, no. 3: 1064. https://doi.org/10.3390/ma16031064
APA StyleSarjanović, J., Stojić, M., Rubčić, M., Pavić, L., & Pisk, J. (2023). Impedance Spectroscopy as a Powerful Tool for Researching Molybdenum-Based Materials with Schiff Base Hydrazones. Materials, 16(3), 1064. https://doi.org/10.3390/ma16031064

