Exploration of Methodologies for Developing Antimicrobial Fused Filament Fabrication Parts
Abstract
:1. Introduction
2. Materials and Methods
2.1. Materials
2.2. Development of a PLA-Based TiO2 Filament
2.3. Fabrication of 3D-Printed Specimens
2.4. Coating Methodology: Dispersion Immersion Method
2.5. Materials Characterization
2.5.1. Microscopy
2.5.2. Scanning Electron Microscopy (SEM)
2.5.3. X-ray Diffraction (XRD)
2.5.4. Differential Scanning Calorimetry (DSC)
2.5.5. Contact Angle Measurements
2.5.6. Tensile Testing
2.5.7. Antibacterial Testing Methodology
3. Results and Discussion
3.1. Scanning Electron Microscopy (SEM) and Optical Microscopy
3.2. X-ray Diffraction (XRD) Measurements
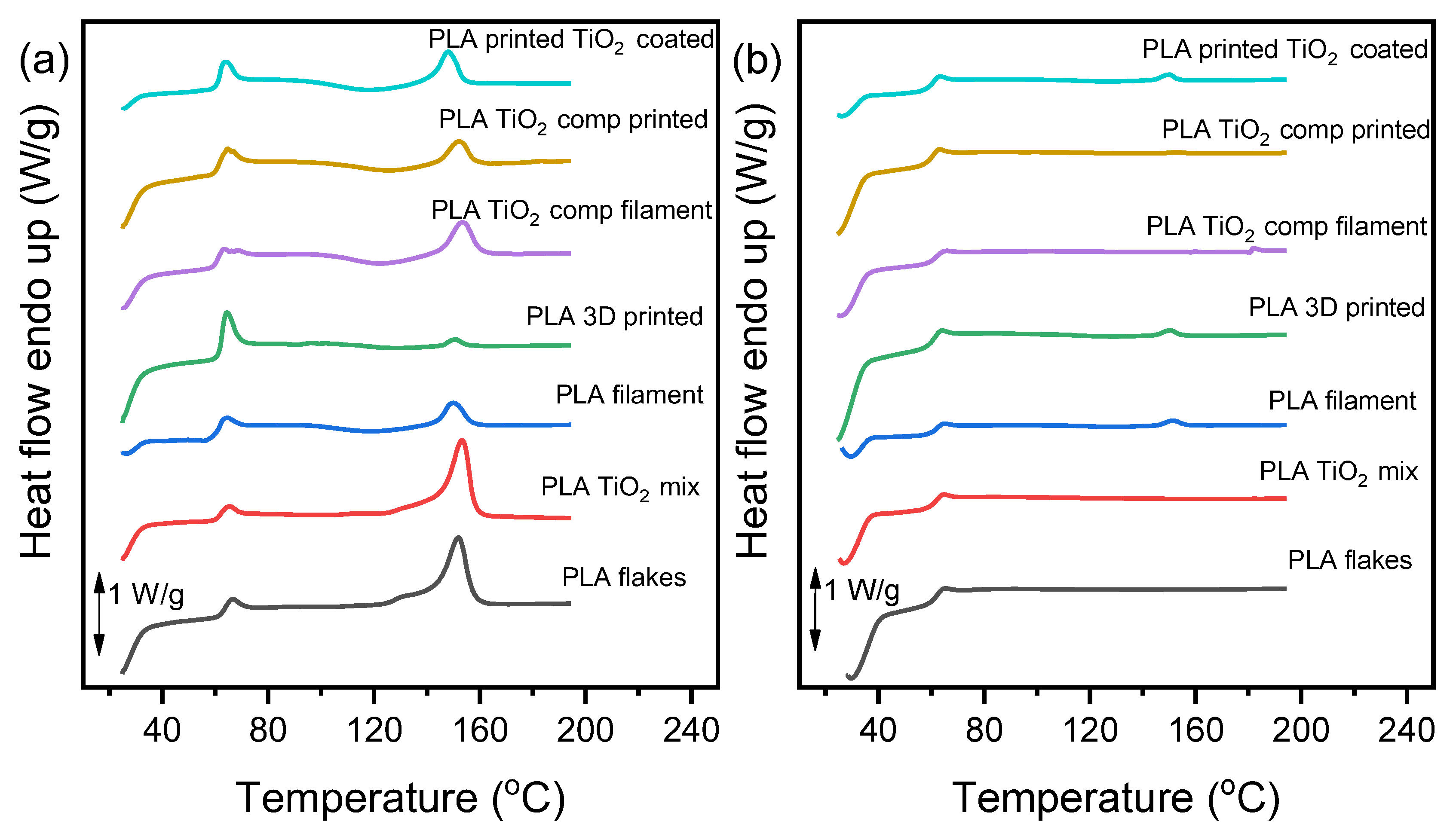
3.3. Differential Scanning Calorimetry (DSC) Measurements
3.4. Contact Angle Measurements
3.5. Tensile Testing Measurements
3.6. Antibacterial Testing Measurements
4. Conclusions
Author Contributions
Funding
Institutional Review Board Statement
Informed Consent Statement
Data Availability Statement
Acknowledgments
Conflicts of Interest
References
- Mastura, M.T.; Alkahari, M.R.; Syahibudil Ikhwan, A.K. Life Cycle Analysis of Fused Filament Fabrication: A Review. In Design for Sustainability; Elsevier: Amsterdam, The Netherlands, 2021; pp. 415–434. [Google Scholar] [CrossRef]
- Gao, X.; Qi, S.; Kuang, X.; Su, Y.; Li, J.; Wang, D. Fused Filament Fabrication of Polymer Materials: A Review of Interlayer Bond. Addit. Manuf. 2021, 37, 101658. [Google Scholar] [CrossRef]
- Pechlivani, E.M.; Pemas, S.; Kanlis, A.; Pechlivani, P.; Petrakis, S.; Papadimitriou, A.; Tzovaras, D.; Hatzistergos, K.E. Enhanced Growth of Bacterial Cells in a Smart 3D Printed Bioreactor. Micromachines 2023, 14, 1829. [Google Scholar] [CrossRef]
- García Plaza, E.; Núñez López, P.; Caminero Torija, M.; Chacón Muñoz, J. Analysis of PLA Geometric Properties Processed by FFF Additive Manufacturing: Effects of Process Parameters and Plate-Extruder Precision Motion. Polymers 2019, 11, 1581. [Google Scholar] [CrossRef]
- Moreno Nieto, D.; Alonso-García, M.; Pardo-Vicente, M.-A.; Rodríguez-Parada, L. Product Design by Additive Manufacturing for Water Environments: Study of Degradation and Absorption Behavior of PLA and PETG. Polymers 2021, 13, 1036. [Google Scholar] [CrossRef] [PubMed]
- Pechlivani, E.M.; Papadimitriou, A.; Pemas, S.; Ntinas, G.; Tzovaras, D. IoT-Based Agro-Toolbox for Soil Analysis and Environmental Monitoring. Micromachines 2023, 14, 1698. [Google Scholar] [CrossRef]
- Vidakis, N.; Petousis, M.; Velidakis, E.; Tzounis, L.; Mountakis, N.; Kechagias, J.; Grammatikos, S. Optimization of the Filler Concentration on Fused Filament Fabrication 3D Printed Polypropylene with Titanium Dioxide Nanocomposites. Materials 2021, 14, 3076. [Google Scholar] [CrossRef]
- Ngo, T.D.; Kashani, A.; Imbalzano, G.; Nguyen, K.T.Q.; Hui, D. Additive Manufacturing (3D Printing): A Review of Materials, Methods, Applications and Challenges. Compos. Part B Eng. 2018, 143, 172–196. [Google Scholar] [CrossRef]
- Ujfalusi, Z.; Pentek, A.; Told, R.; Schiffer, A.; Nyitrai, M.; Maroti, P. Detailed Thermal Characterization of Acrylonitrile Butadiene Styrene and Polylactic Acid Based Carbon Composites Used in Additive Manufacturing. Polymers 2020, 12, 2960. [Google Scholar] [CrossRef] [PubMed]
- Ranakoti, L.; Gangil, B.; Bhandari, P.; Singh, T.; Sharma, S.; Singh, J.; Singh, S. Promising Role of Polylactic Acid as an Ingenious Biomaterial in Scaffolds, Drug Delivery, Tissue Engineering, and Medical Implants: Research Developments, and Prospective Applications. Molecules 2023, 28, 485. [Google Scholar] [CrossRef]
- Bikiaris, N.D.; Koumentakou, I.; Samiotaki, C.; Meimaroglou, D.; Varytimidou, D.; Karatza, A.; Kalantzis, Z.; Roussou, M.; Bikiaris, R.D.; Papageorgiou, G.Z. Recent Advances in the Investigation of Poly(Lactic Acid) (PLA) Nanocomposites: Incorporation of Various Nanofillers and Their Properties and Applications. Polymers 2023, 15, 1196. [Google Scholar] [CrossRef]
- Balla, E.; Daniilidis, V.; Karlioti, G.; Kalamas, T.; Stefanidou, M.; Bikiaris, N.D.; Vlachopoulos, A.; Koumentakou, I.; Bikiaris, D.N. Poly(Lactic Acid): A Versatile Biobased Polymer for the Future with Multifunctional Properties—From Monomer Synthesis, Polymerization Techniques and Molecular Weight Increase to PLA Applications. Polymers 2021, 13, 1822. [Google Scholar] [CrossRef] [PubMed]
- Elsaka, S.E.; Hamouda, I.M.; Swain, M.V. Titanium Dioxide Nanoparticles Addition to a Conventional Glass-Ionomer Restorative: Influence on Physical and Antibacterial Properties. J. Dent. 2011, 39, 589–598. [Google Scholar] [CrossRef] [PubMed]
- Vidakis, N.; Petousis, M.; Mountakis, N.; Maravelakis, E.; Zaoutsos, S.; Kechagias, J.D. Mechanical Response Assessment of Antibacterial PA12/TiO2 3D Printed Parts: Parameters Optimization through Artificial Neural Networks Modeling. Int. J. Adv. Manuf. Technol. 2022, 121, 785–803. [Google Scholar] [CrossRef]
- Tekin, D.; Birhan, D.; Kiziltas, H. Thermal, Photocatalytic, and Antibacterial Properties of Calcinated Nano-TiO2/Polymer Composites. Mater. Chem. Phys. 2020, 251, 123067. [Google Scholar] [CrossRef]
- González, E.A.S.; Olmos, D.; Lorente, M.Á.; Vélaz, I.; González-Benito, J. Preparation and Characterization of Polymer Composite Materials Based on PLA/TiO2 for Antibacterial Packaging. Polymers 2018, 10, 1365. [Google Scholar] [CrossRef]
- Chen, W.; Nichols, L.; Brinkley, F.; Bohna, K.; Tian, W.; Priddy, M.W.; Priddy, L.B. Alkali Treatment Facilitates Functional Nano-Hydroxyapatite Coating of 3D Printed Polylactic Acid Scaffolds. Mater. Sci. Eng. C 2021, 120, 111686. [Google Scholar] [CrossRef]
- Pechlivani, E.M.; Papadimitriou, A.; Pemas, S.; Giakoumoglou, N.; Tzovaras, D. Low-Cost Hyperspectral Imaging Device for Portable Remote Sensing. Instruments 2023, 7, 32. [Google Scholar] [CrossRef]
- Reinhardt, M.; Kaufmann, J.; Kausch, M.; Kroll, L. PLA-Viscose-Composites with Continuous Fibre Reinforcement for Structural Applications. Procedia Mater. Sci. 2013, 2, 137–143. [Google Scholar] [CrossRef]
- Trivedi, A.K.; Gupta, M.K.; Singh, H. PLA Based Biocomposites for Sustainable Products: A Review. Adv. Ind. Eng. Polym. Res. 2023, 6, 382–395. [Google Scholar] [CrossRef]
- Grigora, M.-E.; Terzopoulou, Z.; Tsongas, K.; Bikiaris, D.N.; Tzetzis, D. Physicochemical Characterization and Finite Element Analysis-Assisted Mechanical Behavior of Polylactic Acid-Montmorillonite 3D Printed Nanocomposites. Nanomaterials 2022, 12, 2641. [Google Scholar] [CrossRef]
- Kahraman, Y.; Alkan Goksu, Y.; Özdemir, B.; Eker Gümüş, B.; Nofar, M. Composition Design of PLA/TPU Emulsion Blends Compatibilized with Multifunctional Epoxy-based Chain Extender to Tackle High Impact Resistant Ductile Structures. J. Appl. Polym. Sci. 2022, 139, 51833. [Google Scholar] [CrossRef]
- Standau, T.; Nofar, M.; Dörr, D.; Ruckdäschel, H.; Altstädt, V. A Review on Multifunctional Epoxy-Based Joncryl® ADR Chain Extended Thermoplastics. Polym. Rev. 2022, 62, 296–350. [Google Scholar] [CrossRef]
- Grigora, M.-E.; Terzopoulou, Z.; Tsongas, K.; Klonos, P.; Kalafatakis, N.; Bikiaris, D.N.; Kyritsis, A.; Tzetzis, D. Influence of Reactive Chain Extension on the Properties of 3D Printed Poly(Lactic Acid) Constructs. Polymers 2021, 13, 1381. [Google Scholar] [CrossRef]
- ASTM D638-14; Standard Test Method for Tensile Properties of Plastics. ASTM International: West Conshohocken, PA, USA, 2014.
- Lopera, A.A.; Bezzon, V.D.N.; Ospina, V.; Higuita-Castro, J.L.; Ramirez, F.J.; Ferraz, H.G.; Orlando, M.T.A.; Paucar, C.G.; Robledo, S.M.; Garcia, C.P. Obtaining a Fused PLA-Calcium Phosphate-Tobramycin-Based Filament for 3D Printing with Potential Antimicrobial Application. J. Korean Ceram. Soc. 2023, 60, 169–182. [Google Scholar] [CrossRef]
- Nájera, S.E.; Michel, M.; Kim, N.-S. 3D Printed PLA/PCL/TiO2 Composite for Bone Replacement and Grafting. MRS Adv. 2018, 3, 2373–2378. [Google Scholar] [CrossRef]
- Nájera, S.; Michel, M.; Kyung-Hwan, J.; Kim, J.N. Characterization of 3D Printed PLA/PCL/TiO2 Composites for Cancellous Bone. J. Mater. Sci. Eng. 2018, 7, 417. [Google Scholar] [CrossRef]
- Farid, T.; Herrera, V.N.; Kristiina, O. Investigation of Crystalline Structure of Plasticized Poly (Lactic Acid)/Banana Nanofibers Composites. IOP Conf. Ser. Mater. Sci. Eng. 2018, 369, 012031. [Google Scholar] [CrossRef]
- Sangiorgi, A.; Gonzalez, Z.; Ferrandez-Montero, A.; Yus, J.; Sanchez-Herencia, A.J.; Galassi, C.; Sanson, A.; Ferrari, B. 3D Printing of Photocatalytic Filters Using a Biopolymer to Immobilize TiO2 Nanoparticles. J. Electrochem. Soc. 2019, 166, H3239–H3248. [Google Scholar] [CrossRef]
- Marra, A.; Silvestre, C.; Kujundziski, A.P.; Chamovska, D.; Duraccio, D. Preparation and Characterization of Nanocomposites Based on PLA and TiO2 Nanoparticles Functionalized with Fluorocarbons. Polym. Bull. 2017, 74, 3027–3041. [Google Scholar] [CrossRef]
- Hebbar, R.S.; Isloor, A.M.; Ismail, A.F. Contact Angle Measurements. In Membrane Characterization; Elsevier: Amsterdam, The Netherlands, 2017; pp. 219–255. [Google Scholar] [CrossRef]
- Yekta-Fard, M.; Ponter, A.B. Factors Affecting the Wettability of Polymer Surfaces. J. Adhes. Sci. Technol. 1992, 6, 253–277. [Google Scholar] [CrossRef]
- Feng, S.; Zhang, F.; Ahmed, S.; Liu, Y. Physico-Mechanical and Antibacterial Properties of PLA/TiO2 Composite Materials Synthesized via Electrospinning and Solution Casting Processes. Coatings 2019, 9, 525. [Google Scholar] [CrossRef]
- Nakamura, R.; Imanishi, A.; Murakoshi, K.; Nakato, Y. In Situ FTIR Studies of Primary Intermediates of Photocatalytic Reactions on Nanocrystalline TiO2 Films in Contact with Aqueous Solutions. J. Am. Chem. Soc. 2003, 125, 7443–7450. [Google Scholar] [CrossRef]
- Zhang, X.; Xiao, G.; Wang, Y.; Zhao, Y.; Su, H.; Tan, T. Preparation of Chitosan-TiO2 Composite Film with Efficient Antimicrobial Activities under Visible Light for Food Packaging Applications. Carbohydr. Polym. 2017, 169, 101–107. [Google Scholar] [CrossRef] [PubMed]
- Baek, N.; Kim, Y.T.; Marcy, J.E.; Duncan, S.E.; O’Keefe, S.F. Physical Properties of Nanocomposite Polylactic Acid Films Prepared with Oleic Acid Modified Titanium Dioxide. Food Packag. Shelf. Life 2018, 17, 30–38. [Google Scholar] [CrossRef]
- Foruzanmehr, M.; Vuillaume, P.Y.; Elkoun, S.; Robert, M. Physical and Mechanical Properties of PLA Composites Reinforced by TiO2 Grafted Flax Fibers. Mater. Des. 2016, 106, 295–304. [Google Scholar] [CrossRef]
- Zhang, Q.; Li, D.; Zhang, H.; Su, G.; Li, G. Preparation and Properties of Poly(Lactic Acid)/Sesbania Gum/Nano-TiO2 Composites. Polym. Bull. 2018, 75, 623–635. [Google Scholar] [CrossRef]
- Zuo, M.; Pan, N.; Liu, Q.; Ren, X.; Liu, Y.; Huang, T.-S. Three-Dimensionally Printed Polylactic Acid/Cellulose Acetate Scaffolds with Antimicrobial Effect. RSC Adv. 2020, 10, 2952–2958. [Google Scholar] [CrossRef]
- Wang, Y.; Wang, S.; Zhang, Y.; Mi, J.; Ding, X. Synthesis of Dimethyl Octyl Aminoethyl Ammonium Bromide and Preparation of Antibacterial ABS Composites for Fused Deposition Modeling. Polymers 2020, 12, 2229. [Google Scholar] [CrossRef]
- Tylingo, R.; Kempa, P.; Banach-Kopeć, A.; Mania, S. A Novel Method of Creating Thermoplastic Chitosan Blends to Produce Cell Scaffolds by FDM Additive Manufacturing. Carbohydr. Polym. 2022, 280, 119028. [Google Scholar] [CrossRef]
- Pušnik Črešnar, K.; Aulova, A.; Bikiaris, D.N.; Lambropoulou, D.; Kuzmič, K.; Fras Zemljič, L. Incorporation of Metal-Based Nanoadditives into the PLA Matrix: Effect of Surface Properties on Antibacterial Activity and Mechanical Performance of PLA Nanoadditive Films. Molecules 2021, 26, 4161. [Google Scholar] [CrossRef]
- Su, W.; Wang, S.; Wang, X.; Fu, X.; Weng, J. Plasma Pre-Treatment and TiO2 Coating of PMMA for the Improvement of Antibacterial Properties. Surf. Coat. Technol. 2010, 205, 465–469. [Google Scholar] [CrossRef]
- Abdullah, T.; Qurban, R.O.; Bolarinwa, S.O.; Mirza, A.A.; Pasovic, M.; Memic, A. 3D Printing of Metal/Metal Oxide Incorporated Thermoplastic Nanocomposites With Antimicrobial Properties. Front. Bioeng. Biotechnol. 2020, 8, 568186. [Google Scholar] [CrossRef] [PubMed]











| Composite Filaments | Experimental Materials | ||
|---|---|---|---|
| PLA (wt.%) | TiO2 (wt.%) | Joncryl (wt.%) | |
| PLA/Joncryl | 98% | - | 2% |
| PLA/Joncryl/TiO2 | 93% | 5% | 2% |
| Type of Test | Dimensions of 3D-Printed Specimens |
|---|---|
| Scanning Electron Microscopy (SEM) | 10 × 2 × 1 mm |
| Tensile | ASTM D638 Standard, Type V [25] |
| Antibacterial | Φ 5 mm × 1 mm |
| Sample | 1st Heating | 2nd Heating | ||||||
|---|---|---|---|---|---|---|---|---|
| Tg | Tcc | Tm | Xc | Tg | Tcc | Tm | Xc | |
| PLA flakes | 61.9 | - | 151.9 | 33.5 | 60.7 | - | - | 0 |
| PLA TiO2 mix | 60.7 | - | 153.4 | 35.7 | 60.5 | - | - | 0 |
| PLA filament | 60.3 | 118.5 | 149.8 | 1.4 | 63.3 | 129.1 | 151.1 | 0 |
| PLA 3D printed | 61 | 127 | 150.7 | 0.0 | 59.7 | 127.7 | 150.7 | 0 |
| PLA TiO2 comp filament | 59.9 | 121.7 | 153.3 | 3.0 | 60.5 | - | - | 0 |
| PLA TiO2 comp printed | 61.8 | 124.7 | 152 | 1.1 | 58.9 | - | 152.7 | 0.1 |
| PLA TiO2 coated printed | 60.1 | 116.8 | 148.1 | 0.5 | 58.9 | 125.8 | 143.1 | 0 |
Disclaimer/Publisher’s Note: The statements, opinions and data contained in all publications are solely those of the individual author(s) and contributor(s) and not of MDPI and/or the editor(s). MDPI and/or the editor(s) disclaim responsibility for any injury to people or property resulting from any ideas, methods, instructions or products referred to in the content. |
© 2023 by the authors. Licensee MDPI, Basel, Switzerland. This article is an open access article distributed under the terms and conditions of the Creative Commons Attribution (CC BY) license (https://creativecommons.org/licenses/by/4.0/).
Share and Cite
Pemas, S.; Xanthopoulou, E.; Terzopoulou, Z.; Konstantopoulos, G.; Bikiaris, D.N.; Kottaridi, C.; Tzovaras, D.; Pechlivani, E.M. Exploration of Methodologies for Developing Antimicrobial Fused Filament Fabrication Parts. Materials 2023, 16, 6937. https://doi.org/10.3390/ma16216937
Pemas S, Xanthopoulou E, Terzopoulou Z, Konstantopoulos G, Bikiaris DN, Kottaridi C, Tzovaras D, Pechlivani EM. Exploration of Methodologies for Developing Antimicrobial Fused Filament Fabrication Parts. Materials. 2023; 16(21):6937. https://doi.org/10.3390/ma16216937
Chicago/Turabian StylePemas, Sotirios, Eleftheria Xanthopoulou, Zoi Terzopoulou, Georgios Konstantopoulos, Dimitrios N. Bikiaris, Christine Kottaridi, Dimitrios Tzovaras, and Eleftheria Maria Pechlivani. 2023. "Exploration of Methodologies for Developing Antimicrobial Fused Filament Fabrication Parts" Materials 16, no. 21: 6937. https://doi.org/10.3390/ma16216937
APA StylePemas, S., Xanthopoulou, E., Terzopoulou, Z., Konstantopoulos, G., Bikiaris, D. N., Kottaridi, C., Tzovaras, D., & Pechlivani, E. M. (2023). Exploration of Methodologies for Developing Antimicrobial Fused Filament Fabrication Parts. Materials, 16(21), 6937. https://doi.org/10.3390/ma16216937

