One More Step towards a Circular Economy for Thermal Insulation Materials—Development of Composites Highly Filled with Waste Polyurethane (PU) Foam for Potential Use in the Building Industry
Abstract
1. Introduction
2. Materials and Methods
2.1. Materials
2.2. Sample Preparation
2.3. Characterization
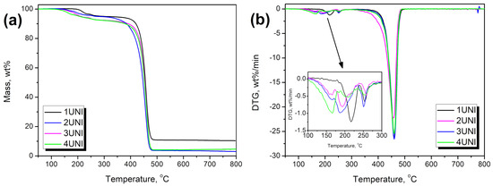
3. Results and Discussion
4. Conclusions
Author Contributions
Funding
Institutional Review Board Statement
Informed Consent Statement
Data Availability Statement
Conflicts of Interest
References
- Hong, M.; Chen, E.Y.-X. Future Directions for Sustainable Polymers. Trends Chem. 2019, 1, 148–151. [Google Scholar] [CrossRef]
- Thiounn, T.; Smith, R.C. Advances and Approaches for Chemical Recycling of Plastic Waste. J. Polym. Sci. 2020, 58, 1347–1364. [Google Scholar] [CrossRef]
- Häußler, M.; Eck, M.; Rothauer, D.; Mecking, S. Closed-Loop Recycling of Polyethylene-like Materials. Nature 2021, 590, 423–427. [Google Scholar] [CrossRef] [PubMed]
- Fortman, D.J.; Brutman, J.P.; de Hoe, G.X.; Snyder, R.L.; Dichtel, W.R.; Hillmyer, M.A. Approaches to Sustainable and Continually Recyclable Cross-Linked Polymers. ACS Sustain. Chem. Eng. 2018, 6, 11145–11159. [Google Scholar] [CrossRef]
- Liu, Y.; Yu, Z.; Wang, B.; Li, P.; Zhu, J.; Ma, S. Closed-Loop Chemical Recycling of Thermosetting Polymers and Their Applications: A Review. Green Chem. 2022, 24, 5691–5708. [Google Scholar] [CrossRef]
- Smoleń, J.; Olszowska, K.; Godzierz, M. Composites of Rigid Polyurethane Foam and Shredded Car Window Glass Particles—Structure and Mechanical Properties. Compos. Theory Pract. 2021, 21, 135–140. [Google Scholar]
- Bukowczan, A.; Hebda, E.; Michałowski, S.; Pielichowski, K. Modification of Polyurethane Viscoelastic Foams by Functionalized Polyhedral Oligomeric Silsesquioxanes (POSS). Compos. Theory Pract. 2018, 18, 77–81. [Google Scholar]
- Stachak, P.; Hebda, E.; Pielichowski, K. Foaming Extrusion of Thermoplastic Polyurethane Modified by POSS Nanofillers. Compos. Theory Pract. 2019, 19, 23–29. [Google Scholar]
- Małysa, T.; Nowacki, K.; Wieczorek, J. Assessment of Sound Absorbing Properties of Polyurethane Sandwich System. Compos. Theory Pract. 2016, 16, 244–248. [Google Scholar]
- Kozioł, M.; Nowacki, K.; Wieczorek, J.; Małysa, T. Evaluation of Mechanical Properties of Polymer Sandwich Systems Used for Noise Reduction Purposes. Compos. Theory Pract. 2015, 15, 158–162. [Google Scholar]
- Augaitis, N.; Vaitkus, S.; Członka, S.; Kairytė, A. Research of Wood Waste as a Potential Filler for Loose-Fill Building Insulation: Appropriate Selection and Incorporation into Polyurethane Biocomposite Foams. Materials 2020, 13, 5336. [Google Scholar] [CrossRef]
- Abu-Jdayil, B.; Mourad, A.-H.; Hittini, W.; Hassan, M.; Hameedi, S. Traditional, State-of-the-Art and Renewable Thermal Building Insulation Materials: An Overview. Constr. Build. Mater. 2019, 214, 709–735. [Google Scholar] [CrossRef]
- Kurańska, M.; Barczewski, R.; Barczewski, M.; Prociak, A.; Polaczek, K. Thermal Insulation and Sound Absorption Properties of Open-Cell Polyurethane Foams Modified with Bio-Polyol Based on Used Cooking Oil. Materials 2020, 13, 5673. [Google Scholar] [CrossRef] [PubMed]
- Stanzione, M.; Russo, V.; Oliviero, M.; Verdolotti, L.; Sorrentino, A.; di Serio, M.; Tesser, R.; Iannace, S.; Lavorgna, M. Synthesis and Characterization of Sustainable Polyurethane Foams Based on Polyhydroxyls with Different Terminal Groups. Polymer 2018, 149, 134–145. [Google Scholar] [CrossRef]
- Jiang, L.; Ren, Z.; Zhao, W.; Liu, W.; Liu, H.; Zhu, C. Synthesis and Structure/Properties Characterizations of Four Polyurethane Model Hard Segments. R. Soc. Open Sci. 2018, 5, 180536. [Google Scholar] [CrossRef]
- Choe, H.; Lee, J.H.; Kim, J.H. Polyurethane Composite Foams Including CaCO3 Fillers for Enhanced Sound Absorption and Compression Properties. Compos Sci. Technol. 2020, 194, 108153. [Google Scholar] [CrossRef]
- Deng, Y.; Dewil, R.; Appels, L.; Ansart, R.; Baeyens, J.; Kang, Q. Reviewing the Thermo-Chemical Recycling of Waste Polyurethane Foam. J. Environ. Manage. 2021, 278, 111527. [Google Scholar] [CrossRef]
- Cregut, M.; Bedas, M.; Durand, M.-J.; Thouand, G. New Insights into Polyurethane Biodegradation and Realistic Prospects for the Development of a Sustainable Waste Recycling Process. Biotechnol. Adv. 2013, 31, 1634–1647. [Google Scholar] [CrossRef]
- He, M.; Gu, K.; Wang, Y.; Li, Z.; Shen, Z.; Liu, S.; Wei, J. Development of High-Performance Thermoplastic Composites Based on Polyurethane and Ground Tire Rubber by in-Situ Synthesis. Resour. Conserv. Recycl. 2021, 173, 105713. [Google Scholar] [CrossRef]
- Zia, K.M.; Bhatti, H.N.; Ahmad Bhatti, I. Methods for Polyurethane and Polyurethane Composites, Recycling and Recovery: A Review. React. Funct. Polym. 2007, 67, 675–692. [Google Scholar] [CrossRef]
- Datta, J. Effect of glycols used as glycolysis agents on chemical structure and thermal stability of the produced glycolysates. J. Therm. Anal. Calorim. 2012, 109, 517–520. [Google Scholar] [CrossRef]
- Gama, N.; Godinho, B.; Marques, G.; Silva, R.; Barros-Timmons, A.; Ferreira, A. Recycling of polyurethane scraps via acidolysis. Chem. Eng. J. 2020, 395, 125102. [Google Scholar] [CrossRef]
- Kemona, A.; Piotrowska, M. Polyurethane Recycling and Disposal: Methods and Prospects. Polymers 2020, 12, 1752. [Google Scholar] [CrossRef] [PubMed]
- Zhu, P.; Cao, Z.B.; Chen, Y.; Zhang, X.J.; Qian, G.R.; Chu, Y.L.; Zhou, M. Glycolysis Recycling of Rigid Waste Polyurethane Foam from Refrigerators. Environ. Technol. 2014, 35, 2676–2684. [Google Scholar] [CrossRef]
- Stančin, H.; Růžičková, J.; Mikulčić, H.; Raclavská, H.; Kucbel, M.; Wang, X.; Duić, N. Experimental Analysis of Waste Polyurethane from Household Appliances and Its Utilization Possibilities. J. Environ. Manage 2019, 243, 105–115. [Google Scholar] [CrossRef]
- Kanchanapiya, P.; Intaranon, N.; Tantisattayakul, T. Assessment of the Economic Recycling Potential of a Glycolysis Treatment of Rigid Polyurethane Foam Waste: A Case Study from Thailand. J. Environ. Manage 2021, 280, 111638. [Google Scholar] [CrossRef]
- Godinho, B.; Gama, N.; Barros-Timmons, A.; Ferreira, A. Recycling of Different Types of Polyurethane Foam Wastes via Acidolysis to Produce Polyurethane Coatings. Sustain. Mater. Technol. 2021, 29, e00330. [Google Scholar] [CrossRef]
- Kiss, G.; Rusu, G.; Peter, F.; Tănase, I.; Bandur, G. Recovery of Flexible Polyurethane Foam Waste for Efficient Reuse in Industrial Formulations. Polymers 2020, 12, 1533. [Google Scholar] [CrossRef] [PubMed]
- Shin, S.; Kim, H.; Liang, J.; Lee, S.; Lee, D. Sustainable Rigid Polyurethane Foams Based on Recycled Polyols from Chemical Recycling of Waste Polyurethane Foams. J. Appl. Polym. Sci. 2019, 136, 47916. [Google Scholar] [CrossRef]
- Ginga, C.P.; Ongpeng, J.M.C.; Daly, M.K.M. Circular Economy on Construction and Demolition Waste: A Literature Review on Material Recovery and Production. Materials 2020, 13, 2970. [Google Scholar] [CrossRef]
- Shanmugam, V.; Das, O.; Neisiany, R.E.; Babu, K.; Singh, S.; Hedenqvist, M.S.; Berto, F.; Ramakrishna, S. Polymer Recycling in Additive Manufacturing: An Opportunity for the Circular Economy. Mater. Circ. Econ. 2020, 2, 11. [Google Scholar] [CrossRef]
- Kosmela, P.; Olszewski, A.; Zedler, Ł.; Burger, P.; Piasecki, A.; Formela, K.; Hejna, A. Ground Tire Rubber Filled Flexible Polyurethane Foam—Effect of Waste Rubber Treatment on Composite Performance. Materials 2021, 14, 3807. [Google Scholar] [CrossRef] [PubMed]
- Żukowska, W.; Kosmela, P.; Wojtasz, P.; Szczepański, M.; Piasecki, A.; Barczewski, R.; Barczewski, M.; Hejna, A. Comprehensive Enhancement of Prepolymer-Based Flexible Polyurethane Foams’ Performance by Introduction of Cost-Effective Waste-Based Ground Tire Rubber Particles. Materials 2022, 15, 5728. [Google Scholar] [CrossRef]
- Piszczyk, L.; Hejna, A.; Formela, K.; Danowska, M.; Strankowski, M. Rigid Polyurethane Foams Modified with Ground Tire Rubber—Mechanical, Morphological and Thermal Studies. Cell. Polym. 2015, 34, 45–62. [Google Scholar] [CrossRef]
- Bandegi, A.; Montemayor, M.; Manas-Zloczower, I. Vitrimerization of Rigid Thermoset Polyurethane Foams: A Mechanochemical Method to Recycle and Reprocess Thermosets. Polym. Adv. Technol. 2022, 33, 3750–3758. [Google Scholar] [CrossRef]
- Nikje, M.M.A.; Garmarudi, A.B.; Idris, A.B. Polyurethane Waste Reduction and Recycling: From Bench to Pilot Scales. Des. Monomers Polym. 2011, 14, 395–421. [Google Scholar] [CrossRef]
- Beran, R.; Zarybnicka, L.; Machova, D. Recycling of Rigid Polyurethane Foam: Micro-milled Powder Used as Active Filler in Polyurethane Adhesives. J. Appl. Polym. Sci. 2020, 137, 49095. [Google Scholar] [CrossRef]
- Jin, F.-L.; Zhao, M.; Park, M.; Park, S.-J. Recent Trends of Foaming in Polymer Processing: A Review. Polymers 2019, 11, 953. [Google Scholar] [CrossRef]
- Doyle, L.; Weidlich, I.; di Maio, E. Developing Insulating Polymeric Foams: Strategies and Research Needs from a Circular Economy Perspective. Materials 2022, 15, 6212. [Google Scholar] [CrossRef]
- Gama, N.; Ferreira, A.; Barros-Timmons, A. Polyurethane Foams: Past, Present, and Future. Materials 2018, 11, 1841. [Google Scholar] [CrossRef]
- Mannella, G.A.; Conoscenti, G.; Carfì Pavia, F.; la Carrubba, V.; Brucato, V. Preparation of Polymeric Foams with a Pore Size Gradient via Thermally Induced Phase Separation (TIPS). Mater. Lett. 2015, 160, 31–33. [Google Scholar] [CrossRef]
- Liu, S.; Duvigneau, J.; Vancso, G.J. Nanocellular Polymer Foams as Promising High Performance Thermal Insulation Materials. Eur. Polym. J. 2015, 65, 33–45. [Google Scholar] [CrossRef]
- Önder, A.; Robinson, M. Investigating the Feasibility of a New Testing Method for GFRP/Polymer Foam Sandwich Composites Used in Railway Passenger Vehicles. Compos Struct. 2020, 233, 111576. [Google Scholar] [CrossRef]
- Shah, D.U.; Vollrath, F.; Porter, D. Silk Cocoons as Natural Macro-Balloon Fillers in Novel Polyurethane-Based Syntactic Foams. Polymer 2015, 56, 93–101. [Google Scholar] [CrossRef]
- Wu, G.; Xie, P.; Yang, H.; Dang, K.; Xu, Y.; Sain, M.; Turng, L.-S.; Yang, W. A Review of Thermoplastic Polymer Foams for Functional Applications. J. Mater. Sci. 2021, 56, 11579–11604. [Google Scholar] [CrossRef]
- Polypropylene Handbook; Karger-Kocsis, J., Bárány, T., Eds.; Springer International Publishing: Cham, Switzerland, 2019; ISBN 978-3-030-12902-6. [Google Scholar]
- Mohebbi, A.; Mighri, F.; Ajji, A.; Rodrigue, D. Current Issues and Challenges in Polypropylene Foaming: A Review. Cell. Polym. 2015, 34, 299–338. [Google Scholar] [CrossRef]
- Záleská, M.; Pavlíková, M.; Jankovský, O.; Lojka, M.; Pivák, A.; Pavlík, Z. Experimental Analysis of MOC Composite with a Waste-Expanded Polypropylene-Based Aggregate. Materials 2018, 11, 931. [Google Scholar] [CrossRef] [PubMed]
- Pavlík, Z.; Pavlíková, M.; Záleská, M. Properties of Concrete with Plastic Polypropylene Aggregates. In Use of Recycled Plastics in Eco-efficient Concrete; Elsevier: Amsterdam, The Netherlands, 2019; pp. 189–213. [Google Scholar]
- Memon, M.J.; Jhatial, A.A.; Murtaza, A.; Raza, M.S.; Phulpoto, K.B. Production of Eco-Friendly Concrete Incorporating Rice Husk Ash and Polypropylene Fibres. Environ. Sci. Pollut. Res. 2021, 28, 39168–39184. [Google Scholar] [CrossRef]
- Ye, P.; Chen, Z.; Su, W. Mechanical Properties of Fully Recycled Coarse Aggregate Concrete with Polypropylene Fiber. Case Stud. Constr. Mater. 2022, 17, e01352. [Google Scholar] [CrossRef]
- Záleská, M.; Pavlíková, M.; Studnička, J.; Pavlík, Z. Effect of Waste Expanded Polypropylene-Based Aggregate on Mechanical and Thermal Properties of Lightweight Concrete. IOP Conf. Ser. Mater. Sci. Eng. 2018, 371, 012002. [Google Scholar] [CrossRef]
- Witik, R.A.; Payet, J.; Michaud, V.; Ludwig, C.; Månson, J.-A.E. Assessing the Life Cycle Costs and Environmental Performance of Lightweight Materials in Automobile Applications. Compos Part A Appl. Sci. Manuf. 2011, 42, 1694–1709. [Google Scholar] [CrossRef]
- Baechler, C.; DeVuono, M.; Pearce, J.M. Distributed Recycling of Waste Polymer into RepRap Feedstock. Rapid Prototyp. J. 2013, 19, 118–125. [Google Scholar] [CrossRef]
- Vilar, W.D. Química e Tecnologia Dos Poliuretanos, 2nd ed.; Vilar Consultoria Técnica Ltda: Rio de Janeiro, Brazil, 1998. [Google Scholar]
- Chen, X.; Griesser, U.J.; Te, R.L.; Pfeiffer, R.R.; Morris, K.R.; Stowell, J.G.; Byrn, S.R. Analysis of the Acid–Base Reaction between Solid Indomethacin and Sodium Bicarbonate Using Infrared Spectroscopy, X-Ray Powder Diffraction, and Solid-State Nuclear Magnetic Resonance Spectroscopy. J. Pharm. Biomed. Anal. 2005, 38, 670–677. [Google Scholar] [CrossRef] [PubMed]
- Ball, M.C.; Snelling, C.M.; Strachan, A.N.; Strachan, R.M. Thermal Decomposition of Solid Sodium Bicarbonate. J. Chem. Soc. Faraday Trans. 1 Phys. Chem. Condens. Phases 1986, 82, 3709. [Google Scholar] [CrossRef]
- Sadik, T.; Pillon, C.; Carrot, C.; Reglero Ruiz, J.-A. Dsc Studies on the Decomposition of Chemical Blowing Agents Based on Citric Acid and Sodium Bicarbonate. Thermochim. Acta 2018, 659, 74–81. [Google Scholar] [CrossRef]
- Kim, D.Y.; Kim, G.H.; Lee, D.Y.; Seo, K.H. Effects of Compatibility on Foaming Behavior of Polypropylene/Polyolefin Elastomer Blends Prepared Using a Chemical Blowing Agent. J. Appl. Polym. Sci. 2017, 134, 45201. [Google Scholar] [CrossRef]
- Olszewski, A.; Kosmela, P.; Piasecki, A.; Żukowska, W.; Szczepański, M.; Wojtasz, P.; Barczewski, M.; Barczewski, R.; Hejna, A. Comprehensive Investigation of Stoichiometry–Structure–Performance Relationships in Flexible Polyurethane Foams. Polymers 2022, 14, 3813. [Google Scholar] [CrossRef]
- Piszczyk, L.; Hejna, A.; Danowska, M.; Strankowski, M.; Formela, K. Polyurethane/Ground Tire Rubber Composite Foams Based on Polyglycerol: Processing, Mechanical and Thermal Properties. J. Reinf. Plast. Compos. 2015, 34, 708–717. [Google Scholar] [CrossRef]
- Hejna, A.; Kosmela, P.; Kirpluks, M.; Cabulis, U.; Klein, M.; Haponiuk, J.; Piszczyk, Ł. Structure, Mechanical, Thermal and Fire Behavior Assessments of Environmentally Friendly Crude Glycerol-Based Rigid Polyisocyanurate Foams. J. Polym. Environ. 2018, 26, 1854–1868. [Google Scholar] [CrossRef]
- Olszewski, A.; Kosmela, P.; Żukowska, W.; Wojtasz, P.; Szczepański, M.; Barczewski, M.; Zedler, Ł.; Formela, K.; Hejna, A. Insights into Stoichiometry Adjustments Governing the Performance of Flexible Foamed Polyurethane/Ground Tire Rubber Composites. Polymers 2022, 14, 3838. [Google Scholar] [CrossRef]
- Hejna, A.; Olszewski, A.; Zedler, Ł.; Kosmela, P.; Formela, K. The Impact of Ground Tire Rubber Oxidation with H2O2 and KMnO4 on the Structure and Performance of Flexible Polyurethane/Ground Tire Rubber Composite Foams. Materials 2021, 14, 499. [Google Scholar] [CrossRef]
- Llantoy, N.; Chafer, M.; Cabeza, L.F. A comparative life cycle assessment (LCA) of different insulation materials for buildings in the continental Mediterranean climate. Energ. Buildings 2020, 225, 110323. [Google Scholar] [CrossRef]
- Yang, C.; Zhang, Q.; Zhang, W.; Xia, M.; Yan, K.; Lu, J.; Wu, G. High Thermal Insulation and Compressive Strength Polypropylene Microcellular Foams with Honeycomb Structure. Polym. Degrad. Stab. 2021, 183, 109406. [Google Scholar] [CrossRef]
- Mukhopadhyaya, P.; Kumaran, K.; Normandin, N.; van Reenen, D.; Lackey, J. High-Performance Vacuum Insulation Panel: Development of Alternative Core Materials. J. Cold Reg. Eng. 2008, 22, 103–123. [Google Scholar] [CrossRef]
- Zhang, H.; Fang, W.-Z.; Li, Y.-M.; Tao, W.-Q. Experimental Study of the Thermal Conductivity of Polyurethane Foams. Appl. Therm. Eng. 2017, 115, 528–538. [Google Scholar] [CrossRef]
- Lin, T.A.; Lin, M.-C.; Lin, J.-Y.; Lin, J.-H.; Chuang, Y.-C.; Lou, C.-W. Modified Polypropylene/ Thermoplastic Polyurethane Blends with Maleic-Anhydride Grafted Polypropylene: Blending Morphology and Mechanical Behaviors. J. Polym. Res. 2020, 27, 34. [Google Scholar] [CrossRef]
- Kannan, M.; Bhagawan, S.S.; Thomas, S.; Joseph, K. Nanoclay Effect on Transport Properties of Thermoplastic Polyurethane/Polypropylene (TPU/PP) Blends. J. Polym. Res. 2013, 20, 201. [Google Scholar] [CrossRef]
- Hejna, A.; Barczewski, M.; Andrzejewski, J.; Kosmela, P.; Piasecki, A.; Szostak, M.; Kuang, T. Rotational Molding of Linear Low-Density Polyethylene Composites Filled with Wheat Bran. Polymers 2020, 12. [Google Scholar] [CrossRef]
- Kannan, M.; Bhagawan, S.S.; Thomas, S.; Joseph, K. Studies on Electrical Properties of Nanoclay Filled Thermoplastic Polyurethane/Polypropylene Blends. Polym. Compos. 2014, 35, 1671–1682. [Google Scholar] [CrossRef]
- Kannan, M.; Bhagawan, S.S.; Jose, T.; Thomas, S.; Joseph, K. Preparation and Characterization of Nanoclay-Filled Polyurethane/Polypropylene Blends. Polym. Eng. Sci. 2010, 50, 1878–1886. [Google Scholar] [CrossRef]
- Matthes, R.; Bapp, C.; Wagner, M.; Zarbakhsh, S.; Frey, H. Unexpected Random Copolymerization of Propylene Oxide with Glycidyl Methyl Ether via Double Metal Cyanide Catalysis: Introducing Polarity in Polypropylene Oxide. Macromolecules 2021, 54, 11228–11237. [Google Scholar] [CrossRef]
- Wang, F.; Lu, M.; Zhou, S.; Lu, Z.; Ran, S. Effect of Fiber Surface Modification on the Interfacial Adhesion and Thermo-Mechanical Performance of Unidirectional Epoxy-Based Composites Reinforced with Bamboo Fibers. Molecules 2019, 24, 2682. [Google Scholar] [CrossRef] [PubMed]
- Luo, W.; Zhang, B.; Zou, H.; Liang, M.; Chen, Y. Enhanced Interfacial Adhesion between Polypropylene and Carbon Fiber by Graphene Oxide/Polyethyleneimine Coating. J. Ind. Eng. Chem. 2017, 51, 129–139. [Google Scholar] [CrossRef]
- Yoo, S.I.; Lee, T.Y.; Yoon, J.-S.; Lee, I.-M.; Kim, M.-N.; Lee, H.S. Interfacial Adhesion Reaction of Polyethylene and Starch Blends Using Maleated Polyethylene Reactive Compatibilizer. J. Appl. Polym. Sci. 2002, 83, 767–776. [Google Scholar] [CrossRef]
- Bao, J.-B.; Nyantakyi Junior, A.; Weng, G.-S.; Wang, J.; Fang, Y.-W.; Hu, G.-H. Tensile and Impact Properties of Microcellular Isotactic Polypropylene (PP) Foams Obtained by Supercritical Carbon Dioxide. J. Supercrit. Fluids 2016, 111, 63–73. [Google Scholar] [CrossRef]
- Korol, J.; Hejna, A.; Wypiór, K.; Mijalski, K.; Chmielnicka, E. Wastes from Agricultural Silage Film Recycling Line as a Potential Polymer Materials. Polymers 2021, 13, 1383. [Google Scholar] [CrossRef]
- Dong, W.; Wang, X.; Jiang, Z.; Tian, B.; Liu, Y.; Yang, J.; Zhou, W. Acetylated SEBS Enhanced DC Insulation Performances of Polyethylene. Polymers 2019, 11, 1033. [Google Scholar] [CrossRef]
- Kargin, V.A.; Sogolova, T.I.; Shaposhnikova, T.K. The Mechanism of the Nucleation Effect of Solid Particles in Crystallizing Polymers. Polym. Sci. U.S.S.R. 1965, 7, 423–428. [Google Scholar] [CrossRef]
- Lima, P.S.; Trocolli, R.; Wellen, R.M.R.; Rojo, L.; Lopez-Manchado, M.A.; Fook, M.V.L.; Silva, S.M.L. HDPE/Chitosan Composites Modified with PE-g-MA. Thermal, Morphological and Antibacterial Analysis. Polymers 2019, 11, 1559. [Google Scholar] [CrossRef]
- Koebel, M.; Strutz, E.O. Thermal and Hydrolytic Decomposition of Urea for Automotive Selective Catalytic Reduction Systems: Thermochemical and Practical Aspects. Ind. Eng. Chem. Res. 2003, 42, 2093–2100. [Google Scholar] [CrossRef]
- Barczewski, M.; Sałasińska, K.; Kloziński, A.; Skórczewska, K.; Szulc, J.; Piasecki, A. Application of the Basalt Powder as a Filler for Polypropylene Composites With Improved Thermo-Mechanical Stability and Reduced Flammability. Polym. Eng. Sci. 2019, 59, E71–E79. [Google Scholar] [CrossRef]
- Hejna, A.; Kopczyńska, M.; Kozłowska, U.; Klein, M.; Kosmela, P.; Piszczyk, Ł. Foamed Polyurethane Composites with Different Types of Ash—Morphological, Mechanical and Thermal Behavior Assessments. Cell. Polym. 2016, 35, 287–308. [Google Scholar] [CrossRef]












| Sample | First Step | Second Step | |||||
|---|---|---|---|---|---|---|---|
| Volume Content, vol% | Mass Content, wt% | ||||||
| PP | PUR | Glycerol | Premix | C20 | GM | UNI | |
| PP | 100.0 | 0.0 | 0.0 | 100 | 0 | 0 | 0 |
| PPPUR | 32.5 | 65.0 | 2.5 | 100 | 0 | 0 | 0 |
| 1C20 | 100.0 | 0.0 | 0.0 | 90 | 10 | 0 | 0 |
| 2C20 | 32.5 | 65.0 | 2.5 | 85 | 15 | 0 | 0 |
| 3C20 | 24.2 | 72.7 | 3.1 | 85 | 15 | 0 | 0 |
| 4C20 | 19.3 | 77.4 | 3.3 | 85 | 15 | 0 | 0 |
| 1GM | 100.0 | 0.0 | 0.0 | 90 | 0 | 10 | 0 |
| 2GM | 32.5 | 65.0 | 2.5 | 85 | 0 | 15 | 0 |
| 3GM | 24.2 | 72.7 | 3.1 | 85 | 0 | 15 | 0 |
| 4GM | 19.3 | 77.4 | 3.3 | 85 | 0 | 15 | 0 |
| 1UNI | 100.0 | 0.0 | 0.0 | 90 | 0 | 0 | 10 |
| 2UNI | 32.5 | 65.0 | 2.5 | 90 | 0 | 0 | 10 |
| 3UNI | 24.2 | 72.7 | 3.1 | 90 | 0 | 0 | 10 |
| 4UNI | 19.3 | 77.4 | 3.3 | 90 | 0 | 0 | 10 |
| Sample | Tensile Strength, MPa | Elongation at Break, % | Tensile Modulus, MPa | External Hardness, ShA | Internal Hardness, ShA |
|---|---|---|---|---|---|
| PP | 31.9 ± 0.2 | 197.1 ± 29.1 | 1399 ± 24 | 98.5 ± 0.7 | 98.0 ± 0.3 |
| PPPUR | 18.8 ± 2.4 | 6.4 ± 1.3 | 1263 ± 76 | 97.8 ± 1.3 | 96.7 ± 0.2 |
| 1C20 | 21.1 ± 0.9 | 23.3 ± 5.0 | 1159 ± 44 | 98.3 ± 0.9 | 96.4 ± 0.7 |
| 2C20 | 20.9 ± 0.9 | 11.4 ± 3.1 | 1166 ± 35 | 98.3 ± 0.2 | 96.3 ± 0.3 |
| 3C20 | 18.4 ± 2.6 | 5.5 ± 2.3 | 1053 ± 24 | 98.0 ± 0.6 | 94.8 ± 0.1 |
| 4C20 | 13.6 ± 1.6 | 4.3 ± 2.5 | 835 ± 11 | 96.7 ± 0.4 | 93.2 ± 0.4 |
| 1GM | 22.9 ± 0.4 | 20.3 ± 4.2 | 1365 ± 3 | 97.6 ± 1.1 | 97.6 ± 0.8 |
| 2GM | 16.4 ± 2.0 | 12.0 ± 1.7 | 981 ± 24 | 97.4 ± 0.1 | 95.5 ± 0.1 |
| 3GM | 16.4 ± 2.6 | 7.5 ± 2.3 | 948 ± 13 | 95.8 ± 0.2 | 95.0 ± 0.4 |
| 4GM | 5.8 ± 0.4 | 3.6 ± 0.2 | 722 ± 47 | 94.4 ± 0.6 | 92.8 ± 0.2 |
| 1UNI | 22.2 ± 1.1 | 21.8 ± 9.7 | 1162 ± 54 | 96.0 ± 0.3 | 81.0 ± 0.3 |
| 2UNI | 13.5 ± 3.2 | 2.7 ± 1.3 | 928 ± 16 | 96.1 ± 0.9 | 94.3 ± 1.1 |
| 3UNI | 9.5 ± 2.1 | 3.3 ± 1.1 | 629 ± 60 | 92.0 ± 1.0 | 71.0 ± 0.9 |
| 4UNI | 8.8 ± 2.0 | 2.6 ± 1.2 | 527 ± 18 | 91.8 ± 0.2 | 81.2 ± 0.7 |
| Sample | Tm1, °C | Tm2, °C | Tc1, °C | Tc2, °C |
|---|---|---|---|---|
| PP | - | 166.5 | - | 115.5 |
| PPPUR | - | 165.8 | - | 115.8 |
| 1C20 | 101.3 | 165.8 | 95.7 | 123.1 |
| 2C20 | 101.5 | 163.2 | 93.7 | 122.2 |
| 3C20 | 102.5 | 163.8 | 92.8 | 117.9 |
| 4C20 | 102.8 | 163.7 | 92.2 | 118.0 |
| 1GM | 101.5 | 164.1 | - | 124.0 |
| 2GM | 102.3 | 164.6 | - | 123.1 |
| 3GM | 104.8 | 166.1 | 113.6 | 119.8 |
| 4GM | - | 168.6 | 112.3 | - |
| 1UNI | 99.4 | 163.0 | 98.2 | 126.4 |
| 2UNI | 99.4 | 161.8 | 96.7 | 118.2 |
| 3UNI | 99.3 | 163.8 | 85.6 | 115.1 |
| 4UNI | 100.4 | 162.8 | 85.6 | 116.1 |
| Sample | T−2%, °C | T−5%, °C | T−10%, °C | T-50%, °C | Residue, wt% | Tmax1, °C | Tmax2, °C | Tmax3, °C |
|---|---|---|---|---|---|---|---|---|
| PP | 413.6 | 425.5 | 435.0 | 457.7 | 3.11 | - | - | 459.6 |
| PPPUR | 187.3 | 236.4 | 418.3 | 461.2 | 2.98 | - | 239.4 | 464.0 |
| 1C20 | 419.5 | 430.4 | 438.6 | 459.2 | 3.48 | - | - | 459.8 |
| 2C20 | 200.6 | 288.5 | 429.7 | 459.8 | 3.42 | - | 230.3 | 461.6 |
| 3C20 | 195.3 | 245.6 | 429.8 | 460.9 | 4.36 | - | 239.7 | 462.0 |
| 4C20 | 169.0 | 234.1 | 415.4 | 459.6 | 3.80 | 163.0 | 240.2 | 463.9 |
| 1GM | 412.0 | 430.9 | 440.7 | 462.0 | 7.11 | - | - | 464.6 |
| 2GM | 193.1 | 234.3 | 423.8 | 463.9 | 6.70 | - | - | 467.7 |
| 3GM | 162.9 | 197.5 | 244.9 | 463.9 | 8.48 | - | 204.1 | 469.2 |
| 4GM | 150.1 | 175.8 | 215.9 | 465.2 | 10.87 | 173.1 | 204.4 | 469.5 |
| 1UNI | 222.9 | 258.7 | 414.1 | 455.5 | 3.19 | 221.3 | 255.3 | 462.7 |
| 2UNI | 190.6 | 276.1 | 384.6 | 447.2 | 3.01 | 193.4 | 256.8 | 456.1 |
| 3UNI | 177.9 | 213.8 | 391.6 | 453.9 | 4.57 | 187.6 | 251.1 | 460.3 |
| 4UNI | 157.5 | 208.9 | 380.0 | 452.6 | 4.58 | 166.8 | 251.6 | 459.7 |
Disclaimer/Publisher’s Note: The statements, opinions and data contained in all publications are solely those of the individual author(s) and contributor(s) and not of MDPI and/or the editor(s). MDPI and/or the editor(s) disclaim responsibility for any injury to people or property resulting from any ideas, methods, instructions or products referred to in the content. |
© 2023 by the authors. Licensee MDPI, Basel, Switzerland. This article is an open access article distributed under the terms and conditions of the Creative Commons Attribution (CC BY) license (https://creativecommons.org/licenses/by/4.0/).
Share and Cite
Kowalczyk, Ł.; Korol, J.; Chmielnicki, B.; Laska, A.; Chuchala, D.; Hejna, A. One More Step towards a Circular Economy for Thermal Insulation Materials—Development of Composites Highly Filled with Waste Polyurethane (PU) Foam for Potential Use in the Building Industry. Materials 2023, 16, 782. https://doi.org/10.3390/ma16020782
Kowalczyk Ł, Korol J, Chmielnicki B, Laska A, Chuchala D, Hejna A. One More Step towards a Circular Economy for Thermal Insulation Materials—Development of Composites Highly Filled with Waste Polyurethane (PU) Foam for Potential Use in the Building Industry. Materials. 2023; 16(2):782. https://doi.org/10.3390/ma16020782
Chicago/Turabian StyleKowalczyk, Łukasz, Jerzy Korol, Błażej Chmielnicki, Aleksandra Laska, Daniel Chuchala, and Aleksander Hejna. 2023. "One More Step towards a Circular Economy for Thermal Insulation Materials—Development of Composites Highly Filled with Waste Polyurethane (PU) Foam for Potential Use in the Building Industry" Materials 16, no. 2: 782. https://doi.org/10.3390/ma16020782
APA StyleKowalczyk, Ł., Korol, J., Chmielnicki, B., Laska, A., Chuchala, D., & Hejna, A. (2023). One More Step towards a Circular Economy for Thermal Insulation Materials—Development of Composites Highly Filled with Waste Polyurethane (PU) Foam for Potential Use in the Building Industry. Materials, 16(2), 782. https://doi.org/10.3390/ma16020782

