Next Article in Journal
Investigation of the Tensile Strength of Adhesive-Bonded Steels Using Surface Treatments
Previous Article in Journal
Near-Infrared Reflective Polymer Films Based on UV-327-Doped Zinc Oxide Nanoparticles
 
 
Font Type:
Arial Georgia Verdana
Font Size:
Aa Aa Aa
Line Spacing:
Column Width:
Background:
Article

Thermodynamic Properties and DFT Study on Highly Frustrated Cr3BO6: Coexistence of Spin-Singlets with Long-Range Magnetic Order

by
Ekaterina S. Kozlyakova
1,2,
Vladimir V. Korolev
1,2,
Peter S. Berdonosov
1,2,
Sergey I. Latushka
3,
Nadezhda A. Lyubochko
3 and
Alexander N. Vasiliev
1,2,*
1
Functional Quantum Materials Laboratory, National University of Science and Technology MISIS, 119049 Moscow, Russia
2
Lomonosov Moscow State University, 119991 Moscow, Russia
3
SSPA “Scientific-Practical Materials Research Centre of NAS of Belarus”, 220072 Minsk, Belarus
*
Author to whom correspondence should be addressed.
Materials 2023, 16(24), 7662; https://doi.org/10.3390/ma16247662
Submission received: 28 October 2023 / Revised: 29 November 2023 / Accepted: 13 December 2023 / Published: 15 December 2023
(This article belongs to the Section Materials Physics)

Abstract

:
The triangle-based magnetic subsystem of borates with the mineral norbergite structure M3BO6 (M = Fe, Cr, V) makes these compounds unique to investigate rare quantum ground states influenced by strong magnetic frustration. In this work, we investigated the thermal and magnetic properties of Cr3BO6 to find that despite very large negative Weiss temperature Θ = −160.7 K, it orders only at TN = 4.5 K and experiences a spin-flop transition at µ0H = 5 T. Density functional theory (DFT) calculations of exchange interaction parameters allow for suggesting the model of magnetic subsystem in chromium borate Cr3BO6. The results prove the decisive role of magnetic frustration on the formation of long-range order, providing therefore a basis for future study. Both experimental data and first-principles calculations point to the coexistence of chromium spin-singlets with long-range antiferromagnetic order.

1. Introduction

Frustrated magnetism can be found in the materials with competing exchange interactions between localized magnetic moments so that all exchanges cannot be satisfied simultaneously. This leads to a strong degeneration of the quantum ground state of the magnetic subsystem. Under certain conditions, this degeneracy can lead to a spin liquid ground state—a very peculiar many-particle entangled quantum system in which localized magnetic moments, on the one hand, are connected by strong exchange interactions, and on the other hand, are not magnetically ordered down to zero temperature [1]. The simplest example of a frustrated magnetic system is the antiferromagnetic triangle in the Ising model—in the case of strong axial magnetic anisotropy it is impossible to satisfy all three antiferromagnetic exchange interactions; as a result, the system turns out to be degenerate and frustrated [2]. More complex magnetic subsystems based on triangles also turn out to be frustrated [3,4,5].
Borates of transition metals represent a poorly studied class of magnetic materials, although the tendency of borates to form complex motifs of cations is commonly known in chemistry [6]. The features of crystal structure allow for predicting exotic frustrated magnetic quantum ground states for this class of compounds. Thus, the triangle-based magnetic subsystem of iron borate Fe3BO6 with the norbergite structure is a rare example of a weak ferromagnet (also called a canted antiferromagnet) with a magnetic ordering temperature TC = 508 K, in which a magnetic spin-reorientation transition at TSRT = 415 K is the first-order phase transition (or, according to other sources, an intermediate-order phase transition) between different spin structures [7,8]. In most magnetic materials, such reorientation phase transitions are of the second order, which makes this compound and its isostructural modifications unique objects for studying phase transitions caused by magnetic frustration.
Among isostructural compounds such as iron borate with the norbergite structure, currently, there have only been synthesized borates of chromium Cr3BO6 [9] and vanadium V3BO6 [10]. Isostructural borates of other transition metals are not mentioned in the literature. However, the obtained samples are contaminated with chromium and vanadium oxides, respectively. Their purity is only 70–90%, which makes it difficult to experimentally study the magnetic properties until samples of better quality are obtained. A more detailed consideration of the thermodynamics of the formation of these phases explains the difficulties in the synthesis of pure samples: the phases are metastable under normal conditions. The calculated enthalpy of phase formation of Cr3BO6 and V3BO6 exceeds the enthalpy of mixtures CrBO3 + Cr2O3 or V2O3 + VBO3 by 0.183 eV/atom and 0.109 eV/atom, correspondingly [11,12]. The metastability of phases does not necessarily mean that they cannot be synthesized; there are many opposite examples—from diamond to ε-Fe2O3 [13]. However, among the known metastable phases, the excess of compound enthalpy over the equilibrium system enthalpy is often lower than 100 meV, so rare phases such as ε-Fe2O3 with a high enthalpy of phase transformation to hematite of about 0.7–0.8 eV/atom can only be obtained in the nanoform or stabilized by impurities, which is not suitable for magnetic studies [14,15]. Thus, obtaining pure phases of chromium Cr3BO6 and vanadium V3BO6 borates for experimental research of their magnetism is a complex synthetic problem. In the absence of pure samples, the theoretical prediction of their magnetic subsystem becomes a useful tool for assessing the perspectives of these compounds for condensed matter physics. In this work, we investigated thermal and magnetic properties and carried out a density functional theory (DFT) study of magnetic exchange interactions in order to model the magnetic subsystem of the chromium borate Cr3BO6 with the norbergite structure.

1.1. Synthesis and Crystal Structure

The preparation of the Cr3BO6 sample was performed using a technique similar to the one described in Ref. [9]. Precisely 4.1999 g (0.012 mmol) Cr(NO3)3 × 9H2O (Reachem, reagent grade) and 1.5071 g (0.024 mmol) boric acid (Reachem, ultrapure) were mixed and ground in the agate mortar. The mixture was loaded into a silica glass crucible and heated for 72 h at 680° with one intermediate regrinding. The prepared powder sample, as tested by powder XRD (Stoe STADI-P diffractometer, CuKa1 radiation, WINXPOW software STOE & Cie GmbH, ICDD PDF2 was used as a reference). The formation of the target Cr3BO6 compound was observed but with a small number of additional reflexes on the X-ray pattern. The sample was washed with hot deionized water in the beaker, filtered, and dried in air. The powder XRD of the final product shows the pure Cr3BO6 formation. The X-ray pattern was fully indexed in the orthorhombic system, assuming space group Pnma (#62) with cell constants a = 9.884(10) Å, b = 8.415(6) Å, c = 4.425(6) Å, and cell volume = 368.1(9) Å3, which is in agreement with previously published results [9].
In the structure of Cr3BO6, there are two chromium positions in distorted oxygen octahedra, 8d (Cr1—blue) and 4c (Cr2—purple), as shown in Figure 1a. Through analysis of the shortest distances between magnetic cations in the crystal lattice, it is possible to identify the layers of triangular zigzag chains of [CrO6]-octahedra with common edges. In isosceles triangles [Cr3O], the central oxygen is common for three [CrO6]-octahedra; the distances in such triangles are d (Cr1Cr2) = 3122 Å for the edges and d (Cr1Cr1) = 3049 Å for the base. Isosceles triangles are connected via Cr1 atoms at the base, as shown in Figure 1b. Chains are connected to form planes by [BO4] borate groups through Cr2 vertices. The planes are shifted relative to each other by half of the a + c translation and are connected by borate groups.
The magnetic subsystem Cr3BO6 consists of Cr3+ cations, electronic configuration 3d3, and spin S = 3/2. For the discussion of magnetic properties, it is reasonable to take into account only magnetic exchange interactions between the nearest chromium ions. The magnetic subsystem can then be described using six different exchange interaction parameters J1–J6, as shown in Figure 1b,c, and also in Table 1: J1—between the atoms of the bases of the neighboring triangles, J2—between the vertex atom and the base atoms of the triangle and J3—between atoms at the base of the triangle, and J4–J6—between the chains. The J4 and J6 exchanges represent the mean interchain exchanges. The corresponding Cr2–Cr1 distances are slightly unequal. We justify the use of mean exchanges by the fact that the corresponding distances are much longer than intrachain distances, so we expect relatively low values of J4–J6.
Each Cr1 cation couples with the surrounding magnetic centers by one of the J1–J3 magnetic exchanges and two of the J4–J6 exchanges with the neighboring planes. Each Cr2 cation couples with the surrounding magnetic centers by two exchanges J2 and four magnetic exchanges J4, J6 with the neighboring planes.

1.2. Magnetization

The temperature dependencies of dc magnetic susceptibility, or reduced magnetization, χ(T) = M/H, at a probe field of μ0H = 0.1 T, and field dependencies of magnetization M(H) up to 9 T were measured on pressed powder samples of Cr3BO6 in the temperature range of 2–300 K using the vibrating sample magnetometer option of the “Quantum Design” Physical Properties Measurements System PPMS-9T. The ac measurements of magnetic susceptibility were performed on ACMS option of PPMS-9T at a field of magnitude 3 Oe in the frequency range 10 Hz–10 kHz. There are no signs of frequency dependence of magnetization under those conditions.
The χ(T) curves were measured in the zero-field-cooled (ZFC), field-cooled-warming (FCW), and field-cooled-cooling (FCC) protocols, as shown in the inset of Figure 2. The fitting of the χ(T) curve, measured in the FCW regime by the Curie–Weiss law,
χ = χ 0 + C C W T θ C W ,
is shown in the main panel of Figure 2. In the range 250–300 K, it gives the Curie constant CCW = 1.93 emu K mol−1 and the Curie–Weiss temperature θCW = −160.7 K.
According to the expression,
8CCW = ng2S(S + 1),
where spin S = 3/2 for Cr3+ cations and the g-factor g = 2; this value of CCW corresponds to only one Cr3+ ion (n = 1) per formula unit. Since there are three (n = 3) Cr3+ ions per formula unit in Cr3BO6, we should assume that two of them are magnetically silent below room temperature, being coupled into spin-singlets with strong antiferromagnetic interaction. Magnetic susceptibility sharply drops at Neel temperature TN = 4.5 K in FCC regime (or 4.8 K in FCW and ZFC regimes), where the long-range magnetic order occurs.
The ratio of the Curie–Weiss temperature θCW to the Neel temperature TN,
f = θCW/TN
is the measure of the degree of frustration. In Cr3BO6, the frustration ratio is extremely large, i.e., f = 35.7.
From Pascal’s table, the diamagnetic susceptibility χD was found to be about −10−4 emu/mol, but the Curie–Weiss fitting by Equation (1) gives the large positive value of temperature-independent magnetic susceptibility χ0 ≈ 2.0 × 10−3 emu/mol. It can also be interpreted as if at room temperature the χ(T) curve is not paramagnetic one, but already contains the contribution of the strongly coupled spin dimers.
Below 150 K, an upward deviation from the Curie–Weiss law is observed in the χ(T) curve, which indicates the presence of ferromagnetic exchange interactions in the system prevailing over the temperature fluctuations. Such ferromagnetic (FM) deviations in the system with dominant antiferromagnetic (AFM) exchange interactions are typical to many geometrically frustrated materials. This differs from what should be expected for a purely antiferromagnetic two-dimensional magnetic system undergoing short-range magnetic ordering [17].
The FCW, FCC and ZFC curves slightly differ from each other. There is a shift of Neel temperature between the FCC and FCW curves, from 4.5 to 4.8 K, respectively, as shown in the inset of Figure 2. The Neel temperatures, TN, on ZFC and FCW curves are the same, but the signal of ZFC magnetization is slightly lower near and under the phase transition. The difference in behavior of ZFC, FCC and FCW magnetization could be attributed to the effects caused by the occurrence of competitive magnetic interactions. The cooling in magnetic field leads to competition between different magnetic subsystems (FCC curve), but when the magnetic order is established, it requires the same energy to return the system to paramagnetic disorder (FCW and ZFC).
The field dependencies of magnetization, M(H), were measured at various temperatures below and above the magnetic ordering temperature, as shown in Figure 3. While at high temperatures, the M(H) curve seems linear, it deviates from linearity below TN. At 10 K, the derivative dM/dH evidences no sign of phase transitions caused by magnetic field, but below TN, the spin-flop phase transition was observed at about µ0H = 5 T at 2 K, and 4.5 T at 4 K.

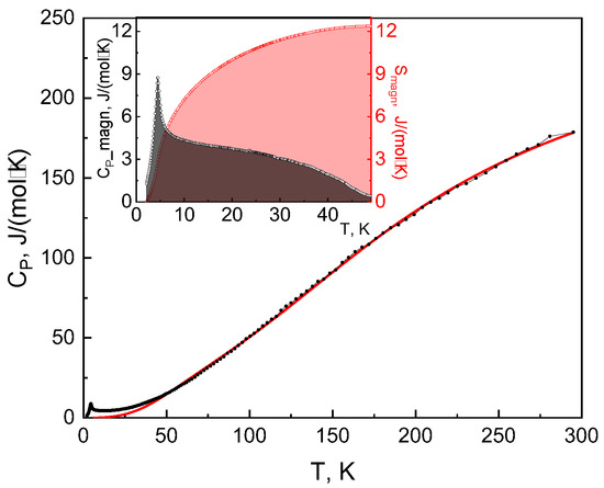
1.3. Specific Heat

The specific heat of Cr3BO6 is shown in Figure 4, which evidences a second-order phase transition that is seen as a λ-type anomaly on the CP(T) curve at 4.5 K. The latter agrees with TN = 4.5 K, determined from the magnetization measurements. Above TN, the specific heat smoothly rises, reaching a value at room temperature significantly lower than the Dulong–Petit limit of 249.5 J mol−1 K−1. The high-temperature region of the heat capacity can be fitted by the sum of Debye and Einstein functions,
C = a D C D + a E C E = 9 a D R ( T / θ D ) 3 0 θ D / T x 4 exp ( x ) [ exp x 1 ] 2 d x + a E R ( θ E / T ) 2 exp ( θ E / T ) [ exp ( θ E / T ) 1 ] 2 ,
where R is a gas constant, θD is the Debye temperature, and θE is the Einstein temperature, which results in θD = 346 ± 3 K, and θE = 729 ± 4 K, with the corresponding weights aD = 3, aE = 7. After the subtraction of this lattice heat capacity, the resulting magnetic entropy at T < 50 K (12.4 J mol−1 K−1) is nearly three times lower than the theoretical value for three magnetic Cr3+ ions 3Rln4 = 34.6 J mol−1 K−1. A possible explanation is that the absent magnetic entropy was released at higher temperatures due to the formation of AFM spin-singlets (cf. Cr1-Cr1 exchange J3, as proposed in the DFT calculations section). Thus, the magnetic entropy released at low temperatures of magnetic ordering transition could be compared with the theoretical value for the one Cr3+ ion, Rln4 = 11.5 J mol−1 K−1.
Overall, the thermal CP(T) and magnetic χ(T) measurements of Cr3BO6 revealed a strong deficiency in the effective magnetic moment and magnetic specific heat, which points to the formation of the spin-singlets at elevated temperatures. These singlets coexist with the long-range antiferromagnetic order at about helium temperature. The long-range order concerns only one-third of the chromium ions present in the system.

1.4. DFT Calculations

The calculations were carried out by the density functional theory (DFT) method using the Quantum Espresso open-source software package operating on the plane wave basis [18,19,20]. The research was carried out using the supercomputer equipment “Lomonosov 2” of the shared research facilities of HPC computing resources at Lomonosov Moscow State University [21]. The experimental crystal structure data on chromium borate, without additional relaxation, were used in the calculations. For Cr, B, and O atoms, ultrasoft pseudopotentials were chosen from the SSSP PBE Efficiency v1.3.0 and SSSP PBEsol Efficiency v1.3.0 collection [22,23]. The generalized gradient functional (GGA) of Perdue–Burke–Ernzerhof, PBE [24], and PBEsol [25] functionals were used. An automatically generated 4 × 4 × 6 reciprocal lattice grid was used for integration over the Brillouin zone. To consider the Coulomb interactions and correlation effects of the 3d electrons in chromium atoms, the on-site Hubbard potential U = 4 eV was applied. To further investigate the effect of the value of the Hubbard potential, it was refined using density functional perturbation theory (DFPT) [26]. The value U = 6.5 eV was obtained on a 2 × 2 × 2 q-grid.
The cut-off kinetic energy for plane waves was chosen to be 680 eV (50 Ry). An analysis of the numerical stability of the solutions was performed to ensure that any further increase in the cut-off energy would not change the qualitative and quantitative picture of the magnetic exchanges.
To evaluate the amplitude of exchange interactions, a series of single-point calculations of the total energy of various magnetic sublattice configurations were carried out, as shown in Figure 5. Highly asymmetric states (E8, E9) were used to estimate J3 coupling. These calculations assume that the exchange integrals are isotropic, and the magnetic subsystem is assumed to be collinear. Equation (5) represents the Hamiltonian for the unit cell spin system:
H ^ = i < j J i j S i S j = = [ J 1 4 S C r 1 A S C r 1 B + J 2 8 S C r 2 A S C r 1 B + J 3 4 S C r 1 A S C r 1 B + J 4 16 S C r 2 A S C r 1 B + J 5 8 S C r 1 A S C r 1 B + J 6 16 S C r 2 A S C r 1 B ]
Cr1 and Cr2 correspond to 8d and 4c positions, and indexes A and B run among the atoms of unit cell according to Figure 1c for each J.
The magnetic exchange interaction values were calculated by fitting the overdetermined system of the linear equations, presented in Figure 5, using the least squares method. The results are shown in Table 2. Different columns correspond to different calculations parameters—the functional and Hubbard potential used for chromium 3d electrons. The main antiferromagnetic exchange interaction is J1, connecting the [Cr3O] triangles in the chain. Exchange coupling, J3, at the base of the [Cr3O] isosceles triangle, is also found to be antiferromagnetic, which leads to frustration in the aforementioned triangle. Frustration persists regardless of the sign of the rather small J2 exchange along the edges of the [Cr3O]. The resulting interchain magnetic exchange interactions J4, J5, and J6 were small, compared to J1, and predominantly ferromagnetic, with J4 and J6 being frustrated.

1.5. Magnetic Model

Considering the hierarchy of exchange interaction based only on its amplitude, the magnetic structure is based on a system of interacting AFM dimers via J1, connected in chains by J3 and placed in layers. The existence of strong frustration (the degree of frustration f = θCW/TN∼33.5), caused by J2, J4, and J6 exchanges, makes it difficult to predict the resulting magnetic ground state. According to DFT calculations, spin configuration E9 has the lowest energy among all studied configurations (Figure 6), regardless of the chosen exchange–correlation functional and U potential. The spins of the Cr2 sites are arranged so that each chromium chain has zero total magnetic moment. We performed DFT calculations with other configurations, where Cr2 spins yield nonzero total magnetic moments of the given chain but maintain overall zero total magnetization. E9 proved to be the lowest energy configuration. The most frustrated chromium site was Cr2, which was connected by magnetic exchanges with eight neighboring Cr1 sites by J2, J4 and J6 exchanges, all of which were frustrated.
The coexistence of several frustrating exchange interactions could allow for lowering the energy of the collinear magnetic subsystem by the canting of magnetic moments. The noncollinearity of the magnetic subsystem can also be promoted by magnetocrystalline anisotropy due to the spin–orbit interaction and the antisymmetric Dzyaloshinskii–Moriya interactions. In an ideal octahedral environment, the 3d orbitals split into a higher energy doublet, eg, and a lower energy triplet, t2g. Thus, Cr3+ ions in an octahedral environment are most often in the high-spin state S = 3/2, where all electrons occupy t2g orbitals according to Hund’s rule. The absence of orbital degeneracy in the [CrO6] octahedron leads to the freezing of the orbital magnetic moment, which is a characteristic feature of 3d elements. However, in the Cr3BO6 structure, the octahedra are strongly distorted, which can lead to unfreezing of the orbital momentum and spin–orbit interaction. Unfortunately, the complexity of the structure of the Cr3BO6 magnetic subsystem does not enable a more reasonable calculation of the exchange integrals at this stage.

2. Discussion

A peculiar feature of Cr3BO6 with the norbergite structure is the coexistence of long-range antiferromagnetic order based on Cr2 ions with spin-singlets based on Cr1–Cr1 dimers of S = 3/2 spins. A similar case was recently discussed for mixed-valence copper compound Pb2Cu10O4(SeO3)4Cl7, which hosts a magnetic network constituted by Cu–Cu dimers and Cu7 cluster of corner-sharing Cu4 tetrahedra where each Cu7 cluster has a S = 3/2 spin arrangement in the ground state [27]. Despite the abundance of magnetically active ions, the latter compound orders antiferromagnetically at rather low temperatures and evidences the sequence of spin-flop transition and 1/3 plateau formation at low temperatures.
The 1/3 magnetization plateau observed for Pb2Cu10O4(SeO3)4Cl7 is explained by the field-induced flip of every second (Cu2+)7 cluster within a unit cell. The situation in Cr3BO6 seems to be much simpler; i.e., 1/3 magnetization plateau corresponds to the percentage of magnetically active Cr2 ions, while two-thirds of chromium ions are hidden within magnetically silent dimers. A very large scale of exchange interactions in Cr3BO6 (Table 2) prevents observation of such a plateau. At µ0H = 9 T, the magnetization M reaches about one-quarter of the value expected at the plateau region.
Recently, many cases of magnetically silent spin-singlet ground state formation have been reported, mostly in low-dimensional copper compounds. Many more frustrated spin systems arrive at magnetically ordered ground states at low temperatures. Cases of the coexistence of spin-singlets with long-range magnetic order are rare. In this sense, the Cr3BO6 system is unique among chromium compounds.

3. Conclusions

In summary, we carried out DFT studies of magnetic exchange interactions and compared the results with experimental data on magnetic properties to predict the magnetic subsystem of chromium borate Cr3BO6 with the norbergite structure. Considering only magnetic exchange interactions between the nearest chromium ions, the magnetic subsystem of Cr3BO6 can be described using six different exchange integrals: J1–J6. Considering the hierarchy of exchange interactions based only on their amplitudes, the magnetic structure is based on a system of interacting AFM dimers via J1, connected in chains by J3. The existence of strong frustration caused by J2, J4, and J6 exchanges makes it difficult to predict the resulting magnetic ground state. The coexistence of several frustrating exchange interactions makes it possible to predict that the collinear magnetic subsystem will tend to lower its energy due to the canting of magnetic moments. Also, the noncollinearity of the magnetic subsystem can be promoted by magnetocrystalline anisotropy due to the spin–orbit interaction. A detailed experimental study of the magnetic subsystem of the chromium borate Cr3BO6 remains an urgent task.

Author Contributions

Conceptualization, E.S.K. and A.N.V.; Methodology, P.S.B., S.I.L. and N.A.L.; Validation, P.S.B.; Formal analysis, V.V.K. and S.I.L.; Investigation, V.V.K. and N.A.L.; Writing—original draft, E.S.K.; Writing—review & editing, A.N.V. All authors have read and agreed to the published version of the manuscript.

Funding

This research received no external funding.

Data Availability Statement

Data are contained within the article.

Acknowledgments

The reported study was funded by RFBR and BRFBR grant 20-52-04004. The theoretical research is carried out using the equipment of the shared research facilities of HPC computing resources at Lomonosov Moscow State University.

Conflicts of Interest

The authors declare no conflict of interest.

References

  1. Balents, L. Spin liquids in frustrated magnets. Nature 2010, 464, 199–208. [Google Scholar] [CrossRef] [PubMed]
  2. Wannier, G.H. Antiferromagnetism. The triangular Ising net. Phys. Rev. 1950, 79, 357–364, Erratum in Phys. Rev. B 1973, 7, 5017. [Google Scholar] [CrossRef]
  3. Norman, M.R. Colloquium: Hebertsmithite and the search for the quantum spin liquid. Rev. Mod. Phys. 2016, 88, 041002. [Google Scholar] [CrossRef]
  4. Fåk, B.; Kermarrec, E.; Messio, L.; Bernu, B.; Lhuillier, C.; Bert, F.; Mendels, P.; Koteswararao, B.; Bouquet, F.; Ollivier, J.; et al. Kapellasite: A kagome quantum spin liquid with competing interactions. Phys. Rev. Lett. 2012, 109, 037208. [Google Scholar] [CrossRef] [PubMed]
  5. Balz, C.; Lake, B.; Reuther, J.; Luetkens, H.; Schönemann, R.; Herrmannsdörfer, T.; Singh, Y.; Nazmul Islam, A.T.M.; Wheeler, E.M.; Rodriguez-Rivera, J.A.; et al. Physical realization of a quantum spin liquid based on a complex frustration mechanism. Nat. Phys. 2016, 12, 942–949. [Google Scholar] [CrossRef]
  6. Beckett, M.A. Recent advances in crystalline hydrated borates with non-metal or transition-metal complex cations. Coord. Chem. Rev. 2016, 323, 2–14. [Google Scholar] [CrossRef]
  7. Tsymbal, L.T.; Bazaliy, Y.B.; Bezmaternykh, L.N.; Slawska-Waniewska, A.; Vasiliev, S.V.; Nedelko, N.; Linnik, A.I.; Cherkasov, A.N.; Nepochatykh, Y.I.; Dmitrenko, V.Y.; et al. Orientation phase transition in Fe3BO6: Experimental determination of the order of the transition. Phys. Rev. B 2006, 74, 134429. [Google Scholar] [CrossRef]
  8. Hirano, M.; Okuda, T.; Tsushima, T.; Umemura, S.; Kohn, K.; Nakamura, S. Spin configurations and spin reorientations in pure and impurity doped Fe3BO6. Solid State Commun. 1974, 15, 1129–1133. [Google Scholar] [CrossRef]
  9. Rowsell, J.L.C.; Nazar, L.F. Synthesis, structure, and solid-state electrochemical properties of Cr3BO6: A new chromium(III) borate with the norbergite structure. J. Mater. Chem. 2001, 11, 3228–3233. [Google Scholar] [CrossRef]
  10. Zeng, X.; Kuang, Q.; Fan, Q.; Dong, Y.; Zhao, Y.; Chen, S.; Liu, S. Synthesis, structure, and electrochemical performance of V3BO6 nanocomposite: A new vanadium borate as high-rate anode for Li-ion batteries. Electrochim. Acta 2020, 335, 135661. [Google Scholar] [CrossRef]
  11. Available online: https://oqmd.org/materials/composition/Cr3BO6 (accessed on 12 December 2023).
  12. Jain, A.; Ong, S.P.; Hautier, G.; Chen, W.; Richards, W.D.; Dacek, S.; Cholia, S.; Gunter, D.; Skinner, D.; Ceder, G.; et al. The Materials Project: A materials genome approach to accelerating materials innovation. APL Mater. 2013, 1, 011002. [Google Scholar] [CrossRef]
  13. Aykol, M.; Dwaraknath, S.S.; Sun, W.; Persson, K.A. Thermodynamic limit for synthesis of metastable inorganic materials. Sci. Adv. 2018, 4, eaaq0148. [Google Scholar] [CrossRef] [PubMed]
  14. Zhang, Y.; Wang, H.; Tachiyama, K.; Katayama, T.; Zhu, Y.; Wu, S.; Li, H.F.; Fang, J.; Li, Q.; Shi, Y.; et al. Single-crystal synthesis of ϵ-Fe2O3-type oxides exhibiting room-temperature ferrimagnetism and ferroelectric polarization. Cryst. Growth Des. 2021, 21, 4904–4908. [Google Scholar] [CrossRef]
  15. Tokoro, H.; Tarora, W.; Namai, A.; Yoshikiyo, M.; Ohkoshi, S.I. Direct observation of chemical conversion from Fe3O4 to ϵ-Fe2O3 by a nanosize wet process. Chem. Mater. 2018, 30, 2888–2894. [Google Scholar] [CrossRef]
  16. Momma, K.; Izumi, F. VESTA 3 for three-dimensional visualization of crystal, volumetric and morphology data. J. Appl. Crystallogr. 2011, 44, 1272–1276. [Google Scholar] [CrossRef]
  17. Hagemann, I.S.; Huang, Q.; Gao, X.P.A.; Ramirez, A.P.; Cava, R.J. Geometric magnetic frustration in Ba2Sn2Ga3ZnCr7O22: A two-dimensional spinel based Kagome lattice. Phys. Rev. Lett. 2001, 86, 894–897. [Google Scholar] [CrossRef] [PubMed]
  18. Giannozzi, P.; Baroni, S.; Bonini, N.; Calandra, M.; Car, R.; Cavazzoni, C.; Ceresoli, D.; Chiarotti, G.L.; Cococcioni, M.; Dabo, I.; et al. QUANTUM ESPRESSO: A modular and open-source software project for quantum simulations of materials. J. Phys. Condens. Matter 2009, 21, 395502. [Google Scholar] [CrossRef] [PubMed]
  19. Giannozzi, P.; Andreussi, O.; Brumme, T.; Bunau, O.; Nardelli, M.B.; Calandra, M.; Car, R.; Cavazzoni, C.; Ceresoli, D.; Cococcioni, M.; et al. Advanced capabilities for materials modelling with Quantum ESPRESSO. J. Phys. Condens. Matter 2017, 29, 465901. [Google Scholar] [CrossRef]
  20. Giannozzi, P.; Baseggio, O.; Bonfà, P.; Brunato, D.; Car, R.; Carnimeo, I.; Cavazzoni, C.; De Gironcoli, S.; Delugas, P.; Ferrari Ruffino, F.; et al. Quantum ESPRESSO toward the exascale. J. Chem. Phys. 2020, 152, 154105. [Google Scholar] [CrossRef]
  21. Voevodin, V.V.; Antonov, A.S.; Nikitenko, D.A.; Shvets, P.A.; Sobolev, S.I.; Sidorov, I.Y.; Stefanov, K.S.; Voevodin, V.V.; Zhumatiy, S.A. Supercomputer Lomonosov-2: Large Scale, Deep Monitoring and Fine Analytics for the User Community. Supercomput. Front. Innov. 2019, 6, 4–11. [Google Scholar]
  22. Prandini, G.; Marrazzo, A.; Castelli, I.E.; Mounet, N.; Marzari, N. Precision and efficiency in solid-state pseudopotential calculations. npj Comput. Mater. 2018, 4, 72. [Google Scholar] [CrossRef]
  23. Available online: http://materialscloud.org/sssp (accessed on 12 December 2023).
  24. Perdew, J.P.; Burke, K.; Ernzerhof, M. Generalized Gradient Approximation Made Simple. Phys. Rev. Lett. 1996, 77, 3865. [Google Scholar] [CrossRef]
  25. Perdew, J.P.; Ruzsinszky, A.; Csonka, G.I.; Vydrov, O.A.; Scuseria, G.E.; Constantin, L.A.; Zhou, X.; Burke, K. Restoring the Density-Gradient Expansion for Exchange in Solids and Surfaces. Phys. Rev. Lett. 2008, 100, 136406. [Google Scholar] [CrossRef]
  26. Timrov, I.; Marzari, N.; Cococcioni, M. Self-consistent Hubbard parameters from density-functional perturbation theory in the ultrasoft and projector-augmented wave formulations. Phys. Rev. B 2021, 103, 045141. [Google Scholar] [CrossRef]
  27. Vasiliev, A.N.; Berdonosov, P.S.; Kozlyakova, E.S.; Maximova, O.V.; Murtazoev, A.F.; Dolgikh, V.A.; Lyssenko, K.A.; Pchelkina, Z.V.; Gorbunov, D.I.; Chung, S.H.; et al. Observation of a 1/3 magnetization plateau in Pb2Cu10O4(SeO3)4Cl7 arising from (Cu2+)7 clusters of corner-sharing (Cu2+)4 tetrahedra. Dalton Trans. 2022, 51, 15017–15021. [Google Scholar] [CrossRef]
Figure 1. Crystal structure of chromium borate Cr3BO6 with norbergite structure. (a) ab-plane of crystal structure. There are two positions of the chromium atom in the structure—8d (Cr1—blue, light octahedra) and 4c (Cr2—purple, dark octahedra), oxygen ions are shown in red, boron ions—in green. (b) Schematic representation of the fragment of the magnetic subsystem of Cr3BO6—triangular zigzag chains of chromium cations. J1–J3 exchange interactions are shown. (c) Mutual arrangement of the zigzag chains and interlayer exchange interactions J4–J6 in the Cr3BO6 structure. Atoms outside the unit cell are lightened. Image has been produced using Vesta software [16].
Figure 1. Crystal structure of chromium borate Cr3BO6 with norbergite structure. (a) ab-plane of crystal structure. There are two positions of the chromium atom in the structure—8d (Cr1—blue, light octahedra) and 4c (Cr2—purple, dark octahedra), oxygen ions are shown in red, boron ions—in green. (b) Schematic representation of the fragment of the magnetic subsystem of Cr3BO6—triangular zigzag chains of chromium cations. J1–J3 exchange interactions are shown. (c) Mutual arrangement of the zigzag chains and interlayer exchange interactions J4–J6 in the Cr3BO6 structure. Atoms outside the unit cell are lightened. Image has been produced using Vesta software [16].
Materials 16 07662 g001
Figure 2. The temperature dependencies of reduced magnetization, χ(T) = M/H in Cr3BO6, measured at µ0H = 0.1 T. The inset represents χ(T) curves measured according to zero-field-cooled (ZFC), field-cooled-warming (FCW), and field-cooled-cooling (FCC) protocols.
Figure 2. The temperature dependencies of reduced magnetization, χ(T) = M/H in Cr3BO6, measured at µ0H = 0.1 T. The inset represents χ(T) curves measured according to zero-field-cooled (ZFC), field-cooled-warming (FCW), and field-cooled-cooling (FCC) protocols.
Materials 16 07662 g002
Figure 3. The field dependencies of magnetization of Cr3BO6 at 2, 4, 10, 200 and 300 K. Lower panel shows the derivatives, dM/dH, of the low temperature M(H) curves.
Figure 3. The field dependencies of magnetization of Cr3BO6 at 2, 4, 10, 200 and 300 K. Lower panel shows the derivatives, dM/dH, of the low temperature M(H) curves.
Materials 16 07662 g003
Figure 4. Temperature dependence of specific heat in Cr3BO6. Solid red line represents a phonon contribution. Inset: temperature dependencies of magnetic specific heat Cmagn and the magnetic entropy Smagn.
Figure 4. Temperature dependence of specific heat in Cr3BO6. Solid red line represents a phonon contribution. Inset: temperature dependencies of magnetic specific heat Cmagn and the magnetic entropy Smagn.
Materials 16 07662 g004
Figure 5. Magnetic sublattice configurations of chromium borate Cr3BO6 used for theoretical calculations. Green circles indicate spin-up configuration on the ion site, yellow—spin down.
Figure 5. Magnetic sublattice configurations of chromium borate Cr3BO6 used for theoretical calculations. Green circles indicate spin-up configuration on the ion site, yellow—spin down.
Materials 16 07662 g005
Figure 6. Scheme of magnetic exchange interactions in Cr3BO6 and proposed collinear magnetic model. Solid lines are related to magnetic interactions in one plane; dashed lines—out of plane.
Figure 6. Scheme of magnetic exchange interactions in Cr3BO6 and proposed collinear magnetic model. Solid lines are related to magnetic interactions in one plane; dashed lines—out of plane.
Materials 16 07662 g006
Table 1. Inequivalent positions of Cr atoms and their exchange paths.
Table 1. Inequivalent positions of Cr atoms and their exchange paths.
AtomCr1Cr2
ExchangeNeighbor (s)Distance (s), ÅNeighbor (s)Distance (s), Å
J1Cr1 (in plane)2.78
J2Cr2 (in plane)3.132 × Cr1 (in plane)3.13
J3Cr1 (in plane)3.05
J42 × Cr2 3.40; 3.564 × Cr13.40; 3.56
J52 × Cr1 3.47
J62 × Cr2 3.45; 3.524 × Cr13.45; 3.52
Table 2. Calculated magnetic exchange interactions depending on different calculation parameters.
Table 2. Calculated magnetic exchange interactions depending on different calculation parameters.
Exchange, KPBE,
U = 4 eV
PBEsol,
U = 4 eV
PBE,
U = 6.5 eV
PBEsol,
U = 6.5 eV
J1−111.4−111−64.4−60.7
J2−15.1−7.72.510.0
J3−7.3−8.9−12.1−13.1
J48.312.213.216.5
J5−2.154.810.517.1
J68.59.86.36.9
Disclaimer/Publisher’s Note: The statements, opinions and data contained in all publications are solely those of the individual author(s) and contributor(s) and not of MDPI and/or the editor(s). MDPI and/or the editor(s) disclaim responsibility for any injury to people or property resulting from any ideas, methods, instructions or products referred to in the content.

Share and Cite

MDPI and ACS Style

Kozlyakova, E.S.; Korolev, V.V.; Berdonosov, P.S.; Latushka, S.I.; Lyubochko, N.A.; Vasiliev, A.N. Thermodynamic Properties and DFT Study on Highly Frustrated Cr3BO6: Coexistence of Spin-Singlets with Long-Range Magnetic Order. Materials 2023, 16, 7662. https://doi.org/10.3390/ma16247662

AMA Style

Kozlyakova ES, Korolev VV, Berdonosov PS, Latushka SI, Lyubochko NA, Vasiliev AN. Thermodynamic Properties and DFT Study on Highly Frustrated Cr3BO6: Coexistence of Spin-Singlets with Long-Range Magnetic Order. Materials. 2023; 16(24):7662. https://doi.org/10.3390/ma16247662

Chicago/Turabian Style

Kozlyakova, Ekaterina S., Vladimir V. Korolev, Peter S. Berdonosov, Sergey I. Latushka, Nadezhda A. Lyubochko, and Alexander N. Vasiliev. 2023. "Thermodynamic Properties and DFT Study on Highly Frustrated Cr3BO6: Coexistence of Spin-Singlets with Long-Range Magnetic Order" Materials 16, no. 24: 7662. https://doi.org/10.3390/ma16247662

APA Style

Kozlyakova, E. S., Korolev, V. V., Berdonosov, P. S., Latushka, S. I., Lyubochko, N. A., & Vasiliev, A. N. (2023). Thermodynamic Properties and DFT Study on Highly Frustrated Cr3BO6: Coexistence of Spin-Singlets with Long-Range Magnetic Order. Materials, 16(24), 7662. https://doi.org/10.3390/ma16247662

Note that from the first issue of 2016, this journal uses article numbers instead of page numbers. See further details here.

Article Metrics

Back to TopTop