Preparation and Study of Antifouling and Fouling-Release Surface Materials from Copolymers with Anchoring Functional Groups
Abstract
:1. Introduction
2. Materials and Methods
2.1. Materials and Characterization
2.2. The Synthetic Method of Monomer
2.3. Polymerization Methods
| Copolymer | Mn (g mol−1) | D |
|---|---|---|
| PDOPA–PMETAC | 7900 | 1.17 |
| PDOPA–POEGMA | 9800 | 1.21 |
| PDOPA–PSPMA | 7200 | 1.12 |
| PDOPA–PTMETH | 5600 | 1.28 |

2.4. Surface Modification by Copolymer Coatings on Substrates
2.5. Settlement and Adhesion Tests of Cells and Zoospores
3. Results and Discussion
3.1. Chemical Compositions of the Surfaces
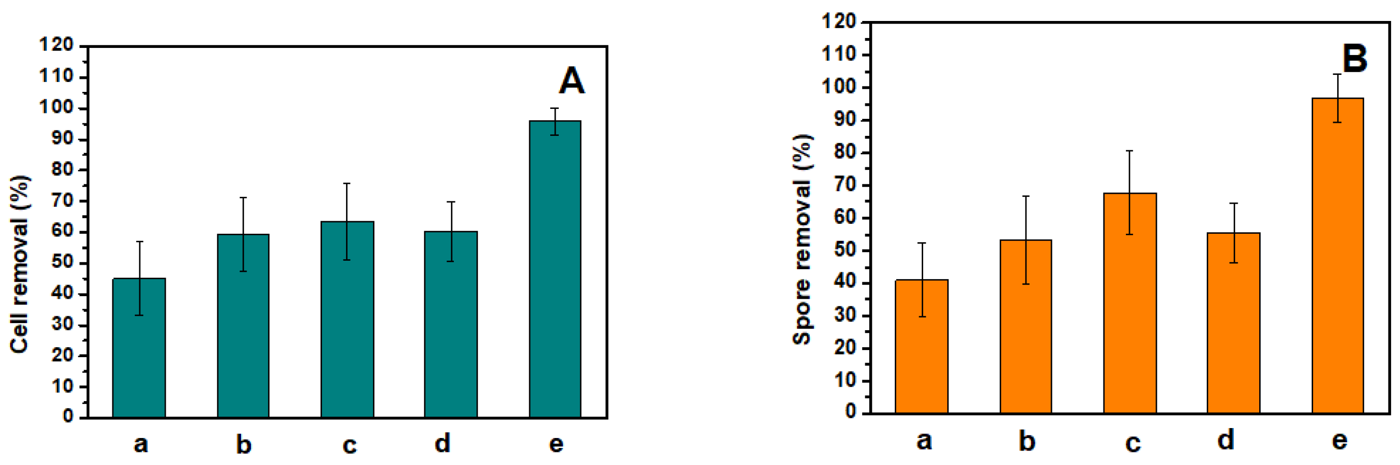
3.2. Antifouling and Fouling-Release Performances
4. Conclusions
Author Contributions
Funding
Institutional Review Board Statement
Informed Consent Statement
Data Availability Statement
Conflicts of Interest
References
- Magin, C.M.; Finlay, J.A.; Clay, G.; Callow, M.E.; Callow, J.A.; Brennan, A.B. Antifouling Performance of Cross-linked Hydrogels: Refinement of an Attachment Model. Biomacromolecules 2011, 12, 915–922. [Google Scholar] [CrossRef] [PubMed]
- Kurtz, I.S.; Schiffman, J.D. Current and Emerging Approaches to Engineer Antibacterial and Antifouling Electrospun Nanofibers. Materials 2018, 11, 16. [Google Scholar] [CrossRef] [PubMed]
- Vinagre, P.A.; Simas, T.; Cruz, E.; Pinori, E.; Svenson, J. Marine Biofouling: A European Database for the Marine Renewable Energy Sector. J. Mar. Sci. Eng. 2020, 8, 27. [Google Scholar] [CrossRef]
- Alzieu, C. Impact of tributyltin on marine invertebrates. Ecotoxicology 2000, 9, 71–76. [Google Scholar] [CrossRef]
- de Nys, R.; Steinberg, P.D. Linking marine biology and biotechnology. Curr. Opin. Biotechnol. 2002, 13, 244–248. [Google Scholar] [CrossRef] [PubMed]
- Marechal, J.P.; Hellio, C.; Sebire, M.; Clare, A.S. Settlement behaviour of marine invertebrate larvae measured by EthoVision 3.0. Biofouling 2004, 20, 211–217. [Google Scholar] [CrossRef]
- Callow, M.E.; Callow, J.A.; Pickett-Heaps, J.D.; Wetherbee, R. Primary Adhesion of Enteromorpha (Chlorophyta, Ulvales) Propagules: Quantitative Settlement Studies and Video Microscopy. J. Phycol. 1997, 33, 938–947. [Google Scholar] [CrossRef]
- Zhao, W.W.; Wu, Z.Q.; Liu, Y.M.; Dai, P.; Hai, G.J.; Liu, F.; Shang, Y.; Cao, Z.Y.; Yang, W.F. Research Progress of Natural Products and Their Derivatives in Marine Antifouling. Materials 2023, 16, 6190. [Google Scholar] [CrossRef]
- Fu, Y.; Wang, W.C.; Zhang, L.Q.; Vinokurov, V.; Stavitskaya, A.; Lvov, Y. Development of Marine Antifouling Epoxy Coating Enhanced with Clay Nanotubes. Materials 2019, 12, 4195. [Google Scholar] [CrossRef]
- Sun, X.H.; Li, Q.; Guo, Z.R.; Wang, K.; Gui, T.J.; Gao, C.L. Study on the Core-Shell Reversion of PSBMA-b-PLMA Nanoparticles for the Fabrication of Antifouling Coatings. ACS Appl. Mater. Interfaces 2019, 11, 21323–21333. [Google Scholar] [CrossRef]
- Feng, S.J.; Wang, Q.; Gao, Y.; Huang, Y.G.; Qing, F.L. Synthesis and Characterization of a Novel Amphiphilic Copolymer Capable as Anti-Biofouling Coating Material. J. Appl. Polym. Sci. 2009, 114, 2071–2078. [Google Scholar] [CrossRef]
- Weinman, C.J.; Finlay, J.A.; Park, D.; Paik, M.Y.; Krishnan, S.; Sundaram, H.S.; Dimitriou, M.; Sohn, K.E.; Callow, M.E.; Callow, J.A.; et al. ABC Triblock Surface Active Block Copolymer with Grafted Ethoxylated Fluoroalkyl Amphiphilic Side Chains for Marine Antifouling/Fouling-Release Applications. Langmuir 2009, 25, 12266–12274. [Google Scholar] [CrossRef] [PubMed]
- Dinu, C.Z.; Zhu, G.; Bale, S.S.; Anand, G.; Reeder, P.J.; Sanford, K.; Whited, G.; Kane, R.S.; Dordick, J.S. Enzyme-Based Nanoscale Composites for Use as Active Decontamination Surfaces. Adv. Funct. Mater. 2010, 20, 392–398. [Google Scholar] [CrossRef]
- Romeu, M.J.; Mergulhao, F. Development of Antifouling Strategies for Marine Applications. Microorganisms 2023, 11, 34. [Google Scholar] [CrossRef]
- Huang, J.Y.; Koepsel, R.R.; Murata, H.; Wu, W.; Lee, S.B.; Kowalewski, T.; Russell, A.J.; Matyjaszewski, K. Nonleaching antibacterial glass surfaces via “Grafting Onto”: The effect of the number of quaternary ammonium groups on biocidal activity. Langmuir 2008, 24, 6785–6795. [Google Scholar] [CrossRef]
- Lee, S.B.; Koepsel, R.R.; Morley, S.W.; Matyjaszewski, K.; Sun, Y.J.; Russell, A.J. Permanent, nonleaching antibacterial surfaces. 1. Synthesis by atom transfer radical polymerization. Biomacromolecules 2004, 5, 877–882. [Google Scholar] [CrossRef]
- Hou, A.L.; Wang, S.Y.; Lin, W.P.; Kuo, W.H.; Wang, T.J.; Wang, M.J. Surface Antifouling Modification on Polyethylene Filtration Membranes by Plasma Polymerization. Materials 2020, 13, 13. [Google Scholar] [CrossRef]
- Ma, H.W.; Wells, M.; Beebe, T.P.; Chilkoti, A. Surface-initiated atom transfer radical polymerization of oligo(ethylene glycol) methyl methacrylate from a mixed self-assembled monolayer on gold. Adv. Funct. Mater. 2006, 16, 640–648. [Google Scholar] [CrossRef]
- Zhang, Z.; Finlay, J.A.; Wang, L.F.; Gao, Y.; Callow, J.A.; Callow, M.E.; Jiang, S.Y. Polysulfobetaine-Grafted Surfaces as Environmentally Benign Ultralow Fouling Marine Coatings. Langmuir 2009, 25, 13516–13521. [Google Scholar] [CrossRef]
- Zhang, Z.; Chao, T.; Chen, S.F.; Jiang, S.Y. Superlow fouling sulfobetaine and carboxybetaine polymers on glass slides. Langmuir 2006, 22, 10072–10077. [Google Scholar] [CrossRef]
- Jiang, S.Y.; Cao, Z.Q. Ultralow-Fouling, Functionalizable, and Hydrolyzable Zwitterionic Materials and Their Derivatives for Biological Applications. Adv. Mater. 2010, 22, 920–932. [Google Scholar] [CrossRef] [PubMed]
- Ramburrun, P.; Pringle, N.A.; Dube, A.; Adam, R.Z.; D’Souza, S.; Aucamp, M. Recent Advances in the Development of Antimicrobial and Antifouling Biocompatible Materials for Dental Applications. Materials 2021, 14, 3167. [Google Scholar] [CrossRef] [PubMed]
- Ding, J.; Ding, X.M.; Sun, J. Zwitterionic Polypeptoids: A Promising Class of Antifouling Bioinspired Materials. Materials 2022, 15, 4498. [Google Scholar] [CrossRef] [PubMed]
- Zhou, P.; Shen, T.; Ling, J. Synthesis and properties of polypeptoid-containing block copolymers: A review. J. Polym. Sci. 2021, 59, 2946–2958. [Google Scholar] [CrossRef]
- Liu, H.W.; Liu, L.; Jiang, X.F.; Fan, J.; Peng, W.; Liu, P.M.; Yang, T.; Chen, H.L.; Jiang, W.; Yin, G.Y.; et al. Rational design of a zwitterionic-phosphonic copolymer for the surface antifouling modification of multiple biomedical metals. J. Mat. Chem. B 2019, 7, 4055–4065. [Google Scholar] [CrossRef]
- Li, M.Y.; Nan, L.Y.; Zhang, B.X.; Kong, J.J.; Wang, Y.F.; Ba, M. Polyether-Thiourea-Siloxane Copolymer Based on H-Bonding Interaction for Marine Antifouling. Molecules 2023, 28, 16. [Google Scholar] [CrossRef]
- Guo, H.S.; Liu, X.M.; Zhao, W.Q.; Xie, C.H.; Zhu, Y.N.; Wen, C.Y.; Li, Q.S.; Sui, X.J.; Yang, J.; Zhang, L. A polyvinylpyrrolidone-based surface-active copolymer for an effective marine antifouling coating. Prog. Org. Coat. 2021, 150, 105975. [Google Scholar] [CrossRef]
- Xu, X.; Wang, Q.Y.; Chang, Y.X.; Zhang, Y.H.; Peng, H.; Whittaker, A.K.; Fu, C.K. Antifouling and Antibacterial Surfaces Grafted with Sulfur-Containing Copolymers. ACS Appl. Mater. Interfaces 2022, 14, 41400–41411. [Google Scholar] [CrossRef]
- Lee, H.; Dellatore, S.M.; Miller, W.M.; Messersmith, P.B. Mussel-inspired surface chemistry for multifunctional coatings. Science 2007, 318, 426–430. [Google Scholar] [CrossRef]
- Ye, Q.; Zhou, F.; Liu, W.M. Bioinspired catecholic chemistry for surface modification. Chem. Soc. Rev. 2011, 40, 4244–4258. [Google Scholar] [CrossRef]
- Xi, P.X.; Cheng, K.; Sun, X.L.; Zeng, Z.Z.; Sun, S.H. Magnetic Fe3O4 nanoparticles coupled with a fluorescent Eu complex for dual imaging applications. Chem. Commun. 2012, 48, 2952–2954. [Google Scholar] [CrossRef] [PubMed]
- Han, H.; Wu, J.F.; Avery, C.W.; Mizutani, M.; Jiang, X.M.; Kamigaito, M.; Chen, Z.; Xi, C.W.; Kuroda, K. Immobilization of Amphiphilic Polycations by Catechol Functionality for Antimicrobial Coatings. Langmuir 2011, 27, 4010–4019. [Google Scholar] [CrossRef] [PubMed]
- Lee, H.; Lee, K.D.; Pyo, K.B.; Park, S.Y.; Lee, H. Catechol-Grafted Poly(ethylene glycol) for PEGylation on Versatile Substrates. Langmuir 2010, 26, 3790–3793. [Google Scholar] [CrossRef] [PubMed]
- Li, G.Z.; Xue, H.; Gao, C.L.; Zhang, F.B.; Jiang, S.Y. Nonfouling Polyampholytes from an Ion-Pair Comonomer with Biomimetic Adhesive Groups. Macromolecules 2010, 43, 14–16. [Google Scholar] [CrossRef]
- Zar, J.H.; Hall, P. Biostatistical Analysis, 4th ed.; Pearson College Div: Upper Saddle River, NJ, USA, 1999. [Google Scholar]
- Xiong, C.X.; Xiong, W.J.; Mu, Y.B.; Pei, D.F.; Wan, X.B. Mussel-inspired polymeric coatings with the antifouling efficacy controlled by topologies. J. Mater. Chem. B 2022, 10, 9295–9304. [Google Scholar] [CrossRef]
- Park, S.; Kim, M.; Park, J.; Choi, W.; Hong, J.; Lee, D.W.; Kim, B.S. Mussel-Inspired Multiloop Polyethers for Antifouling Surfaces. Biomacromolecules 2021, 22, 5173–5184. [Google Scholar] [CrossRef]
- Sathyan, A.; Kurtz, I.; Rathore, P.; Emrick, T.; Schiffman, J.D. Using Catechol and Zwitterion-Functionalized Copolymers to Prevent Dental Bacterial Adhesion. ACS Appl. Bio Mater. 2023, 6, 2905–2915. [Google Scholar] [CrossRef]
- Yeon, D.K.; Ko, S.; Jeong, S.; Hong, S.P.; Kang, S.M.; Cho, W.K. Oxidation-Mediated, Zwitterionic Polydopamine Coatings for Marine Antifouling Applications. Langmuir 2019, 35, 1227–1234. [Google Scholar] [CrossRef]
- Wan, F.; Pei, X.W.; Yu, B.; Ye, Q.; Zhou, F.; Xue, Q.J. Grafting Polymer Brushes on Biomimetic Structural Surfaces for Anti-Algae Fouling and Foul Release. ACS Appl. Mater. Interfaces 2012, 4, 4557–4565. [Google Scholar] [CrossRef]
- Callow, J.A.; Osborne, M.P.; Callow, M.E.; Baker, F.; Donald, A.M. Use of environmental scanning electron microscopy to image the spore adhesive of the marine alga Enteromorpha in its natural hydrated state. Colloid Surf. B Biointerfaces 2003, 27, 315–321. [Google Scholar] [CrossRef]








| Samples | Molar Ratio of Monomers | Reduced Settlement Ratio of Cells/Spores | Growth Removal Percentage of Cells/Spores |
|---|---|---|---|
| PDOPA–POEGMA | 1:50 | 23 ± 5%/17 ± 6% | 6 ± 1%/10 ± 2% |
| 1:40 | 41 ± 4%/38 ± 5% | 11 ± 3%/13 ± 2% | |
| 1:30 | 69 ± 4%/68 ± 3% | 15 ± 2%/14 ± 1% | |
| 1:20 | 83 ± 3%/76 ± 4% | 14 ± 1%/15 ± 2% | |
| 1:10 | 80 ± 5%/78 ± 3% | 14 ± 3%/16 ± 3% | |
| PDOPA–PSPMA | 1:50 | 43 ± 2%/28 ± 4% | 10 ± 2%/11 ± 1% |
| 1:40 | 72 ± 3%/65 ± 5% | 11 ± 1%/13 ± 2% | |
| 1:30 | 91 ± 3%/89 ± 3% | 18 ± 3%/17 ± 1% | |
| 1:20 | 88 ± 4%/75 ± 3% | 18 ± 2%/15 ± 3% | |
| 1:10 | 92 ± 4%/77 ± 2% | 17 ± 1%/18 ± 3% | |
| PDOPA–PMETAC | 1:50 | 33 ± 3%/25 ± 5% | 4 ± 1%/5 ± 2% |
| 1:40 | 42 ± 4%/37 ± 6% | 11 ± 3%/13 ± 2% | |
| 1:30 | 71 ± 4%/70 ± 3% | 11 ± 2%/14 ± 1% | |
| 1:20 | 78 ± 3%/77 ± 3% | 15 ± 3%/16 ± 2% | |
| 1:10 | 77 ± 2%/75 ± 4% | 13 ± 2%/17 ± 2% | |
| PDOPA–PTMETH | 1:50 | 18 ± 1%/21 ± 2% | 29 ± 3%/28 ± 2% |
| 1:40 | 26 ± 3%/25 ± 2% | 35 ± 3%/41 ± 4% | |
| 1:30 | 31 ± 4%/33 ± 3% | 43 ± 1%/49 ± 2% | |
| 1:20 | 37 ± 2%/41 ± 4% | 47 ± 1%/50 ± 2% | |
| 1:10 | 45 ± 3%/48 ± 4% | 49 ± 2%/52 ± 1% |
Disclaimer/Publisher’s Note: The statements, opinions and data contained in all publications are solely those of the individual author(s) and contributor(s) and not of MDPI and/or the editor(s). MDPI and/or the editor(s) disclaim responsibility for any injury to people or property resulting from any ideas, methods, instructions or products referred to in the content. |
© 2023 by the authors. Licensee MDPI, Basel, Switzerland. This article is an open access article distributed under the terms and conditions of the Creative Commons Attribution (CC BY) license (https://creativecommons.org/licenses/by/4.0/).
Share and Cite
Wan, F.; Yan, W.; Feng, C.; Tong, R.; Zhang, L. Preparation and Study of Antifouling and Fouling-Release Surface Materials from Copolymers with Anchoring Functional Groups. Materials 2023, 16, 7367. https://doi.org/10.3390/ma16237367
Wan F, Yan W, Feng C, Tong R, Zhang L. Preparation and Study of Antifouling and Fouling-Release Surface Materials from Copolymers with Anchoring Functional Groups. Materials. 2023; 16(23):7367. https://doi.org/10.3390/ma16237367
Chicago/Turabian StyleWan, Fei, Wenwen Yan, Chao Feng, Ruixuan Tong, and Linlin Zhang. 2023. "Preparation and Study of Antifouling and Fouling-Release Surface Materials from Copolymers with Anchoring Functional Groups" Materials 16, no. 23: 7367. https://doi.org/10.3390/ma16237367
APA StyleWan, F., Yan, W., Feng, C., Tong, R., & Zhang, L. (2023). Preparation and Study of Antifouling and Fouling-Release Surface Materials from Copolymers with Anchoring Functional Groups. Materials, 16(23), 7367. https://doi.org/10.3390/ma16237367
