Emerging Schemes for Advancing 2D Material Photoconductive-Type Photodetectors
Abstract
:1. Introduction
2. Figures of Merit of Photodetectors
2.1. Responsivity (R)
2.2. External Quantum Efficiency
2.3. Detectivity (D*)
2.4. Rise/Decay Time
3. Improvement in Crystalline Quality
4. Band Engineering
5. Interface Passivation
6. Light Harvesting Enhancement
7. Channel Depletion
8. Channel Shrinkage
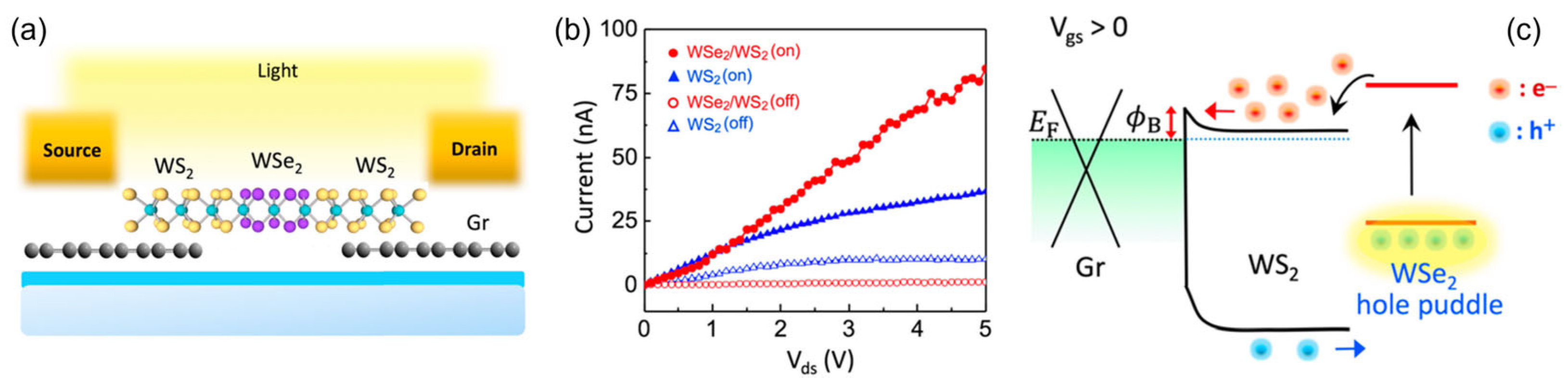
9. Selective Carrier Trapping
10. Conclusions
11. Outlook
11.1. Developing Novel Optimization Strategies
11.2. Integration and Synergy of Multiple Improvement Strategies
11.3. Promoting Future Applications of 2DLM Photodetectors
Author Contributions
Funding
Data Availability Statement
Conflicts of Interest
References
- Park, J.; Kim, J.; Yun, H.S.; Paik, M.J.; Noh, E.; Mun, H.J.; Kim, M.G.; Shin, T.J.; Seok, S.I. Controlled growth of perovskite layers with volatile alkylammonium chlorides. Nature 2023, 616, 724–730. [Google Scholar] [CrossRef] [PubMed]
- Yan, T.; Li, Z.; Cao, F.; Chen, J.; Wu, L.; Fang, X. An All-Organic Self-Powered Photodetector with Ultraflexible Dual-Polarity Output for Biosignal Detection. Adv. Mater. 2022, 34, 2201303. [Google Scholar] [CrossRef] [PubMed]
- Han, S.; Lee, S.K.; Kim, J.W.; Bae, S.; Bae, S.H.; Choi, K.H.; Kim, J.S. Self-powered image array composed of touch-free sensors fabricated with semiconductor nanowires. Mater. Horiz. 2022, 9, 2846–2853. [Google Scholar] [CrossRef] [PubMed]
- Kim, K.; Min, I.S.; Kim, T.H.; Kim, D.H.; Hwang, S.; Kang, K.; Kim, K.; Park, S.; Lee, J.; Cho, Y.U.; et al. Fully implantable and battery-free wireless optoelectronic system for modulable cancer therapy and real-time monitoring. NPJ Flex. Electron. 2023, 7, 41. [Google Scholar] [CrossRef]
- Wu, W.; Li, L.; Li, Z.; Sun, J.; Wang, L. Extensible Integrated System for Real-Time Monitoring of Cardiovascular Physiological Signals and Limb Health. Adv. Mater. 2023. [Google Scholar] [CrossRef] [PubMed]
- Deng, X.; Li, Z.; Cao, F.; Hong, E.; Fang, X. Woven Fibrous Photodetectors for Scalable UV Optical Communication Device. Adv. Funct. Mater. 2023, 33, 2213334. [Google Scholar] [CrossRef]
- Tran, M.H.; Hur, J. Ultrahigh Stability of Wearable Photodetector Using Zirconium Metal-Organic Framework Enabling In Situ and Continuous Monitoring of Ultraviolet Radiation Risk. Adv. Opt. Mater. 2022, 10, 2101404. [Google Scholar] [CrossRef]
- Zhang, Z.Y.; Zhang, Z.X.; Shen, M.; Zhang, C.Y.; Fu, C.; An, X.; Wang, J.; Zhang, X.; Luo, L.B. A Narrowband Perovskite Photodetector for Blue Light Hazard Detection. IEEE Trans. Electron Devices 2023, 70, 5146–5150. [Google Scholar] [CrossRef]
- Chen, R.; Shu, H.; Shen, B.; Chang, L.; Xie, W.; Liao, W.; Tao, Z.; Bowers, J.E.; Wang, X. Breaking the temporal and frequency congestion of LiDAR by parallel chaos. Nat. Photonics 2023, 17, 306–314. [Google Scholar] [CrossRef]
- Shi, B.; Wang, P.; Feng, J.; Xue, C.; Yang, G.; Liao, Q.; Zhang, M.; Zhang, X.; Wen, W.; Wu, J. Split-Ring Structured All-Inorganic Perovskite Photodetector Arrays for Masterly Internet of Things. Nano-Micro Lett. 2022, 15, 3. [Google Scholar] [CrossRef]
- Zhang, W.; Liu, Y.; Pei, X.; Yuan, Z.; Zhang, Y.; Zhao, Z.; Hao, H.; Long, R.; Liu, N. Stretchable MoS2 Artificial Photoreceptors for E-Skin. Adv. Funct. Mater. 2022, 32, 2107524. [Google Scholar] [CrossRef]
- Lu, J.; He, Y.; Ma, C.; Ye, Q.; Yi, H.; Zheng, Z.; Yao, J.; Yang, G. Ultrabroadband Imaging Based on Wafer-Scale Tellurene. Adv. Mater. 2023, 35, 2211562. [Google Scholar] [CrossRef]
- Shin, C.; Li, N.; Seo, B.; Eedugurala, N.; Azoulay, J.D.; Ng, T.N. Heterojunction bilayers serving as a charge transporting interlayer reduce the dark current and enhance photomultiplication in organic shortwave infrared photodetectors. Mater. Horiz. 2022, 9, 2172–2179. [Google Scholar] [CrossRef] [PubMed]
- Ding, M.; Liang, K.; Yu, S.; Zhao, X.; Ren, H.; Zhu, B.; Hou, X.; Wang, Z.; Tan, P.; Huang, H.; et al. Aqueous-Printed Ga2O3 Films for High-Performance Flexible and Heat-Resistant Deep Ultraviolet Photodetector and Array. Adv. Opt. Mater. 2022, 10, 2200512. [Google Scholar] [CrossRef]
- Wang, P.; Xue, W.; Ci, W.; Yang, R.; Xu, X. Intrinsic vacancy in 2D defective semiconductor In2S3 for artificial photonic nociceptor. Mater. Futures 2023, 2, 035301. [Google Scholar] [CrossRef]
- Li, S.; Jang, J.H.; Chung, W.; Seung, H.; Park, S.I.; Ma, H.; Pyo, W.J.; Choi, C.; Chung, D.S.; Kim, D.H.; et al. Ultrathin Self-Powered Heavy-Metal-Free Cu–In–Se Quantum Dot Photodetectors for Wearable Health Monitoring. ACS Nano 2023, 17, 20013–20023. [Google Scholar] [CrossRef] [PubMed]
- Zhang, D.; Xu, Z.; Huang, Z.; Gutierrez, A.R.; Blocker, C.J.; Liu, C.H.; Lien, M.B.; Cheng, G.; Liu, Z.; Chun, I.Y.; et al. Neural network based 3D tracking with a graphene transparent focal stack imaging system. Nat. Commun. 2021, 12, 2413. [Google Scholar] [CrossRef] [PubMed]
- Cao, A.; Li, S.; Chen, H.; Deng, M.; Xu, X.; Shang, L.; Li, Y.; Cui, A.; Hu, Z. A Polar-Switchable and Controllable Negative Phototransistor for Information Encryption. Mater. Horiz. 2023, 10, 5099–5109. [Google Scholar] [CrossRef] [PubMed]
- Alqanoo, A.A.M.; Ahmed, N.M.; Hashim, M.R.; Almessiere, M.A.; Taya, S.A.; Alsadig, A.; Aldaghri, O.A.; Ibnaouf, K.H. Synthesis and Deposition of Silver Nanowires on Porous Silicon as an Ultraviolet Light Photodetector. Nanomaterials 2023, 13, 353. [Google Scholar] [CrossRef]
- Şahin, A.; Gül, M.S.; Uzgur, F.; Kocaman, S. Dual-band InGaAs nBn photodetectors at 2 μm. Appl. Phys. Lett. 2022, 120, 091104. [Google Scholar] [CrossRef]
- Xiao, Y.; Liu, L.; Ma, Z.H.; Meng, B.; Qin, S.J.; Pan, G.B. High-Performance Self-Powered Ultraviolet Photodetector Based on Nano-Porous GaN and CoPc p–n Vertical Heterojunction. Nanomaterials 2019, 9, 1198. [Google Scholar] [CrossRef] [PubMed]
- Ares, P.; Novoselov, K.S. Recent advances in graphene and other 2D materials. Nano Mater. Sci. 2022, 4, 3–9. [Google Scholar] [CrossRef]
- Mu, H.; Yu, W.; Yuan, J.; Lin, S.; Zhang, G. Interface and surface engineering of black phosphorus: A review for optoelectronic and photonic applications. Mater. Futures 2022, 1, 012301. [Google Scholar] [CrossRef]
- Fu, Q.; Xiang, B. Monolayer transition metal disulfide: Synthesis, characterization and applications. Prog. Nat. Sci. Mater. Int. 2016, 26, 221–231. [Google Scholar] [CrossRef]
- Liu, X.; Kang, W.; Li, X.; Zeng, L.; Li, Y.; Wang, Q.; Zhang, C. Solid-state mechanochemistry advancing two dimensional materials for lithium-ion storage applications: A mini review. Nano Mater. Sci. 2023, 5, 210–227. [Google Scholar] [CrossRef]
- Ma, Y.; Yi, H.; Liang, H.; Wang, W.; Zheng, Z.; Yao, J.; Yang, G. Low-dimensional van der Waals materials for linear-polarization-sensitive photodetection: Materials, polarizing strategies and applications. Mater. Futures 2023. [Google Scholar] [CrossRef]
- Hang, X.; Shengjie, X.; Xun, X.; Jincheng, Z.; Weichang, H.; Yi, D. Recent advances in two-dimensional van der Waals magnets. Microstructures 2022, 2, 2022011. [Google Scholar]
- Yang, W.; Xin, K.; Yang, J.; Xu, Q.; Shan, C.; Wei, Z. 2D Ultrawide Bandgap Semiconductors: Odyssey and Challenges. Small Methods 2022, 6, 2101348. [Google Scholar] [CrossRef]
- Tao, Z.; Shen, B.; Zhao, W.; Hu, N.C.; Li, T.; Jiang, S.; Li, L.; Watanabe, K.; Taniguchi, T.; MacDonald, A.H.; et al. Giant spin Hall effect in AB-stacked MoTe2/WSe2 bilayers. Nat. Nanotechnol. 2023. [Google Scholar] [CrossRef]
- Su, R.; Kuiri, M.; Watanabe, K.; Taniguchi, T.; Folk, J. Superconductivity in twisted double bilayer graphene stabilized by WSe2. Nat. Mater. 2023, 22, 1332–1337. [Google Scholar] [CrossRef]
- Jiang, J.; Li, R.; Mi, W. Exchange interactions in the 1T-VSe2 monolayer and their modulation via electron doping using alkali metal adsorption and the electride substrate. Mater. Horiz. 2022, 9, 2785–2796. [Google Scholar] [CrossRef]
- Seifert, T.S.; Go, D.; Hayashi, H.; Rouzegar, R.; Freimuth, F.; Ando, K.; Mokrousov, Y.; Kampfrath, T. Time-domain observation of ballistic orbital-angular-momentum currents with giant relaxation length in tungsten. Nat. Nanotechnol. 2023, 18, 1132–1138. [Google Scholar] [CrossRef] [PubMed]
- Luo, J.; Tong, Q.; Jiang, Z.; Bai, H.; Wu, J.; Liu, X.; Xie, S.; Ge, H.; Zhao, Y.; Liu, Y.; et al. Exploring the Epitaxial Growth Kinetics and Anomalous Hall Effect in Magnetic Topological Insulator MnBi2Te4 Films. ACS Nano 2023, 17, 19022–19032. [Google Scholar] [CrossRef] [PubMed]
- Kometter, C.R.; Yu, J.; Devakul, T.; Reddy, A.P.; Zhang, Y.; Foutty, B.A.; Watanabe, K.; Taniguchi, T.; Fu, L.; Feldman, B.E. Hofstadter states and re-entrant charge order in a semiconductor moiré lattice. Nat. Phys. 2023. [Google Scholar] [CrossRef]
- Tong, L.; Peng, Z.; Lin, R.; Li, Z.; Wang, Y.; Huang, X.; Xue, K.H.; Xu, H.; Liu, F.; Xia, H.; et al. 2D materials based homogeneous transistor-memory architecture for neuromorphic hardware. Science 2021, 373, 1353–1358. [Google Scholar] [CrossRef] [PubMed]
- Jiang, J.; Xu, L.; Qiu, C.; Peng, L.M. Ballistic two-dimensional InSe transistors. Nature 2023, 616, 470–475. [Google Scholar] [CrossRef] [PubMed]
- Wang, Z.P.; Xie, P.; Mao, J.Y.; Wang, R.; Yang, J.Q.; Feng, Z.; Zhou, Y.; Kuo, C.C.; Han, S.T. The floating body effect of a WSe2 transistor with volatile memory performance. Mater. Horiz. 2022, 9, 1878–1887. [Google Scholar] [CrossRef]
- Mondal, A.; Biswas, C.; Park, S.; Cha, W.; Kang, S.H.; Yoon, M.; Choi, S.H.; Kim, K.K.; Lee, Y.H. Low Ohmic contact resistance and high on/off ratio in transition metal dichalcogenides field-effect transistors via residue-free transfer. Nat. Nanotechnol. 2023. [Google Scholar] [CrossRef] [PubMed]
- Zhou, Z.; Hou, F.; Huang, X.; Wang, G.; Fu, Z.; Liu, W.; Yuan, G.; Xi, X.; Xu, J.; Lin, J.; et al. Stack growth of wafer-scale van der Waals superconductor heterostructures. Nature 2023, 621, 499–505. [Google Scholar] [CrossRef]
- Kamaei, S.; Liu, X.; Saeidi, A.; Wei, Y.; Gastaldi, C.; Brugger, J.; Ionescu, A.M. Ferroelectric gating of two-dimensional semiconductors for the integration of steep-slope logic and neuromorphic devices. Nat. Electron. 2023, 6, 658–668. [Google Scholar] [CrossRef]
- Xia, Y.; Chen, X.; Wei, J.; Wang, S.; Chen, S.; Wu, S.; Ji, M.; Sun, Z.; Xu, Z.; Bao, W.; et al. 12-inch growth of uniform MoS2 monolayer for integrated circuit manufacture. Nat. Mater. 2023, 22, 1324–1331. [Google Scholar] [CrossRef] [PubMed]
- Tsai, M.Y.; Huang, C.T.; Lin, C.Y.; Lee, M.P.; Yang, F.S.; Li, M.; Chang, Y.M.; Watanabe, K.; Taniguchi, T.; Ho, C.H.; et al. A reconfigurable transistor and memory based on a two-dimensional heterostructure and photoinduced trapping. Nat. Electron. 2023, 6, 755–764. [Google Scholar] [CrossRef]
- Zhao, C.; Chen, W.; Wei, J.; Deng, W.; Yan, Y.; Zhang, Y.; Qiu, C.W. Electrically Tunable and Robust Bound States in the Continuum Enabled by 2D Transition Metal Dichalcogenide. Adv. Opt. Mater. 2022, 10, 2201634. [Google Scholar] [CrossRef]
- Rose, A.H.; Aubry, T.J.; Zhang, H.; van de Lagemaat, J. Ultrastrong Coupling of Band-Nested Excitons in Few-Layer Molybdenum Disulphide. Adv. Opt. Mater. 2022, 10, 2200485. [Google Scholar] [CrossRef]
- Lin, Y.; Hathaway, E.; Habis, F.; Wang, Y.; Rodriguez, R.G.; Alnasser, K.; Hurley, N.; Cui, J. Enhanced Emission from Defect Levels in Multilayer MoS2. Adv. Opt. Mater. 2022, 10, 2201059. [Google Scholar] [CrossRef]
- Lee, M.; Hong, H.; Yu, J.; Mujid, F.; Ye, A.; Liang, C.; Park, J. Wafer-scale δ waveguides for integrated two-dimensional photonics. Science 2023, 381, 648–653. [Google Scholar] [CrossRef] [PubMed]
- Yu, Q.; Li, J.; Wu, J.; Liu, F.; Zhang, Y.; Deng, H.; Yang, Z.; Zhang, J.; Chen, C.; Fang, L.; et al. Low Threshold and Robust Ultrafast Pulses from Freestanding-Growth 2D Quaternary BiCuSeO. Adv. Funct. Mater. 2023. [Google Scholar] [CrossRef]
- Fu, Q.; Cong, X.; Xu, X.; Zhu, S.; Zhao, X.; Liu, S.; Yao, B.; Xu, M.; Deng, Y.; Zhu, C.; et al. Berry Curvature Dipole Induced Giant Mid-Infrared Second-Harmonic Generation in 2d Weyl Semiconductor. Adv. Mater. 2023, 35, 2306330. [Google Scholar] [CrossRef]
- Aftab, S.; Hegazy, H.H. Emerging Trends in 2D TMDs Photodetectors and Piezo-Phototronic Devices. Small 2023, 19, 2205778. [Google Scholar] [CrossRef]
- Liang, Q.; Zhang, Q.; Gou, J.; Song, T.; Arramel; Chen, H.; Yang, M.; Lim, S.X.; Wang, Q.; Zhu, R.; et al. Performance Improvement by Ozone Treatment of 2D PdSe2. ACS Nano 2020, 14, 5668–5677. [Google Scholar] [CrossRef]
- Lin, Y.; Xinxin, P.; Zhenhai, W.; Haitao, H. Solid-state Z-scheme assisted hydrated tungsten trioxide/ZnIn2S4 photocatalyst for efficient photocatalytic H2 production. Mater. Futures 2022, 1, 035103. [Google Scholar]
- Ren, H.; Chen, S.; Luo, C.; Zhao, Q.; Yan, K. Liquid-phase preparation and hydrogen evolution performance of 1T-MoS2 catalyst. Electron. Compon. Mater. 2023, 42, 653–658. [Google Scholar]
- Wang, F.; Mao, J. 2D TaSe2 as a zero-strain and high-performance anode material for Li+ storage. Mater. Horiz. 2023, 10, 1780–1788. [Google Scholar] [CrossRef] [PubMed]
- Cu, Q.; Shang, C.Q.; Zhou, G.F.; Wang, X. Freestanding MoSe2 nanoflowers for superior Li/Na storage properties. Tungsten 2022. [Google Scholar] [CrossRef]
- Wu, Y.L.; Hong, J.B.; Zhong, W.X.; Wang, C.X.; Li, Z.F.; Dmytro, S. Auxiliary ball milling to prepare WS2/graphene nanosheets composite for lithium-ion battery anode materials. Tungsten 2023. [Google Scholar] [CrossRef]
- Cui, Y.; Fan, W.; Ren, Y.; Yang, G.; Gao, Y. First-principles calculations to study the optical/electronic properties of 2D VS2 with Z doping (Z = N, P, As, F, Cl and Br). Prog. Nat. Sci. Mater. Int. 2022, 32, 236–241. [Google Scholar] [CrossRef]
- Ping, Y.; Gong, Y.; Fu, Q.; Pan, C. Preparation of three-dimensional graphene foam for high performance supercapacitors. Prog. Nat. Sci. Mater. Int. 2017, 27, 177–181. [Google Scholar] [CrossRef]
- Yang, K.; Yang, X.; Liu, Z.; Zhang, R.; Yue, Y.; Wang, F.; Li, K.; Shi, X.; Yuan, J.; Liu, N.; et al. Scalable microfluidic fabrication of vertically aligned two-dimensional nanosheets for superior thermal management. Mater. Horiz. 2023, 10, 3536–3547. [Google Scholar] [CrossRef]
- Yao, J.D.; Zheng, Z.Q.; Yang, G.W. Production of Large-Area 2D Materials for High-Performance Photodetectors by Pulsed-Laser Deposition. Prog. Mater. Sci. 2019, 106, 100573. [Google Scholar] [CrossRef]
- Cao, R.; Fan, S.; Yin, P.; Ma, C.; Zeng, Y.; Wang, H.; Khan, K.; Wageh, S.; Al-Ghamd, A.A.; Tareen, A.K.; et al. Mid-Infrared Optoelectronic Devices Based on Two-Dimensional Materials beyond Graphene: Status and Trends. Nanomaterials 2022, 12, 2260. [Google Scholar] [CrossRef]
- Yao, J.; Yang, G. 2D materials broadband photodetectors. Nanoscale 2020, 12, 454–476. [Google Scholar] [CrossRef] [PubMed]
- Qiu, Q.; Huang, Z. Photodetectors of 2D Materials from Ultraviolet to Terahertz Waves. Adv. Mater. 2021, 33, 2008126. [Google Scholar] [CrossRef] [PubMed]
- Yao, J.; Yang, G. 2D Layered Material Alloys: Synthesis and Application in Electronic and Optoelectronic Devices. Adv. Sci. 2022, 9, 2103036. [Google Scholar] [CrossRef] [PubMed]
- Zhu, T.; Zhang, Y.; Wei, X.; Jiang, M.; Xu, H. The rise of two-dimensional tellurium for next-generation electronics and optoelectronics. Front. Phys. 2023, 18, 33601. [Google Scholar] [CrossRef]
- Dodda, A.; Jayachandran, D.; Pannone, A.; Trainor, N.; Stepanoff, S.P.; Steves, M.A.; Radhakrishnan, S.S.; Bachu, S.; Ordonez, C.W.; Shallenberger, J.R.; et al. Active pixel sensor matrix based on monolayer MoS2 phototransistor array. Nat. Mater. 2022, 21, 1379–1387. [Google Scholar] [CrossRef] [PubMed]
- Xie, D.; Yin, K.; Yang, Z.J.; Huang, H.; Li, X.; Shu, Z.; Duan, H.; He, J.; Jiang, J. Polarization-perceptual anisotropic two-dimensional ReS2 neuro-transistor with reconfigurable neuromorphic vision. Mater. Horiz. 2022, 9, 1448–1459. [Google Scholar] [CrossRef] [PubMed]
- Gao, Z.; Mei, L.; Zhou, J.; Fu, Y.; Zhai, L.; Li, Z.; Yang, R.; Li, D.; Zhang, Q.; He, J.; et al. Room-temperature-processed transparent hemispherical optoelectronic array for electronic eyes. Mater. Today 2023, 69, 31–40. [Google Scholar] [CrossRef]
- Koepfli, S.M.; Baumann, M.; Koyaz, Y.; Gadola, R.; Güngör, A.; Keller, K.; Horst, Y.; Nashashibi, S.; Schwanninger, R.; Doderer, M.; et al. Metamaterial graphene photodetector with bandwidth exceeding 500 gigahertz. Science 2023, 380, 1169–1174. [Google Scholar] [CrossRef]
- Wang, S.; Chapman, R.J.; Johnson, B.C.; Krasnokutska, I.; Tambasco, J.-L.J.; Messalea, K.; Peruzzo, A.; Bullock, J. Integration of Black Phosphorus Photoconductors with Lithium Niobate on Insulator Photonics. Adv. Opt. Mater. 2023, 11, 2201688. [Google Scholar] [CrossRef]
- Yang, X.; Wang, C.J.; Cheng, S.; Yang, X.G.; Zang, J.H.; Shan, C.X. An ultraviolet-visible distinguishable broadband photodetector based on the positive and negative photoconductance effects of a graphene/ZnO quantum dot heterostructure. Microstructures 2023, 3, 2023005. [Google Scholar]
- Agarwal, H.; Nowakowski, K.; Forrer, A.; Principi, A.; Bertini, R.; Batlle-Porro, S.; Reserbat-Plantey, A.; Prasad, P.; Vistoli, L.; Watanabe, K.; et al. Ultra-broadband photoconductivity in twisted graphene heterostructures with large responsivity. Nat. Photonics 2023. [Google Scholar] [CrossRef]
- Chen, W.; Zhang, R.; Gu, M.; Zhang, L.; Xie, B.; Yu, Z.; Chen, A.; Li, J.; Liu, S.; Gao, P.; et al. An Ultrahigh-Contrast Violet Phosphorus Van der Waals Phototransistor. Adv. Opt. Mater. 2023. [Google Scholar] [CrossRef]
- Pan, Y.; Zhao, Q.; Gao, F.; Dai, M.; Gao, W.; Zheng, T.; Su, S.; Li, J.; Chen, H. Strong In-Plane Optical and Electrical Anisotropies of Multilayered γ-InSe for High-Responsivity Polarization-Sensitive Photodetectors. ACS Appl. Mater. Interfaces 2022, 14, 21383–21391. [Google Scholar] [CrossRef] [PubMed]
- Li, S.; Zhang, J.; Li, Y.; Zhang, K.; Zhu, L.; Gao, W.; Li, J.; Huo, N. Anti-ambipolar and polarization-resolved behavior in MoTe2 channel sensitized with low-symmetric CrOCl. Appl. Phys. Lett. 2023, 122, 083503. [Google Scholar] [CrossRef]
- Wang, X.; Yan, D.; Zhu, C.; Feng, Y.; Guo, T.; Jia, R.; Qu, K.; Li, L.; Zhao, T.; Xiong, Y.; et al. Ultrasensitive Photodetector Based on 2D WS2/AgInGaS Quantum Dots Heterojunction with Interfacial Charge Transfer. 2D Mater. 2023, 10, 045020. [Google Scholar] [CrossRef]
- Moon, B.; Ahn, J.H.; Jeong, M.H.; Lee, S.H.; Lee, J.S. High-Performance and Stability of CsPbBr3/WSe2 Hybrid Photodetectors Functionalized Using Quaternary Ammonium Ligands. Adv. Opt. Mater. 2023, 11, 2300414. [Google Scholar] [CrossRef]
- Saroj, R.K.; Guha, P.; Lee, S.; Yoo, D.; Lee, E.; Lee, J.; Kim, M.; Yi, G.C. Photodetector Arrays Based on MBE-Grown GaSe/Graphene Heterostructure. Adv. Opt. Mater. 2022, 10, 2200332. [Google Scholar] [CrossRef]
- Alijani, H.; Reineck, P.; Komljenovic, R.; Russo, S.P.; Low, M.X.; Balendhran, S.; Crozier, K.B.; Walia, S.; Nash, G.R.; Yeo, L.Y.; et al. The Acoustophotoelectric Effect: Efficient Phonon–Photon–Electron Coupling in Zero-Voltage-Biased 2D SnS2 for Broad-Band Photodetection. ACS Nano 2023, 17, 19254–19264. [Google Scholar] [CrossRef]
- Faella, E.; Intonti, K.; Viscardi, L.; Giubileo, F.; Kumar, A.; Lam, H.T.; Anastasiou, K.; Craciun, M.F.; Russo, S.; Di Bartolomeo, A. Electric Transport in Few-Layer ReSe2 Transistors Modulated by Air Pressure and Light. Nanomaterials 2022, 12, 1886. [Google Scholar] [CrossRef]
- Intonti, K.; Faella, E.; Viscardi, L.; Kumar, A.; Durante, O.; Giubileo, F.; Passacantando, M.; Lam, H.T.; Anastasiou, K.; Craciun, M.F.; et al. Hysteresis and Photoconductivity of Few-Layer ReSe2 Field Effect Transistors Enhanced by Air Pressure. Adv. Electron. Mater. 2023, 9, 2300066. [Google Scholar] [CrossRef]
- Di Bartolomeo, A.; Kumar, A.; Durante, O.; Sessa, A.; Faella, E.; Viscardi, L.; Intonti, K.; Giubileo, F.; Martucciello, N.; Romano, P.; et al. Temperature-dependent photoconductivity in two-dimensional MoS2 transistors. Mater. Today Nano 2023, 24, 100382. [Google Scholar] [CrossRef]
- Tao, R.; Qu, X.; Wang, Z.; Li, F.; Yang, L.; Li, J.; Wang, D.; Zheng, K.; Dong, M. Tune the electronic structure of MoS2 homojunction for broadband photodetection. J. Mater. Sci. Technol. 2022, 119, 61–68. [Google Scholar] [CrossRef]
- Wang, Y.; Zhai, W.; Ren, Y.; Zhang, Q.; Yao, Y.; Li, S.; Yang, Q.; Zhou, X.; Li, Z.; Chi, B.; et al. Phase-Controlled Growth of 1T′-MoS2 Nanoribbons on 1H-MoS2 Nanosheets. Adv. Mater. 2023. [Google Scholar] [CrossRef] [PubMed]
- Peng, Y.; Yang, Y.; Xiao, K.; Yang, Y.; Ding, H.; Deng, J.; Sun, W. Direct Synthesis of Vertical Self-Assembly Oriented Hexagonal Boron Nitride on Gallium Nitride and Ultrahigh Photoresponse Ultraviolet Photodetectors. Nanomaterials 2023, 13, 1546. [Google Scholar] [CrossRef] [PubMed]
- Ye, Q.; Lu, J.; Zheng, Z.; Huang, W.; Yao, J.; Yang, G. Pulsed-Laser-Deposition Fabricated ZnIn2S4 Photodetectors with Excellent ON/OFF Switching Characteristics toward High-Temperature-Resistant Photodetection Applications. Adv. Opt. Mater. 2022, 10, 2102335. [Google Scholar] [CrossRef]
- Zhang, Y.; Yu, W.; Li, J.; Chen, J.; Dong, Z.; Xie, L.; Li, C.; Shi, X.; Guo, W.; Lin, S.; et al. Ultra-broadband photodetection based on two-dimensional layered Ta2NiSe5 with strong anisotropy and high responsivity. Mater. Des. 2021, 208, 109894. [Google Scholar] [CrossRef]
- Ye, Q.; Deng, Z.; Yi, H.; Wang, W.; Lu, J.; Ma, Y.; Huang, W.; Zheng, Z.; Ma, C.; Du, C.; et al. Quaternary AgInP2S6: A Prospective Robust van der Waals Semiconductor for High-Speed Photodetectors and their Application in High-Temperature-Proof Optical Communications. Adv. Opt. Mater. 2023, 11, 2300463. [Google Scholar] [CrossRef]
- He, W.; Kong, L.; Yu, P.; Yang, G. Record-High Work-Function p-Type CuBiP2Se6 Atomic Layers for High-Photoresponse van der Waals Vertical Heterostructure Phototransistor. Adv. Mater. 2023, 35, 2209995. [Google Scholar] [CrossRef]
- Wei, Y.; Chen, C.; Tan, C.; He, L.; Ren, Z.; Zhang, C.; Peng, S.; Han, J.; Zhou, H.; Wang, J. High-Performance Visible to Near-Infrared Broadband Bi2O2Se Nanoribbon Photodetectors. Adv. Opt. Mater. 2022, 10, 2201396. [Google Scholar] [CrossRef]
- Han, J.; Wang, F.; Zhang, Y.; Deng, W.; Dai, M.; Hu, F.; Chen, W.; Cui, J.; Zhang, C.; Zhu, S.; et al. Mid-Infrared Bipolar and Unipolar Linear Polarization Detections in Nb2GeTe4/MoS2 Heterostructures. Adv. Mater. 2023, 35, 2305594. [Google Scholar] [CrossRef]
- Zhang, S.; Han, L.; Xiao, K.; Zhang, L.; Shi, C.; Xu, L.; Deng, K.; Zou, Y.; Jiang, M.; Lv, X.; et al. H-BN-Encapsulated Uncooled Infrared Photodetectors Based on Tantalum Nickel Selenide. Adv. Funct. Mater. 2023, 33, 2305380. [Google Scholar] [CrossRef]
- Yang, Y.; Liu, J.; Zhao, C.; Liang, Q.; Dong, W.; Shi, J.; Wang, P.; Kong, D.; Lv, L.; Jia, L.; et al. A Universal Strategy for Synthesis of 2D Ternary Transition Metal Phosphorous Chalcogenides. Adv. Mater. 2023. [Google Scholar] [CrossRef] [PubMed]
- Wang, J.; Fang, H.; Wang, X.; Chen, X.; Lu, W.; Hu, W. Recent Progress on Localized Field Enhanced Two-dimensional Material Photodetectors from Ultraviolet—Visible to Infrared. Small 2017, 13, 1700894. [Google Scholar] [CrossRef] [PubMed]
- Yi, H.; Ma, Y.; Ye, Q.; Lu, J.; Wang, W.; Zheng, Z.; Ma, C.; Yao, J.; Yang, G. Promoting 2D Material Photodetectors by Optical Antennas beyond Noble Metals. Adv. Sens. Res. 2023, 2, 2200079. [Google Scholar] [CrossRef]
- Wang, F.; Zhang, T.; Xie, R.; Wang, Z.; Hu, W. How to characterize figures of merit of two-dimensional photodetectors. Nat. Commun. 2023, 14, 2224. [Google Scholar] [CrossRef] [PubMed]
- Hong, J.; Hu, Z.; Probert, M.; Li, K.; Lv, D.; Yang, X.; Gu, L.; Mao, N.; Feng, Q.; Xie, L.; et al. Exploring atomic defects in molybdenum disulphide monolayers. Nat. Commun. 2015, 6, 6293. [Google Scholar] [CrossRef] [PubMed]
- Zheng, H.; Choi, Y.; Baniasadi, F.; Hu, D.; Jiao, L.; Park, K.; Tao, C. Visualization of point defects in ultrathin layered 1T-PtSe2. 2D Mater. 2019, 6, 041005. [Google Scholar] [CrossRef]
- Fan, X.; Siris, R.; Hartwig, O.; Duesberg, G.S.; Niklaus, F. Rapid and Large-Area Visualization of Grain Boundaries in MoS2 on SiO2 Using Vapor Hydrofluoric Acid. ACS Appl. Mater. Interfaces 2020, 12, 34049–34057. [Google Scholar] [CrossRef]
- Jo, M.; Itokazu, Y.; Kuwaba, S.; Hirayama, H. Improved crystal quality of semipolar AlN by employing a thermal annealing technique with MOVPE. J. Cryst. Growth 2019, 507, 307–309. [Google Scholar] [CrossRef]
- Yue, Y.; Sun, M.; Chen, J.; Yan, X.; He, Z.; Zhang, J.; Sun, W. Improvement of Crystal Quality of AlN Films with Different Polarities by Annealing at High Temperature. Micromachines 2022, 13, 129. [Google Scholar] [CrossRef]
- Chand, N.; People, R.; Baiocchi, F.A.; Wecht, K.W.; Cho, A.Y. Significant improvement in crystalline quality of molecular beam epitaxially grown GaAs on Si (100) by rapid thermal annealing. Appl. Phys. Lett. 1986, 49, 815–817. [Google Scholar] [CrossRef]
- Buscema, M.; Island, J.O.; Groenendijk, D.J.; Blanter, S.I.; Steele, G.A.; van der Zant, H.S.J.; Castellanos-Gomez, A. Photocurrent generation with two-dimensional van der Waals semiconductors. Chem. Soc. Rev. 2015, 44, 3691–3718. [Google Scholar] [CrossRef] [PubMed]
- Guros, N.B.; Le, S.T.; Zhang, S.; Sperling, B.A.; Klauda, J.B.; Richter, C.A.; Balijepalli, A. Reproducible Performance Improvements to Monolayer MoS2 Transistors through Exposed Material Forming Gas Annealing. ACS Appl. Mater. Interfaces 2019, 11, 16683–16692. [Google Scholar] [CrossRef] [PubMed]
- Lee, S.; Shin, S.; Ham, G.; Lee, J.; Choi, H.; Park, H.; Jeon, H. Characteristics of layered tin disulfide deposited by atomic layer deposition with H2S annealing. AIP Adv. 2017, 7, 045307. [Google Scholar] [CrossRef]
- Lee, S.H.; Jeong, H.; Okello, O.F.N.; Xiao, S.; Moon, S.; Kim, D.Y.; Kim, G.Y.; Lo, J.; Peng, Y.C.; Cheng, B.M.; et al. Improvements in structural and optical properties of wafer-scale hexagonal boron nitride film by post-growth annealing. Sci. Rep. 2019, 9, 10590. [Google Scholar] [CrossRef] [PubMed]
- Shao, G.; Xiang, H.; Huang, M.; Zong, Y.; Luo, J.; Feng, Y.; Xue, X.X.; Xu, J.; Liu, S.; Zhou, Z. S vacancies in 2D SnS2 accelerating hydrogen evolution reaction. Sci. China Mater. 2022, 65, 1833–1841. [Google Scholar] [CrossRef]
- Jiang, L.; Zhou, Q.; Li, J.J.; Xia, Y.X.; Li, H.X.; Li, Y.J. Engineering Isolated S Vacancies over 2D MoS2 Basal Planes for Catalytic Hydrogen Evolution. ACS Appl. Nano Mater. 2022, 5, 3521–3530. [Google Scholar] [CrossRef]
- Li, J.; Bai, J.; Meng, M.; Hu, C.; Yuan, H.; Zhang, Y.; Sun, L. Improved Temporal Response of MoS2 Photodetectors by Mild Oxygen Plasma Treatment. Nanomaterials 2022, 12, 1365. [Google Scholar] [CrossRef] [PubMed]
- Wang, H.; Zhang, C.; Rana, F. Surface Recombination Limited Lifetimes of Photoexcited Carriers in Few-Layer Transition Metal Dichalcogenide MoS2. Nano Lett. 2015, 15, 8204–8210. [Google Scholar] [CrossRef] [PubMed]
- Yao, J.D.; Zheng, Z.Q.; Shao, J.M.; Yang, G.W. Stable, Highly-Responsive and Broadband Photodetection Based on Large-Area Multilayered WS2 Films Grown by Pulsed-Laser Deposition. Nanoscale 2015, 7, 14974–14981. [Google Scholar] [CrossRef]
- Yang, Y.; Fang, W.H.; Benderskii, A.; Long, R.; Prezhdo, O.V. Strain Controls Charge Carrier Lifetimes in Monolayer WSe2: Ab Initio Time Domain Analysis. J. Phys. Chem. Lett. 2019, 10, 7732–7739. [Google Scholar] [CrossRef] [PubMed]
- Lu, J.; Deng, Z.; Ye, Q.; Zheng, Z.; Yao, J.; Yang, G. Promoting the Performance of 2D Material Photodetectors by Dielectric Engineering. Small Methods 2022, 6, 2101046. [Google Scholar] [CrossRef] [PubMed]
- Chow, W.L.; Yu, P.; Liu, F.; Hong, J.; Wang, X.; Zeng, Q.; Hsu, C.H.; Zhu, C.; Zhou, J.; Wang, X.; et al. High Mobility 2D Palladium Diselenide Field-Effect Transistors with Tunable Ambipolar Characteristics. Adv. Mater. 2017, 29, 1602969. [Google Scholar] [CrossRef] [PubMed]
- Liu, X.; Hu, S.; Luo, J.; Li, X.; Wu, J.; Chi, D.; Ang, K.W.; Yu, W.; Cai, Y. Suspended MoS2 Photodetector Using Patterned Sapphire Substrate. Small 2021, 17, 2100246. [Google Scholar] [CrossRef] [PubMed]
- Uddin, M.A.; Glavin, N.; Singh, A.; Naguy, R.; Jespersen, M.; Voevodin, A.; Koley, G. Mobility enhancement in graphene transistors on low temperature pulsed laser deposited boron nitride. Appl. Phys. Lett. 2015, 107, 203110. [Google Scholar] [CrossRef]
- Yao, J.; Zheng, Z.; Yang, G. Layered-material WS2/topological insulator Bi2Te3 heterostructure photodetector with ultrahigh responsivity in the range from 370 to 1550 nm. J. Mater. Chem. C 2016, 4, 7831–7840. [Google Scholar] [CrossRef]
- Wang, Z.; Wei, L.; Wang, S.; Wu, T.; Sun, L.; Ma, C.; Tao, X.; Wang, S. 2D SiP2/h-BN for a Gate-Controlled Phototransistor with Ultrahigh Sensitivity. ACS Appl. Mater. Interfaces 2023, 15, 15810–15818. [Google Scholar] [CrossRef]
- Li, L.; Wang, W.; Chai, Y.; Li, H.; Tian, M.; Zhai, T. Few-layered PtS2 phototransistor on h-BN with high gain. Adv. Funct. Mater. 2017, 27, 1701011. [Google Scholar] [CrossRef]
- Jo, S.H.; Kang, D.H.; Shim, J.; Jeon, J.; Jeon, M.H.; Yoo, G.; Kim, J.; Lee, J.; Yeom, G.Y.; Lee, S.; et al. A High-Performance WSe2/h-BN Photodetector using a Triphenylphosphine (PPh3)-Based n-Doping Technique. Adv. Mater. 2016, 28, 4824–4831. [Google Scholar] [CrossRef]
- Flöry, N.; Ma, P.; Salamin, Y.; Emboras, A.; Taniguchi, T.; Watanabe, K.; Leuthold, J.; Novotny, L. Waveguide-Integrated Van der Waals Heterostructure Photodetector at Telecom Wavelengths with High Speed and High Responsivity. Nat. Nanotechnol. 2020, 15, 118–124. [Google Scholar] [CrossRef]
- Fu, L.; Sun, Y.; Wu, N.; Mendes, R.G.; Chen, L.; Xu, Z.; Zhang, T.; Rümmeli, M.H.; Rellinghaus, B.; Pohl, D.; et al. Direct Growth of MoS2/h-BN Heterostructures via a Sulfide-Resistant Alloy. ACS Nano 2016, 10, 2063–2070. [Google Scholar] [CrossRef] [PubMed]
- Chen, M.W.; Kim, H.K.; Bernard, C.; Pizzochero, M.; Zaldívar, J.; Pascual, J.I.; Ugeda, M.M.; Yazyev, O.V.; Greber, T.; Osterwalder, J.; et al. Electronic Properties of Transferable Atomically Thin MoSe2/h-BN Heterostructures Grown on Rh(111). ACS Nano 2018, 12, 11161–11168. [Google Scholar] [CrossRef] [PubMed]
- Liu, S.; Chen, Y.; Yang, S.; Jiang, C. SnSe field-effect transistors with improved electrical properties. Nano Res. 2022, 15, 1532–1537. [Google Scholar] [CrossRef]
- Das, T.; Youn, S.; Seo, J.E.; Yang, E.; Chang, J. Large-Scale Complementary Logic Circuit Enabled by Al2O3 Passivation-Induced Carrier Polarity Modulation in Tungsten Diselenide. ACS Appl. Mater. Interfaces 2023, 15, 45116–45127. [Google Scholar] [CrossRef] [PubMed]
- Yang, Y.; Liu, Z.; Shu, K.; Li, L.; Li, J. Improved Performances of CVD-Grown MoS2 Based Phototransistors Enabled by Encapsulation. Adv. Mater. Interfaces 2021, 8, 2100164. [Google Scholar] [CrossRef]
- Yao, J.; Zheng, Z.; Yang, G. All-layered 2D optoelectronics: A high-performance UV–Vis–NIR broadband SnSe photodetector with Bi2Te3 topological insulator electrodes. Adv. Funct. Mater. 2017, 27, 1701823. [Google Scholar] [CrossRef]
- Cao, J.; Wang, Z.; Zhan, X.; Wang, Q.; Safdar, M.; Wang, Y.; He, J. Vertical SnSe nanorod arrays: From controlled synthesis and growth mechanism to thermistor and photoresistor. Nanotechnology 2014, 25, 105705. [Google Scholar] [CrossRef]
- Amit, S.P.; Sandesh, R.J.; Dattatray, J.L. High performance humidity sensor and photodetector based on SnSe nanorods. Mater. Res. Express 2016, 3, 105038. [Google Scholar]
- Huang, Z.; Luo, Z.; Deng, Z.; Yang, M.; Gao, W.; Yao, J.; Zhao, Y.; Dong, H.; Zheng, Z.; Li, J. Integration of Self-Passivated Topological Electrodes for Advanced 2D Optoelectronic Devices. Small Methods 2023, 7, 2201571. [Google Scholar] [CrossRef]
- Seo, D.; Lee, D.Y.; Kwon, J.; Lee, J.J.; Taniguchi, T.; Watanabe, K.; Lee, G.H.; Kim, K.S.; Hone, J.; Kim, Y.D.; et al. High-performance monolayer MoS2 field-effect transistor with large-scale nitrogen-doped graphene electrodes for Ohmic contact. Appl. Phys. Lett. 2019, 115, 012104. [Google Scholar] [CrossRef]
- Xu, T.; Jiang, M.; Wan, P.; Liu, Y.; Kan, C.; Shi, D. High-performance self-powered ultraviolet photodetector in SnO2 microwire/p-GaN heterojunction using graphene as charge collection medium. J. Mater. Sci. Technol. 2023, 138, 183–192. [Google Scholar] [CrossRef]
- Zhao, Q.; Jie, W.; Wang, T.; Castellanos-Gomez, A.; Frisenda, R. InSe Schottky Diodes Based on Van Der Waals Contacts. Adv. Funct. Mater. 2020, 30, 2001307. [Google Scholar] [CrossRef]
- Wang, Z.; Xiong, X.; Li, J.; Dong, M. Screening fermi-level pinning effect through van der waals contacts to monolayer MoS2. Mater. Today Phys. 2021, 16, 100290. [Google Scholar] [CrossRef]
- Zhang, X.; Yu, H.; Tang, W.; Wei, X.; Gao, L.; Hong, M.; Liao, Q.; Kang, Z.; Zhang, Z.; Zhang, Y. All-van-der-Waals Barrier-Free Contacts for High-Mobility Transistors. Adv. Mater. 2022, 34, 2109521. [Google Scholar] [CrossRef] [PubMed]
- Yan, H.; Li, Y.; Qin, J.K.; Xu, B.; Hu, P.A.; Zhen, L.; Xu, C.Y. Lowering the Contact Barriers of 2D Organic F16CuPc Field-Effect Transistors by Introducing Van der Waals Contacts. Small 2021, 17, 2007739. [Google Scholar] [CrossRef] [PubMed]
- Qiao, P.; Xia, J.; Li, X.Z.; Li, Y.; Cao, J.; Zhang, Z.; Lu, H.; Meng, Q.; Li, J.; Meng, X. Epitaxial van der Waals contacts of 2D TaSe2-WSe2 metal-semiconductor heterostructures. Nanoscale 2023, 15, 17036–17044. [Google Scholar] [CrossRef] [PubMed]
- Wen, X.; Lei, W.; Li, X.; Di, B.; Zhou, Y.; Zhang, J.; Zhang, Y.; Li, L.; Chang, H.; Zhang, W. ZrTe2 Compound Dirac Semimetal Contacts for High-Performance MoS2 Transistors. Nano Lett. 2023, 23, 8419–8425. [Google Scholar] [CrossRef]
- Chang, W.H.; Hatayama, S.; Saito, Y.; Okada, N.; Endo, T.; Miyata, Y.; Irisawa, T. Sb2Te3/MoS2 Van der Waals Junctions with High Thermal Stability and Low Contact Resistance. Adv. Electron. Mater. 2023, 9, 2201091. [Google Scholar] [CrossRef]
- Chen, K.; Deng, C.; Zou, C.; Zhao, Z.; Liu, Q.; Wang, X.; He, L.; Gao, F.; Zhao, W.; Li, S. Plasmonic hot-hole injection combined with patterned substrate for performance improvement in trapezoidal PIN GaN microwire self-powered ultraviolet photodetector. Nano Energy 2022, 104, 107926. [Google Scholar] [CrossRef]
- Li, X.; Xu, Z.; Zhao, C.; Zhang, S.W.; Li, J.; Kang, F.; Song, Q.; Wei, G. Localized Surface-Plasmon Enhanced Near-Infrared Organic Photodetector. Adv. Opt. Mater. 2022, 10, 2200583. [Google Scholar] [CrossRef]
- Qian, L.X.; Li, W.; Gu, Z.; Tian, J.; Huang, X.; Lai, P.T.; Zhang, W. Ultra-Sensitive β-Ga2O3 Solar-Blind Photodetector with High-Density Al@Al2O3 Core-Shell Nanoplasmonic Array. Adv. Opt. Mater. 2022, 10, 2102055. [Google Scholar] [CrossRef]
- Pasupuleti, K.S.; Chougule, S.S.; Jung, N.; Yu, Y.J.; Oh, J.E.; Kim, M.D. Plasmonic Pt nanoparticles triggered efficient charge separation in TiO2/GaN NRs hybrid heterojunction for the high performance self-powered UV photodetectors. Appl. Surf. Sci. 2022, 594, 153474. [Google Scholar] [CrossRef]
- Chen, L.; Mao, S.; Wang, P.; Yao, Z.; Du, Z.; Zhu, Z.; Belfiore, L.A.; Tang, J. Visible Light Driven Hot-Electron Injection by Pd Nanoparticles: Fast Response in Metal–Semiconductor Photodetection. Adv. Opt. Mater. 2021, 9, 2001505. [Google Scholar] [CrossRef]
- Lan, H.Y.; Hsieh, Y.H.; Chiao, Z.Y.; Jariwala, D.; Shih, M.H.; Yen, T.J.; Hess, O.; Lu, Y.J. Gate-Tunable Plasmon-Enhanced Photodetection in a Monolayer MoS2 Phototransistor with Ultrahigh Photoresponsivity. Nano Lett. 2021, 21, 3083–3091. [Google Scholar] [CrossRef] [PubMed]
- Li, W.; Guler, U.; Kinsey, N.; Naik, G.V.; Boltasseva, A.; Guan, J.; Shalaev, V.M.; Kildishev, A.V. Refractory Plasmonics with Titanium Nitride: Broadband Metamaterial Absorber. Adv. Mater. 2014, 26, 7959–7965. [Google Scholar] [CrossRef] [PubMed]
- Wang, D.; Han, B.; Wang, G.; Liu, B.; Ma, S.; Xu, B.; Li, G. Plasmon resonance-enhanced superior 2D MoS2 photodetector via single-layer gold nanoparticle film with ultra-high area density. J. Phys. D Appl. Phys. 2023, 56, 445101. [Google Scholar] [CrossRef]
- Li, G.; Song, Y.; Feng, S.; Feng, L.; Liu, Z.; Leng, B.; Fu, Z.; Li, J.; Jiang, X.; Liu, B.; et al. Improved Optoelectronic Performance of MoS2 Photodetector via Localized Surface Plasmon Resonance Coupling of Double-Layered Au Nanoparticles with Sandwich Structure. ACS Appl. Electron. Mater. 2022, 4, 1626–1632. [Google Scholar] [CrossRef]
- Sun, X.; Sun, J.; Xu, J.; Li, Z.; Li, R.; Yang, Z.; Ren, F.; Jia, Y.; Chen, F. A Plasmon-Enhanced SnSe2 Photodetector by Non-Contact Ag Nanoparticles. Small 2021, 17, 2102351. [Google Scholar] [CrossRef]
- Han, X.; Xing, J.; Xu, H.; Huang, Y.; Li, D.; Lu, J.; Li, P.; Wu, Y. Remarkable Improved Photoelectric Performance of SnS2 Field-Effect Transistor with Au Plasmonic Nanostructures. Nanotechnology 2020, 31, 215201. [Google Scholar] [CrossRef]
- Guskov, A.; Avdizhiyan, A.; Lavrov, S.; Galiev, R.; Gorbatova, A.; Buryakov, A.; Mishina, E. Sensitivity enhancement of two-dimensional WSe2-based photodetectors by ordered Ag plasmonic nanostructures. Appl. Phys. Express 2021, 14, 075005. [Google Scholar] [CrossRef]
- Dai, M.; Chen, H.; Feng, R.; Feng, W.; Hu, Y.; Yang, H.; Liu, G.; Chen, X.; Zhang, J.; Xu, C.Y.; et al. A Dual-Band Multilayer InSe Self-Powered Photodetector with High Performance Induced by Surface Plasmon Resonance and Asymmetric Schottky Junction. ACS Nano 2018, 12, 8739–8747. [Google Scholar] [CrossRef] [PubMed]
- Li, G.; Yan, Q.; Zhao, X.; He, Y. The Influence of Surface Processing on the Surface Plasmonic Enhancement of an Al-Nanoparticles-Enhanced ZnO UV Photodectector. Nanomaterials 2023, 13, 1877. [Google Scholar] [CrossRef] [PubMed]
- Mukherjee, S.; Chowdhury, R.K.; Karmakar, D.; Wan, M.; Jacob, C.; Das, S.; Ray, S.K. Plasmon Triggered, Enhanced Light–Matter Interactions in Au–MoS2 Coupled System with Superior Photosensitivity. J. Phys. Chem. C 2021, 125, 11023–11034. [Google Scholar] [CrossRef]
- Qiao, J.; Feng, F.; Cao, G.; Wei, S.; Song, S.; Wang, T.; Yuan, X.; Somekh, M.G. Ultrasensitive Near-Infrared MoTe2 Photodetectors with Monolithically Integrated Fresnel Zone Plate Metalens. Adv. Opt. Mater. 2022, 10, 2200375. [Google Scholar] [CrossRef]
- Asgari, M.; Viti, L.; Balci, O.; Shinde, S.M.; Zhang, J.; Ramezani, H.; Sharma, S.; Meersha, A.; Menichetti, G.; McAleese, C.; et al. Terahertz photodetection in scalable single-layer-graphene and hexagonal boron nitride heterostructures. Appl. Phys. Lett. 2022, 121, 031103. [Google Scholar] [CrossRef]
- Yao, J.; Shao, J.; Wang, Y.; Zhao, Z.; Yang, G. Ultra-Broadband and High Response of the Bi2Te3–Si Heterojunction and Its Application as a Photodetector at Room Temperature in Harsh Working Environments. Nanoscale 2015, 7, 12535–12541. [Google Scholar] [CrossRef] [PubMed]
- Guo, Q.; Pospischil, A.; Bhuiyan, M.; Jiang, H.; Tian, H.; Farmer, D.; Deng, B.; Li, C.; Han, S.J.; Wang, H.; et al. Black phosphorus mid-infrared photodetectors with high gain. Nano Lett. 2016, 16, 4648–4655. [Google Scholar] [CrossRef]
- Sefidmooye Azar, N.; Bullock, J.; Shrestha, V.R.; Balendhran, S.; Yan, W.; Kim, H.; Javey, A.; Crozier, K.B. Long-Wave Infrared Photodetectors Based on 2D Platinum Diselenide atop Optical Cavity Substrates. ACS Nano 2021, 15, 6573–6581. [Google Scholar] [CrossRef]
- Long, M.; Wang, Y.; Wang, P.; Zhou, X.; Xia, H.; Luo, C.; Huang, S.; Zhang, G.; Yan, H.; Fan, Z.; et al. Palladium Diselenide Long-Wavelength Infrared Photodetector with High Sensitivity and Stability. ACS Nano 2019, 13, 2511–2519. [Google Scholar] [CrossRef]
- Wen, S.; Zhang, R.; Yang, Z.; Zhou, S.; Gong, Y.; Fan, H.; Yin, Y.; Lan, C.; Li, C.; Liu, Y. Gate-Tunable Responsivity of PdSe2 Nanosheet-Based Bolometric Photodetectors for Mid-Infrared Light Detection. ACS Appl. Nano Mater. 2023, 6, 16970–16976. [Google Scholar] [CrossRef]
- Xu, H.; Guo, C.; Zhang, J.; Guo, W.; Kuo, C.N.; Lue, C.S.; Hu, W.; Wang, L.; Chen, G.; Politano, A.; et al. PtTe2-Based Type-II Dirac Semimetal and Its van der Waals Heterostructure for Sensitive Room Temperature Terahertz Photodetection. Small 2019, 15, 1903362. [Google Scholar] [CrossRef] [PubMed]
- Ye, Q.; Xu, D.; Cai, B.; Lu, J.; Yi, H.; Ma, C.; Zheng, Z.; Yao, J.; Ouyang, G.; Yang, G. High-performance hierarchical O-SnS/I-ZnIn2S4 photodetectors by leveraging the synergy of optical regulation and band tailoring. Mater. Horiz. 2022, 9, 2364–2375. [Google Scholar] [CrossRef]
- Xu, S.; Cheng, T.; Yan, Q.; Shen, C.; Yu, Y.; Lin, C.T.; Ding, F.; Zhang, J. Chloroform-Assisted Rapid Growth of Vertical Graphene Array and Its Application in Thermal Interface Materials. Adv. Sci. 2022, 9, 2200737. [Google Scholar] [CrossRef]
- Rahmati, B.; Hajzadeh, I.; Karimzadeh, R.; Mohseni, S.M. Facile, scalable and transfer free vertical-MoS2 nanostructures grown on Au/SiO2 patterned electrode for photodetector application. Appl. Surf. Sci. 2018, 455, 876–882. [Google Scholar] [CrossRef]
- Koçak, Y.; Gür, E. Growth Control of WS2: From 2D Layer by Layer to 3D Vertical Standing Nanowalls. ACS Appl. Mater. Interfaces 2020, 12, 15785–15792. [Google Scholar] [CrossRef]
- Fu, X.Y.; Zheng, Q.; Li, L.; Cao, M.S. Vertically implanting MoSe2 nanosheets on the RGO sheets towards excellent multi-band microwave absorption. Carbon 2022, 197, 324–333. [Google Scholar] [CrossRef]
- Guo, X.; Wang, S.; Yu, L.; Guo, C.; Yan, P.; Gao, H.; Liu, H. Dense SnS2 nanoplates vertically anchored on a graphene aerogel for pseudocapacitive sodium storage. Mater. Chem. Front. 2022, 6, 325–332. [Google Scholar] [CrossRef]
- Chen, Z.; Xiong, L.; Li, G.; Wei, L.; Yang, C.; Chen, M. Wafer-Scale Growth of Vertical-Structured SnSe2 Nanosheets for Highly Sensitive, Fast-Response UV–Vis–NIR Broadband Photodetectors. Adv. Opt. Mater. 2022, 10, 2102250. [Google Scholar] [CrossRef]
- Gao, Y.F.; Pang, S.M.; Bao, H.H.; Peng, X.Y.; Sun, Y.J.; Ren, S.L.; Meng, D.; Zhang, J. Growth mechanism for vertically oriented layered In2Se3 nanoplates. Phys. Rev. Mater. 2020, 4, 034002. [Google Scholar] [CrossRef]
- Han, S.S.; Kim, J.H.; Noh, C.; Kim, J.H.; Ji, E.; Kwon, J.; Yu, S.M.; Ko, T.J.; Okogbue, E.; Oh, K.H.; et al. Horizontal-to-Vertical Transition of 2D Layer Orientation in Low-Temperature Chemical Vapor Deposition-Grown PtSe2 and Its Influences on Electrical Properties and Device Applications. ACS Appl. Mater. Interfaces 2019, 11, 13598–13607. [Google Scholar] [CrossRef]
- Wu, Z.; Liu, G.; Wang, Y.; Yang, X.; Wei, T.; Wang, Q.; Liang, J.; Xu, N.; Li, Z.; Zhu, B.; et al. Seed-Induced Vertical Growth of 2D Bi2O2Se Nanoplates by Chemical Vapor Transport. Adv. Funct. Mater. 2019, 29, 1906639. [Google Scholar] [CrossRef]
- Peng, M.; Tao, Y.; Hong, X.; Liu, Y.; Wen, Z.; Sun, X. One-step synthesized PbSe nanocrystal inks decorated 2D MoS2 heterostructure for high stability photodetectors with photoresponse extending to near-infrared region. J. Mater. Chem. C 2022, 10, 2236–2244. [Google Scholar] [CrossRef]
- Zhang, Y.; Wang, F.; Zhao, X.; Feng, X.; Zhang, N.; Xia, F.; Ma, Y.; Li, H.; Zhai, T. 2D Ruddlesden–Popper perovskite sensitized SnP2S6 ultraviolet photodetector enabling high responsivity and fast speed. Nanoscale Horiz. 2023, 8, 108–117. [Google Scholar] [CrossRef] [PubMed]
- Carrano, J.C.; Grudowski, P.A.; Eiting, C.J.; Dupuis, R.D.; Campbell, J.C. Very low dark current metal–semiconductor–metal ultraviolet photodetectors fabricated on single-crystal GaN epitaxial layers. Appl. Phys. Lett. 1997, 70, 1992–1994. [Google Scholar] [CrossRef]
- Wei, Y.; Ren, Z.; Zhang, A.; Mao, P.; Li, H.; Zhong, X.; Li, W.; Yang, S.; Wang, J. Hybrid Organic/PbS Quantum Dot Bilayer Photodetector with Low Dark Current and High Detectivity. Adv. Funct. Mater. 2018, 28, 1706690. [Google Scholar] [CrossRef]
- Li, Z.; Xu, Y.; Zhang, J.; Cheng, Y.; Chen, D.; Feng, Q.; Xu, S.; Zhang, Y.; Zhang, J.; Hao, Y.; et al. Flexible Solar-Blind Ga2O3 Ultraviolet Photodetectors with High Responsivity and Photo-to-Dark Current Ratio. IEEE Photonics J. 2019, 11, 6803709. [Google Scholar] [CrossRef]
- Durairaj, S.; Ponnusamy, K.; Shinde, N.B.; Eswaran, S.K.; Asokan, V.; Park, J.B.; Chandramohan, S. Oxygen-Driven Growth Regulation and Defect Passivation in Chemical Vapor Deposited MoS2 Monolayers. Cryst. Growth Des. 2021, 21, 6793–6801. [Google Scholar] [CrossRef]
- Qiu, H.; Xu, T.; Wang, Z.; Ren, W.; Nan, H.; Ni, Z.; Chen, Q.; Yuan, S.; Miao, F.; Song, F.; et al. Hopping transport through defect-induced localized states in molybdenum disulphide. Nat. Commun. 2013, 4, 2642. [Google Scholar] [CrossRef]
- Greben, K.; Arora, S.; Harats, M.G.; Bolotin, K.I. Intrinsic and Extrinsic Defect-Related Excitons in TMDCs. Nano Lett. 2020, 20, 2544–2550. [Google Scholar] [CrossRef]
- Wang, H.; Wang, X.; Chen, Y.; Zhang, S.; Jiang, W.; Zhang, X.; Qin, J.; Wang, J.; Li, X.; Pan, Y.; et al. Extremely Low Dark Current MoS2 Photodetector via 2D Halide Perovskite as the Electron Reservoir. Adv. Opt. Mater. 2020, 8, 1901402. [Google Scholar] [CrossRef]
- Huang, M.; Wang, M.; Chen, C.; Ma, Z.; Li, X.; Han, J.; Wu, Y. Broadband Black-Phosphorus Photodetectors with High Responsivity. Adv. Mater. 2016, 28, 3481–3485. [Google Scholar] [CrossRef] [PubMed]
- Massicotte, M.; Schmidt, P.; Vialla, F.; Schädler, K.G.; Reserbat-Plantey, A.; Watanabe, K.; Taniguchi, T.; Tielrooij, K.J.; Koppens, F.H.L. Picosecond Photoresponse in van der Waals Heterostructures. Nat. Nanotechnol. 2016, 11, 42–46. [Google Scholar] [CrossRef] [PubMed]
- Fan, Y.; Zhou, Y.; Wang, X.; Tan, H.; Rong, Y.; Warner, J.H. Photoinduced Schottky Barrier Lowering in 2D Monolayer WS2 Photodetectors. Adv. Opt. Mater. 2016, 4, 1573–1581. [Google Scholar] [CrossRef]
- Cao, Y.; Cai, K.; Hu, P.; Zhao, L.; Yan, T.; Luo, W.; Zhang, X.; Wu, X.; Wang, K.; Zheng, H. Strong enhancement of photoresponsivity with shrinking the electrodes spacing in few layer GaSe photodetectors. Sci. Rep. 2015, 5, 8130. [Google Scholar] [CrossRef] [PubMed]
- Yi, H.; Ma, C.; Wang, W.; Liang, H.; Cui, R.; Cao, W.; Yang, H.; Ma, Y.; Huang, W.; Zheng, Z.; et al. Quantum tailoring for polarization-discriminating Bi2S3 nanowire photodetectors and their multiplexing optical communication and imaging applications. Mater. Horiz. 2023, 10, 3369–3381. [Google Scholar] [CrossRef]
- Tsai, T.H.; Liang, Z.Y.; Lin, Y.C.; Wang, C.C.; Lin, K.I.; Suenaga, K.; Chiu, P.W. Photogating WS2 Photodetectors Using Embedded WSe2 Charge Puddles. ACS Nano 2020, 14, 4559–4566. [Google Scholar] [CrossRef] [PubMed]
- Ye, L.; Wang, P.; Luo, W.; Gong, F.; Liao, L.; Liu, T.; Tong, L.; Zang, J.; Xu, J.; Hu, W. Highly polarization sensitive infrared photodetector based on black phosphorus-on-WSe2 photogate vertical heterostructure. Nano Energy 2017, 37, 53–60. [Google Scholar] [CrossRef]
- Tang, X.; Huang, Y.; Cheng, K.; Yuan, Q.; Zou, J.; Li, C.; Ren, A.; Shen, K.; Wang, Z. Ultrasensitive WSe2/MoSe2 heterojunction photodetector enhanced by photogating effect. Microelectron. Eng. 2023, 274, 111980. [Google Scholar] [CrossRef]
- Qi, Z.; Yang, T.; Li, D.; Li, H.; Wang, X.; Zhang, X.; Li, F.; Zheng, W.; Fan, P.; Zhuang, X.; et al. High-responsivity two-dimensional p-PbI2/n-WS2 vertical heterostructure photodetectors enhanced by photogating effect. Mater. Horiz. 2019, 6, 1474–1480. [Google Scholar] [CrossRef]
- Ma, H.; Xing, Y.; Han, J.; Cui, B.; Lei, T.; Tu, H.; Guan, B.; Zeng, Z.; Zhang, B.; Lv, W. Ultrasensitive and Broad-Spectrum Photodetectors Based on InSe/ReS2 Heterostructure. Adv. Opt. Mater. 2022, 10, 2101772. [Google Scholar] [CrossRef]
- Zhang, X.L.; Li, J.; Leng, B.; Yang, L.; Song, Y.D.; Feng, S.Y.; Feng, L.Z.; Liu, Z.T.; Fu, Z.W.; Jiang, X.; et al. High-performance ultraviolet-visible photodetector with high sensitivity and fast response speed based on MoS2-on-ZnO photogating heterojunction. Tungsten 2023, 5, 91–99. [Google Scholar] [CrossRef]
- Yang, Y.; Li, J.; Choi, S.; Jeon, S.; Cho, J.H.; Lee, B.H.; Lee, S. High-responsivity PtSe2 photodetector enhanced by photogating effect. Appl. Phys. Lett. 2021, 118, 013103. [Google Scholar] [CrossRef]
- Hu, C.; Dong, D.; Yang, X.; Qiao, K.; Yang, D.; Deng, H.; Yuan, S.; Khan, J.; Lan, Y.; Song, H.; et al. Synergistic Effect of Hybrid PbS Quantum Dots/2D-WSe2 Toward High Performance and Broadband Phototransistors. Adv. Funct. Mater. 2017, 27, 1603605. [Google Scholar] [CrossRef]
- Duan, R.; Qi, W.; Li, P.; Tang, K.; Ru, G.; Liu, W. A High-Performance MoS2-Based Visible–Near-Infrared Photodetector from Gateless Photogating Effect Induced by Nickel Nanoparticles. Research 2023, 6, 0195. [Google Scholar] [CrossRef] [PubMed]
- Yu, Y.; Peng, M.; Zhong, F.; Wang, Z.; Ge, X.; Chen, H.; Guo, J.; Wang, Y.; Chen, Y.; Xu, T.; et al. Synergistic effects of extrinsic photoconduction and photogating in a short-wavelength ZrS3 infrared photodetector. Mater. Horiz. 2023, 10, 2579–2586. [Google Scholar] [CrossRef]
- Zandi, O.; Agrawal, A.; Shearer, A.B.; Reimnitz, L.C.; Dahlman, C.J.; Staller, C.M.; Milliron, D.J. Impacts of Surface Depletion on the Plasmonic Properties of Doped Semiconductor Nanocrystals. Nat. Mater. 2018, 17, 710–717. [Google Scholar] [CrossRef] [PubMed]
- Liu, Z.; Zhong, Y.; Shafei, I.; Borman, R.; Jeong, S.; Chen, J.; Losovyj, Y.; Gao, X.; Li, N.; Du, Y.; et al. Tuning infrared plasmon resonances in doped metal-oxide nanocrystals through cation-exchange reactions. Nat. Commun. 2019, 10, 1394. [Google Scholar] [CrossRef]
- Wang, M.; Yu, Y.; Prucnal, S.; Berencén, Y.; Shaikh, M.S.; Rebohle, L.; Khan, M.B.; Zviagin, V.; Hübner, R.; Pashkin, A.; et al. Mid- and far-infrared localized surface plasmon resonances in chalcogen-hyperdoped silicon. Nanoscale 2022, 14, 2826–2836. [Google Scholar] [CrossRef]
- Xie, C.; Lu, X.; Liang, Y.; Chen, H.; Wang, L.; Wu, C.; Wu, D.; Yang, W.; Luo, L. Patterned growth of β-Ga2O3 thin films for solar-blind deep-ultraviolet photodetectors array and optical imaging application. J. Mater. Sci. Technol. 2021, 72, 189–196. [Google Scholar] [CrossRef]
- Zhang, Y.; Cao, F.; Li, S.; Liu, X.; Kang, L.; Wu, L.; Fang, X. Integration of filter membrane and Ca2Nb3O10 nanosheets for high performance flexible UV photodetectors. J. Mater. Sci. Technol. 2022, 129, 108–114. [Google Scholar] [CrossRef]
- Deng, M.; Li, Z.; Deng, X.; Hu, Y.; Fang, X. Wafer-scale heterogeneous integration of self-powered lead-free metal halide UV photodetectors with ultrahigh stability and homogeneity. J. Mater. Sci. Technol. 2023, 164, 150–159. [Google Scholar] [CrossRef]
- Liu, S.; Yuan, X.; Zou, Y.; Sheng, Y.; Huang, C.; Zhang, E.; Ling, J.; Liu, Y.; Wang, W.; Zhang, C.; et al. Wafer-scale two-dimensional ferromagnetic Fe3GeTe2 thin films grown by molecular beam epitaxy. NPJ 2D Mater. Appl. 2017, 1, 30. [Google Scholar] [CrossRef]
- Xia, Y.; Ding, D.; Xiao, K.; Zhang, J.; Xu, S.; He, D.; Yue, X.; Rao, Q.; Wang, X.; Ding, S.; et al. Wafer-scale single-crystalline MoSe2 and WSe2 monolayers grown by molecular-beam epitaxy at low-temperature—The role of island-substrate interaction and surface steps. Nat. Sci. 2023, 3, 20220059. [Google Scholar] [CrossRef]
- Zhang, S.; Hao, Y.; Gao, F.; Wu, X.; Hao, S.; Qiu, M.; Zheng, X.; Wei, Y.; Hao, G. Controllable growth of wafer-scale two-dimensional WS2 with outstanding optoelectronic properties. 2D Mater. 2023, 11, 015007. [Google Scholar] [CrossRef]
- Wang, G.; Huang, J.; Zhang, S.; Meng, J.; Chen, J.; Shi, Y.; Jiang, J.; Li, J.; Cheng, Y.; Zeng, L.; et al. Wafer-Scale Single Crystal Hexagonal Boron Nitride Layers Grown by Submicron-Spacing Vapor Deposition. Small 2023, 19, 2301086. [Google Scholar] [CrossRef] [PubMed]
- Juvaid, M.M.; Ramachandra Rao, M.S. Wafer scale growth of MoS2 and WS2 by pulsed laser deposition. Mater. Today Proc. 2021, 35, 494–496. [Google Scholar] [CrossRef]
- Kim, D.H.; Park, J.C.; Park, J.; Cho, D.Y.; Kim, W.H.; Shong, B.; Ahn, J.H.; Park, T.J. Wafer-Scale Growth of a MoS2 Monolayer via One Cycle of Atomic Layer Deposition: An Adsorbate Control Method. Chem. Mater. 2021, 33, 4099–4105. [Google Scholar] [CrossRef]
- Fu, D.; Zhao, X.; Zhang, Y.Y.; Li, L.; Xu, H.; Jang, A.R.; Yoon, S.I.; Song, P.; Poh, S.M.; Ren, T.; et al. Molecular beam epitaxy of highly crystalline monolayer molybdenum disulfide on hexagonal boron nitride. J. Am. Chem. Soc. 2017, 139, 9392–9400. [Google Scholar] [CrossRef]
- Luo, G.; Shi, J.; Deng, W.; Chang, Z.; Lu, Z.; Zhang, Y.; Pan, R.; Jie, J.; Zhang, X.; Zhang, X. Boosting the Performance of Organic Photodetectors with a Solution-Processed Integration Circuit toward Ubiquitous Health Monitoring. Adv. Mater. 2023, 35, 2301020. [Google Scholar] [CrossRef]
- Gu, L.; Poddar, S.; Lin, Y.; Long, Z.; Zhang, D.; Zhang, Q.; Shu, L.; Qiu, X.; Kam, M.; Javey, A.; et al. A biomimetic eye with a hemispherical perovskite nanowire array retina. Nature 2020, 581, 278–282. [Google Scholar] [CrossRef]
- Zhang, L.; Li, N.; Ma, Q.; Ding, J.; Chen, C.; Hu, Z.; Zhao, W.; Li, Y.; Feng, H.; Li, M.; et al. Large-area flexible and transparent UV photodetector based on cross-linked Ag NW@ZnO NRs with high performance. J. Mater. Sci. Technol. 2022, 110, 65–72. [Google Scholar] [CrossRef]
- Ma, Y.; Ma, C.; Yi, H.; Liang, H.; Wang, W.; Zheng, Z.; Zou, Y.; Deng, Z.; Yao, J.; Yang, G. 1D Sb2S3 with Strong Mie Resonance Toward Highly-Sensitive Polarization-Discriminating Photodetection and Its Application in High-Temperature-Proof Imaging and Dual-Channel Communications. Adv. Opt. Mater. 2023. [Google Scholar] [CrossRef]
- Kong, L.; Li, G.; Su, Q.; Tan, X.; Zhang, X.; Liu, Z.; Liao, G.; Sun, B.; Shi, T. Polarization-Sensitive, Self-Powered, and Broadband Semimetal MoTe2/MoS2 van der Waals Heterojunction for Photodetection and Imaging. ACS Appl. Mater. Interfaces 2023, 15, 43135–43144. [Google Scholar] [CrossRef]










Disclaimer/Publisher’s Note: The statements, opinions and data contained in all publications are solely those of the individual author(s) and contributor(s) and not of MDPI and/or the editor(s). MDPI and/or the editor(s) disclaim responsibility for any injury to people or property resulting from any ideas, methods, instructions or products referred to in the content. |
© 2023 by the authors. Licensee MDPI, Basel, Switzerland. This article is an open access article distributed under the terms and conditions of the Creative Commons Attribution (CC BY) license (https://creativecommons.org/licenses/by/4.0/).
Share and Cite
Liang, H.; Ma, Y.; Yi, H.; Yao, J. Emerging Schemes for Advancing 2D Material Photoconductive-Type Photodetectors. Materials 2023, 16, 7372. https://doi.org/10.3390/ma16237372
Liang H, Ma Y, Yi H, Yao J. Emerging Schemes for Advancing 2D Material Photoconductive-Type Photodetectors. Materials. 2023; 16(23):7372. https://doi.org/10.3390/ma16237372
Chicago/Turabian StyleLiang, Huanrong, Yuhang Ma, Huaxin Yi, and Jiandong Yao. 2023. "Emerging Schemes for Advancing 2D Material Photoconductive-Type Photodetectors" Materials 16, no. 23: 7372. https://doi.org/10.3390/ma16237372
APA StyleLiang, H., Ma, Y., Yi, H., & Yao, J. (2023). Emerging Schemes for Advancing 2D Material Photoconductive-Type Photodetectors. Materials, 16(23), 7372. https://doi.org/10.3390/ma16237372
