Numerical Simulation on Laser Shock Peening of B4C-TiB2 Composite Ceramics
Abstract
1. Introduction
2. Finite Element Simulation
2.1. Establishment of the Finite Element Model
2.2. Determination of Impact Parameters
3. Simulation Results and Analysis
3.1. Analysis of stress WAVE Propagation Process
3.2. Effect of Power Density on Residual Stress Distribution
3.3. Effect of the Number of Impacts on the Residual Stress Distribution
3.4. Effect of Laser Spot Overlapping Rate on Residual Stress Distribution
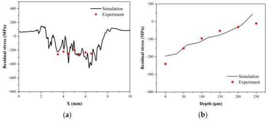
3.5. Experimental Verification
4. Conclusions
- The propagation process of the single-point impact stress waves within the sample was analyzed. The stress wave decayed rapidly during the propagation process, which made the initial compressive stress wave and tensile unloading wave have a large effect on the residual stress distribution;
- Increasing the laser power density and impact times can increase the surface residual compressive stress and reduce the depth of the residual compressive stress. In the case of multiple impacts, the plastic unloading effect of the tensile unloading wave is stronger, which can significantly reduce the depth of the residual compressive stress layer. Therefore, the strengthening effect of increasing the power density of a single impact is better;
- With the increase in the spot overlapping rate, the compressive residual stress in the impact domain increases gradually, and the distribution becomes more uniform. Using a 50% spot overlapping rate can effectively avoid residual compressive stress lap gaps and plastic unloading, in addition to the strengthening effect being the best at this ratio;
- The trends of the residual compressive stresses on the surface of the specimens obtained from the experiments and simulations were consistent, and the magnitudes of the values basically matched, indicating that the present constitution model and simulation method are feasible and have some reference significance.
Author Contributions
Funding
Institutional Review Board Statement
Informed Consent Statement
Data Availability Statement
Acknowledgments
Conflicts of Interest
References
- Fan, J.Z.; Shen, W.X.; Zhang, Z.F.; Fang, C.; Zhang, Y.W.; Chen, L.C.; Wang, Q.Q.; Wan, B.; Jia, X.P. Properties of B4C-TiB2 ceramics prepared by spark plasma sintering. Chin. Phys. B 2021, 30, 579–584. [Google Scholar] [CrossRef]
- Li, Z.J.; Cheng, H.W.; Wang, Y.W.; Zhu, Y.; An, R.; Fang, H.Y.; Ai, L.F.Y. Effects of TiB2 on Microstructure and Mechanical Properties of Pressure-less-sintered B4C–TiB2 Composites. J. Chin. Chem. Soc. 2021, 49, 461–468. [Google Scholar]
- Li, J.; Xu, S.; Liu, L.S.; Wang, Z.; Zhang, J.Y.; Liu, Q.W. Mechanism for amorphization of boron carbide under complex stress conditions. Mater. Res. Express 2018, 5, 055204. [Google Scholar] [CrossRef]
- Montross, C.S.; Wei, T.; Ye, L.; Clark, G.; Mai, Y.W. Laser shock processing and its effects on microstructure and properties of metal alloys: A review. Int. J. Fatigue 2002, 24, 1021–1036. [Google Scholar] [CrossRef]
- Luo, S.H.; Zhou, L.C.; Wang, X.D.; Cao, X.; Nie, X.F.; He, W.F. Surface nanocrystallization and amorphization of dual-phase TC11 titanium alloys under laser induced ultrahigh strain-rate plastic deformation. Materials 2018, 11, 563. [Google Scholar] [CrossRef]
- Munther, M.; Tyler, M.; Ali, T. Laser shock peening and its effects on microstructure and properties of additively manufactured metal alloys: A review. Eng. Res. Express 2020, 2, 22–26. [Google Scholar] [CrossRef]
- Festus, F.; Dawood, D.; Schalk, K.; Dylan, A.; Mark, N. Residual Stress Enhancement by Laser Shock Treatment in Chromium-Alloyed Steam Turbine Blades. Materials 2022, 15, 5682. [Google Scholar]
- Fairand, B.; Wilcox, B.; Gallagher, W.; Williams, D. Laser shock-induced microstructural and mechanical property changes in 7075 aluminum. J. Appl. Phys. 1972, 43, 3893–3895. [Google Scholar] [CrossRef]
- Tang, Y.; Ge, M.Z.; Zhang, Y.K.; Wang, T.M.; Zhou, W. Improvement of Fatigue Life of GH3039 Superalloy by Laser Shock Peening. Materials 2020, 13, 3849. [Google Scholar] [CrossRef]
- Zoran, B.; Uros, T.; Janez, G. Effects of laser shock processing on high cycle fatigue crack growth rate and fracture toughness of aluminium alloy 6082-T651. Int. J. Fatigue 2016, 87, 444–455. [Google Scholar]
- Luo, K.Y.; Jing, X.; Sheng, J.; Sun, G.F.; Yan, Z.; Lu, J.Z. Characterization and analyses on micro-hardness, residual stress and microstructure in laser cladding coating of 316L stainless steel subjected to massive LSP treatment. J. Alloy Compd. 2016, 673, 158–169. [Google Scholar] [CrossRef]
- Lu, J.Z.; Zhong, J.S.; Luo, K.Y.; Zhang, L.; Qi, H.; Luo, M.; Xu, X.J.; Zhou, J.Z. Strain rate correspondence of fracture surface features and tensile properties in AISI304 stainless steel under different LSP impact time. Surf. Coat. Technol. 2013, 221, 88–93. [Google Scholar] [CrossRef]
- Luo, K.Y.; Liu, B.; Wu, L.J.; Yan, Z.; Lu, J.Z. Tensile properties, residual stress distribution and grain arrangement as a function of sheet thickness of Mg–Al–Mn alloy subjected to two-sided and simultaneous LSP impacts. Appl. Surf. Sci. 2016, 369, 366–376. [Google Scholar] [CrossRef]
- Keller, S.; Chupakhin, S.; Staron, P.; Maawad, E.; Kashaev, N.; Klusemann, B. Experimental and numerical investigation of residual stresses in laser shock peened AA2198. J. Mater. Process. Technol. 2017, 255, 294–307. [Google Scholar] [CrossRef]
- Wang, F.; Yan, X.; Zhang, C.; Deng, L.; Lu, Y.; Nastasi, M.; Cui, B. Localized plasticity in silicon carbide ceramics induced by laser shock processing. Materialia 2019, 6, 100265. [Google Scholar] [CrossRef]
- Shukla, P.; Nath, S.; Wang, G.J.; Shen, X.J.; Lawrence, J. Surface Property Modifications of Silicon Carbide Ceramic following Laser Shock Peening. J. Eur. Ceram. Soc. 2017, 37, 3027–3038. [Google Scholar] [CrossRef]
- Shukla, P.; Robertson, S.; Wu, H.; Telang, A.; Kattoura, M.; Nath, S.; Mannava, S.R.; Vasudevan, V.K.; Lawrence, J. Surface engineering alumina armour ceramics with laser shock peening. Mater. Des. 2017, 134, 523–538. [Google Scholar] [CrossRef]
- Braisted, W.; Broekman, R. Finite element simulation of laser shock peening. Int. J. Fatigue 1999, 20, 719–724. [Google Scholar] [CrossRef]
- Hfaiedh, N.; Peyre, P.; Song, H.B.; Popa, I.; Ji, V.; Vignal, V. Finite element analysis of laser shock peening of 2050-T8 aluminum alloy. Int. J. Fatigue 2015, 70, 480–489. [Google Scholar] [CrossRef]
- Li, X.; He, W.F.; Luo, S.; Nie, X.F.; Tian, L.; Feng, X.T.; Li, R.K. Simulation and experimental study on residual stress distribution in titanium alloy treated by laser shock peening with flat-top and Gaussian laser beams. Materials 2019, 12, 1343. [Google Scholar] [CrossRef]
- Langer, K.; Spradlin, T.J.; Fitzpatrick, M.E. Finite element analysis of laser peening of thin aluminum structures. Metals 2020, 10, 93. [Google Scholar] [CrossRef]
- Sun, R.J.; Zhu, Y.; Guo, W. Effect of laser shock processing on surface morphology and residual stress field of TC17 titanium alloy by FEM method. J. Plast. Eng. 2017, 24, 187–193. [Google Scholar]
- Luo, K.Y.; Lin, T.; Dai, F.Z.; Luo, X.M.; Lu, J.Z. Effects of overlapping rate on the uniformities of surface profile of LY2 Al alloy during massive laser shock peening impacts. Surf. Coat. Technol. 2015, 266, 49–56. [Google Scholar] [CrossRef]
- Nie, X.F.; He, W.F.; Zhou, L.C.; Li, Q.P.; Wang, X.D. Experiment investigation of laser shock peening on TC6 titanium alloy to improve high cycle fatigue performance. Mater. Sci. Eng. A 2014, 594, 161–167. [Google Scholar] [CrossRef]
- Xiang, Y.; Mei, R.; Wang, S.; Azad, F.; Zhao, L.; Su, S. Numerical investigation of the effect of laser shock peening parameters on the residual stress and deformation response of 7075 aluminum alloy. Optik 2021, 243, 167446. [Google Scholar] [CrossRef]
- Zhang, X.Q.; Huang, Z.W.; Chen, B.; Zhang, Y.W.; Tong, J.Y.; Fang, G.W.; Duan, S.W. Investigation on residual stress distribution in thin plate subjected to two sided laser shock processing. Opt. Laser Technol. 2019, 111, 146–155. [Google Scholar] [CrossRef]
- Xiang, Y.F.; Mei, R.L.; Zhao, L.Z.; Ling, F.C.; Lu, G.G.; Su, S.C. Effects of processing parameters on residual stress fields of 2024-T351 alloy blade subjected to massive double-sided laser peening treatment. J. Laser Appl. 2022, 34, 10. [Google Scholar] [CrossRef]
- Han, P.P.; Jiao, Q.Y.; Quan, C.Y.; Zhao, D.; Sun, R.J.; Che, Z.G. Effect of laser shock peening on residual stress and fatigue property of 7050 aluminium alloy with hole. Heat Treat. Met. 2021, 46, 202–206. [Google Scholar]
- Vasu, A.; Hu, Y.X.; Grandhi, R.V. Differences in plasticity due to curvature in laser peened components. Surf. Coat. Technol. 2013, 235, 648–656. [Google Scholar] [CrossRef]
- Nie, X.F.; Tang, Y.Y.; Zhao, F.F.; Yan, L.; Wu, H.N.; Wei, C.; He, W.F. Formation mechanism and control method of residual stress profile by laser shock peening in thin titanium alloy component. Materials 2021, 14, 1878. [Google Scholar] [CrossRef]
- Johnson, G.R.; Holmquist, T.J. Response of Boron Carbide Subjected to Large Strains, High Strain Rates, and High Pressures. J. Appl. Phys. 1999, 85, 8060–8073. [Google Scholar] [CrossRef]
- Fabbro, R.; Fournier, J.; Ballard, P.; Devaux, D.; Virmont, J. Physical study of laser & hyphen; produced plasma in confined geometry. J. Appl. Phys. 1990, 68, 775–784. [Google Scholar]
- Zhang, W.; Yao, Y.L.; Noyan, I.C. Microscale laser shock peening of thin films, Part 1: Experiment, modeling, and simulation. J. Manuf. Sci. Eng.-Trans. ASME 2004, 126, 10–17. [Google Scholar] [CrossRef]
- Hu, Y.X.; Yao, Z.Q.; Hu, J. 3-D FEM simulation of laser shock processing. Surf. Coat. Technol. 2006, 201, 1426–1435. [Google Scholar] [CrossRef]








| Mechanical Property | ||||
|---|---|---|---|---|
| Value | 2600 | 460 | 0.17 | 197 |
| Parameters | |||||||
|---|---|---|---|---|---|---|---|
| Value | 0.005483 | 1.492537 | 5483.4058 | 0.009 | 1.0 | 1.7725 | 9466.54 |
Disclaimer/Publisher’s Note: The statements, opinions and data contained in all publications are solely those of the individual author(s) and contributor(s) and not of MDPI and/or the editor(s). MDPI and/or the editor(s) disclaim responsibility for any injury to people or property resulting from any ideas, methods, instructions or products referred to in the content. |
© 2023 by the authors. Licensee MDPI, Basel, Switzerland. This article is an open access article distributed under the terms and conditions of the Creative Commons Attribution (CC BY) license (https://creativecommons.org/licenses/by/4.0/).
Share and Cite
Wang, X.; Chen, B.; Zhang, F.; Liu, L.; Xu, S.; Mei, H.; Lai, X.; Ren, L. Numerical Simulation on Laser Shock Peening of B4C-TiB2 Composite Ceramics. Materials 2023, 16, 1033. https://doi.org/10.3390/ma16031033
Wang X, Chen B, Zhang F, Liu L, Xu S, Mei H, Lai X, Ren L. Numerical Simulation on Laser Shock Peening of B4C-TiB2 Composite Ceramics. Materials. 2023; 16(3):1033. https://doi.org/10.3390/ma16031033
Chicago/Turabian StyleWang, Xin, Beidi Chen, Fan Zhang, Lisheng Liu, Shuang Xu, Hai Mei, Xin Lai, and Lin Ren. 2023. "Numerical Simulation on Laser Shock Peening of B4C-TiB2 Composite Ceramics" Materials 16, no. 3: 1033. https://doi.org/10.3390/ma16031033
APA StyleWang, X., Chen, B., Zhang, F., Liu, L., Xu, S., Mei, H., Lai, X., & Ren, L. (2023). Numerical Simulation on Laser Shock Peening of B4C-TiB2 Composite Ceramics. Materials, 16(3), 1033. https://doi.org/10.3390/ma16031033

