Next Article in Journal
Evaluation of Eruption of Permanent Teeth in Beagle Dog Extraction Sites Filled with Carbonate Apatite
Previous Article in Journal
Facile Synthesis of Platinum Nanoparticle-Embedded Reduced Graphene Oxide for the Detection of Carbendazim
 
 
Font Type:
Arial Georgia Verdana
Font Size:
Aa Aa Aa
Line Spacing:
Column Width:
Background:
Review

Review of Systematic Tendencies in (001), (011) and (111) Surfaces Using B3PW as Well as B3LYP Computations of BaTiO3, CaTiO3, PbTiO3, SrTiO3, BaZrO3, CaZrO3, PbZrO3 and SrZrO3 Perovskites

by
Roberts I. Eglitis
1,* and
Ran Jia
1,2
1
Institute of Solid State Physics, University of Latvia, 8 Kengaraga Str., LV1063 Riga, Latvia
2
Laboratory of Theoretical and Computational Chemistry, Institute of Theoretical Chemistry, Jilin University, Changchun 130023, China
*
Author to whom correspondence should be addressed.
Materials 2023, 16(24), 7623; https://doi.org/10.3390/ma16247623
Submission received: 20 October 2023 / Revised: 8 December 2023 / Accepted: 11 December 2023 / Published: 13 December 2023

Abstract

We performed B3PW and B3LYP computations for BaTiO3 (BTO), CaTiO3 (CTO), PbTiO3 (PTO), SrTiO3 (STO), BaZrO3 (BZO), CaZrO3 (CZO), PbZrO3 (PZO) and SrZrO3 (SZO) perovskite neutral (001) along with polar (011) as well as (111) surfaces. For the neutral AO- as well as BO2-terminated (001) surfaces, in most cases, all upper-layer atoms relax inwards, although the second-layer atoms shift outwards. On the (001) BO2-terminated surface, the second-layer metal atoms, as a rule, exhibit larger atomic relaxations than the second-layer O atoms. For most ABO3 perovskites, the (001) surface rumpling s is bigger for the AO- than BO2-terminated surfaces. In contrast, the surface energies, for both (001) terminations, are practically identical. Conversely, different (011) surface terminations exhibit quite different surface energies for the O-terminated, A-terminated and BO-terminated surfaces. Our computed ABO3 perovskite (111) surface energies are always significantly larger than the neutral (001) as well as polar (011) surface energies. Our computed ABO3 perovskite bulk B-O chemical bond covalency increases near their neutral (001) and especially polar (011) surfaces.

1. Introduction

Surface as well as interface phenomena, taking place in the ABO3 perovskites, including the essence of their (001), (011) and (111) surface and interface electronic properties, are very real problems in present-day physics [1,2,3,4,5,6,7,8,9,10,11,12,13,14,15,16,17,18,19,20,21,22,23,24,25,26]. BaTiO3, CaTiO3, PbTiO3, SrTiO3, BaZrO3, CaZrO3, PbZrO3 and SrZrO3 perovskites are the members of the well-known ABO3 (A = Ba, Ca, Pb, Sr and B = Ti or Zr) perovskite family [27,28,29]. They all have a colossal amount of technologically essential applications [30,31,32,33]. For example, BaTiO3 is an important ABO3 perovskite ceramic material [34]. It has outstanding dielectric as well as ferroelectric and piezoelectric properties [34]. CaTiO3 is extensively employed in electronic ceramic materials [35]. Cubic CTO is also used as a keystone element of Synroc [35]. PbTiO3 is one of the worldwide most extensively used piezoelectric and ferroelectric materials for technologically important industrial applications [36,37,38]. SrTiO3 is a perovskite material with a wide-ranging spectrum of functional properties as well as physical phenomena [39]. STO is an adaptable substrate for complex oxide electronics engineering [40]. STO possesses excellent superconducting properties [41] as well as impurity- and vacancy-based magnetism [42]. BaZrO3 perovskite has several industrially important applications in many quite different technology areas [43]. BZO is extensively used, for example, in solid-oxide fuel cells [44] as well as in wireless systems for communications [45]. CaZrO3 is used as an ionic conductor to manufacture solid electrodes for applications in various fuel cells [46]. Moreover, CZO is used also as a key element for different sensor types [47,48]. PbZrO3 is a very fascinating perovskite, since it is the end point of the Pb(Zr,Ti)O3 alloy system, which is very interesting for numerous important applications in industry [49]. Finally, SrZrO3 has a lot of technological applications [50,51,52,53]. For example, in the violet–blue light emission, laser host materials as well as capacitors and oxygen sensors [50,51,52,53]. For that reason, it is clear, that during the last twenty-five years, BTO, CTO, PTO, STO, BZO, CZO, PZO and SZO perovskite (001) surfaces have been comprehensively explored theoretically as well as experimentally around the globe [1,2,3,6,7,11,13,14,16,18,21,23,24,54,55,56,57,58,59,60,61,62,63,64,65,66,67,68,69,70,71,72,73,74,75,76,77,78,79,80,81]. It is worth noting that it is relatively easy to compute the neutral ABO3 perovskite (001) surfaces, since they consist of alternating neutral AO and BO2 slabs [82,83,84,85]. In contrast, it is very difficult to compute the polar ABO3 perovskite (011) and (111) surfaces, since they consist of charged planes of ABO and O2 as well as AO3 and B, respectively. This is main reason why the ABO3 perovskite charged and polar (011) [86,87,88,89,90,91,92,93,94,95] and (111) [96,97,98,99,100,101,102,103,104,105,106,107] surfaces are considerably less studied than their neutral and relatively simple (001) surfaces [1,2,3,6,7,11,13,14,16,18,21,23,24,54,55,56,57,58,59,60,61,62,63,64,65,66,67,68,69,70,71,72,73,74,75,76,77,78,79,80,81,82,83,84,85].
For example, the first B3PW calculations, dealing with polar and charged BaTiO3 and PbTiO3 (011) surface structures were performed by Eglitis and Vanderbilt in 2007 [1]. Two years later, Zhang et al. [86,87], at ab initio level, computed the electronic and structural characteristics of five different terminations of cubic PTO (110) polar surface [86,87]. The first ab initio computations for the polar SrTiO3 (011) surface were carried out by Bottin et al. [88]. They computed the atomic as well as electronic structure of a few (1 × 1) SrTiO3 (011) surface terminations [88]. The year after that, Heifets et al. [89] carried out first-principles Hartree–Fock computations for four terminations (Sr, TiO as well as two different O terminations) of the polar STO (011) surface [89]. As the next, Eglitis and Vanderbilt [2] performed hybrid DFT computations for three different terminations (TiO, Sr and O) of the polar and charged STO (011) surface [2]. Two years later, Enterkin et al. [90] described the results for the 3 × 1 extended STO (011) surface structure derived experimentally via transmission electron diffraction [90]. Experimental results, dealing with polar STO (011) surfaces, were also confirmed theoretically using modern ab initio DFT computations as well as scanning tunneling microscopy images [90]. Finally, five years ago, Fleischer et al. [91] experimentally investigated the STO (011) surface using reflectance anisotropy spectroscopy (RAS). World-first ab initio calculations for polar CTO (011) surfaces were performed by Zhang et al. [92]. They constructed four different CTO polar (011) surface terminations and computed the cleavage as well as (011) surface energies [92]. Zhang et al. [92] also computed the CTO (011) surface grand potential as well as the (011) surface electronic and atomic structure [92]. One year later, Eglitis and Vanderbilt, using a B3PW hybrid exchange–correlation functional, investigated three different terminations (TiO, Ca and O) of polar CTO (011) surfaces [3]. They [3] computed the polar CTO (011) surface atomic relaxations, energetics as well as chemical bonding properties for three different (011) surface terminations [3].
Two world-first ab initio simulations for the polar BaZrO3 (011) surfaces were performed independently by Heifets et al. [93] and by Eglitis [82] in 2007. Heifets et al. [93] studied the charge redistribution, atomic and electronic structure of several different terminations of BZO (011) surfaces [93]. According to the B3PW computations performed by Eglitis [82], three different terminations of the BZO (011) surface exhibit quite different surface energies. They always (for all three terminations) are considerably larger [82] than for the neutral BZO (001) surfaces. Eglitis and Rohlfing [94] computed the SZO and PZO neutral (001) and polar (011) surface rumplings, relaxations, energetics, charge redistributions as well as the Γ-Γ band gaps [94]. Four years later, Chen et al. [95] investigated the electronic properties and stabilities of SZO (110) (1 × 1) five different polar terminations [95]. Finally, the only existing B3LYP calculations, dealing with polar CZO (110) surfaces, were recently performed by Eglitis and co-workers [10].
A quarter of century ago, Hagendorf et al. [96], experimentally investigated the polar BTO (111) surface using scanning tunneling microscopy (STM), X-ray photoelectron spectroscopy (XPS) and low-energy electron diffraction (LEED) methods [96]. Recently, Chun et al. [97], explored the BTO surface (111) termination, using the theoretical ab initio DFT calculations and experimental XPS analysis [97]. First-in-the-world ab initio linearized augmented-plane-wave method (LAPW) calculations for periodic (111) BTO slabs were performed by Cohen [98]. Cohen found [98] that the polar (111) BTO slab is considerably less stable than the BTO neutral (001) slab. In 2015, Eglitis [5,60,99] performed very comprehensive B3LYP calculations for BTO, PTO, CTO, STO, PZO and SZO (111) surfaces. Eglitis found [5] that the polar BTO, PTO, CTO, STO, PZO and SZO (111) surfaces are considerably less stable than the respective neutral (001) and even polar (011) surfaces [5,60,99]. Twenty-five years ago, Haruyama et al. [100] experimentally studied the polar STO (111) surface by means of photoemission spectroscopy [100]. In 1999, Pojani et al. [101], by means of simple semi-empirical HF method, computed the polar STO (111) and (110) surfaces [101]. Recently, Torrelles et al. [102] experimentally detected the surface structure of Ti-terminated STO (111) single crystals [102]. Finally, Marks et al. [103] described the reconstructions of the polar STO (111) surface by means of experimental-transmission electron diffraction, scanning tunneling microscopy as well as theoretical first-principles DFT calculations [103]. Pang et al. [104] performed very comprehensive first-principles computations for four different (1 × 1) polar terminations of PTO (111) surfaces. The electronic and structural properties as well as stabilities of four different polar (1 × 1) PTO (111) terminations were calculated at ab initio level [104]. Liu et al. [105] constructed the stoichiometric as well as nonstoichiometric terminations for polar CTO (111) surfaces [105]. They computed the polar CTO (111) surface electronic structure, grand potential as well as the relevant surface and cleavage energies [105]. Kim et al. [106] explored twenty-two low-indexed BZO (001), (011) as well as (111) surface terminations in order to investigate the Gibbs free energy for their surfaces [106]. Finally, Eglitis [107] performed B3LYP computations for BaO3- and Zr-terminated polar BZO (111) surface relaxations and energetics.
The objective of our review paper was to carry out necessary additional ab initio computations in order to finalize our more-than-20-year-long research work, devoted to ABO3 perovskite surfaces. Namely, we report in this place our B3PW and B3LYP computation results for BTO, CTO, PTO, STO, BZO, CZO, PZO, SZO neutral (001) as well as polar (011) and (111) surfaces. We meticulously analyzed B3PW and B3LYP computation results and detected systematic tendencies, typical for all eight of our ab initio computed ABO3 perovskite surfaces. Finally, we systematized these common systematic trends in a system, effortlessly approachable worldwide for a comprehensive audience of scientists.

2. Computational Details and Surface Models

We performed very comprehensive hybrid density functional theory (DFT) calculations for eight different ABO3 perovskite (001), (011) and (111) surfaces by means of the CRYSTAL [108] computer program. The CRYSTAL computer program [108] utilizes Gaussian-type well-localized basis sets (BSs). The BSs for BTO, PTO and STO perovskites were evolved by Piskunov et al. [109]. Almost all computations in this review were executed by means of the B3PW [110,111] or B3LYP [112] hybrid exchange–correlation functionals. It is worth noting that the hybrid exchange–correlation functionals, like B3PW or B3LYP, enable us to reach an outstanding agreement with the experiment [10,75] for the Γ-Γ band gaps of different ABO3 perovskites. We executed the reciprocal-space integration for the ABO3 perovskite bulk and their surfaces by examining the Brillouin zone, utilizing the 8 × 8 × 8 and 8 × 8 × 1 times, respectively, enlarged Pack Monkhorst grid [113]. The trump card of the CRYSTAL computer program [108] is its ability to compute isolated, two-dimensional slabs, without any unnatural periodicity in the direction z, perpendicular to the slab surface. We performed B3PW and B3LYP computations for all eight ABO3-type perovskites and their surfaces in high symmetry, cubic structure ( s p a c e   g r o u p   P m 3 ¯ m ) [114,115,116].
With the goal of simulating the neutral BO2-terminated (001) surfaces of ABO3-type perovskites [114], we selected symmetrical slabs. These slabs, in our computations, consisted of nine neutral and alternating BO2 as well as AO layers (Figure 1 and Figure 2). The first slab was terminated by the BO2 planes and was composed of a supercell which accommodated 23 atoms (Figure 1). The second slab was terminated by the AO planes and was composed of a supercell which accommodated 22 atoms (Figure 2). Both these (001) surface slabs are nonstoichiometric. They have unit cell formulas equal to A4B5O14 and A5B4O13, respectively (Figure 1 and Figure 2).
Just opposite to the (001) cleavage (Figure 1 and Figure 2) of ABO3, which produce nonpolar AO and BO2 terminations, direct cleavage of ABO3-type perovskites, in order to generate (011) surfaces, leads to the production of polar O2 as well as ABO surfaces (Figure 3). The ABO3 crystal (Figure 3), alongside the [011] crystalic direction, is composed of cyclic planes of O2 and ABO units (Figure 3). These two alternating O2 and ABO planes (Figure 3) have ionic charges of −4e and +4e, assuming following constituents as O2−, B4+ and A2+. Therefore, modeling of the ABO3 (011) surfaces (Figure 3) precisely, as they are obtained from the pristine crystal cleavage, leads to the following two problematic situations: An infinite macroscopic dipole moment, which is perpendicular to the ABO3 perovskite (011) surface (Figure 4), when the slab is terminated by different O2 as well as ABO planes (Figure 4) (stoichiometric slab). Infinite charge, in case when the slab is terminated by the same planes (O2-O2) (Figure 5) or ABO-ABO (Figure 6) (nonstoichiometric slab). Such ABO3 perovskite (011) surface terminations (Figure 5 and Figure 6) make the (011) surface unstable [117,118].
This was the key reason why in our ABO3-type perovskite (011) surface computations, with the aim of obtaining the neutral (011) slab, we deleted some atoms (Figure 7, Figure 8 and Figure 9). Namely, we deleted the O atom (Figure 9) from the upper as well lower layers of the nine-layer O-O-terminated symmetric nonstoichiometric (011) slab. Thus, we obtain a neutral O-terminated ABO3 perovskite (011) slab without any dipole moment perpendicular to the slab surface (Figure 9). Similarly, we deleted both B and O atoms (Figure 8) or an A atom (Figure 7) from the upper and lower layers of the ABO-terminated symmetric nonstoichiometric ABO3 perovskite (011) slabs. Thus, we obtain neutral A-terminated (Figure 8) or BO-terminated (Figure 7) ABO3 perovskite (011) slabs without any dipole moment perpendicular to their (011) surfaces. Consequently, in our computations, the BO-terminated symmetric, nonstoichiometric (Figure 7) nine-layer (011) slab consisted of a supercell enclosing 21 atoms. The A- (Figure 8) and O- (Figure 9) terminated nonstoichiometric and symmetric ABO3 perovskite nine-layer (011) slabs consisted of supercells enclosing 19 and 20 atoms, respectively.
As a further action, the ABO3 perovskite polar (111) surfaces will be described by us using BZO as an example (Figure 10 and Figure 11) [107]. In order to compute the polar BZO perovskite (111) surfaces, we employed symmetrical, nonstoichiometric (111) slabs containing nine alternating Zr and BaO3 layers (Figure 10 and Figure 11). One of two BZO (111) slabs (Figure 11a) is terminated by Zr planes from both sides. It consists of a supercell accommodating 21 atoms (Figure 11a). The second (111) slab (Figure 11b) is terminated from both sides by BaO3 planes. It consists of a supercell accommodating 24 atoms (Figure 11b). Both these Zr- and BaO3-terminated BZO (111) slabs are symmetrical and nonstoichiometric (Figure 11). They have the unit-cell formulas Ba4Zr5O12 and Ba5Zr4O15, respectively (Figure 11). As we know from studies dealing, for example, with polar STO and CTO (111) surfaces [99,101,119], a strong electron redistribution happens for such (111) terminations (Figure 11) canceling the polarity. Therefore, such calculations are possible for the Zr- or BaO3-terminated BZO (111) surface [99,101,119]. It is worth noting that we used the basis sets for neutral Ba, Zr and O atoms in all our B3LYP computations dealing with polar BaZrO3 perovskite (111) surfaces [5,99,107].
With the ultimate goal of computing the ABO3-type perovskite, for example, the PbZrO3 (001) surface energy, we started our B3LYP computations with the cleavage energy calculations for unrelaxed PbO- as well as ZrO2-terminated (001) surfaces [1,2,3,94]. Surfaces with both PbO and ZrO2 (001) terminations at the same time emerge under the (001) cleavage of the PZO crystal [1,2,3,94]. We suppose that the PZO perovskite cleavage energy is uniformly shared between the created (001) surfaces (Figure 1 and Figure 2) [1,2,3]. In our B3LYP computations, the nine-layer PbO-terminated PZO (001) slab with 22 atoms as well as the nine-layer ZrO2-terminated PZO (001) slab, containing 23 atoms, together contain nine bulk unit cells or 45 atoms atoms, thus:
Esurfunr(ϑ) = ¼ [Eslabunr(PbO) + Eslabunr(ZrO2) − 9Ebulk],
where ϑ means PbO or ZrO2; Eslabunr(ϑ) is the SrO- or ZrO2-terminated PZO (001) slab energies without relaxation; Ebulk is the PZO bulk unit cell, containing five atoms, total energy; and the factor of ¼ means that we created four surfaces due the PZO crystal (001) cleavage [1,2,3]. After this, we can compute the relaxation energies for both PbO- and ZrO2-terminated PZO (001) slabs [1,2,3,75,82], using the following equation:
Erel(ϑ) = ½ [Eslabrel(ϑ) − Eslabunr(ϑ)],
where Eslabrel(ϑ) is the (001) slab total energy after geometry relaxation [1,2,3,75,82]. The surface energy is thereby described as a sum of the relevant relaxation as well as cleavage energies:
Esurf(ϑ) = Esurfunr(ϑ) + Erel(ϑ).
With goal of computing the PZO (011) surface energies for the ZrO- and Pb-terminated (011) surfaces, we think about the cleavage of eight PZO bulk unit cells, in order to obtain the ZrO- and Pb-terminated (011) slabs, which contain 21 and 19 atoms. Namely, we split the cleavage energy uniformly among these two surfaces and derive:
Esurfunr(ϑ) = ¼ [Eslabunr(Pb) + Eslabunr(ZrO) − 8Ebulk],
where ϑ indicates Pb or ZrO; Eslabunr(ϑ) is our computed total energy for the unrelaxed Pb- or ZrO-terminated PZO (011) slabs; and Ebulk is our computed PbZrO3 perovskite total energy per five-atom bulk unit cell.
In the end, when we cut the PZO perovskite crystal in other way, we obtain two equal O-terminated PZO (011) surface slabs. Each of them contains 20 atoms [1,2,3,82]. This permits us to make our computations less complex, taking into account that the unit cell of the nine-plane O-terminated PZO (011) slab includes four PZO bulk unit cells [1,2,3,82]. Thereby, the O-terminated PZO perovskite (011) surface energy is described as follows:
Esurf(O) = ½ [Eslabrel(O) − 4Ebulk],
where Esurf(O) is the O-terminated PZO (011) surface energy, and Eslabrel(O) is the relaxed O-terminated PZO (011) slab total energy. In the end, the ABO3 perovskite polar (111) surface energy computation details are described by us in Refs. [5,99,107].

3. Results

3.1. B3PW and B3LYP Calculations of ABO3 Perovskite Bulk Properties

As a starting point of calculations, we computed the bulk lattice constants for all eight of our considered ABO3-type perovskites, using two different hybrid exchange–correlation functionals, B3PW and B3LYP. We compared our theoretically computed ABO3 perovskite bulk lattice constants with available experimental data. Namely, our computed bulk lattice constants, using the B3PW hybrid exchange–correlation functional for BTO (4.008 Å) [1], CTO (3.851 Å) [3], PTO (3.936 Å) [1], STO (3.904 Å) [2], BZO (4.234 Å) [82] and SZO (4.155 Å) [75] perovskites are listed in Table 1. Next, we computed the relevant eight ABO3 perovskite bulk lattice constants also using the related B3LYP hybrid exchange–correlation functional. Namely, using B3LYP, we obtain the following results for BTO (4.04 Å) [109], CTO (3.851 Å) [99], PTO (3.96 Å) [109], STO (3.94 Å) [109], BZO (4.234 Å) [107], CZO (4.157 Å) [120], PZO (4.220 Å) [94] and SZO (4.195 Å) [94] (Table 1). Experimental ABO3-type perovskite bulk lattice constants for our eight computed ABO3 perovskites are collected in Table 1 [121,122,123,124,125,126] for comparison purposes.
As we can see from Table 1, both in our computations for ABO3 perovskite bulk lattice constant used B3PW and B3LYP hybrid exchange–correlation functionals allows us to achieve fair agreement with the experiment [121,122,123,124,125,126]. For example, the agreement between our B3PW computed SrZrO3 bulk lattice constant 4.155 Å [75] and the experimental value of 4.154 Å [126] is simply outstanding. Also, our B3PW computed BTO bulk lattice constant 4.008 Å [1] is in almost perfect agreement with the experimental data of 4.00 Å [121]. In addition, the agreement between our B3LYP computed PbTiO3 bulk lattice constant (3.96 Å) [109] and the experimental PbTiO3 bulk lattice constant (3.97 Å) [123] is fine.
Our B3PW or B3LYP computed bulk effective atomic charges Q and bond populations P for all eight ABO3-type perovskites are collected in Table 2. We used the classical Mulliken population analysis [127,128,129,130] in order to describe the effective atomic charges Q as well as chemical bond populations P for all eight of our B3PW or B3LYP computed ABO3-type perovskite materials (Table 2). As we can see from Table 2, our B3PW or B3LYP computed effective atomic charges Q [127,128,129,130] are always smaller than those expected from the classical ionic model (+2e for A atoms, +4e for B atoms as well as −2e for O atoms). For example, the A atom effective charges (Table 2) are in the range of only +1.354e for the PTO perovskite to +1.880e for the SZO perovskite (Table 2). The B atom effective charges are in the range (Table 2) from +2.111e for PZO to +2.367e for BTO perovskite. The O atom effective charges [127,128,129,130] are between −1.160e for PZO perovskite (Table 2) and −1.407e for the STO perovskite. Finally, the smallest B-O chemical bond population P, according to our B3PW computations, is observed between the Ti-O atom in the CTO perovskite (+0.084e), whereas the largest is between the Zr-O atoms in the BZO perovskite (+0.108e) (Table 2).
Our B3PW computed bulk Γ-Γ band gap for the BTO perovskite is equal to 3.55 eV (Table 3 and Figure 12a). No experimental data exist for the BTO bulk Γ-Γ band gap at the cubic phase. Nevertheless, the related Γ-Γ BTO bulk electronic band structure, measured in the tetragonal towards orthorhombic phase transition temperature [131], identical to 278 K, at contrasting experimental situations, is equivalent to 3.27 or 3.38 eV, respectively. Our B3PW [75] and B3LYP [99] computed CTO bulk Γ-Γ band gaps are almost identical (4.18 eV and 4.20 eV, respectively). Again, there are no experimental data available for the high-temperature cubic CTO phase [75]. It is worth noting that our PWGGA computed CTO bulk Γ-Γ band gap is very small, only 2.34 eV [75], whereas our HF computed CTO bulk Γ-Γ band gap is 5.4 times larger and is equal to 12.63 eV (Table 3). Our B3PW computed PTO bulk Γ-Γ band gap [114] is equal to 4.32 eV (Table 3 and Figure 12b). Our B3PW computed BZO bulk band structure is plotted in Figure 13. Our B3PW computed STO Γ-Γ bulk band gap 3.96 eV [114] is almost in perfect agreement with the available experimental data for the STO cubic phase at Γ-point 3.75 eV [132] (Table 3 and Figure 14). Our B3PW computed BZO bulk band gap at Γ-point is equal to 4.93 eV [75] and is in fair agreement with the relevant experimental data (5.3 eV) [133]. As we can see from Table 3, PWGGA computed BZO bulk band gap at Γ-point is considerably underestimated (3.24 eV), whereas the HF result (12.96 eV) is considerably overestimated regarding the experimental BZO bulk band gap value of 5.3 eV. Finally, for SZO perovskite, our B3PW and B3LYP computed bulk Γ-Γ band gaps almost coincide (5.30 eV and 5.31 eV, respectively) (Table 3) [75,94]. Our B3LYP computation results, dealing with eight ABO3-type perovskite bulk Γ-Γ band gaps, are depicted in Figure 14. As we can see from Figure 14, the best possible agreement between the theory and experiment for eight ABO3-type perovskite bulk Γ-Γ band gaps is possible to achieve by means of the hybrid exchange–correlation functionals, for example B3PW or B3LYP (Table 3 and Figure 14). The HF method hugely overestimated the Γ-Γ bulk band gaps for all eight our computed ABO3 perovskites, whereas the density functional theory based PWGGA functional underestimated them (Figure 14 and Table 3).

3.2. ABO3 Perovskite (001) Surface Atomic and Electronic Structure

Our hybrid exchange–correlation functional B3LYP or B3PW computation results for the (001) surface atomic relaxations for BO2- as well as AO-terminated ABO3-type perovskite upper three or two (001) surface layers are recorded in Table 4 and Table 5.
As it is possible to see from Table 4 and Table 5, the atomic relaxation magnitudes of surface metal atoms A or B, for all eight ABO3 perovskite (001) surface upper two layers, are almost always noticeably larger than that for the respective O atoms (Table 4 and Table 5). This leads to a significant surface rumpling s for the upper-surface plane (Table 6). The only two deviations from this systematic trend are the ZrO2-terminated CZO and SZO (001) surface outermost layers, where the Ca as well as Sr atom inward relaxation magnitudes are smaller than the respective O atom inward relaxation magnitudes (Table 5). The second systematic trend is that for both AO and BO2 terminations of all eight ABO3 perovskite (001) surfaces, as a rule, all atoms of the first (upper) surface layer relax inwards towards the ABO3 perovskite bulk (Table 4 and Table 5). At the same time, all atoms of the second surface layer, for both AO and BO2 (001) surface terminations, relax upwards (Table 4 and Table 5). Again, all third-layer atoms, the same as upper-layer atoms, relax inwards, towards the ABO3 perovskite bulk (Table 4 and Table 5). There are only three exceptions to this systematic trend (Table 4 and Table 5). Namely, TiO2-terminated PTO (001) surface upper-layer O atom relaxes upwards by +0.31% of a0 (Table 5); SrO-terminated STO (001) surface upper-layer O atom relaxes upwards by +0.84% of a0, whereas the second-layer O atom on the SrO-terminated SrZrO3 (001) surface relaxes inwards by a very small relaxation magnitude equal to −0.05% of a0 (Table 4).
B3PW computed [1,2,3,134,135] as well as experimental [136,137] results, dealing with ABO3-type perovskite titanates BTO, CTO, PTO and STO, are collected in Table 6. As we can see from Table 6, our hybrid B3PW computation results [2] for STO (001) surfaces are in fair correspondence with the earlier LDA computation results carried out by Meyer et al. [134]. Namely, both computations, our B3PW [2] as well as those LDA computations performed by Meyer et al. [134], provide the same sign for the changes in interlayer distances Δd12 and Δd23 [2,134] (Table 6). Moreover, our B3PW computed [2] surface rumplings s for SrO as well as TiO2-terminated STO (001) surfaces are in fair agreement with the actual LEED [136] as well as RHEED [137] experimental measurements. Nonetheless, our B3PW [2] and LDA [134] computed interlayer distance changes Δd12 and Δd23 fail to agree with the LEED [136] experimental measurements for the TiO2-terminated STO (001) surface. It is worth noting that LEED [136] and RHEED [137] (Table 6) experimental measurements fail to agree concerning the sign of Δd12 for the SrO-terminated STO (001) surface. Also, for the TiO2-terminated STO (001) surface, LEED [136] and RHEED [137] experiments disagree regarding the sign of the interlayer distance Δd23. As we can see from Table 6, our B3LYP [94] as well as Wang et al.’s [138] LDA and GGA computed surface rumpling s and relative interlayer displacements Δd12 and Δd23 for the SrO-terminated SZO (001) surface are in fair agreement with each other. In addition, our B3LYP [94] and Wang et al.’s [138] computed interlayer distances Δd12 and Δd23 are in good agreement with each other for the ZrO2-terminated SZO (001) surface. The agreement between our B3LYP [94] and Wang et al.’s [138] LDA computed surface rumpling s for the ZrO2-terminated SZO (001) surface (−0.72% of a0 and −0.7% of a0) is almost perfect. Unfortunately, the surface rumpling s, computed by Wang et al., using the GGA exchange–correlation functional [138] for the ZrO2-terminated SZO (001) surface has a different sign of +0.3% of a0 (Table 6).
As we can see from Table 7 and Figure 15, our B3PW or B3LYP computed eight ABO3-type perovskite (001) surface energies are always around 1 eV. Namely, our largest computed (001) surface energy is for the ZrO2-terminated CaZrO3 (001) surface (1.33 eV) [120], whereas the smallest is for the TiO2-terminated PbTiO3 (001) surface (0.74 eV) [1]. The smallest energy difference, according our B3PW computations, is for the BaZrO3 ZrO2- (1.31 eV) and BaO− (1.30 eV) terminated (001) surfaces [82]. The largest (001) surface energy difference, according to our B3LYP hybrid exchange–correlation functional computations, is for the CaZrO3 perovskite ZrO2− (1.33 eV) and CaO− (0.87 eV) terminated (001) surfaces (Table 7 and Figure 10) [120]. It is worth noting that according to the calculation results, the surface energies of the nonpolar BO2-terminated (001) surface was slightly smaller for the BTO, PTO and PZO perovskites; thus, it is more stable (Table 7 and Figure 15).
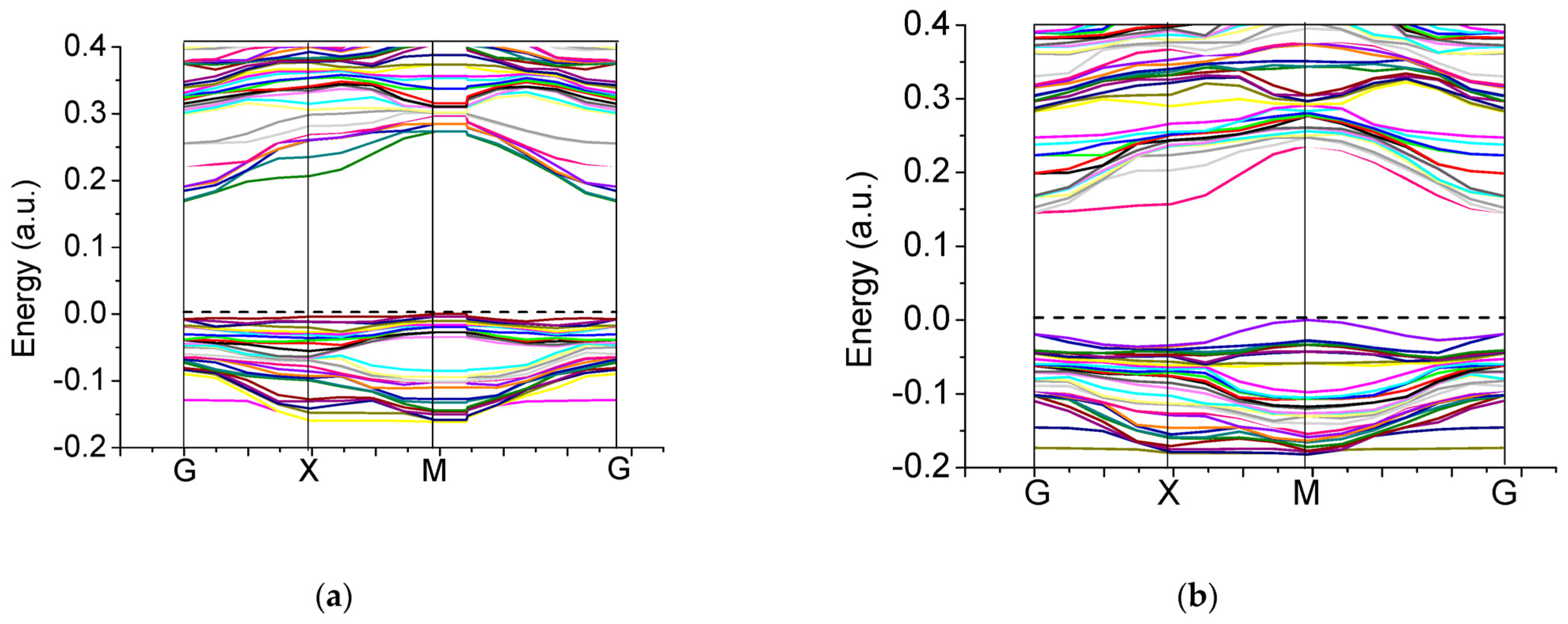
Our B3PW computed electronic bulk band structures for BTO, PTO as well as BZO perovskites are illustrated in Figure 12 and Figure 13. Our B3PW computed TiO2-terminated electronic (001) surface band structures for BTO and PTO are depicted in Figure 16a,b, whereas the AO-terminated BTO and PTO (001) surfaces are depicted in Figure 17a,b. Our B3PW computed electronic band structures for BaO- (a) and ZrO2- (b) terminated BZO (001) surfaces are illustrated in Figure 18. Our computed Γ-Γ band gap numerical values for all eight of our computed ABO3 perovskite bulk as well as their BO2- and AO-terminated (001) surfaces are collected in Table 8. As we can see from Table 3 and Table 8, our B3PW computed STO Γ-Γ bulk band gap (3.96 eV) [114] is in an excellent agreement with the experimentally detected STO bulk Γ-Γ band gap (3.75 eV) [133]. Also, for the BZO perovskite Γ-Γ bulk band gap, the agreement between our B3PW computation result (4.93 eV) [75] and the experiment (5.3 eV) [133] is fine (Table 3 and Table 8). The key effect there, as we can see from Table 8 and Figure 19, is that the ABO3 perovskite bulk Γ-Γ band gap, for all eight of our B3PW or B3LYP computed ABO3 perovskites, is always reduced near their AO- and BO2-terminated (001) surfaces. For example, our B3PW computed BZO bulk Γ-Γ band gap (4.93 eV) (Figure 8) is reduced near the BZO ZrO2-terminated (001) surface (4.48 eV) as well as near the AO-terminated BZO (001) surface (4.82 eV) (Table 8 and Figure 18 and Figure 19). Also, for all of our other eight computed ABO3 perovskites, the situation is similar, regarding the reduction of the ABO3 perovskite bulk Γ-Γ band gap near their (001) surfaces (Figure 14 and Table 8). For example, our B3PW computed BTO bulk Γ-Γ band gap (Figure 12a) (3.55 eV) (Table 8) is also reduced near the BaO-terminated BTO (001) surface (3.49 eV) (Figure 17a) and TiO2-terminated BTO (001) surface (2.96 eV) (Figure 16a and Figure 19).
As we can see from Table 9 and Figure 20, for all eight of our B3LYP or B3PW computed ABO3 perovskites, we can observe the significant increase in the B-O chemical bond covalency near their BO2-terminated (001) surfaces, in comparison with bulk. For example, the largest Ti-O chemical bond population increase by 0.30e, according to our B3PW computations, is observed for the CTO and STO perovskites, namely, from 0.084e and 0.088e, respectively, for their bulk to 0.114e and 0.118e, respectively, near their TiO2-terminated (001) surfaces [2,3]. Just opposite, the smallest B-O chemical bond population increase is observed for the PbZrO3 perovskite [94]. Namely, the PbZrO3 perovskite Zr-O chemical bond population increased from 0.106e (bulk case) to 0.116e near the ZrO2-terminated PbZrO3 (001) surface [94] (Table 9 and Figure 20).

3.3. ABO3 Perovskite (011) Surface Atomic and Electronic Structure

As we can see from Table 10 and Figure 21, for all eight of our B3LYP or B3PW computed ABO3 perovskites, the systematic tendency is that for all three of their BO-, A- and O-terminated (011) surfaces, all upper-layer atoms relax inwards. The only exception to this systematic trend is upward relaxation of BO-terminated (011) surface upper-layer O atoms for all eight of our computed ABO3 perovskites (Table 10 and Figure 21).
It is worth noting that the biggest relaxation magnitude between all upper-layer ABO3 perovskite (011) surface atoms, for all three possible (011) surface terminations, demonstrates the Ca-terminated surface Ca atom shifting inwards by −18.67% of a0 (Table 10 and Figure 16) [10]. It is around three times bigger than the displacement magnitudes for the Zr atom (+6.06% of a0) on the ZrO-terminated as well as O atom (+5.97% of a0) on the O-terminated CZO (011) surfaces (Table 10 and Figure 21).
As we can see from Table 11 and Figure 22, all our B3LYP computed second-layer O-, Ca- and ZrO-terminated CZO (011) surface atoms relax upwards. The only exception to this systematic trend is the second-layer O atom on the ZrO-terminated CZO (011) surface, which relax inwards (Table 11 and Figure 22). It is worth noting that such systematic trend, mainly upward shift of the second-layer atoms on the A-, O- and BO-terminated (011) surfaces, is quite common for all eight of our computed ABO3 perovskites (Table 11 and Figure 22). Namely, according to our B3PW or B3LYP computations for eight ABO3 perovskite (011) surface, all second-layer atoms, located on three different (011) terminations, shift upwards 23 atoms, but relax inwards only 17 atoms (Figure 22 and Table 11).
As we can see from Table 12 and Figure 23, our B3LYP or B3PW computed ABO3 perovskite A-, O- or BO-terminated polar (011) surface energies are always larger than the ABO3 perovskite neutral BO2- or AO-terminated (001) surface energies. According to our B3LYP computations, the largest ABO3 perovskite (011) surface energy is for the ZrO-terminated SZO (011) surface (3.61 eV) (Figure 23 and Table 12). The smallest surface energy between all BO-terminated ABO3 perovskite (011) surfaces is for the TiO-terminated PTO (011) surface, only 1.36 eV. This energy (1.36 eV) is only slightly larger than the ZrO2-terminated CaZrO3 (001) surface energy (1.33 eV). Nevertheless, according to our B3PW or B3LYP computations, the BO-, O- or A-terminated polar ABO3 perovskite (011) surface energies are always larger than the neutral BO2- or AO-terminated ABO3 perovskite (001) surface energies (Figure 19 and Table 12).
As it is possible to see from Table 13 and Figure 24, according to our B3LYP or B3PW computation results for eight ABO3 perovskites, the B-O chemical bond population is the smallest for the ABO3 perovskite bulk. The B-O chemical bond population is increased near the BO2-terminated (001) surface regarding the bulk value and is in the range of +0.102e for the CZO perovskite to 0.132e for the BZO perovskite. An even larger B-O chemical bond population is near the BO-terminated (011) ABO3 perovskite surface. Namely, the plane B(I)-O(I) chemical bond population for all eight of our computed ABO3 perovskites is in the range of 0.128e for the CTO perovskite to 0.152e for the BZO perovskite (Table 13 and Figure 24). Finally, as we can see from Table 13 and Figure 24, the ultimately largest B-O chemical bond population, according to our B3LYP or B3PW computations for eight ABO3 perovskites, is for the BO-terminated (011) surface B(I)-O(II) chemical bond population, in the direction perpendicular to the BO-terminated (011) surface. It is in the range of 0.186e for the CTO perovskite to 0.252e for the PZO and BZO perovskites (Figure 24 and Table 13).

3.4. ABO3 Perovskite (111) Surface Atomic and Electronic Structure

As it is possible to see from Table 14, according to our B3LYP computation results for seven ABO3 perovskites, all atoms on the B-terminated ABO3 perovskite (111) surface relax inwards. The upper-layer B atom relaxation magnitudes (Table 14) are rather strong, ranging from −3.58% of a0 for the STO perovskite to −11.19% of a0 for the BTO perovskite. It is worth noting that almost all second-layer A atoms on the B-terminated ABO3 perovskite (111) surface relax inwards. In general, they exhibit very large relaxation magnitudes, for example, −14.02% of a0 for the second-layer Ca atom on the Ti-terminated CaTiO3 (111) surface (Table 14). As we can see from Table 15, according to our B3LYP computations, most of AO3-terminated ABO3 perovskite upper-layer atoms also relax inwards. Nevertheless, their relaxation magnitudes are considerably smaller than for the upper-layer atom inward relaxation magnitudes on the B-terminated ABO3 perovskite upper layer (Table 14 and Table 15).
As it is possible to see from Table 16, according to our B3LYP computation results for seven ABO3 perovskites, the B-terminated ABO3 perovskite (111) surface energies are always smaller than the respective AO3-terminated ABO3 perovskite (111) surface energies. The B-terminated ABO3 perovskite (111) surface energies (Table 16) are in the energy range of 4.18 eV for the Ti-terminated CaTiO3 (111) surface to 8.19 eV for the Zr-terminated CaZrO3 (111) surface. The AO3-terminated ABO3 perovskite (111) surface energies are in the range of 5.86 eV for the CaO3-terminated CaTiO3 (111) surface to 9.62 eV for the CaO3-terminated CaZrO3 (111) surface (Table 16).

4. Conclusions

We performed B3PW and B3LYP computations for BTO, CTO, PTO, STO, BZO, CZO, PZO and SZO perovskite neutral (001) along with polar (011) and (111) surfaces. For the neutral AO- as well as BO2-terminated (001) surfaces, in most cases, all upper-layer atoms relax inwards, although the second-layer atoms shift outwards. There are only three exceptions to this systematic trend (Table 4 and Table 5). Namely, upward relaxation of TiO2-terminated PTO (001) surface upper-layer O atom by (+0.31% of a0) (Table 5). On the (001) BO2-terminated surface, the second-layer metal atoms, as a rule, exhibit larger atomic relaxations than the second-layer O atoms. For most ABO3 perovskites, the (001) surface rumpling s is bigger for the AO- than BO2-terminated surfaces. In contrast, the surface energies, for both (001) terminations, are practically identical. Nevertheless, for the BTO, PTO and PZO perovskites, the BO2-terminated (001) surface has a slightly smaller surface energy, and therefore, it is more stable. In contrast, for CTO, STO, CZO and SZO perovskites, the AO-terminated (001) surface has a slightly smaller surface energy, and therefore, it is slightly more stable. Conversely, different (011) surface terminations exhibit quite different surface energies for the O-terminated, A-terminated, and BO-terminated surfaces. Our computed ABO3 perovskite (111) surface energies are always significantly larger than the neutral (001) and polar (011) surface energies. Our computed ABO3 perovskite bulk B-O chemical bond covalency increase near their neutral (001) and especially polar (011) surfaces. It is worth noting that for the (011) surfaces, in the plane B(I)-O(I) chemical bond population for all eight of our computed ABO3 perovskites is in the range of 0.128e for the CTO perovskite to 0.152e for the BZO perovskite (Table 13 and Figure 24). Finally, as we can see from Table 13 and Figure 24, the ultimately largest B-O chemical bond population, according to our B3LYP or B3PW computations for eight ABO3 perovskites, is for the BO-terminated (011) surface B(I)-O(II) chemical bond population, in the direction perpendicular to the BO-terminated (011) surface. It is in the range of 0.186e for the CTO perovskite to 0.252e for the PZO and BZO perovskites (Figure 24 and Table 13).

Author Contributions

Formal analysis, R.J.; investigation, R.J. and R.I.E.; writing—original draft preparation, R.I.E. and R.J.; writing—review and editing, R.I.E.; supervision, R.I.E.; project administration, R.I.E. and R.J.; funding acquisition, R.I.E. and R.J. All authors have read and agreed to the published version of the manuscript.

Funding

This study was funded by the Latvian Council of Science Grant Number: LZP-2021/1-464. The Institute of Solid State Physics, University of Latvia (Latvia), as the Centre of Excellence, has received funding from the European Union’s Horizon 2020 Framework Programme H2020-WIDESPREAD01-2016-2017-Teaming Phase2 under Grant Agreement No. 739508, project CAMART-2.

Data Availability Statement

Data are contained within the article.

Conflicts of Interest

The authors declare no conflict of interest.

References

  1. Eglitis, R.I.; Vanderbilt, D. Ab initio calculations of BaTiO3 and PbTiO3 (001) and (011) surface structures. Phys. Rev. B 2007, 76, 155439. [Google Scholar] [CrossRef]
  2. Eglitis, R.I.; Vanderbilt, D. First-principles calculations of atomic and electronic structure of SrTiO3 (001) and (011) surfaces. Phys. Rev. B 2008, 77, 195408. [Google Scholar] [CrossRef]
  3. Eglitis, R.I.; Vanderbilt, D. Ab initio calculations of the atomic and electronic structure of CaTiO3 (001) and (011) surfaces. Phys. Rev. B 2008, 78, 155420. [Google Scholar] [CrossRef]
  4. Dawber, M.; Rabe, K.M.; Scott, J.F. Physics of thin-film ferroelectric oxides. Rev. Mod. Phys. 2005, 77, 1083–1130. [Google Scholar] [CrossRef]
  5. Eglitis, R.I. Ab initio hybrid DFT calculations of BaTiO3, PbTiO3, SrZrO3 and PbZrO3 (111) surfaces. Appl. Surf. Sci. 2015, 358, 556–562. [Google Scholar] [CrossRef]
  6. Erdman, N.; Poeppelmeier, K.R.; Asta, M.; Warschkov, O.; Ellis, D.E.; Marks, L.D. The structure and chemistry of the TiO2-rich surface of SrTiO3 (001). Nature 2002, 419, 55–58. [Google Scholar] [CrossRef]
  7. Celik, F.A. Electronic structure of two-dimensional-layered PbTiO3 perovskite crystal: An extended tight-binding study based on DFT. Bull. Mater. Sci. 2022, 45, 108. [Google Scholar] [CrossRef]
  8. Wang, J.L.; Vilquin, B.; Barrett, N. Screening of ferroelectric domains on BaTiO3 (001) surface by ultraviolet photo-induced charge and dissociative water adsorption. Appl. Phys. Lett. 2012, 101, 092902. [Google Scholar] [CrossRef]
  9. Li, W.; Landis, C.M.; Demkov, A. Domain morphology and electro-optic effect in Si-integrated epitaxial BaTiO3 films. Phys. Rev. Mater. 2022, 6, 095203. [Google Scholar] [CrossRef]
  10. Eglitis, R.I.; Kleperis, J.; Purans, J.; Popov, A.I.; Jia, R. Ab initio calculations of CaZrO3 (011) surfaces: Systematic trends in polar (011) surface calculations of ABO3 perovskites. J. Mater. Sci. 2020, 55, 203–217. [Google Scholar] [CrossRef]
  11. Costa-Amaral, R.; Gohda, Y. First-principles study of the adsorption of 3d transition metals on BaO- and TiO2-terminated cubic-phase BaTiO3 (001) surfaces. J. Chem. Phys. 2020, 152, 204701. [Google Scholar] [CrossRef]
  12. Lyu, J.; Fina, I.; Solanas, R.; Fontcuberta, J.; Sanchez, F. Tailoring lattice strain and Ferroelectric Polarization of Epitaxial BaTiO3 Thin Films on Si (001). Sci. Rep. 2018, 8, 495. [Google Scholar] [CrossRef]
  13. Ellinger, F.; Shafiq, M.; Ahmad, I.; Reticcioli, M.; Franchini, C. Small polaron formation on the Nb-doped SrTiO3 (001) surface. Phys. Rev. Mater. 2023, 7, 064602. [Google Scholar] [CrossRef]
  14. Wang, Y.; Zhang, Z.; Wang, Y.; Doan, E.; Yuan, L.; Tang, W.; Yang, K. First-principles investigation of structural, electronic, and energetic properties of BaSnO3 (001) surfaces. Vacuum 2023, 212, 111977. [Google Scholar] [CrossRef]
  15. Abbasi, P.; Fenning, D.P.; Pascal, T.A. Investigation of local distortion effects on X-ray absorption of ferroelectric perovskites from first principles simulations. Nanoscale 2023, 15, 5193–5200. [Google Scholar] [CrossRef] [PubMed]
  16. Barret, N.; Dionot, J.; Martinotti, D.; Salje, E.K.H.; Mathieu, C. Evidence of surface anomaly during the cubic-tetragonal phase transition in BaTiO3 (001). Appl. Phys. Lett. 2018, 113, 022901. [Google Scholar] [CrossRef]
  17. Franchini, C.; Reticcioli, M.; Setvin, M.; Diebold, U. Polarons in materials. Nat. Rev. Mater. 2021, 6, 560–586. [Google Scholar] [CrossRef]
  18. Chen, P.; Xu, Y.; Wang, N.; Oganov, A.R.; Duan, W. Effects of ferroelectric polarization on surface phase diagram: Evolutionary algorithm study of the BaTiO3 (001) surface. Phys. Rev. B 2015, 92, 085432. [Google Scholar] [CrossRef]
  19. Brivio, S.; Petti, D.; Bertacco, R.; Cezar, J.C. Electric field control of magnetic anisotropies and magnetic coercivity in Fe/BaTiO3 (001) heterostructures. Appl. Phys. Lett. 2011, 98, 092505. [Google Scholar] [CrossRef]
  20. Gao, H.; Liu, X.; Yue, Z.; Liu, Y.; Lin, T. First-principles study on strain-controllable magnetoelectric coupling behavior of two-dimensional BaTiO3 (001) ultrathin film with surface Ba vacancy. Ceram. Int. 2020, 46, 24682–24688. [Google Scholar] [CrossRef]
  21. Saghayezhian, M.; Sani, S.M.R.; Zhang, J.; Plummer, E.W. Rumpling and enhanced covalency at the SrTiO3 (001) surface. J. Phys. Chem. C 2019, 123, 8086–8091. [Google Scholar] [CrossRef]
  22. Hamazaki, Y.; Gohda, Y. Enhancement of magnetoelectric coupling by insertion of Co atomic layer into Fe3Si/BaTiO3 (001) interfaces identified by first-principles calculations. J. Appl. Phys. 2019, 126, 233902. [Google Scholar] [CrossRef]
  23. Sambrano, J.R.; Longo, V.M.; Longo, E.; Taft, C.A. Electronic and structural properties of the (001) SrZrO3 surface. J. Mol. Struct. THEOCHEM 2007, 813, 49–56. [Google Scholar] [CrossRef]
  24. Setvin, M.; Reticcioli, M.; Poelzleitner, F.; Hulva, J.; Schmid, M.; Boatner, L.A.; Franchini, C.; Diebold, U. Polarity compensation mechanisms on the perovskite surface KTaO3 (001). Science 2018, 359, 572–575. [Google Scholar] [CrossRef]
  25. Wang, Z.; Hao, X.; Gerhold, S.; Schmid, M.; Franchini, C.; Diebold, U. Vacancy clusters at domain boundaries and band bending at the SrTiO3 (110) surface. Phys. Rev. B 2014, 90, 035436. [Google Scholar] [CrossRef]
  26. Le, T.T.; Ekerdt, J.G. Epitaxial growth of high-k BaxSr1−xTiO3 thin films on SrTiO3 (001) substrates by atomic layer deposition. J. Vac. Sci. Technol. A 2020, 38, 032401. [Google Scholar] [CrossRef]
  27. Zhong, W.; Vanderbilt, D.; Rabe, K.M. First-principles theory of ferroelectric phase transitions for perovskites: The case of BaTiO3. Phys. Rev. B 1995, 52, 6301. [Google Scholar] [CrossRef]
  28. Bellaiche, L.; Vanderbilt, D. Virtual crystal approximation revisited: Application to dielectric and piezoelectric properties of perovskites. Phys. Rev. B 2000, 61, 7877. [Google Scholar] [CrossRef]
  29. Dufour, P.; Maroutian, T.; Vallet, M.; Patel, K.; Chanthbouala, A.; Jacquemont, C.; Yedra, L.; Humbert, V.; Godel, F.; Xu, B.; et al. Ferroelectric phase transitions in epitaxial antiferroelectric PbZrO3 thin films. Appl. Phys. Rev. 2023, 10, 021405. [Google Scholar] [CrossRef]
  30. Wang, S.; Yan, H.; Zhao, D.; Tan, Z.; Shi, Q. Low temperature heat capacity and thermodynamic function of BaZrO3 and PbZrO3. J. Chem. Thermodyn. 2021, 158, 106449. [Google Scholar] [CrossRef]
  31. Loureiro, F.J.A.; Nasani, N.; Reddy, G.S.; Munirathnam, N.R.; Fagg, D.P. A review on sintering technology of proton conducting BaCeO3-BaZrO3 perovskite oxide materials for Protonic Ceramic Fuel Cells. J. Power Sources 2019, 438, 226991. [Google Scholar] [CrossRef]
  32. Gurgel, M.F.C.; Moreira, M.L.; Paris, E.C.; Espinosa, J.W.M.; Pizani, P.S.; Varela, J.A.; Longo, E. BaZrO3 photoluminescence property: An ab initio analysis of structural deformation and symmetry changes. Int. J. Quantum. Chem. 2011, 111, 694–701. [Google Scholar] [CrossRef]
  33. Kirby, N.M.; van Riessen, A.; Buckley, C.E.; Wittorff, V.W. Oxalate-precursor processing for high quality BaZrO3. J. Mater. Sci. 2005, 40, 97–106. [Google Scholar] [CrossRef][Green Version]
  34. Prasatkhetragarn, A.; Sareein, T.; Triamnak, N.; Yimnirun, R. Dielectric and ferroelectric properties of modified-BaTiO3 lead-free ceramics prepared by solid solution method. Ferroelectrics 2022, 586, 224–241. [Google Scholar] [CrossRef]
  35. Ring, A.E.; Kesson, S.E.; Reeve, K.D.; Levins, D.M.; Ramm, E.J. Radioactive Waste Forms for the Future; Lutze, W., Ewings, R.C., Eds.; North-Holland: Amsterdam, The Netherlands, 1987. [Google Scholar]
  36. Scott, J.F.; Paz de Araujo, C.A. Ferroelectric Memories. Science 1989, 246, 1400–1405. [Google Scholar] [CrossRef] [PubMed]
  37. Scott, J.F. Applications of Modern Ferroelectrics. Science 2007, 315, 954–959. [Google Scholar] [CrossRef]
  38. Sicron, N.; Ravel, B.; Yacoby, Y.; Stern, E.A.; Dogan, F.; Rehr, J.J. Nature of the ferroelectric phase transition in PbTiO3. Phys. Rev. B 1994, 50, 13168–13180. [Google Scholar] [CrossRef]
  39. Kisiel, M.; Brovko, O.O.; Yildiz, D.; Pawlak, R.; Gysin, U.; Tosatti, E.; Meyer, E. Mechanical dissipation from charge and spin transitions in oxygen-deficient SrTiO3 surfaces. Nat. Commun. 2018, 9, 2946. [Google Scholar] [CrossRef]
  40. Goodenough, J.B. Electronic and ionic transport properties and other physical aspects of perovskites. Rep. Prog. Phys. 2004, 67, 1915–1993. [Google Scholar] [CrossRef]
  41. Santander-Syro, A.F.; Fortuna, F.; Bareille, C.; Rödel, T.C.; Landolt, G.; Plumb, N.C.; Dil, J.H.; Radovič, M. Giant spin splitting of the two-dimensional electron gas at the surface of SrTiO3. Nat. Mater. 2014, 13, 1085–1090. [Google Scholar] [CrossRef]
  42. Liu, Z.Q.; Lü, W.M.; Lim, S.L.; Qiu, X.P.; Bao, N.N.; Motapothula, M.; Yi, J.B.; Yang, M.; Dhar, S.; Venkatesan, T.; et al. Reversible room-temperature ferromagnetism in Nb-doped SrTiO3 single crystals. Phys. Rev. B 2013, 87, 220405(R). [Google Scholar] [CrossRef]
  43. Orak, İ.; Karabulat, A.; Yiğit, E.; Sevgili, Ö.; Ruşen, A.; Ozel, F. The diode and photodiode performances of BaZrO3 perovskite-based device under the influence of thermal and light external stimuli. Sens. Actuators Phys. A 2022, 337, 113413. [Google Scholar] [CrossRef]
  44. Exner, J.; Nazarenus, T.; Kita, J.; Moos, R. Dense Y-doped ion conducting perovskite films of BaZrO3, BaSnO3 and BaCeO3 for SOFC applications produced by powder aerosol deposition at room temperature. Int. J. Hydrogen Energy 2020, 45, 10000–10016. [Google Scholar] [CrossRef]
  45. Parida, S.; Rout, S.K.; Cavalcante, L.S.; Sinha, E.; Li, M.S.; Subramanian, V.; Gupta, N.; Gupta, V.R.; Varela, J.A.; Longo, E. Structural refinement, optical and microwave dielectric properties of BaZrO3. Ceram. Int. 2012, 38, 2129–2138. [Google Scholar] [CrossRef]
  46. Davies, R.A.; Islam, M.S.; Gale, J.D. Dopant and Proton Incorporation in Perovskite-Type Zirconates. Solid State Ion. 1999, 126, 323–335. [Google Scholar] [CrossRef]
  47. Janke, D. Studies Using EMF. Probes of the Continuous Measurement of Dissolved Oxygen in Steel Melts. Metall. Mater. Trans. B 1982, 13B, 227. [Google Scholar] [CrossRef]
  48. Setiawan, A.H.; Fergus, J.W. Preparation and Characterisation of Indium-Doped Calcium Zirconate for the Electrolyte in Hydrogen Sensors for Use in Molten Aluminium. Ceram. Trans. 2002, 130, 47–56. [Google Scholar]
  49. Singh, D.J. Structure and energetics of antiferroelectric PbZrO3. Phys. Rev. B 1995, 52, 12559–12563. [Google Scholar] [CrossRef]
  50. Lin, S.; Xiu, Z.; Liu, J.; Xu, F.; Yu, W.; Yu, J.; Feng, G. Combustion synthesis and characterization of perovskite SrTiO3 nanopowders. J. Alloys Compd. 2008, 457, L12–L14. [Google Scholar]
  51. Mete, E.; Shaltaf, R.; Ellialtoğlu, S. Electronic and structural properties of a 4d perovskite: Cubic phase of SrZrO3. Phys. Rev. B 2003, 68, 035119. [Google Scholar] [CrossRef]
  52. Cavalcante, L.S.; Simoes, A.Z.; Sczancovski, J.C.; Longo, V.M.; Erlo, R.; Escoto, M.T.; Longo, E.; Varela, J.A. SrZrO3 powders obtained by chemical method: Synthesis, characterization and optical absorption behavior. Solid State Sci. 2007, 9, 1020–1027. [Google Scholar] [CrossRef]
  53. Longo, V.M.; Cavalcante, L.S.; Figneiredo, A.T.; Santos, L.P.S.; Longo, E.; Varela, J.A.; Sambrano, J.R.; Paskocimas, C.A.; De Vicente, F.S.; Hernandes, A.C. Highly intense violet-blue light emission at room temperature in structurally disordered SrZrO3 powders. Appl. Phys. Lett. 2007, 90, 091906. [Google Scholar] [CrossRef]
  54. Eglitis, R.I.; Purans, J.; Popov, A.I.; Bocharov, D.; Chekhovska, A.; Jia, R. Ab initio computations of O and AO as well as ReO2, WO2 and BO2-terminated ReO3, WO3, BaTiO3, SrTiO3 and BaZrO3 (001) surfaces. Symmetry 2022, 14, 1050. [Google Scholar] [CrossRef]
  55. Zhang, R.; Hwang, G.S. First-principles mechanistic study of the initial growth of SrO by atomic layer deposition on TiO2-terminated SrTiO3 (001). J. Phys. Chem. C 2020, 124, 28116. [Google Scholar] [CrossRef]
  56. Kasai, M.; Dohi, H. Surface structure and electrochemical properties of platinum films grown on SrTiO3 (100) substrates. Surf. Sci. 2017, 666, 14–22. [Google Scholar] [CrossRef]
  57. Waldow, S.P.; Souza, R.A.D. Computational study of oxygen diffusion along a [100] dislocations in the perovskite oxide SrTiO3. ACS Appl. Mater Interfaces 2016, 8, 1224–1256. [Google Scholar] [CrossRef] [PubMed]
  58. Brik, M.G.; Ma, C.G.; Krasnenko, V. First-principles calculations of the structural and electronic properties of the cubic CaZrO3 (001) surfaces. Surf. Sci. 2013, 608, 146–153. [Google Scholar] [CrossRef]
  59. Zhong, M.; Zeng, W.; Liu, F.S.; Tang, B.; Liu, Q.J. First-principles study of the atomic structures, electronic properties, and surface stability of BaTiO3 (001) and (011) surfaces. Surf. Interface Anal. 2019, 51, 1021–1032. [Google Scholar] [CrossRef]
  60. Eglitis, R.I. Comparative first-principles calculations of SrTiO3, BaTiO3, PbTiO3 and CaTiO3 (001), (011) and (111) surfaces. Ferroelectrics 2015, 483, 53–67. [Google Scholar] [CrossRef]
  61. Alam, N.N.; Malik, N.A.; Samat, M.H.; Hussin, N.H.; Jaafar, N.K.; Radzwan, A.; Mohyedin, M.Z.; Haq, B.U.; Ali, A.M.M.; Hassan, O.H.; et al. Underlaying mechanism of surface (001) cubic ATiO3 (A = Pb, Sn) in enhancing thermoelectric performance of thin-film applications using density functional theory. Surf. Interfaces 2021, 27, 101524. [Google Scholar] [CrossRef]
  62. Zhao, X.; Selloni, A. Structure and stability of NaTaO3 (001) and KTaO3 (001) surfaces. Phys. Rev. Mater. 2019, 3, 015801. [Google Scholar] [CrossRef]
  63. Kolpak, A.M.; Li, D.; Shao, R.; Rappe, A.M.; Bonnell, D.A. Evolution of the surface structure and thermodynamic stability of the BaTiO3 (001) surface. Phys. Rev. Lett. 2008, 101, 036102. [Google Scholar] [CrossRef] [PubMed]
  64. Eglitis, R.I.; Piskunov, S. First principles calculations of SrZrO3 bulk and ZrO2-terminated (001) surface F centers. Comput. Condens. Matter 2016, 7, 1–6. [Google Scholar] [CrossRef]
  65. Sorokine, A.; Bocharov, D.; Piskunov, S.; Kashcheyevs, V. Electronic charge redistribution in LaAlO3 (001) thin films deposited at SrTiO3 substrate: First-principles analysis and the role of stoichiometry. Phys. Rev. B 2012, 86, 155410. [Google Scholar] [CrossRef]
  66. Krasnenko, V.; Platonenko, A.; Liivand, A.; Rusevich, L.L.; Mastrikov, Y.A.; Zvejnieks, G.; Sokolov, M.; Kotomin, E.A. Modeling of the Lattice Dynamics in Strontium Titanate Films of Various Thicknesses: Raman Scattering Studies. Materials 2023, 16, 6207. [Google Scholar] [CrossRef] [PubMed]
  67. Piskunov, S.; Eglitis, R.I. First principles hybrid DFT calculations of BaTiO3/SrTiO3 (001) interface. Solid State Ion. 2015, 274, 29–33. [Google Scholar] [CrossRef]
  68. Gao, H.; Yue, Z.; Liu, Y.; Hu, J.; Li, X. A first-principles study on the multiferroic property of two-dimensional BaTiO3 (001) ultrathin film with surface Ba vacancy. Nanomaterials 2019, 9, 269. [Google Scholar] [CrossRef]
  69. Tiano, Y.; Adamo, C.; Schlom, D.G.; Burch, K.S. Optical properties of SrTiO3 on silicon (100). Appl. Phys. Lett. 2013, 102, 041906. [Google Scholar] [CrossRef]
  70. Hong, M.; Wohlwend, J.L.; Behera, R.K.; Philpott, S.R.; Sinott, S.B.; Uberuaga, B.P. Surface diffusion on SrTiO3 (100): A temperature accelerated dynamics and first principles study. Surf. Sci. 2013, 617, 237–241. [Google Scholar] [CrossRef]
  71. Iles, N.; Finocchi, F.; Khodja, K.D. A systematic study of ideal and double layer reconstruction of ABO3 (001) surfaces (A = Sr, Ba:B = Ti, Zr) from first principles. J. Phys. Condens. Matter 2010, 22, 305001. [Google Scholar] [CrossRef]
  72. Heifets, E.; Dorfman, S.; Fuks, D.; Kotomin, E. Atomistic simulation of the [001] surface structure in BaTiO3. Thin Solid Film. 1997, 296, 76–78. [Google Scholar] [CrossRef]
  73. Sokolov, M.; Eglitis, R.I.; Piskunov, S.; Zhukovskii, Y.F. Ab initio hybrid DFT calculations of BaTiO3 bulk and BaO-terminated (001) surface F-centers. Int. J. Mod. Phys. B 2017, 31, 1750251. [Google Scholar] [CrossRef]
  74. Wang, Y.; Zhao, H.; Zhang, L.; Chen, J.; Xing, X. PbTiO3-based perovskite ferroelectric and multiferroic thin films. Phys. Chem. Chem. Phys. 2017, 19, 17493–17515. [Google Scholar] [CrossRef] [PubMed]
  75. Eglitis, R.I.; Popov, A.I. Systematic trends in (001) surface ab initio calculations of ABO3 perovskites. J. Saudi Chem. Soc. 2018, 22, 459–468. [Google Scholar] [CrossRef]
  76. Ohtomo, A.; Hwang, H.K. A high-mobility electron gas at the LaAlO3/SrTiO3 heterointerface. Nature 2004, 427, 423–426. [Google Scholar] [CrossRef] [PubMed]
  77. Nishio, K.; Ohnishi, T.; Mitsuishi, K.; Ohta, N.; Watanabe, K.; Takada, K. Orientation alignment of epitaxial LiCoO2 thin films on vicinal SrTiO3 (100) substrates. J. Power Sources 2016, 325, 306–310. [Google Scholar] [CrossRef]
  78. Rodenbücher, C.; Bihlmayer, G.; Korte, C.; Rytz, D.; Szade, J.; Szot, K. An Operando Study of the Thermal Reduction of BaTiO3 Crystals: The Nature of the Insulator-Metal Transition of the Surface Layer. Crystals 2023, 13, 1278. [Google Scholar] [CrossRef]
  79. Yuk, S.F.; Asthagiri, A. A first-principles study of Pt thin films on SrTiO3 (100): Support effects on CO adsorption. J. Chem. Phys. 2015, 142, 124704. [Google Scholar] [CrossRef]
  80. Torres-Torres, D.; Hurtado-Macias, A.; Herrera-Basurto, R.; Conteras, E.; Sánchez, S.; Mercarder-Trejo, F.; González-Hernández, J.; Auciello, O. Anisotropic behavior of mechanical properties for the a- and c-domains in a (001) BaTiO3 single crystal. J. Phys. Condens. Matter 2023, 35, 355703. [Google Scholar] [CrossRef]
  81. Cieślik, K.; Wrana, D.; Rogala, M.; Rodenbücher, C.; Szot, K.; Krok, F. The effect of reduction and Oxidation Processes on the Work Function of Metal Oxide Crystals: TiO2 (110) and SrTiO3 (001) Case. Crystals 2023, 13, 1052. [Google Scholar] [CrossRef]
  82. Eglitis, R.I. First-principles calculations of BaZrO3 (001) and (011) surfaces. J. Phys. Condens. Matter 2007, 19, 356004. [Google Scholar] [CrossRef]
  83. Padilla, J.; Vanderbilt, D. Ab initio study of SrTiO3 surfaces. Surf. Sci. 1998, 418, 64–76. [Google Scholar] [CrossRef]
  84. Huang, R.; Fung, V.; Zhang, Y.; Mullins, D.R.; Wu, Z.; Jiang, D. Understanding Methanol Coupling on SrTiO3 from First Principles. J. Phys. Chem. C 2018, 122, 7210–7216. [Google Scholar] [CrossRef]
  85. Kotomin, E.A.; Eglitis, R.I.; Maier, J.; Heifets, E. Calculations of the atomic and electronic structure for SrTiO3 perovskite thin films. Thin Solid Film. 2001, 400, 76–80. [Google Scholar] [CrossRef]
  86. Zhang, G.X.; Xie, Y.; Yu, H.T.; Fu, H.G. First-principles calculations of the stability and electronic properties of the PbTiO3 (110) polar surface. Comput. Chem. 2009, 30, 1785–1789. [Google Scholar] [CrossRef] [PubMed]
  87. Zhang, J.M.; Pang, Q.; Xu, K.W.; Ji, V. First-principles study of the (110) polar surface of cubic PbTiO3. Comput. Mater. Sci. 2009, 44, 1360–1365. [Google Scholar] [CrossRef]
  88. Bottin, F.; Finocchi, F.; Noguera, C. Stability and electronic structure of the (1 × 1) SrTiO3 (110) polar surfaces by first-principles calculations. Phys. Rev. B 2003, 68, 035418. [Google Scholar] [CrossRef]
  89. Heifets, E.; Goddard, W.A.; Kotomin, E.A.; Eglitis, R.I.; Borstel, G. Ab initio calculations of the SrTiO3 (110) polar surface. Phys. Rev. B 2004, 69, 035408. [Google Scholar] [CrossRef]
  90. Enterkin, J.A.; Subramanian, A.K.; Russell, B.C.; Castell, M.R.; Poeppelmeier, K.R.; Marks, L.D. A homologous series of structures on the surface of SrTiO3 (110). Nat. Mater. 2010, 9, 245–248. [Google Scholar] [CrossRef]
  91. Fleischer, K.; Kim, S.; Walls, B.; Zhussupbekov, K.; Shvets, I.V. Optical Anisotropy of SrTiO3 (110) for Different Surface Terminations. Phys. Status Solidi B 2018, 255, 1700459. [Google Scholar] [CrossRef]
  92. Zhang, J.M.; Cui, J.; Xu, K.W.; Ji, V.; Man, Z.Y. Ab initio modeling of CaTiO3 (110) polar surfaces. Phys. Rev. B 2007, 76, 115426. [Google Scholar] [CrossRef]
  93. Heifets, E.; Ho, J.; Merinov, B. Density functional simulation of the BaZrO3 (011) surface structure. Phys. Rev. B 2007, 75, 155431. [Google Scholar] [CrossRef]
  94. Eglitis, R.I.; Rohlfing, M. First-principles calculations of the atomic and electronic structure of SrZrO3 and PbZrO3 (001) and (011) surfaces. J. Phys. Condens. Matter 2010, 22, 415901. [Google Scholar] [CrossRef] [PubMed]
  95. Chen, H.; Xie, Y.; Zhang, G.X.; Yu, H.T. A first-principles investigation of the stabilities and electronic properties of SrZrO3 (110) (1 × 1) polar terminations. J. Phys. Condens. Matter 2014, 26, 395002. [Google Scholar] [CrossRef] [PubMed]
  96. Hagendorf, C.; Schindler, K.M.; Doege, T.; Neddermeyer, H. An STM, XPS and LEED investigation of the BaTiO3 (111) surface. Surf. Sci. 1998, 402–404, 581–585. [Google Scholar] [CrossRef]
  97. Chun, H.J.; Lee, Y.; Kim, S.; Yoon, Y.; Kim, Y.; Park, S.C. Surface Termination of BaTiO3 (111) Single Crystal: A Combined DFT and XPS Study. Appl. Surf. Sci. 2022, 578, 152018. [Google Scholar] [CrossRef]
  98. Cohen, R.E. Periodic slab LAPW computations for ferroelectric BaTiO3. J. Phys. Chem. Solids 1996, 57, 1393–1396. [Google Scholar] [CrossRef]
  99. Eglitis, R.I. Comparative ab initio calculations of SrTiO3 and CaTiO3 polar (111) surfaces. Phys. Status Solidi B 2015, 252, 635–642. [Google Scholar] [CrossRef]
  100. Haruyama, Y.; Aiura, Y.; Bando, H.; Nishihara, Y.; Kato, H. Annealing temperature dependence on the electronic structure of the reduced SrTiO3 (111) surface. J. Electron Spectrosc. Relat. Phenom. 1998, 88–91, 695–698. [Google Scholar] [CrossRef]
  101. Pojani, A.; Finocchi, F.; Noguera, C. Polarity on the SrTiO3 (111) and (110) surfaces. Surf. Sci. 1999, 442, 179–198. [Google Scholar] [CrossRef]
  102. Torrelles, X.; Cantele, G.; Luca, G.M.D.; Capua, R.D.; Drnec, J.; Felici, R.; Ninno, D.; Herranz, G.; Salluzzo, M. Electronic and structural reconstructions of the polar (111) SrTiO3 surface. Phys. Rev. B 2019, 99, 205421. [Google Scholar] [CrossRef]
  103. Marks, L.D.; Chiaramonti, A.N.; Rahman, S.U.; Castel, M.R. Transition from Order to Configurational Disorder for Surface Reconstructions on SrTiO3 (111). Phys. Rev. Lett. 2015, 114, 226101. [Google Scholar] [CrossRef] [PubMed]
  104. Pang, Q.; Zhang, J.M.; Xu, K.W.; Ji, V. Structural, electronic properties and stability of the (1 × 1) PbTiO3 (111) polar surfaces by first-principles calculations. Appl. Surf. Sci. 2009, 255, 8145–8152. [Google Scholar] [CrossRef]
  105. Liu, W.; Wang, C.; Cui, J.; Man, Z.Y. Ab initio calculations of the CaTiO3 (111) polar surfaces. Solid State Commun. 2009, 149, 1871–1876. [Google Scholar] [CrossRef]
  106. Kim, J.S.; Kim, Y.C. Equilibrium crystal shape of BaZrO3 and space charge formation in the (011) surface by using ab-initio thermodynamics. J. Korean Phys. Soc. 2017, 70, 75–80. [Google Scholar] [CrossRef]
  107. Eglitis, R.I. Ab initio calculations of the atomic and electronic structure of BaZrO3 (111) surfaces. Solid State Ion. 2013, 230, 43–47. [Google Scholar] [CrossRef]
  108. Dovesi, R.; Saunders, V.R.; Roetti, C.; Orlando, R.; Zicovich-Wilson, C.M.; Pascale, F.; Civalleri, B.; Doll, K.; Harrison, N.M.; Bush, I.J.; et al. CRYSTAL-2017 User Manual; University of Torino: Turin, Italy, 2017. [Google Scholar]
  109. Piskunov, S.; Heifets, E.; Eglitis, R.I.; Borstel, G. Bulk properties and electronic structure of SrTiO3, BaTiO3, PbTiO3 perovskites: An ab initio HF/DFT study. Comput. Mater. Sci. 2004, 29, 165–178. [Google Scholar] [CrossRef]
  110. Perdew, J.P.; Wang, Y. Accurate and simple density functional for the electronic exchange energy: Generalized gradient approximation. Phys. Rev. B 1986, 33, 8800–8802, Erratum in Phys. Rev. B 1989, 40, 3399. [Google Scholar] [CrossRef]
  111. Perdew, J.P.; Wang, Y. Accurate and simple analytic representation of the electron-gas correlation energy. Phys. Rev. B 1992, 45, 13244–13249. [Google Scholar] [CrossRef]
  112. Lee, C.; Yang, W.; Parr, R.G. Development of the Colle-Salvetti correlation-energy formula into a functional of the electron density. Phys. Rev. B 1988, 37, 785–789. [Google Scholar] [CrossRef]
  113. Monkhorst, H.J. Special points for Brillouin-zone integrations. Phys. Rev. B 1976, 13, 5188. [Google Scholar] [CrossRef]
  114. Piskunov, S.; Kotomin, E.A.; Heifets, E.; Maier, J.; Eglitis, R.I.; Borstel, G. Hybrid DFT calculations of the atomic and electronic structure for ABO3 perovskite (001) surfaces. Surf. Sci. 2005, 575, 75–88. [Google Scholar] [CrossRef]
  115. Nova, T.F.; Disa, A.S.; Fechner, M.; Cavalleri, A. Metastable ferroelectricity in optically strained SrTiO3. Science 2019, 364, 1075–1079. [Google Scholar] [CrossRef]
  116. Vanderbilt, D. First-principles theory of structural phase transitions in cubic perovskites. J. Korean Phys. Soc. 1998, 32, S103–S106. [Google Scholar]
  117. Noguera, C. Polar oxide surfaces. J. Phys. Condens. Matter 2000, 12, R367. [Google Scholar] [CrossRef]
  118. Tasker, P.W. The stability of ionic crystal surfaces. J. Phys. C Solid State Phys. 1979, 12, 4977. [Google Scholar] [CrossRef]
  119. Pojani, A.; Finocchi, F.; Noguera, C. A theoretical study of the unreconstructed polar (111) face of SrTiO3. Appl. Surf. Sci. 1999, 142, 177–181. [Google Scholar] [CrossRef]
  120. Eglitis, R.I. Theoretical Modelling of the Energy Surface (001) and Topology of CaZrO3 Perovskite. Ferroelectrics 2015, 483, 75–85. [Google Scholar] [CrossRef]
  121. Hellwege, K.H.; Helwege, A.M. Ferroelectrics and Related Substances; Landolt-Bornstein, New Series, Group III; Springer: Berlin/Heidelberg, Germany, 1969; Volume 3. [Google Scholar]
  122. Ali, R.; Yashima, M. Space group and crystal structure of the perovskite CaTiO3 from 296 to 1720K. J. Solid State Chem. 2005, 178, 2867–2872. [Google Scholar] [CrossRef]
  123. Mabud, S.A.; Glazer, A.M. Lattice parameters and birefringence in PbTiO3 single crystals. J. Appl. Crystallogr. 1979, 12, 49–53. [Google Scholar] [CrossRef]
  124. Mathews, M.D.; Mirza, E.B.; Momin, A.C. High-temperature X-ray diffractometric studies of CaZrO3, SrZrO3 and BaZrO3. J. Mater. Sci. Lett. 1991, 10, 305–306. [Google Scholar] [CrossRef]
  125. Aoyagi, S.; Kuroiwa, Y.; Sawada, A.; Tanaka, H.; Harada, J.; Nishibori, E.; Takata, M.; Sakata, M. Direct Observation of Covalency between O and Disordered Pb in Cubic PbZrO3. J. Phys. Soc. Jpn. 2002, 71, 2353–2356. [Google Scholar] [CrossRef]
  126. Kennedy, B.J.; Howard, C.J.; Chakoumakos, B.C. High-temperature phase transitions in SrZrO3. Phys. Rev. B 1999, 59, 4023–4027. [Google Scholar] [CrossRef]
  127. Mulliken, R.S. Electronic Population Analysis on LCAO-MO Molecular Wave Functions. J. Chem. Phys. 1955, 23, 1833–1840. [Google Scholar] [CrossRef]
  128. Catlow, C.R.A.; Stoneham, A.M. Ionicity in solids. J. Phys. C Solid State Phys. 1983, 16, 4321. [Google Scholar] [CrossRef]
  129. Bochiccio, R.C.; Reale, H.F. On the nature of crystalline bonding: Extension of statistical population analysis to two- and three-dimensional crystalline systems. J. Phys. B At. Mol. Opt. Phys. 1993, 26, 4871. [Google Scholar] [CrossRef]
  130. Eglitis, R.I.; Kotomin, E.A.; Trepakov, V.A.; Kapphan, S.E.; Borstel, G. Quantum chemical modelling of electron polarons and “green” luminescence in PbTiO3 perovskite crystals. J. Phys. Condens. Matter 2002, 14, L647. [Google Scholar] [CrossRef]
  131. Wemple, S.H. Polarization Fluctuations and the Optical-Absorption Edge in BaTiO3. Phys. Rev. B 1970, 2, 2679–2689. [Google Scholar] [CrossRef]
  132. Benthem, K.; Elsässer, C.; French, R.H. Bulk electronic structure of SrTiO3: Experiment and theory. J. Appl. Phys. 2001, 90, 6156–6164. [Google Scholar] [CrossRef]
  133. Robertson, J. Band offsets of wide-band-gap oxides and implications for future electronic devices. J. Vac. Sci. Technol. B 2000, 18, 1785–1791. [Google Scholar] [CrossRef]
  134. Meyer, B.; Padilla, J.; Vanderbilt, D. Theory of PbTiO3, BaTiO3, and SrTiO3 surfaces. Faraday Discuss. 1999, 114, 395–405. [Google Scholar] [CrossRef]
  135. Wang, Y.X.; Arai, M.; Sasaki, T.; Wang, C.L. First-principles study of the (001) surface of cubic CaTiO3. Phys. Rev. B 2006, 73, 035411. [Google Scholar] [CrossRef]
  136. Bickel, N.; Schmidt, G.; Heinz, K.; Müller, K. Ferroelectric relaxation of the SrTiO3 (100) surface. Phys. Rev. Lett. 1989, 62, 2009–2011. [Google Scholar] [CrossRef] [PubMed]
  137. Hikita, T.; Hanada, M.; Kudo, M.; Kawai, M. Structure and electronic state of the TiO2 and SrO terminated SrTiO3 (100) surfaces. Surf. Sci. 1993, 287–288, 377–381. [Google Scholar] [CrossRef]
  138. Wang, Y.X.; Arai, M. First-principles study of the (001) surface of cubic SrZrO3. Surf. Sci. 2007, 601, 4092–4096. [Google Scholar] [CrossRef]
Figure 1. Profile for the BO2-terminated (001) surface of ABO3-type perovskite accommodating nine layers and containing the definition of the surface rumpling s as well as the near-surface interplane distances Δd12 and Δd23.
Figure 1. Profile for the BO2-terminated (001) surface of ABO3-type perovskite accommodating nine layers and containing the definition of the surface rumpling s as well as the near-surface interplane distances Δd12 and Δd23.
Materials 16 07623 g001
Figure 2. Profile for the AO-terminated (001) surface of ABO3-type perovskite accommodating nine layers.
Figure 2. Profile for the AO-terminated (001) surface of ABO3-type perovskite accommodating nine layers.
Materials 16 07623 g002
Figure 3. Sketch of the cubic ABO3 perovskite construction, containing two (011) cleavage planes, consisting of charged O2 as well as ABO (011) surfaces.
Figure 3. Sketch of the cubic ABO3 perovskite construction, containing two (011) cleavage planes, consisting of charged O2 as well as ABO (011) surfaces.
Materials 16 07623 g003
Figure 4. Sketch of the ABO3 perovskite (011) surface slab models. Slabs are derived by ABO3 perovskite (011) cleavage yielding mixed O2 and ABO terminations.
Figure 4. Sketch of the ABO3 perovskite (011) surface slab models. Slabs are derived by ABO3 perovskite (011) cleavage yielding mixed O2 and ABO terminations.
Materials 16 07623 g004
Figure 5. Sketch of the ABO3 perovskite (011) surface slab models. Slabs are derived by ABO3 perovskite (011) cleavage yielding an O2-terminated surface.
Figure 5. Sketch of the ABO3 perovskite (011) surface slab models. Slabs are derived by ABO3 perovskite (011) cleavage yielding an O2-terminated surface.
Materials 16 07623 g005
Figure 6. Sketch of the ABO3 perovskite (011) surface slab models. Slabs are derived by ABO3 perovskite (011) cleavage yielding an ABO-terminated surface.
Figure 6. Sketch of the ABO3 perovskite (011) surface slab models. Slabs are derived by ABO3 perovskite (011) cleavage yielding an ABO-terminated surface.
Materials 16 07623 g006
Figure 7. Sketch of the ABO3 perovskite (011) surface slab models. Slabs are derived by ABO3 perovskite (011) cleavage yielding a BO-terminated surface.
Figure 7. Sketch of the ABO3 perovskite (011) surface slab models. Slabs are derived by ABO3 perovskite (011) cleavage yielding a BO-terminated surface.
Materials 16 07623 g007
Figure 8. Sketch of the ABO3 perovskite (011) surface slab models. Slabs are derived by ABO3 perovskite (011) cleavage yielding an A-terminated surface.
Figure 8. Sketch of the ABO3 perovskite (011) surface slab models. Slabs are derived by ABO3 perovskite (011) cleavage yielding an A-terminated surface.
Materials 16 07623 g008
Figure 9. Sketch of the ABO3 perovskite (011) surface slab models. Slabs are derived by ABO3 perovskite (011) cleavage yielding an O-terminated surface.
Figure 9. Sketch of the ABO3 perovskite (011) surface slab models. Slabs are derived by ABO3 perovskite (011) cleavage yielding an O-terminated surface.
Materials 16 07623 g009
Figure 10. Cubic BZO perovskite structure exhibiting two (111) surface terminations: BaO3 and Zr.
Figure 10. Cubic BZO perovskite structure exhibiting two (111) surface terminations: BaO3 and Zr.
Materials 16 07623 g010
Figure 11. Profile of slab geometries employed to explore BZO (111) surfaces. (a) Nonstoichiometric BZO slab containing nine layers with Zr-terminated (111) surfaces. (b) Nonstoichiometric BZO slab containing nine layers with BaO3-terminated (111) surfaces.
Figure 11. Profile of slab geometries employed to explore BZO (111) surfaces. (a) Nonstoichiometric BZO slab containing nine layers with Zr-terminated (111) surfaces. (b) Nonstoichiometric BZO slab containing nine layers with BaO3-terminated (111) surfaces.
Materials 16 07623 g011
Figure 12. Our hybrid B3PW computed [114] bulk electronic band structure for BTO (a) as well as PTO (b) perovskites. The dotted lines correspond to the bulk valence band maximum.
Figure 12. Our hybrid B3PW computed [114] bulk electronic band structure for BTO (a) as well as PTO (b) perovskites. The dotted lines correspond to the bulk valence band maximum.
Materials 16 07623 g012
Figure 13. Our hybrid B3PW computed bulk electronic band structure for BZO [75] perovskite.
Figure 13. Our hybrid B3PW computed bulk electronic band structure for BZO [75] perovskite.
Materials 16 07623 g013
Figure 14. Our computed as well as experimentally measured bulk band gaps at Γ-point for 8 ABO3 perovskites obtained using different functionals: (1) PWGGA, (2) experimental data, (3) B3LYP and (4) HF.
Figure 14. Our computed as well as experimentally measured bulk band gaps at Γ-point for 8 ABO3 perovskites obtained using different functionals: (1) PWGGA, (2) experimental data, (3) B3LYP and (4) HF.
Materials 16 07623 g014
Figure 15. Our B3PW or B3LYP computed AO (1) as well as BO2-terminated (2) (001) surface energies (in eV per surface cell) for CTO, STO, PTO, BTO, CZO, SZO, PZO and BZO perovskites.
Figure 15. Our B3PW or B3LYP computed AO (1) as well as BO2-terminated (2) (001) surface energies (in eV per surface cell) for CTO, STO, PTO, BTO, CZO, SZO, PZO and BZO perovskites.
Materials 16 07623 g015
Figure 16. Our B3PW simulated electronic band structure for TiO2-terminated ABO3 perovskite (001) surfaces of (a) BTO and (b) PTO.
Figure 16. Our B3PW simulated electronic band structure for TiO2-terminated ABO3 perovskite (001) surfaces of (a) BTO and (b) PTO.
Materials 16 07623 g016
Figure 17. Our B3PW simulated electronic band structures for AO-terminated ABO3 perovskite (001) surfaces of (a) BTO and (b) PTO.
Figure 17. Our B3PW simulated electronic band structures for AO-terminated ABO3 perovskite (001) surfaces of (a) BTO and (b) PTO.
Materials 16 07623 g017
Figure 18. Our B3PW simulated electronic band structures for BaO- (a) as well as ZrO2-terminated (b) BaZrO3 (001) surfaces.
Figure 18. Our B3PW simulated electronic band structures for BaO- (a) as well as ZrO2-terminated (b) BaZrO3 (001) surfaces.
Materials 16 07623 g018
Figure 19. Our computed bulk (1) and AO- (2) as well as BO2-terminated (3) (001) surface Γ-Γ electronic band gaps for 8 ABO3 perovskites by means of B3LYP or B3PW functionals.
Figure 19. Our computed bulk (1) and AO- (2) as well as BO2-terminated (3) (001) surface Γ-Γ electronic band gaps for 8 ABO3 perovskites by means of B3LYP or B3PW functionals.
Materials 16 07623 g019
Figure 20. Our B3PW or B3LYP computed bulk (1) as well as BO2-terminated (2) (001) surface B-O bond populations for BTO, CTO, PTO, STO, BZO, CZO, PZO and SZO perovskites.
Figure 20. Our B3PW or B3LYP computed bulk (1) as well as BO2-terminated (2) (001) surface B-O bond populations for BTO, CTO, PTO, STO, BZO, CZO, PZO and SZO perovskites.
Materials 16 07623 g020
Figure 21. Our computed upper-layer atom shifts for 8 ABO3 perovskite BO-, A- and O-terminated (011) and also AO- and BO2-terminated (001) surfaces. Line 1, A-term. (011) surface A atom relaxation. Line 2, AO-term. (001) surface, A atom. Line 3, BO-term. (011) surface, B atom. Line 4, O-terminated (011) surface. Line 5, BO2-terminated (001) surface, B atom. Line 6, AO-term. (001) surface, O atom relaxation. Line 7, BO2-term. (001) surface, O atom relaxation. Line 8, BO-terminated (011) surface, O atom relaxation.
Figure 21. Our computed upper-layer atom shifts for 8 ABO3 perovskite BO-, A- and O-terminated (011) and also AO- and BO2-terminated (001) surfaces. Line 1, A-term. (011) surface A atom relaxation. Line 2, AO-term. (001) surface, A atom. Line 3, BO-term. (011) surface, B atom. Line 4, O-terminated (011) surface. Line 5, BO2-terminated (001) surface, B atom. Line 6, AO-term. (001) surface, O atom relaxation. Line 7, BO2-term. (001) surface, O atom relaxation. Line 8, BO-terminated (011) surface, O atom relaxation.
Materials 16 07623 g021
Figure 22. Our B3PW or B3LYP computed second-layer atom relaxation magnitudes. Line 1-our computed O-term. (011) surface A atom shifts. Line 2-BO-term. (011) surface O atom shifts. Line 3-O-term. (011) surface B atom shifts. Line 4-A-term. (011) surface O atom shifts. Line 5-O-term. (011) surface O atom shifts.
Figure 22. Our B3PW or B3LYP computed second-layer atom relaxation magnitudes. Line 1-our computed O-term. (011) surface A atom shifts. Line 2-BO-term. (011) surface O atom shifts. Line 3-O-term. (011) surface B atom shifts. Line 4-A-term. (011) surface O atom shifts. Line 5-O-term. (011) surface O atom shifts.
Materials 16 07623 g022
Figure 23. Our B3LYP or B3PW computed ABO3 surface energies (in eV) for BO- (1), A- (2), O-terminated (3) (011) and also BO2- (4) and AO-terminated (5) (001) surfaces.
Figure 23. Our B3LYP or B3PW computed ABO3 surface energies (in eV) for BO- (1), A- (2), O-terminated (3) (011) and also BO2- (4) and AO-terminated (5) (001) surfaces.
Materials 16 07623 g023
Figure 24. Our B3LYP or B3PW computed B-O chemical bond populations for ABO3 perovskite bulk (1), BO2-terminated (001) surfaces (2), as well as for BO-terminated (011) surfaces, B(I)-O(I) (3) and B(I)-O(II) (4).
Figure 24. Our B3LYP or B3PW computed B-O chemical bond populations for ABO3 perovskite bulk (1), BO2-terminated (001) surfaces (2), as well as for BO-terminated (011) surfaces, B(I)-O(I) (3) and B(I)-O(II) (4).
Materials 16 07623 g024
Table 1. Computed ABO3 perovskite bulk lattice constants [1,2,3,75,82,94,99,107,109,120] (in Å) by means of the B3PW or B3LYP method. The experimentally detected ABO3 perovskite bulk lattice constants [121,122,123,124,125,126] are listed for comparison purposes.
Table 1. Computed ABO3 perovskite bulk lattice constants [1,2,3,75,82,94,99,107,109,120] (in Å) by means of the B3PW or B3LYP method. The experimentally detected ABO3 perovskite bulk lattice constants [121,122,123,124,125,126] are listed for comparison purposes.
ABO3-Type PerovskiteB3PWB3LYPExperiment
BaTiO34.008 [1]4.04 [109]4.00 [121]
CaTiO33.851 [3]3.851 [99]3.8967 [122]
PbTiO33.936 [1]3.96 [109]3.97 [123]
SrTiO33.904 [2]3.94 [109]3.89 [121]
BaZrO34.234 [82]4.234 [107]4.199 [124]
CaZrO3-4.157 [120]-
PbZrO3-4.220 [94]4.1614 [125]
SrZrO34.155 [75]4.195 [94]4.154 [126]
Table 2. BTO, CTO, PTO, STO, BZO, CZO, PZO and SZO perovskite bulk effective atomic charges Q (in e) and bond populations P (in e) computed using the hybrid B3PW or B3LYP exchange–correlation functionals [1,2,3,82,94].
Table 2. BTO, CTO, PTO, STO, BZO, CZO, PZO and SZO perovskite bulk effective atomic charges Q (in e) and bond populations P (in e) computed using the hybrid B3PW or B3LYP exchange–correlation functionals [1,2,3,82,94].
BTOCTOPTOSTOBZOCZOPZOSZO
IonProp.B3PWB3PWB3PWB3PWB3PWB3LYPB3LYPB3LYP
AQ+1.797+1.782+1.354+1.871+1.815+1.787+1.368+1.880
P−0.034+0.006+0.016−0.010−0.012+0.014+0.030+0.002
OQ−1.388−1.371−1.232−1.407−1.316−1.310−1.160−1.351
P+0.098+0.084+0.098+0.088+0.108+0.086+0.106+0.092
BQ+2.367+2.330+2.341+2.351+2.134+2.144+2.111+2.174
Table 3. B3LYP, B3PW, HF and PWGGA computed Γ-Γ band gaps (in eV) for eight ABO3 perovskites. Experimental bulk Γ-Γ band gaps at ABO3 perovskite cubic phase are listed for comparison purposes.
Table 3. B3LYP, B3PW, HF and PWGGA computed Γ-Γ band gaps (in eV) for eight ABO3 perovskites. Experimental bulk Γ-Γ band gaps at ABO3 perovskite cubic phase are listed for comparison purposes.
PerovskiteTheoretical MethodBulk Band GapExperiment
BaTiO3B3PW3.55 [114]No data for cubic phase
CaTiO3B3PW4.18 [75]No data for cubic phase
B3LYP 4.20 [99]
PWGGA2.34 [75]
HF12.63 [75]
PbTiO3B3PW4.32 [114]No data for cubic phase
SrTiO3B3PW3.96 [114]3.75 [132]
BaZrO3B3PW4.93 [75]5.3 [133]
B3LYP4.79 [107]
PWGGA3.24 [75]
HF12.96 [75]
CaZrO3B3LYP5.40 [120]No data for cubic phase
PbZrO3B3LYP5.63 [94]No data for cubic phase
SrZrO3B3PW5.30 [75]No data for cubic phase
B3LYP5.31 [94]
PWGGA3.53 [75]
HF13.54 [75]
Table 4. B3LYP or B3PW computed relaxations of atoms (% of a0) for the AO-terminated (001) surfaces of eight ABO3 perovskites [1,2,3,75,82,94,120].
Table 4. B3LYP or B3PW computed relaxations of atoms (% of a0) for the AO-terminated (001) surfaces of eight ABO3 perovskites [1,2,3,75,82,94,120].
ABO3 Perovsk.BTOCTOPTOSTOBZOCZOPZOSZO
Termin., (001) AOAOAOAOAOAOAOAO
LayerIonB3PWB3PWB3PWB3PWB3PWB3LYPB3LYPB3LYP
1A−1.99−8.31−3.82−4.84−4.30−10.01−5.69−7.63
O−0.63−0.42−0.31+0.84−1.23−0.79−2.37−0.86
2B+1.74+1.12+3.07+1.75+0.47+1.11+0.57+0.86
O+1.40+0.01+2.30+0.77+0.18+0.01+0.09−0.05
3A----−0.01−2.60−0.47−1.53
O----−0.14−0.48−0.47−0.45
Table 5. B3LYP or B3PW computed relaxations of atoms (% of a0) for the BO2-terminated (001) surfaces of eight ABO3 perovskites [1,2,3,75,82,94,120].
Table 5. B3LYP or B3PW computed relaxations of atoms (% of a0) for the BO2-terminated (001) surfaces of eight ABO3 perovskites [1,2,3,75,82,94,120].
ABO3 Perovsk.BTOCTOPTOSTOBZOCZOPZOSZO
Termin., (001)BO2BO2BO2BO2BO2BO2BO2BO2
LayerIonB3PWB3PWB3PWB3PWB3PWB3LYPB3LYPB3LYP
1B−3.08−1.71−2.81−2.25−1.79−1.30−2.37−1.38
O−0.35−0.10+0.31−0.13−1.70−2.31−1.99−2.10
2A+2.51+2.75+5.32+3.55+1.94+4.23+4.36+2.81
O+0.38+1.05+1.28+0.57+0.85+1.25+1.04+0.91
3B----−0.03−0.05−0.47−0.04
O----0.00−0.09−0.28−0.05
Table 6. B3LYP or B3PW computed as well as experimentally detected surface rumpling s and respective atomic displacements Δd12 and Δd23 (% of a0) for the BO2- and AO-terminated (001) surfaces of eight ABO3 perovskites.
Table 6. B3LYP or B3PW computed as well as experimentally detected surface rumpling s and respective atomic displacements Δd12 and Δd23 (% of a0) for the BO2- and AO-terminated (001) surfaces of eight ABO3 perovskites.
MaterialMethodAO-Terminated (001) SurfaceBO2-Terminated (001) Surface
sΔd12Δd23sΔd12Δd23
BTOB3PW [1]1.37−3.741.742.73−5.592.51
LDA [134] −2.81.1 −3.10.9
CTOB3PW [3]7.89−9.431.121.61−4.462.75
GGA [135]0.37−0.440.220.13−0.410.33
PTOB3PW [1]3.516.893.073.12−8.135.32
LDA [134] −4.22.6 −4.43.1
STOB3PW [2]5.66−6.581.752.12−5.793.55
LDA [134] −3.41.2 −3.51.6
LEED [136]4.1 ± 2−5 ± 12 ± 12.1 ± 21 ± 1−1 ± 1
RHEED [137]4.12.61.32.61.81.3
BZOB3PW [82]3.07−4.770.480.09−3.731.97
CZOB3LYP [120]9.22−11.123.711.01−5.534.28
PZOB3LYP [94]3.32−6.261.040.38−6.734.83
SZOB3LYP [94]6.77−8.492.39−0.72−4.192.85
LDA [138]7.9−9.13.2−0.7−6.14.2
GGA [138]7.8−9.33.30.3−7.44.9
Table 7. B3LYP or B3PW computed BO2- or AO-terminated (001) surface energies (in eV per surface cell) for BTO, CTO, PTO, STO, BZO, CZO, PZO, SZO perovskites.
Table 7. B3LYP or B3PW computed BO2- or AO-terminated (001) surface energies (in eV per surface cell) for BTO, CTO, PTO, STO, BZO, CZO, PZO, SZO perovskites.
ABO3 PerovskiteABO3 Perovskite (001) Surface
Termination, FunctionalBO2-TerminatedAO-Terminated
BTO [1], B3PW1.071.19
CTO [3], B3PW1.130.94
PTO [1], B3PW0.740.83
STO [2], B3PW1.231.15
BZO [82], B3PW1.311.30
CZO [120], B3LYP1.330.87
PZO [94], B3LYP0.931.00
SZO [94], B3LYP1.241.13
Table 8. B3PW, B3LYP, PWGGA or HF computed Γ-Γ band gaps for eight ABO3 perovskite bulk as well as their BO2- and AO-terminated (001) surfaces (in eV).
Table 8. B3PW, B3LYP, PWGGA or HF computed Γ-Γ band gaps for eight ABO3 perovskite bulk as well as their BO2- and AO-terminated (001) surfaces (in eV).
Perovskite, MethodΓ-Γ Band Gap, BulkBO2-Termin., (001) AO-Termin., (001)
BTO, B3PW3.55 [114]2.963.49
CTO, B3PW4.18 [75]3.303.87
CTO, B3LYP4.20 [99]3.333.88
CTO, PWGGA2.34 [75]2.062.19
CTO, HF12.63 [75]11.8612.53
PTO, B3PW4.32 [114]3.183.58
STO, B3PW3.96 [114]3.953.72
BZO, B3PW4.93 [75]4.484.82
BZO, B3LYP4.79 [107]4.374.71
BZO, PWGGA3.24 [75]2.763.08
BZO, HF12.96 [75]12.6212.84
CZO, B3LYP5.40 [120]5.225.00
PZO, B3LYP5.63 [94]4.603.86
SZO, B3PW5.30 [75]4.985.01
SZO, B3LYP5.31 [94]4.915.04
SZO, PWGGA3.53 [75]3.173.20
SZO, HF13.54 [75]13.1913.25
Table 9. B3LYP or B3PW computed B-O bond populations for eight ABO3 perovskites bulk and also for their BO2-terminated (001) surfaces (in e).
Table 9. B3LYP or B3PW computed B-O bond populations for eight ABO3 perovskites bulk and also for their BO2-terminated (001) surfaces (in e).
PerovskiteFunctional B-O Chemical Bond Populations
ABO3, BulkSurface, (001)
BTOB3PW0.0980.126
CTOB3PW0.0840.114
PTOB3PW0.0980.114
STOB3PW0.0880.118
BZOB3PW0.1080.132
CZOB3LYP0.0860.102
PZOB3LYP0.1060.116
SZOB3LYP0.0920.114
Table 10. B3PW or B3LYP computed upper-layer atom shifts for 8 ABO3 perovskite BO-, A- and O-terminated (011) surfaces.
Table 10. B3PW or B3LYP computed upper-layer atom shifts for 8 ABO3 perovskite BO-, A- and O-terminated (011) surfaces.
Term.
(011)
AtomCTOSTOPTOBTOCZOSZOPZOBZO
MethodB3PWB3PWB3PWB3PWB3LYPB3LYPB3LYPB3PW
BOB−7.14−7.69−8.13−7.86−6.06−6.16−6.87−6.61
O+4.67+3.59+3.30+2.61+4.96+4.36+4.27+3.35
AA−16.05−12.81−11.94−8.67−18.67−15.73−15.17−11.81
OO−6.10−6.61−7.37−5.40−5.97−6.56−6.61−7.32
Table 11. B3PW or B3LYP computed second-layer atom shifts for 8 ABO3 perovskite BO-, A- and O-terminated (011) surfaces.
Table 11. B3PW or B3LYP computed second-layer atom shifts for 8 ABO3 perovskite BO-, A- and O-terminated (011) surfaces.
Term.
(011)
AtomCTOSTOPTOBTOCZOSZOPZOBZO
MethodB3PWB3PWB3PWB3PWB3LYPB3LYPB3LYPB3PW
BOO−0.44−0.51−0.41−1.02−0.38−0.38−0.24−0.29
AO+1.35+1.02−0.61+0.80+1.25+1.24−0.57+0.66
OB−0.26−1.02+0.20−0.15+0.75+1.45+0.73+0.12
A−2.10−1.18+0.18+1.54+1.78−1.43+0.73+0.21
O+3.43+1.79+0.51+1.95+0.67+4.29+4.29−0.78
Table 12. B3PW or B3LYP computed (011) and (001) surface energies for CTO, STO, PTO, BTO, CZO, SZO, PZO and BZO perovskites (in eV per surface cell).
Table 12. B3PW or B3LYP computed (011) and (001) surface energies for CTO, STO, PTO, BTO, CZO, SZO, PZO and BZO perovskites (in eV per surface cell).
Term.EsurfCTOSTOPTOBTOCZOSZOPZOBZO
MethodB3PWB3PWB3PWB3PWB3LYPB3LYPB3LYPB3PW
BO(011)3.133.061.362.043.463.611.893.09
A(011)1.912.662.033.241.492.211.742.90
O(011)1.862.041.721.722.082.231.852.32
BO2(001)1.131.230.741.071.331.240.931.31
AO(001)0.941.150.831.190.871.131.001.30
Table 13. B3LYP or B3PW computed 8 ABO3 perovskite bulk, BO2-terminated (001) surface and BO-terminated (011) surface B-O chemical bond populations in the plane (B(I)-O(I)) as well as in the direction perpendicular to the (011) surface (B(I)-O(II)).
Table 13. B3LYP or B3PW computed 8 ABO3 perovskite bulk, BO2-terminated (001) surface and BO-terminated (011) surface B-O chemical bond populations in the plane (B(I)-O(I)) as well as in the direction perpendicular to the (011) surface (B(I)-O(II)).
Chemical bondCZOCTOSTOPTOBTOSZOPZOBZO
MethodB3LYPB3PWB3PWB3PWB3PWB3LYPB3LYPB3PW
Bulk (B-O)0.0860.0840.0880.0980.0980.0920.1060.108
(B-O), (001)0.1020.1140.1180.1140.1260.1140.1160.132
B(I)-O(I), (011)0.1380.1280.1300.1320.1300.1420.1480.152
B(I)-O(II), (011)0.2400.1860.1880.1960.1980.2460.2520.252
Table 14. B3LYP computed eight ABO3 perovskite B-terminated (111) surface three upper-layer atom relaxation (% of a0).
Table 14. B3LYP computed eight ABO3 perovskite B-terminated (111) surface three upper-layer atom relaxation (% of a0).
LayerIonBTOCTOPTOSTOBZOCZOPZOSZO
1B−11.19−6.23−7.57−3.58−8.03−11.07−9.24−5.72
2A−6.22−14.02−10.09−11.24−9.73−11.31+5.92−11.92
O+2.74+1.30−0.13+1.53+0.78+0.14+2.61+0.79
3B−0.25−0.26+0.53+0.26−0.02−0.96−2.73+1.53
Table 15. B3LYP computed eight ABO3 perovskite AO3-terminated (111) surface three upper-layer atom relaxation (% of a0).
Table 15. B3LYP computed eight ABO3 perovskite AO3-terminated (111) surface three upper-layer atom relaxation (% of a0).
LayerIonBTOCTOPTOSTOBZOCZOPZOSZO
1A−1.24−0.52+1.01+1.33+1.70−3.61−0.05−0.74
O−3.98−0.81−2.52−0.03−0.57−0.07−1.26−0.52
2B+2.49+2.13+0.02+1.81+0.21+1.20+1.18+0.74
3A+1.49+2.60+1.26−0.03+0.71−0.02−0.02−0.02
O−0.25−0.07+1.26−0.26−0.01−0.07−0.02−0.18
Table 16. B3LYP computed surface energies for B as well as AO3-terminated ABO3 perovskite (111) surfaces (in eV per surface cell).
Table 16. B3LYP computed surface energies for B as well as AO3-terminated ABO3 perovskite (111) surfaces (in eV per surface cell).
TerminationBTOCTOPTOSTOBZOCZOPZOSZO
B-terminated7.284.186.144.997.948.196.937.98
AO3-terminated8.405.868.116.309.339.628.219.45
Disclaimer/Publisher’s Note: The statements, opinions and data contained in all publications are solely those of the individual author(s) and contributor(s) and not of MDPI and/or the editor(s). MDPI and/or the editor(s) disclaim responsibility for any injury to people or property resulting from any ideas, methods, instructions or products referred to in the content.

Share and Cite

MDPI and ACS Style

Eglitis, R.I.; Jia, R. Review of Systematic Tendencies in (001), (011) and (111) Surfaces Using B3PW as Well as B3LYP Computations of BaTiO3, CaTiO3, PbTiO3, SrTiO3, BaZrO3, CaZrO3, PbZrO3 and SrZrO3 Perovskites. Materials 2023, 16, 7623. https://doi.org/10.3390/ma16247623

AMA Style

Eglitis RI, Jia R. Review of Systematic Tendencies in (001), (011) and (111) Surfaces Using B3PW as Well as B3LYP Computations of BaTiO3, CaTiO3, PbTiO3, SrTiO3, BaZrO3, CaZrO3, PbZrO3 and SrZrO3 Perovskites. Materials. 2023; 16(24):7623. https://doi.org/10.3390/ma16247623

Chicago/Turabian Style

Eglitis, Roberts I., and Ran Jia. 2023. "Review of Systematic Tendencies in (001), (011) and (111) Surfaces Using B3PW as Well as B3LYP Computations of BaTiO3, CaTiO3, PbTiO3, SrTiO3, BaZrO3, CaZrO3, PbZrO3 and SrZrO3 Perovskites" Materials 16, no. 24: 7623. https://doi.org/10.3390/ma16247623

APA Style

Eglitis, R. I., & Jia, R. (2023). Review of Systematic Tendencies in (001), (011) and (111) Surfaces Using B3PW as Well as B3LYP Computations of BaTiO3, CaTiO3, PbTiO3, SrTiO3, BaZrO3, CaZrO3, PbZrO3 and SrZrO3 Perovskites. Materials, 16(24), 7623. https://doi.org/10.3390/ma16247623

Note that from the first issue of 2016, this journal uses article numbers instead of page numbers. See further details here.

Article Metrics

Back to TopTop