Study of Elastic and Structural Properties of BaFe2As2 Ultrathin Film Using Picosecond Ultrasonics
Abstract
:1. Introduction
2. Materials and Methods

3. Results and Discussion
3.1. Low Temperature Transient Reflectivity Change
3.2. Temperature Dependent Transient Reflectivity Change
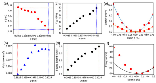
4. Theory and Calculation
5. Conclusions
Supplementary Materials
Author Contributions
Funding
Institutional Review Board Statement
Informed Consent Statement
Data Availability Statement
Conflicts of Interest
References
- Haindl, S.; Kidszun, M.; Oswald, S.; Hess, C.; Büchner, B.; Kölling, S.; Wilde, L.; Thersleff, T.; Yurchenko, V.; Jourdan, M.; et al. Thin film growth of Fe-based superconductors: From fundamental properties to functional devices. A comparative review. Rep. Prog. Phys. 2014, 77, 046502. [Google Scholar] [CrossRef] [PubMed]
- Li, Y.; Polakovic, T.; Wang, Y.L.; Xu, J.; Lendinez, S.; Zhang, Z.; Ding, J.; Khaire, T.; Saglam, H.; Divan, R.; et al. Strong coupling between magnons and microwave photons in on-chip ferromagnet-superconductor thin-film devices. Phys. Rev. Lett. 2019, 123, 107701. [Google Scholar] [CrossRef] [PubMed]
- Chen, Y.; Lei, Y.; Li, Y.; Yu, Y.; Cai, J.; Chiu, M.H.; Rao, R.; Gu, Y.; Wang, C.; Choi, W.; et al. Strain engineering and epitaxial stabilization of halide perovskites. Nature 2020, 577, 209–215. [Google Scholar] [CrossRef]
- Li, S.; Larionov, K.V.; Popov, Z.I.; Watanabe, T.; Amemiya, K.; Entani, S.; Avramov, P.V.; Sakuraba, Y.; Naramoto, H.; Sorokin, P.B.; et al. Graphene/Half-Metallic Heusler Alloy: A Novel Heterostructure toward High-Performance Graphene Spintronic Devices. Adv. Mater. 2020, 32, 1905734. [Google Scholar] [CrossRef]
- Chappert, C.; Fert, A.; Van Dau, F.N. The emergence of spin electronics in data storage. Nat. Mater. 2007, 6, 813–823. [Google Scholar] [CrossRef] [PubMed]
- Burschka, J.; Pellet, N.; Moon, S.J.; Humphry-Baker, R.; Gao, P.; Nazeeruddin, M.K.; Grätzel, M. Sequential deposition as a route to high-performance perovskite-sensitized solar cells. Nature 2013, 499, 316–319. [Google Scholar] [CrossRef]
- Sakoda, M.; Iida, K.; Naito, M. Recent progress in thin-film growth of Fe-based superconductors: Superior superconductivity achieved by thin films. Supercond. Sci. Technol. 2018, 31, 093001. [Google Scholar] [CrossRef]
- Zeng, S.; Li, C.; Chow, L.E.; Cao, Y.; Zhang, Z.; Tang, C.S.; Yin, X.; Lim, Z.S.; Hu, J.; Yang, P.; et al. Superconductivity in infinite-layer nickelate La1- xCaxNiO2 thin films. Sci. Adv. 2022, 8, eabl9927. [Google Scholar] [CrossRef]
- Zhang, R.X.; Sarma, S.D. Intrinsic time-reversal-invariant topological superconductivity in thin films of iron-based superconductors. Phys. Rev. Lett. 2021, 126, 137001. [Google Scholar] [CrossRef]
- Engelmann, J.; Grinenko, V.; Chekhonin, P.; Skrotzki, W.; Efremov, D.; Oswald, S.; Iida, K.; Hühne, R.; Hänisch, J.; Hoffmann, M.; et al. Strain induced superconductivity in the parent compound BaFe2As2. Nat. Commun. 2013, 4, 2877. [Google Scholar] [CrossRef]
- Kang, J.H.; Ryan, P.J.; Kim, J.W.; Schad, J.; Podkaminer, J.P.; Campbell, N.; Suttle, J.; Kim, T.H.; Luo, L.; Cheng, D.; et al. Local atomic configuration control of superconductivity in the undoped pnictide parent compound BaFe2As2. ACS Appl. Electron. Mater. 2021, 4, 1511–1517. [Google Scholar] [CrossRef]
- Tamir, I.; Benyamini, A.; Telford, E.; Gorniaczyk, F.; Doron, A.; Levinson, T.; Wang, D.; Gay, F.; Sacépé, B.; Hone, J.; et al. Sensitivity of the superconducting state in thin films. Sci. Adv. 2019, 5, eaau3826. [Google Scholar] [CrossRef] [PubMed]
- Thomsen, C.; Strait, J.; Vardeny, Z.; Maris, H.J.; Tauc, J.; Hauser, J.J. Coherent Phonon Generation and Detection by Picosecond Light Pulses. Phys. Rev. Lett. 1984, 53, 989. [Google Scholar] [CrossRef]
- Vaswani, C.; Wang, L.L.; Mudiyanselage, D.H.; Li, Q.; Lozano, P.M.; Gu, G.D.; Cheng, D.; Song, B.; Luo, L.; Kim, R.H.; et al. Light-Driven Raman Coherence as a Nonthermal Route to Ultrafast Topology Switching in a Dirac Semimetal. Phys. Rev. X 2020, 10, 021013. [Google Scholar] [CrossRef]
- Wu, S.; Geiser, P.; Jun, J.; Karpinski, J.; Sobolewski, R. Femtosecond optical generation and detection of coherent acoustic phonons in GaN single crystals. Phys. Rev. B 2007, 76, 085210. [Google Scholar] [CrossRef]
- Pezeril, T.; Ruello, P.; Gougeon, S.; Chigarev, N.; Mounier, D.; Breteau, J.M.; Picart, P.; Gusev, V. Generation and detection of plane coherent shear picosecond acoustic pulses by lasers: Experiment and theory. Phys. Rev. B 2007, 75, 174307. [Google Scholar] [CrossRef]
- Huang, Y.K.; Chern, G.W.; Sun, C.K.; Smorchkova, Y.; Keller, S.; Mishra, U.; DenBaars, S.P. Generation of coherent acoustic phonons in strained GaN thin films. Appl. Phys. Lett. 2001, 79, 3361–3363. [Google Scholar] [CrossRef]
- Hurley, D.H.; Wright, O.B.; Matsuda, O.; Gusev, V.E.; Kolosov, O.V. Laser picosecond acoustics in isotropic and anisotropic materials. Ultrasonics 2000, 38, 470–474. [Google Scholar] [CrossRef]
- Harb, M.; Peng, W.; Sciaini, G.; Hebeisen, C.T.; Ernstorfer, R.; Eriksson, M.A.; Lagally, M.G.; Kruglik, S.G.; Miller, R.J. Excitation of longitudinal and transverse coherent acoustic phonons in nanometer free-standing films of (001) Si. Phys. Rev. B 2009, 79, 094301. [Google Scholar] [CrossRef]
- Song, B.Q.; Yang, X.; Sundahl, C.; Kang, J.H.; Mootz, M.; Yao, Y.; Perakis, I.E.; Luo, L.; Eom, C.B.; Wang, J. Ultrafast Martensitic Phase Transition Driven by Intense Terahertz Pulses. Ultrafast Sci. 2023, 3, 0007. [Google Scholar] [CrossRef]
- Kumar, S.; Harnagea, L.; Wurmehl, S.; Buchner, B.; Sood, A.K. Acoustic and optical phonon dynamics from femtosecond time-resolved optical spectroscopy of the superconducting iron pnictide Ca(Fe0.944Co0.056)2As2. Europhys. Lett. 2012, 100, 57007. [Google Scholar] [CrossRef]
- Wang, J.; Hashimoto, Y.; Kono, J.; Oiwa, A.; Munekata, H.; Sanders, G.D.; Stanton, C.J. Propagating coherent acoustic phonon wave packets in InxMn1−xAs/GaSb. Phys. Rev. B 2005, 72, 153311. [Google Scholar] [CrossRef]
- Ruello, P.; Pezeril, T.; Avanesyan, S.; Vaudel, G.; Gusev, V.; Infante, I.C.; Dkhil, B. Photoexcitation of gigahertz longitudinal and shear acoustic waves in BiFeO3 multiferroic single crystal. Appl. Phys. Lett. 2012, 100, 212906. [Google Scholar] [CrossRef]
- Ogi, H.; Fujii, M.; Nakamura, N.; Yasui, T.; Hirao, M. Stiffened ultrathin Pt films confirmed by acoustic-phonon resonances. Phys. Rev. Lett. 2007, 98, 195503. [Google Scholar] [CrossRef] [PubMed]
- Matsuda, O.; Wright, O.B.; Hurley, D.H.; Gusev, V.E.; Shimizu, K. Coherent shear phonon generation and detection with ultrashort optical pulses. Phys. Rev. Lett 2004, 93, 095501. [Google Scholar] [CrossRef]
- Mela, I.; Poudel, C.; Anaya, M.; Delport, G.; Frohna, K.; Macpherson, S.; Doherty, T.A.S.; Scheeder, A.; Stranks, S.D.; Kaminski, C.F.; et al. Revealing Nanomechanical Domains and Their Transient Behavior in Mixed-Halide Perovskite Films. Adv. Mater. 2021, 31, 2100293. [Google Scholar] [CrossRef]
- Frazer, T.D.; Knobloch, J.L.; Hernández-Charpak, J.N.; Hoogeboom-Pot, K.M.; Nardi, D.; Yazdi, S.; Chao, W.; Anderson, E.H.; Tripp, M.K.; King, S.W.; et al. Full characterization of ultrathin 5-nm low- k dielectric bilayers: Influence of dopants and surfaces on the mechanical properties. Phys. Rev. Mater. 2020, 4, 073603. [Google Scholar] [CrossRef]
- Hay, J.; Crawford, B. Measuring substrate-independent modulus of thin films. J. Mater. Res. 2011, 26, 727–738. [Google Scholar] [CrossRef]
- Nguyen, H.K.; Fujinami, S.; Nakajima, K. Elastic modulus of ultrathin polymer films characterized by atomic force microscopy: The role of probe radius. Polymer 2016, 87, 114–122. [Google Scholar] [CrossRef]
- Song, B.Q.; Xu, M.; Borisov, V.; Palasyuk, O.; Wang, C.Z.; Valentí, R.; Canfield, P.C.; Ho, K.M. Construction of heterolayer intermetallic crystals: Case studies of the 1144-phase TM-phosphides (TM) (TM = Fe, Ru, Co, Ni). Phys. Rev. Mater. 2021, 5, 094802. [Google Scholar] [CrossRef]
- Patz, A.; Li, T.; Ran, S.; Fernandes, R.M.; Schmalian, J.; Bud’Ko, S.L.; Canfield, P.C.; Perakis, I.E.; Wang, J. Ultrafast observation of critical nematic fluctuations and giant magnetoelastic coupling in iron pnictides. Nat. Commun. 2014, 5, 3229. [Google Scholar] [CrossRef] [PubMed]
- Kimber, S.A.; Kreyssig, A.; Zhang, Y.Z.; Jeschke, H.O.; Valentí, R.; Yokaichiya, F.; Colombier, E.; Yan, J.; Hansen, T.C.; Chatterji, T.; et al. Similarities between structural distortions under pressure and chemical doping in superconducting BaFe2As2. Nat. Mater. 2009, 8, 471–475. [Google Scholar] [CrossRef] [PubMed]
- Song, B.Q.; Nguyen, M.C.; Wang, C.Z.; Canfield, P.C.; Ho, K.M. Is it possible to stabilize the 1144-phase pnictides with tri-valence cations? Phys. Rev. Mater. 2018, 2, 104802. [Google Scholar] [CrossRef]
- Iyo, A.; Kawashima, K.; Kinjo, T.; Nishio, T.; Ishida, S.; Fujihisa, H.; Gotoh, Y.; Kihou, K.; Eisaki, H.; Yoshida, Y. New Structure Type Fe Based Superconductors: CaAFe4As4 (A = K, Rb, Cs) and SrAFe4As4 (A = Rb, Cs). J. Am. Chem. Soc. 2016, 138, 3410–3415. [Google Scholar] [CrossRef] [PubMed]
- Johnston, D.C. The puzzle of high temperature superconductivity in layered iron pnictides and chalcogenides. Adv. Phys. 2010, 59, 803–1061. [Google Scholar] [CrossRef]
- Zaikina, J.V.; Batuk, M.; Abakumov, A.M.; Navrotsky, A.; Kauzlarich, S.M. Facile Synthesis of Ba1−xKxFe2As2 Superconductors via Hydride Route. Crystallography Open Database. 2023. Available online: http://www.crystallography.net/cod/4123005.html (accessed on 13 September 2023).
- Zaikina, J.V.; Batuk, M.; Abakumov, A.M.; Navrotsky, A.; Kauzlarich, S.M. Facile Synthesis of Ba1−xKxFe2As2 Superconductors via Hydride Route. Crystallography Open Database. 2023. Available online: http://www.crystallography.net/cod/4123009.html (accessed on 13 September 2023).
- Wyckoff, R. Interscience Publishers, New York, New York Rocksalt Structure. Crystallography Open Database. 2023. Available online: http://www.crystallography.net/cod/9008667.html (accessed on 13 September 2023).
- Dressler, L.; Griebner, U.; Kittner, R. Precision measurement of lattice parameters in LiF monocrystals. Crys. Res. Technol. 1987, 22, 1431–1435. [Google Scholar] [CrossRef]
- Momma, K.; Izumi, F. VESTA 3 for three-dimensional visualization of crystal, volumetric and morphology data. Appl. Crystallogr. 2011, 44, 1272–1276. [Google Scholar] [CrossRef]
- Wallace, M.K.; Winey, J.M.; Gupta, Y.M. Sound speed measurements in lithium fluoride single crystals shock compressed to 168 GPa along [100]. J. Appl. Phys. 2021, 130, 035901. [Google Scholar] [CrossRef]
- Briscoe, C.V.; Squire, C.F. Elastic Constants of LiF from 4.2K to 300K by Ultrasonic Methods. Phys. Rev. 1957, 106, 1175–1177. [Google Scholar] [CrossRef]
- Dressel, M.; Grüner, G. Electrodynamics of Solids: Optical Properties of Electrons in Matter; Cambridge University Press: Cambridge, UK, 2002. [Google Scholar]
- Dai, Y.M.; Akrap, A.; Bud’ko, S.L.; Canfield, P.C.; Homes, C.C. Optical properties of AFe2As2 (A = Ca, Sr, and Ba) single crystals. Phys. Rev. B 2016, 94, 195142. [Google Scholar] [CrossRef]
- Poirier, M.; Bilodeau, M.; Lefebvre, S.; Karki, A.B.; Jin, R. Ultrasonic and microwave investigation of the structural and magnetic transitions in CaFe2As2 and BaFe2As2 single crystals. Phys. Rev. B 2014, 89, 155129. [Google Scholar] [CrossRef]
- Fujii, C.; Simayi, S.; Sakano, K.; Sasaki, C.; Nakamura, M.; Nakanishi, Y.; Kihou, K.; Nakajima, M.; Lee, C.H.; Iyo, A.; et al. Anisotropic Grüneisen parameter and diverse order parameter fluctuations in iron-based superconductor Ba(Fe1−xCox)2As2. J. Phys. Soc. Jpn. 2018, 87, 074710. [Google Scholar] [CrossRef]
- Perdew, J.P.; Burke, K.; Ernzerhof, M. Generalized Gradient Approximation Made Simple. Phys. Rev. Lett. 1996, 77, 3865. [Google Scholar] [CrossRef] [PubMed]
- Craig, R.R.; Taleff, E.M. Mechanics of Materials; Wiley: New York, NY, USA, 1996; Volume 2. [Google Scholar]
- Hoffmann, R.; Zheng, C. Making and breaking bonds in the solid state: The ThCr2Si2 structure. J. Phys. Chem. 1985, 89, 4175–4181. [Google Scholar] [CrossRef]
- Abou Saleh, A.; Rudenko, A.; Douillard, L.; Pigeon, F.; Garrelie, F.; Colombier, J.P. Nanoscale imaging of ultrafast light coupling to self-organized nanostructures. ACS Photonics 2019, 6, 2287–2294. [Google Scholar] [CrossRef]
- Stinson, H.; Sternbach, A.; Najera, O.; Jing, R.; Mcleod, A.; Slusar, T.; Mueller, A.; Anderegg, L.; Kim, H.; Rozenberg, M.; et al. Imaging the nanoscale phase separation in vanadium dioxide thin films at terahertz frequencies. Nat. Commun. 2018, 9, 3604. [Google Scholar] [CrossRef]
- Kamboj, V.S.; Singh, A.; Ferrus, T.; Beere, H.E.; Duffy, L.B.; Hesjedal, T.; Barnes, C.H.; Ritchie, D.A. Probing the topological surface state in Bi2Se3 thin films using temperature-dependent terahertz spectroscopy. ACS Photonics 2017, 4, 2711–2718. [Google Scholar] [CrossRef]
- de la Torre, A.; Seyler, K.L.; Buchhold, M.; Baum, Y.; Zhang, G.; Laurita, N.J.; Harter, J.W.; Zhao, L.; Phinney, I.; Chen, X.; et al. Decoupling of static and dynamic criticality in a driven Mott insulator. Commun. Phys. 2022, 5, 35. [Google Scholar] [CrossRef]
- Ke, L.; Zhang, L.; Zhang, N.; Wu, Q.Y.S.; Leong, H.S.; Abdelaziem, A.; Mehta, J.S.; Liu, Y.C. Corneal elastic property investigated by terahertz technology. Sci. Rep. 2022, 12, 19229. [Google Scholar] [CrossRef]
- Juvé, V.; Crut, A.; Maioli, P.; Pellarin, M.; Broyer, M.; Del Fatti, N.; Vallée, F. Probing elasticity at the nanoscale: Terahertz acoustic vibration of small metal nanoparticles. Nano Lett. 2010, 10, 1853–1858. [Google Scholar] [CrossRef]
- Du, X.; Li, J.; Niu, G.; Yuan, J.H.; Xue, K.H.; Xia, M.; Pan, W.; Yang, X.; Zhu, B.; Tang, J. Lead halide perovskite for efficient optoacoustic conversion and application toward high-resolution ultrasound imaging. Nat. Commun. 2021, 12, 3348. [Google Scholar] [CrossRef] [PubMed]
- Hou, Y.; Nichele, F.; Chi, H.; Lodesani, A.; Wu, Y.; Ritter, M.F.; Haxell, D.Z.; Davydova, M.; Ilić, S.; Glezakou-Elbert, O.; et al. Ubiquitous superconducting diode effect in superconductor thin films. Phys. Rev. Lett. 2023, 131, 027001. [Google Scholar] [CrossRef] [PubMed]
- Luo, L.; Mootz, M.; Kang, J.H.; Huang, C.; Eom, K.; Lee, J.W.; Vaswani, C.; Collantes, Y.G.; Hellstrom, E.E.; Perakis, I.E.; et al. Quantum coherence tomography of light-controlled superconductivity. Nat. Phys. 2023, 19, 201. [Google Scholar] [CrossRef]
- Chen, S.; Yuan, S.; Hou, Z.; Tang, Y.; Zhang, J.; Wang, T.; Li, K.; Zhao, W.; Liu, X.; Chen, L.; et al. Recent progress on topological structures in ferroic thin films and heterostructures. Adv. Mater. 2021, 33, 2000857. [Google Scholar] [CrossRef]
- Thakur, B.; Kumar, Y.; Gupta, M.; Deshpande, U.; Shekar, N.C.; Chakravarty, S. Investigating the effect of thickness on the structural and magnetic properties of carbon thin film. Carbon 2022, 191, 205–214. [Google Scholar] [CrossRef]
- Kant, N.; Singh, P. Review of next generation photovoltaic solar cell technology and comparative materialistic development. Mater. Today Proc. 2022, 56, 3460–3470. [Google Scholar] [CrossRef]
- Moon, M.M.A.; Ali, M.H.; Rahman, M.F.; Kuddus, A.; Hossain, J.; Ismail, A.B.M. Investigation of thin-film p-BaSi2/n-CdS heterostructure towards semiconducting silicide based high efficiency solar cell. Phys. Scr. 2020, 95, 035506. [Google Scholar] [CrossRef]
- Li, W.; Shi, J.; Zhang, K.H.; MacManus-Driscoll, J.L. Defects in complex oxide thin films for electronics and energy applications: Challenges and opportunities. Mater. Horiz. 2020, 7, 2832–2859. [Google Scholar] [CrossRef]
- Ulyanenkov, A. Leptos: A universal software for x-ray reflectivity and diffraction. In Advances in Computational Methods for X-ray and Neutron Optics; SPIE: Bellingham, WA, USA, 2004; Volume 5536, pp. 1–15. [Google Scholar]


Disclaimer/Publisher’s Note: The statements, opinions and data contained in all publications are solely those of the individual author(s) and contributor(s) and not of MDPI and/or the editor(s). MDPI and/or the editor(s) disclaim responsibility for any injury to people or property resulting from any ideas, methods, instructions or products referred to in the content. |
© 2023 by the authors. Licensee MDPI, Basel, Switzerland. This article is an open access article distributed under the terms and conditions of the Creative Commons Attribution (CC BY) license (https://creativecommons.org/licenses/by/4.0/).
Share and Cite
Cheng, D.; Song, B.; Kang, J.-H.; Sundahl, C.; Edgeton, A.L.; Luo, L.; Park, J.-M.; Collantes, Y.G.; Hellstrom, E.E.; Mootz, M.; et al. Study of Elastic and Structural Properties of BaFe2As2 Ultrathin Film Using Picosecond Ultrasonics. Materials 2023, 16, 7031. https://doi.org/10.3390/ma16217031
Cheng D, Song B, Kang J-H, Sundahl C, Edgeton AL, Luo L, Park J-M, Collantes YG, Hellstrom EE, Mootz M, et al. Study of Elastic and Structural Properties of BaFe2As2 Ultrathin Film Using Picosecond Ultrasonics. Materials. 2023; 16(21):7031. https://doi.org/10.3390/ma16217031
Chicago/Turabian StyleCheng, Di, Boqun Song, Jong-Hoon Kang, Chris Sundahl, Anthony L. Edgeton, Liang Luo, Joong-Mok Park, Yesusa G. Collantes, Eric E. Hellstrom, Martin Mootz, and et al. 2023. "Study of Elastic and Structural Properties of BaFe2As2 Ultrathin Film Using Picosecond Ultrasonics" Materials 16, no. 21: 7031. https://doi.org/10.3390/ma16217031
APA StyleCheng, D., Song, B., Kang, J.-H., Sundahl, C., Edgeton, A. L., Luo, L., Park, J.-M., Collantes, Y. G., Hellstrom, E. E., Mootz, M., Perakis, I. E., Eom, C.-B., & Wang, J. (2023). Study of Elastic and Structural Properties of BaFe2As2 Ultrathin Film Using Picosecond Ultrasonics. Materials, 16(21), 7031. https://doi.org/10.3390/ma16217031

