Abstract
The dynamic modulus is a key property determining the short- and long-term performance of asphalt pavement, and its strong dependence on confining pressure and material density (mixture compactness) has been clearly indicated in the literature. It is always challenging to reproduce three-dimensional in situ stress conditions in the laboratory. To alleviate this difficulty, in this study, a convenient experimental setup was developed, in which the lateral confinement was made present and variable as a concomitant reaction of the surrounding materials to the vertical loading. Three dense-graded mixtures were prepared to a set of four different densities and then subjected to the confined dynamic modulus test. The results indicated a significant dependence of the confined modulus on the three factors of temperature, frequency, and compactness and that the mixture with coarser gradation demonstrated a less sensitivity to these parameters. A mathematical model was developed for the dynamic modulus master curve unifying these factors by means of horizontal shifting due to the time–temperature superposition principle (validated against the variable confinement at different compactness) and the vertical shift factor as a function of reduced frequency and compactness. The adequacy of the model was demonstrated using the experimental data, and its potential application in field pavement compaction was discussed.
1. Introduction
Asphalt mixture is a common paving material that has been globally implemented in highway facilities, as it provides satisfactory surface roughness, riding comfort, and wear and skid resistance. This type of composite distinguishes itself from other typical civil engineering materials with the fact that it exhibits significant viscoelastic properties, owing to the presence of asphalt binder holding the aggregate particles together. The viscoelasticity-induced dependence on temperature and loading time/frequency renders the conventional use of resilient modulus insufficient in pavement structural design. In order to realistically capture the stiffness and viscoelastic features, the concept of dynamic modulus has been adopted for asphalt concrete in the more sophisticated mechanistic–empirical pavement design methodology [1,2]. Knowledge of the dynamic modulus provides solutions to stresses and strains at different depths under various temperature and loading conditions in structural analysis. It also serves as a prerequisite parameter for evaluating pavement performance such as fatigue and permanent deformation [3,4].
Given the significance of the dynamic modulus in the material and structural sense, a number of studies have been conducted to identify and understand the associated affecting factors, including temperature, loading frequency [5,6,7], air void [2,8,9], asphalt content and properties [10,11], as well as inter-particle contact and aggregate morphology [12,13], to name a few. The first three are generally considered to have major impacts on the stiffness behaviors of asphalt mixtures. The roles of temperature and frequency have been well-understood via the time–temperature superposition principle. Relative inadequacy, however, lies in the respect of void ratio or the compactness of the mixtures (the degree of compaction). Zhang et al. [2] evaluated a total of ten factors using the gray correlation analysis and pointed out that the effect of the air void was among the highest. Studies have also reported that an increase in the air void reduced the dynamic modulus for various types of mixtures such as porous asphalt concrete and epoxy-modified mixtures [8,9]. Omranian et al. [14] pointed out that the compactibility and volumetrics of asphalt mixtures were significantly impacted by the aging temperature and duration. These findings strongly suggested the necessity of quantifying the impact of compactness on the stiffness behaviors of asphalt concrete.
It is worth mentioning that the dynamic modulus test condition is restricted in the laboratory as compared to the temperature and frequency range experienced by the pavement in the field. The time–temperature superposition principle is thus invoked to shift the modulus isotherms to attain the so-called master curve, allowing a much wider temperature and frequency region to be extended, which better matches the field condition [15,16,17,18,19]. However, there is still a pitfall since the standard laboratory test is performed in the uniaxial mode, which makes the obtained one-dimensional modulus not rigorously applicable to describing the mechanistic responses of asphalt mixtures under the three-dimensional stress state in a pavement. Given this insufficiency, researchers have developed various strategies to incorporate the pressure dependence into the construction of confined dynamic moduli of asphalt mixtures, including, for instance, the use of a vertical shift factor and a variable relaxation spectrum [20,21,22,23,24]. Cao et al. [24] reported that for conventional dense-graded mixtures, the time–temperature shift factors, the relaxation spectrum, and the low-temperature stiffness were all insensitive to the confining pressure, and they proposed a triaxial characterization protocol and modeling scheme based on these observations. In theory, the triaxial dynamic modulus test provides a closer representation of the in situ stress states of pavement materials but is still faced with a deficiency due to the use of a constant confining pressure, as opposed to the variable confinement concomitant with the vertical loading in reality. Hofko [25] developed a testing suite in which water was used as the medium to apply the cyclic confining pressure (with a phase lag relative to the axial loading) to the cylinder specimen in a triaxial cell. Despite theoretical advantages, this methodology places a higher demand on the equipment and operations, which is not readily fulfilled in a typical pavement materials laboratory.
The present study devised a new yet simple-to-implement test setup that allowed us to capture the stiffness behaviors of asphalt mixtures under more realistic confining conditions at higher temperatures. The impacts of temperature, frequency, and compactness were quantified, and all three variables were considered in construction of the confined modulus master curve. The potential application of the obtained model was discussed with reference to pavement compaction under high-temperature and high-frequency conditions.
2. Materials and Methods
2.1. Materials
2.1.1. Aggregate
This study considered three dense-graded asphalt mixtures denoted as AC-13, AC-20, and AC-25 with nominal maximum aggregate sizes (NMASs) of 13.2, 19, and 26.5 mm, respectively. This range of materials covered the surface to bottom asphalt layers that are typically used in highway structures in China. The basalt mineral powder and aggregate meeting the national specification JTG F40-2004 were utilized to prepare the asphalt mixtures. Table 1, Table 2 and Table 3 provide the technical indices and corresponding specification requirements.
Table 1.
Technical properties of the mineral power.
Table 2.
Technical properties of the fine aggregate.
Table 3.
Technical properties of the coarse aggregate.
2.1.2. Asphalt Binders
Two types of asphalt binders were considered, including a #70 penetration grade neat asphalt and a styrene–butadiene–styrene (SBS) polymer-modified binder. The neat asphalt was used in AC-25 that is aimed for the bottom course, while the modified was utilized in AC-13 and AC-20 for the surface and binding courses, respectively. Both binders satisfied the criteria of the three conventional consistency indices, as shown in Table 4.
Table 4.
Technical properties of the asphalt binders.
2.1.3. Mixture Design
The aggregate gradations for the three mixtures were selected in accordance with the JTG F40-2004 specification; the resulting gradation curves are shown in Figure 1. The optimum binder contents were determined using the Marshall mix design method. Specifically, for each mixture, three levels of the asphalt–aggregate ratio (AAR) with 0.3% intervals were used to prepare the Marshall samples. A suite of design parameters was then measured, including air void, voids in mineral aggregate (VMA), voids filled with asphalt (VFA), Marshall stability, and flow number. Based on the obtained results as listed in Table 5, the optimum AARs were determined to be 4.9%, 4.3%, and 3.9% for AC-13, AC-20, and AC-25, respectively.
Figure 1.
Aggregate gradation curves of the asphalt mixtures.
Table 5.
The Marshall mix design parameters.
2.2. Test Sample Fabrication
The test specimens were fabricated using a hydraulic slab compactor to obtain the dimension of 300 × 300 × 100 mm. The challenge was how to accomplish the same set of various densities or degrees of compaction for the three mixtures with different NMASs. The essence of compaction is the aggregate particle rearrangement under external forces, and as such, a denser structure is achieved resulting in a higher strength to counteract the applied load. The compaction of asphalt mixtures is subjected to external affecting factors including the number of passes and temperature, as well as internal ones such as particle size and asphalt viscosity. With the same compaction pass, smaller particles are translated and rotated easier, and hence, the fine-graded mixtures can be compacted to the desired density with less effort. At higher compaction temperatures, the lower viscosity of the asphalt coating the aggregate facilitates the relative movement of the particles, thereby promoting the compaction process. With these considerations, we managed to achieve the same set of degrees of compaction by adjusting the compaction times and temperature for the three mixtures. That is, a relatively lower number of passes and temperatures were used for the finer mixtures, and a higher number were used for the coarser ones. After the completion of the dynamic modulus test (to be described shortly), cylinder samples of 100 mm in both diameter and height were extracted from the four corners of each slab, as illustrated in Figure 2, and used to identify the individual densities via the saturated surface dry method. The density of each slab was represented by the average of the four cylinders, as listed in Table 6. Also included are the relative densities with respect to those from the Marshall mix design and the theoretical maximum density.
Figure 2.
Slabs with the cylinder samples extracted from the corners.
Table 6.
Density and compactness results for the slab specimens.
2.3. Test Method
In the standard uniaxial mode of the dynamic modulus test, the upper temperature limit is usually around 55 °C [15,16,17,18,19,26], as higher temperatures would make the testing unreliable or infeasible due to the significant presence of plastic deformation and potential specimen failure. In order for higher test temperatures and the variable confinement that is generated as a natural reaction of the surrounding materials to the vertical loading, we developed a simple yet effective test setup consisting of a slab specimen together with the mold as a whole unit placed in the environmental chamber of the universal testing machine UTM-250 kN; see Figure 3. A loading platen was placed at the center of the slab on top, and beneath it two Teflon sheets with lubricating grease in between to reduce the end friction. Two linear variable differential transducers (LVDTs) were placed in opposite directions to measure the displacement of the loading platen with respect to the mold, and the obtained data were then used to estimate the axial deformation of the materials under the platen. This configuration mimicked the in situ stress condition in which the lateral confinement is a stress reaction to and thus varies with the external loading, providing theoretical advantages over the traditional uniaxial and triaxial setup. The test was performed in a way analogous to the standard dynamic modulus test (JTG E20-2011) except for the use of relatively higher temperatures. Specifically, a frequency sweep (25, 10, 5, 1, 0.5, and 0.1 Hz) was conducted at multiple temperatures of 40 °C, 50 °C, 60 °C, and 70 °C. In order to minimize potential damage and permanent deformation accumulation, the loading was executed from low to high temperatures and from high to low frequencies. A time interval of 2 min was applied between two consecutive frequencies. The load levels were determined through trial and error to obtain an axial deformation in the range of 50 to 100 microstrains such that the material response was dominated by linear viscoelasticity. Two replicates were used for each combination of compactness and mixture, and the relative differences in the dynamic modulus were within 20%, comparable to the conventional unconfined dynamic modulus test.
Figure 3.
Setup of the confined dynamic modulus test.
3. Results and Discussion
This section presents the results from the confined modulus test and discusses the effects of the three predominant affecting factors of temperature, frequency, and compactness. The explorative effort is then described as to the construction of the modulus master curve as a function of these factors.
3.1. The Affecting Factors
3.1.1. Effect of Temperature
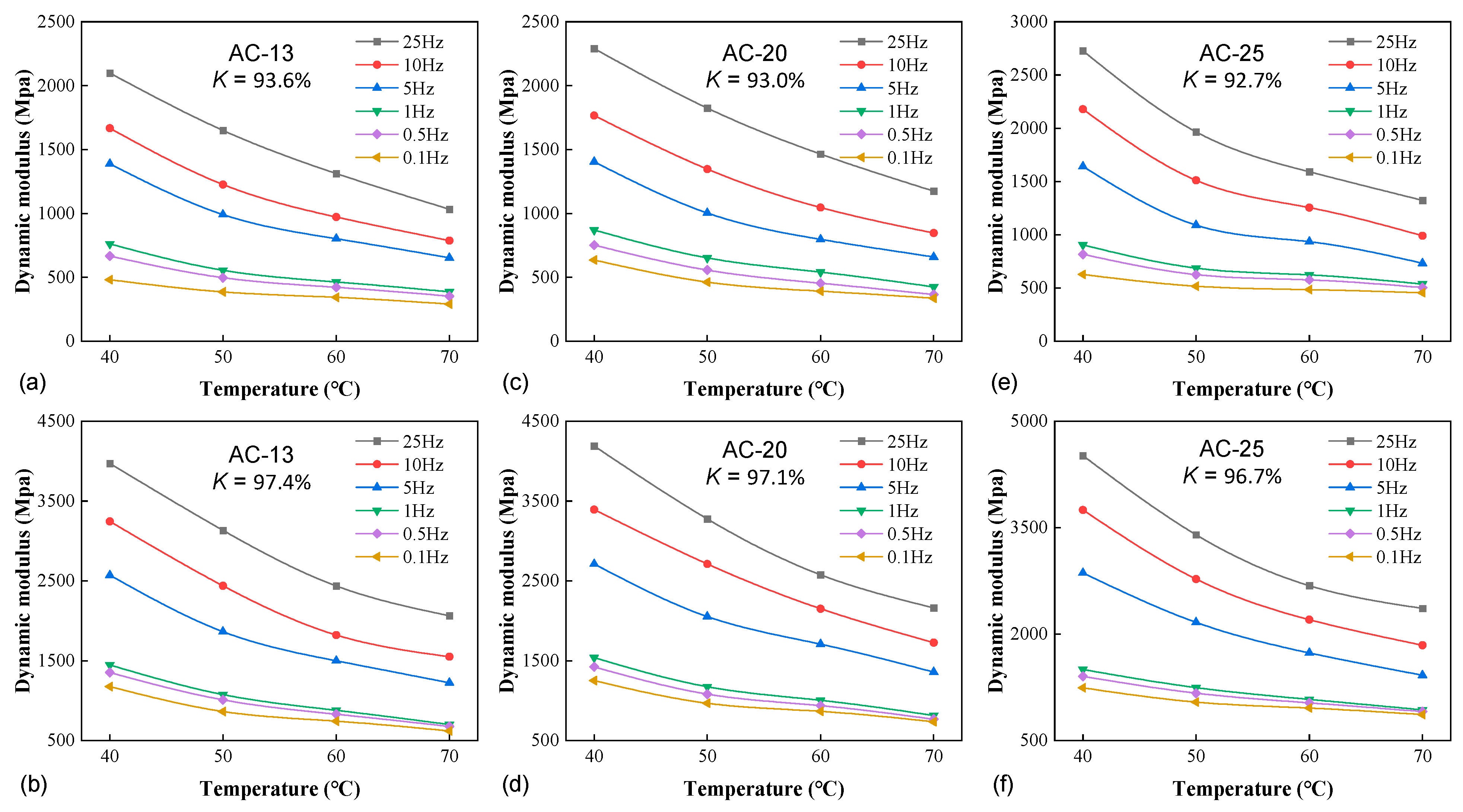
Figure 4 illustrates the impact of temperature on the confined stiffness of the three mixtures. For conciseness, only the lowest and highest degrees of compaction were provided for each material. At a given frequency and compactness, the confined stiffness decreased with the increase in temperature, as expected. The temperature elevation lowered the viscosity of the asphalt phase, thus reducing the internal forces holding the aggregate together to resist the deformation. In order to quantify the impact of temperature, the average rate of modulus reduction with temperature, RT, is defined as
where ETh and ETl denote, respectively, the moduli at the high (Th) and low (Tl) temperatures under consideration, and the index i loops from 1 to n, the total number of modulus values.
Figure 4.
The effect of temperature: (a) AC-13 (K = 93.6%), (b) AC-13 (K = 97.4%), (c) AC-20 (K = 93.0%), (d) AC-20 (K = 97.1%), (e) AC-25 (K = 92.7%), and (f) AC-25 (K = 96.7%).
The RT values for the temperature ranges of 40–50 °C, 50–60 °C, and 60–70 °C are 2.37%, 1.91%, and 1.73% for AC-13, 2.35%, 1.85%, and 1.67% for AC-20, and 2.26%, 1.51%, and 1.36% for AC-25, respectively. For all mixtures, the reduction rate attenuated with temperature increase as the modulus approached the lower asymptote. The same trend was also reported in an earlier study by He et al. [8] based on the standard unconfined dynamic modulus data of a dense-graded mixture. On the other hand, for all temperature ranges, RT decreased with the increase in the mixtures’ NMAS, indicating that the confined stiffness of coarser mixtures was less sensitive to temperature. As the variable confinement was not measured in the study, it was not ready to assess the dependence of RT on the confining pressure. Nevertheless, it is worth mentioning that a similar evaluation has been performed by Huang et al. [21] using the conventional triaxial dynamic modulus test (with constant confinement). They demonstrated less reduction in RT with the temperature increase for higher pressure levels. In other words, the higher confinement lowered the sensitivity of stiffness to temperature, rendering more elastic-like behavior.
3.1.2. Effect of Frequency
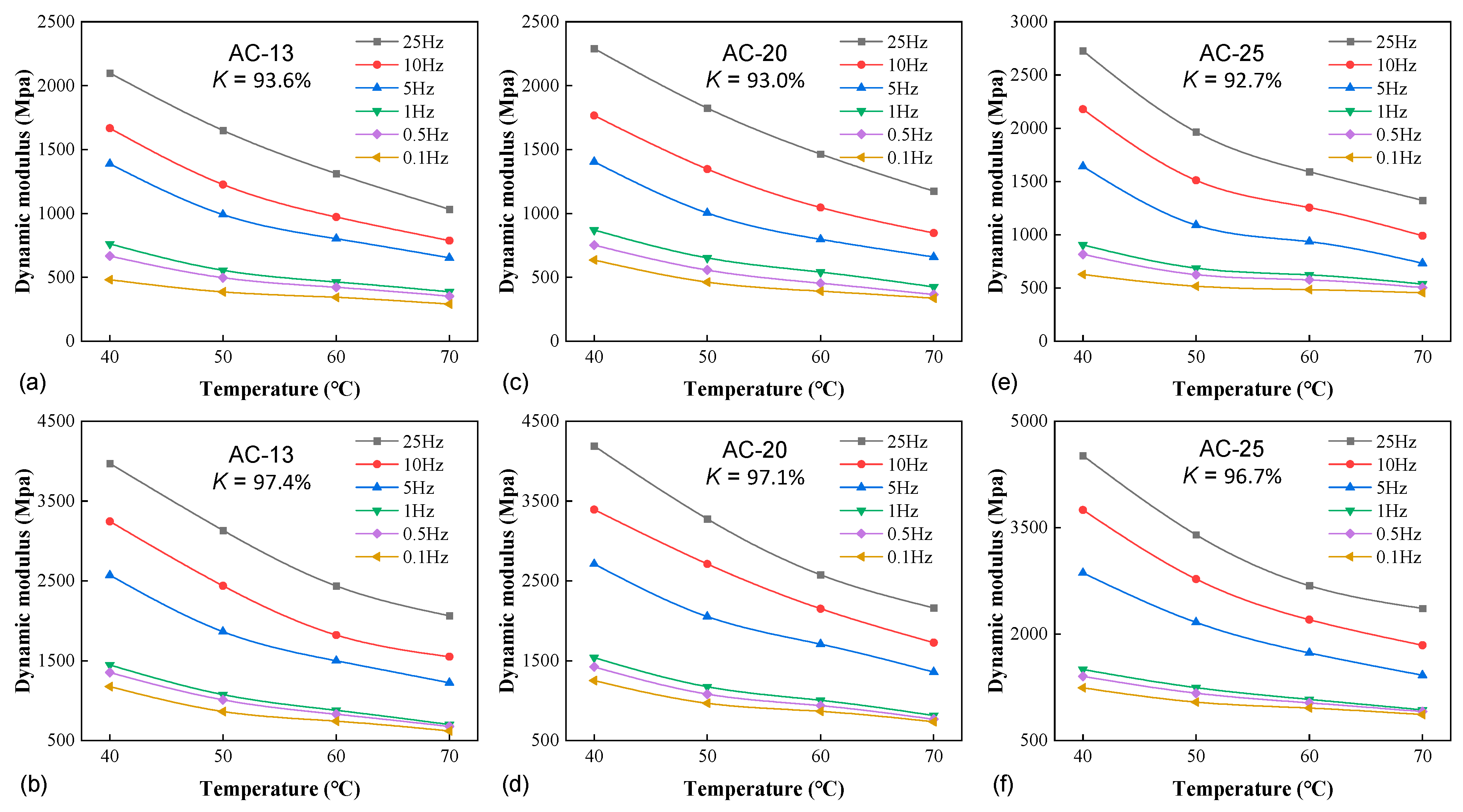
Figure 5 presents the dependence of the confined stiffness on frequency for the three mixtures at different temperatures and the two extreme degrees of compaction. As expected, the modulus in each case rose with the increasing frequency, as the elastic component grew and prevailed the response, and the overall effect was equivalent to a reduction in temperature. Similarly, the average rate of modulus increase due to frequency, If, is defined as
where Efh and Efl denote the moduli at the high (fh) and low (fl) frequencies under consideration, respectively.
Figure 5.
The effect of frequency: (a) AC-13 (K = 93.6%), (b) AC-13 (K = 97.4%), (c) AC-20 (K = 93.0%), (d) AC-20 (K = 97.1%), (e) AC-25 (K = 92.7%), and (f) AC-25 (K = 96.7%).
The If values for the frequency ranges of 0.1–1 Hz, 1–5 Hz, and 5–25 Hz are 32.00%, 17.70%, and 3.29% for AC-13, 27.61%, 16.08%, and 3.21% for AC-20, and 24.20%, 15.88%, and 3.14% for AC-25, respectively. For all mixtures, the increase rate decayed with increasing frequency as the moduli approached the upper asymptote. The same trend was again reported earlier by He et al. [8] based on the unconfined test. On the other hand, for all the frequency ranges, the If values reduced with NMAS, suggesting that the confined stiffness of coarser mixtures was less sensitive to frequency.
In an unconfined test on a dense-graded Superpave-12.5 mm asphalt mixture, Ali et al. [7] showed that the average percentage of change in modulus from 25 Hz to 0.1 Hz was 80%, similar to the 72% change in the present study for AC-13 with variable confinement. Meanwhile, it is worth mentioning that using the standard triaxial test, Alamnie et al. [27] reported that an increase in the confinement reduced the sensitivity of stiffness to the loading frequency.
3.1.3. Effect of Compactness
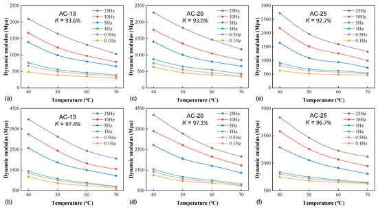
Figure 6 illustrates the impact of compactness on all the mixtures at different frequencies and the two extreme temperatures of 40 °C and 70 °C. In each case, a higher degree of compaction yielded a higher level of confined stiffness. An increase in the compactness is expected to yield a denser aggregate structure with more restricted particle mobility, hence the improved internal friction to resist deformation. It is also worth mentioning that higher compactness also means a lower number of voids in the mixture, leaving less room ready for crack initiation, oxidation, and moisture penetration and thus prolonged serviceability (see the increased in-place density initiative [28]). The average rate of modulus increase due to compactness, IK, is defined as
where EKh and EKl denote the moduli at the high (Kh) and low (Kl) compactness levels under consideration, respectively.
Figure 6.
The effect of compactness: (a) AC-13 (40 °C), (b) AC-13 (70 °C), (c) AC-20 (40 °C), (d) AC-20 (70 °C), (e) AC-25 (40 °C), and (f) AC-25 (70 °C).
The IK values from low to high compactness levels are 28.60%, 19.31%, and 13.88% for AC-13, 26.13%, 18.76%, and 12.39% for AC-20, and 22.60%, 15.77%, and 10.02% for AC-25, respectively. For all the mixtures, the increase rate diminished with increasing compactness, presenting a saturating effect of the latter on modulus improvement. On the other hand, for all compactness ranges, the IK values reduced with the increase in NMAS, indicating that the confined stiffness of coarser mixtures was less sensitive to the degree of compaction. Further, according to these data, the addition of 1% in compactness would gain modulus increments of 20.6%, 19.1%, and 16.1% for AC-13, AC-20, and AC-25 on average, respectively. Based on the standard unconfined dynamic modulus test on a dense-graded Superpave-12.5 mm mixture, Li et al. [29] reported that 1% reduction in air void yielded 6.1% to 9.6% modulus increases. Apparently, the presence of the lateral confinement rendered a higher sensitivity of stiffness to the mixture density or compactness.
3.2. The Confined Modulus Master Curve
3.2.1. Horizontal Shift Due to Time–Temperature Equivalence
The time–temperature superposition principle states that for a thermorheologically simple material, the modulus isotherms can be horizontally shifted to formulate a single smooth master curve, thereby greatly extending the applicable range of temperature and time/frequency. It should be noted that, however, this equivalence has been mostly validated in the cases with zero or a constant confining pressure. Its applicability should be checked against the data in the present study in the first step given the variable confinement.
The attempt to establish the modulus master curve followed the usual procedure with the use of the classic Sigmoidal function:
where |E*| is the confined dynamic modulus; fr denotes reduced frequency; α, β, δ, and γ are fitting coefficients, in which α is logarithmic of the lower asymptote and (α + δ) defines the upper asymptote, and β and γ are parameters related to the shape of the curve. The reduced frequency is obtained via
where f is loading frequency, and aT is the time–temperature shift factor. A variety of forms are available in the literature to describe the functional dependence of aT on temperature [19]. This study adopted the second-order polynomial expression:
where T is temperature, TR denotes the reference temperature which was set to 50 °C here, and a1 and a2 are regression constants.
As above-mentioned, (α + δ) is the logarithmic of the maximum modulus corresponding to the most extreme conditions of low temperatures and/or high frequencies, for which a direct determination is not feasible in the laboratory. Considering that the stiffness of dense-graded asphalt mixtures is generally pressure-insensitive at low temperatures [24], it was decided to estimate this upper asymptote by means of the well-accredited Hirsch model which takes the volumetric parameters as the arguments [30]:
where |E*|max is the maximum dynamic modulus, VMA and VFA are defined earlier in Table 5, and Pc denote the aggregate contact volume obtained as
Figure 7 illustrates the application of the time–temperature superposition principle for the AC-20 mixture at the compactness K = 94.3%, as well as the Sigmoidal fitting curve. It appeared that at the given degree of compaction, the time–temperature equivalence was not weakened by the variable confinement. This observation needs to be checked against the other mixtures and different compactness levels. Further, the time–temperature shift factor is, in general, material-dependent. The external or internal factors that would impact the material properties in a general sense may change the time–temperature equivalence and thus enter the shift factor function as an additional argument (for instance, moisture [31]). For the interest of the present study, whether and how the compactness would affect the shift factor is the question posed. Additionally, it is worth mentioning that as a reaction to the vertical loading, the variable lateral confinement also depends on the mixture compactness.
Figure 7.
Application of the time–temperature superposition (AC-20, K = 94.3%, TR = 50 °C): (a) before and (b) after the horizontal shift.
To address the above concerns, the horizontal shift factors at all compactness levels for AC-20 are provided and compared in Figure 8a, represented as A1 to A4 in the legend. It is noted that the compactness within the range considered had a very minor impact, and it seemed that the shift factors could be treated as independent of the degree of compaction. For the purpose of further verification, the four sets of shift factors were averaged (denoted as A5), and the result was applied in each case of compactness to obtain the master curve, which was then compared to those using the individual shift factors. As shown in Figure 8b, the two versions of shift factors yielded very close agreement in the master curves.
Figure 8.
Comparisons between the individual and averaged shift factors (a) and the resulting dynamic modulus master curves (b).
The same procedure was applied to all the mixtures, and the standard error of regression (SSR) was used to quantify the degree of agreement between the measured moduli and those calculated using the individual and averaged shift factors:
where n is the sample size (the total number of data points), and xi and are the i-th measured and calculated moduli, respectively.
Table 7 lists the SSR results for the three mixtures. All the errors are below 5% for different compactness levels and are also comparable between the two versions of shift factors, indicating the adequacy of assuming the independence of compactness in the time–temperature shift factor. In other words, the time–temperature equivalence is mathematically not affected by the compactness within the range considered herein. Specifically, the variable K does not enter Equation (6) as an additional argument.
Table 7.
The SSR results (%) for the use of individual and averaged shift factors.
3.2.2. Vertical Shift Due to Variable Compactness
It can be inferred from Figure 8a that the horizontal shifting alone cannot accommodate the strengthening effect of increase in the compactness. In order to construct the modulus master curve unifying all the affecting factors including and in addition to time and temperature, the techniques of shifting (horizontal and/or vertical) and even rotation have been proposed in the literature [32,33]. In this study, given the independence of compactness in the time–temperature horizontal shifting, it becomes reasonable to inspect its role in the vertical shifting given the strengthening effect. A number of valuable references in the literature have provided formulations of the vertical shift factor as a function of the (constant) confining pressure, moisture, or deviatoric stress in addition to time and temperature [20,34,35]. The vertical shift factor herein was expected to be a function of time, temperature, and compactness.
Figure 9a presents the dynamic moduli for AC-20 at three compactness levels and two temperatures of 40 °C and 70 °C. For the temperature of 40 °C, the amount of vertical shift in the double logarithmic space for K = 97.1% is consistently higher than that for K = 93.0% if 94.3% is treated as the reference compactness, hence the dependence of the vertical shift factor on compactness. Further, at both temperatures, the amount of shift required varies with the reduced frequency, hence the dependence on time/frequency and temperature. In fact, the apparent dependence on reduced frequency can be illustrated more straightforwardly by the S-shaped curve in Figure 9b, i.e., the difference between the master curves corresponding to K = 97.1% and 93.0% (A1 and A4, respectively) in Figure 8b.
Figure 9.
Functional dependence of the vertical shift factor (AC-20): (a) the modulus master curves at different compactness and temperatures, and (b) the modulus difference between the compactness of 97.1% and 93.0%.
In order to couple the effects of all three factors based on the above observations, the following expression was proposed to describe the vertical shift factor:
where K0 is the reference degree of compaction, α, δ, and fr have been defined earlier in Equation (4), and a3–6 are fitting coefficients.
The complete mathematical model for the compactness-dependent confined dynamic modulus can thus be readily written as
in which a total of nine parameters are to be calibrated using, for instance, the Solver function built in Microsoft Excel, recalling that (α + δ) is estimated from the Hirsch model.
Table 8 summarizes the calibrated model parameters with a reference temperature of 50 °C and reference compactness of 94.7%, 94.3%, and 94.2% for AC-13, AC-20, and AC-25, respectively. Figure 10 provides a comparison of the calculated versus measured dynamic moduli for the three mixtures tested at all conditions. Excellent agreement was yielded by the model with an R-square value above 0.98. The SSR for each mixture was also identified following Equation (9), and the results are 3.73%, 3.76%, and 2.95% for AC-13, AC-20, and AC-25, respectively. The errors are within the same range of those listed in Table 7 using the individual models without the incorporation of the compactness K. The efficacy and reliability of the proposed model is therefore substantiated.
Table 8.
The calibrated model parameters.
Figure 10.
Comparison between the measured moduli and model calculations.
4. Potential Applications in Field Pavement Compaction
In the field compaction process, the asphalt mixtures are subjected to an extreme loading condition of high temperature and high vibrating frequency [36]. The compactness continuously increases with the number of passes, hence the modulus of the materials being compacted. Knowledge of this varying modulus under the extreme conditions would be of considerable help in advancing the intelligent compaction technique. It is highly challenging with the conventional method of the dynamic modulus test, but this difficulty could be potentially alleviated using the methodology developed in the present study.
The surface temperature of the first compaction pass is usually around 150 °C and then decreases continuously with time [37,38]. The temperature drop yields higher viscosity in the asphalt binder, providing the mixture with more resistance to deformation through aggregate rearrangement. When the temperature drops beyond a certain point (around 80 °C), referred to as the cessation temperature, it becomes impossible to further reduce the air voids [37,38,39]. On the other hand, the typical vibrating frequency is in the range between 20 and 70 Hz [40,41,42,43]. Given this, the following discussion considers the temperature region of 90 °C to 140 °C (with a 5 °C interval) and the frequency of 50 Hz (used in the common compactor BOMAG roller BW 203 AD-4). The stiffness model calibrated for AC-20 was used to predict the confined stiffness at these extreme conditions. Figure 11a shows the distribution of the obtained modulus across the different temperatures and compactness levels. The confined stiffness varied between 518 and 1859 MPa within the temperature range considered, and the higher moduli were concentrated at the right side with higher compactness. Figure 11b provides the modulus difference between the two temperatures of 90 °C and 140 °C as a function of compactness. It is clearly shown that the effect of compactness becomes increasingly significant at higher degrees of compaction, which is consistent with the observations by Hu et al. [44] using the well-known Witczak model in estimating the dynamic modulus of asphalt mixtures for field compaction.
Figure 11.
The confined moduli predicted at the field compaction conditions: (a) distribution of the moduli, and (b) difference between the moduli at the temperatures of 90 °C and 140 °C.
5. Conclusions
This study developed a convenient experimental setup for an asphalt mixture dynamic modulus test to more closely represent the in situ stress conditions with variable lateral confinement as a natural reaction of the surrounding materials to the vertical loading. The confined stiffness behavior was investigated at different temperatures and frequencies, and in particular, the role of mixture compactness was systematically evaluated. A mathematical model for the dynamic modulus unifying all three affecting factors was developed through the horizontal and vertical shifting technique. The following conclusions can be drawn based on the findings:
- The effects of temperature and loading frequency were consistent with those observed in the standard uniaxial dynamic modulus test. A comparison among the three mixtures evaluated indicated a less sensitivity to temperature and frequency for mixtures with a coarser gradation.
- Increase in the material compactness enhanced the confined stiffness, and the presence of the lateral confinement rendered a higher sensitivity of stiffness to compactness. The coarser gradation also exhibited a lower sensitivity of stiffness to compactness.
- With the dense-graded mixtures having different NMASs considered in this study, the time–temperature superposition principle was still applicable with the variable confinement, and further, the mathematical equivalence was not affected by the degree of compaction. The compactness was therefore not involved in horizontal shifting.
- The strengthening effect of increasing density necessitated the vertical shift factor which was described as a function of reduced frequency and compactness. The mathematical model constructed through both horizontal and vertical shifting adequately captured the dependence of the confined stiffness on time/frequency, temperature, and compactness.
- According to the model predictions for the extreme loading conditions (very high temperatures and frequencies) during field compaction, the effect of compactness became more significant at higher degrees of compaction. Further development of the model and methodology is expected such that they may potentially be incorporated in the intelligent compaction of asphalt pavement.
Author Contributions
Conceptualization and writing, H.D. and W.C.; methodology and investigation, P.Y., H.S., Z.Z. and W.C.; formal analysis, P.Y., H.D. and W.C.; funding acquisition, H.D. All authors have read and agreed to the published version of the manuscript.
Funding
This research was funded by the National Natural Science Foundation of China, grant numbers 52278468 and U22A20235.
Institutional Review Board Statement
Not applicable.
Informed Consent Statement
Not applicable.
Data Availability Statement
The data that support the findings will be available from the corresponding author upon reasonable request.
Conflicts of Interest
The authors declare no conflict of interest.
References
- Wang, L.; Gong, H.; Hou, Y.; Shu, X.; Huang, B. Advances in Pavement materials, design, characterisation, and simulation. Road Mater. Pavement Des. 2017, 18, 1–11. [Google Scholar] [CrossRef]
- Zhang, M.; Zhao, H.; Fan, L.; Yi, J. Dynamic modulus prediction model and analysis of factors influencing asphalt mixtures using gray relational analysis methods. J. Mater. Res. Technol. 2022, 19, 1312–1321. [Google Scholar] [CrossRef]
- Loulizi, A.; Flintsch, G.W.; Al-Qadi, I.L.; Mokarem, D. Comparing resilient modulus and dynamic modulus of hot-mix asphalt as material properties for flexible pavement design. Transp. Res. Rec. 2006, 1970, 161–170. [Google Scholar] [CrossRef]
- Zhang, Y.; Luo, R.; Lytton, R.L. Characterizing permanent deformation and fracture of asphalt mixtures by using compressive dynamic modulus tests. J. Mater. Civ. Eng. 2012, 24, 898–906. [Google Scholar] [CrossRef]
- Wang, C.; Zhou, X.; Yuan, H.; Chen, H.; Zhou, L.; Fu, Y. Preparation and performance of UHMWP modified asphalt and its high modulus mixture. Constr. Build. Mater. 2021, 294, 123629. [Google Scholar] [CrossRef]
- Cho, Y.-H.; Park, D.-W.; Hwang, S.-D. A predictive equation for dynamic modulus of asphalt mixtures used in Korea. Constr. Build. Mater. 2010, 24, 513–519. [Google Scholar] [CrossRef]
- Ali, Y.; Irfan, M.; Zeeshan, M.; Hafeez, I.; Ahmed, S. Revisiting the relationship of dynamic and resilient modulus test for asphaltic concrete mixtures. Constr. Build. Mater. 2018, 170, 698–707. [Google Scholar] [CrossRef]
- He, Z.-Y.; Li, J.-F.; Zhou, W.; Guan, Z.-T. Dynamic modulus of porous asphalt concrete and its prediction model. J. Jilin Univ. 2022, 52, 1375–1385. [Google Scholar]
- Yao, B.; Cheng, G.; Wang, X.; Cheng, C.; Liu, S. Linear viscoelastic behaviour of thermosetting epoxy asphalt concrete—Experiments and modeling. Constr. Build. Mater. 2013, 48, 540–547. [Google Scholar] [CrossRef]
- Bi, Y.; Guo, F.; Zhang, J.; Pei, J.; Li, R. Correlation analysis between asphalt binder/asphalt mastic properties and dynamic modulus of asphalt mixture. Constr. Build. Mater. 2021, 276, 122256. [Google Scholar] [CrossRef]
- Nobakht, M.; Sakhaeifar, M.S. Dynamic modulus and phase angle prediction of laboratory aged asphalt mixtures. Constr. Build. Mater. 2018, 190, 740–751. [Google Scholar] [CrossRef]
- Tan, Z.; Leng, Z.; Jiang, J.; Cao, P.; Jelagin, D.; Li, G.; Sreeram, A. Numerical study of the aggregate contact effect on the complex modulus of asphalt concrete. Mater. Des. 2022, 213, 110342. [Google Scholar] [CrossRef]
- Han, D.; Yuan, M.; Hu, H. Establishing prediction master curve of dynamic modulus of asphalt mixture considering randomness of aggregate morphology. Constr. Build. Mater. 2021, 294, 123575. [Google Scholar] [CrossRef]
- Omranian, S.R.; Hamzah, M.O.; Pipintakos, G.; Van den bergh, W.; Vuye, C.; Hasan, M.R.M. Effects of short-term aging on the compactibility and volumetric properties of asphalt mixtures using the response surface method. Sustainability 2020, 12, 6181. [Google Scholar] [CrossRef]
- Zhang, J.; Bao, L. Determination of asphalt mixture’s viscoelastic constitutive parameters for pavement response analysis using dynamic modulus transformation. Constr. Build. Mater. 2022, 315, 125729. [Google Scholar] [CrossRef]
- Hou, H.; Wang, T.; Wu, S.; Xue, Y.; Tan, R.; Chen, J.; Zhou, M. Investigation on the pavement performance of asphalt mixture based on predicted dynamic modulus. Constr. Build. Mater. 2016, 106, 11–17. [Google Scholar] [CrossRef]
- Ruan, L.; Luo, R.; Hu, X.; Pan, P. Effect of bell-shaped loading and haversine loading on the dynamic modulus and resilient modulus of asphalt mixtures. Constr. Build. Mater. 2018, 161, 124–131. [Google Scholar] [CrossRef]
- Huang, J.; Shiva Kumar, G.; Ren, J.; Zhang, J.; Sun, Y. Accurately predicting dynamic modulus of asphalt mixtures in low-temperature regions using hybrid artificial intelligence model. Constr. Build. Mater. 2021, 297, 123655. [Google Scholar] [CrossRef]
- Vestena, P.M.; Schuster, S.L.; Almeida, P.O.B., Jr.; Faccin, C.; Specht, L.P.; Pereira, D.d.S. Dynamic modulus master curve construction of asphalt mixtures: Error analysis in different models and field scenarios. Constr. Build. Mater. 2021, 301, 124343. [Google Scholar] [CrossRef]
- Zhao, Y.; Tang, J.; Liu, H. Construction of triaxial dynamic modulus master curve for asphalt mixtures. Constr. Build. Mater. 2012, 37, 21–26. [Google Scholar] [CrossRef]
- Huang, T.; Guo, P.; Li, S.; Huang, M.; Yu, H.; Chen, M. Research on master curve and prediction model of triaxial tensile and compressive dynamic moduli of asphalt mixture under confining pressure. SSRN 2022. [Google Scholar] [CrossRef]
- Li, L.; Li, W.; Wang, H.; Zhao, J.; Wang, Z.; Dong, M.; Han, D. Investigation of Prony series model related asphalt mixture properties under different confining pressures. Constr. Build. Mater. 2018, 166, 147–157. [Google Scholar] [CrossRef]
- Sun, Y.; Huang, B.; Chen, J.; Shu, X.; Li, Y. Characterization of triaxial stress state linear viscoelastic behavior of asphalt concrete. J. Mater. Civ. Eng. 2017, 29, 04016259. [Google Scholar] [CrossRef]
- Cao, W.; Lacroix, A.; Kim, Y.R. A triaxial linear viscoelastic characterization framework for asphalt concrete based on the 2S2P1D model. Eur. J. Mech. A Solids-A/Solids 2022, 92, 104469. [Google Scholar] [CrossRef]
- Hofko, B. Addressing the permanent deformation behavior of hot mix asphalt by triaxial cyclic compression testing with cyclic confining pressure. J. Traffic. Transp. Eng. 2015, 2, 17–29. [Google Scholar] [CrossRef]
- Hossain, N.; Singh, D.; Zaman, M. Dynamic modulus-based field rut prediction model from an instrumented pavement section. Procedia Soc. Behav. Sci. 2013, 104, 129–138. [Google Scholar] [CrossRef]
- Alamnie, M.M.; Taddesse, E.; Hoff, I. Thermo-piezo-rheological characterization of asphalt concrete. Constr. Build. Mater. 2022, 329, 127106. [Google Scholar] [CrossRef]
- Akentuna, M.; Mohammad, L.N.; Kim, M.; Cooper, S.B., III; Cooper, S.B., Jr. Improving durability of asphalt pavements in Louisiana through increased in-place field density. Transp. Res. Rec. 2020, 2674, 806–816. [Google Scholar] [CrossRef]
- Li, X.; Youtcheff, J. Practical method to determine the effect of air voids on the dynamic modulus of asphalt mixture. Transp. Res. Rec. 2018, 2672, 462–470. [Google Scholar] [CrossRef]
- Christensen, D.W.; Pellinen, T.; Bonaquist, R.F. Hirsch model for estimating the modulus of asphalt concrete. Assoc. Asph. Paving Technol. 2003, 72, 97–121. [Google Scholar]
- Zhan, T.; Jiang, J.; Lu, J.; Zhang, Y.; Chang, J. Temperature-humidity-time equivalence and relaxation in dynamic viscoelastic response of Chinese fir wood. Constr. Build. Mater. 2019, 227, 116637. [Google Scholar] [CrossRef]
- Anjali, B.L.; Swamy, A.K. Time-temperature-dosage superposition approach to predict the complex modulus of asphalt binders. Constr. Build. Mater. 2022, 329, 127140. [Google Scholar] [CrossRef]
- Ling, M.; Luo, X.; Gu, F.; Lytton, R.L. Time-temperature-aging-depth shift functions for dynamic modulus master curves of asphalt mixtures. Constr. Build. Mater. 2017, 157, 943–951. [Google Scholar] [CrossRef]
- Xi, L.; Luo, R.; Liu, H. Effect of relative humidity on the linear viscoelastic properties of asphalt mixtures. Constr. Build. Mater. 2021, 307, 124956. [Google Scholar] [CrossRef]
- Kuna, K.; Gottumukkala, B. Viscoelastic characterization of cold recycled bituminous mixtures. Constr. Build. Mater. 2019, 199, 298–306. [Google Scholar] [CrossRef]
- Dan, H.-C.; Yang, D.; Liu, X.; Peng, A.-P.; Zhang, Z. Experimental investigation on dynamic response of asphalt pavement using SmartRock sensor under vibrating compaction loading. Constr. Build. Mater. 2020, 247, 118592. [Google Scholar] [CrossRef]
- Qian, G.; He, Z.; Yu, H.; Gong, X.; Sun, J. Research on the affecting factors and characteristic of asphalt mixture temperature field during compaction. Constr. Build. Mater. 2020, 257, 119509. [Google Scholar] [CrossRef]
- Polaczyk, P.; Hu, W.; Gong, H.; Jia, X.; Huang, B. Improving asphalt pavement intelligent compaction based on differentiated compaction curves. Constr. Build. Mater. 2021, 301, 124125. [Google Scholar] [CrossRef]
- Sivagnanasuntharam, S.; Sounthararajah, A.; Bodin, D.; Kodikara, J. Prediction of average in-depth temperature of asphalt pavement using surface temperature measured during intelligent compaction. Int. J. Pavement Eng. 2022. [Google Scholar] [CrossRef]
- Fathi, A.; Tirado, C.; Rocha, S.; Mazari, M.; Nazarian, S. Assessing depth of influence of intelligent compaction rollers by integrating laboratory testing and field measurements. Transp. Geotech. 2021, 28, 100509. [Google Scholar] [CrossRef]
- Pistrol, J.; Villwock, S.; Völkel, W.; Kopf, F.; Adam, D. Continuous compaction control (CCC) with oscillating rollers. Procedia Eng. 2016, 143, 514–521. [Google Scholar] [CrossRef]
- Zhao, Y.; Xie, S.; Gao, Y.; Zhang, Y.; Zhang, K. Prediction of the number of roller passes and degree of compaction of asphalt layer based on compaction energy. Constr. Build. Mater. 2021, 277, 122274. [Google Scholar] [CrossRef]
- Fang, Z.; Zhu, Y.; Ma, T.; Zhang, Y.; Han, T.; Zhang, J. Dynamical response to vibration roller compaction and its application in intelligent compaction. Autom. Constr. 2022, 142, 104473. [Google Scholar] [CrossRef]
- Hu, W.; Huang, B.; Shu, X.; Woods, M. Utilising intelligent compaction meter values to evaluate construction quality of asphalt pavement layers. Road Mater. Pavement Des. 2017, 18, 980–991. [Google Scholar] [CrossRef]
Disclaimer/Publisher’s Note: The statements, opinions and data contained in all publications are solely those of the individual author(s) and contributor(s) and not of MDPI and/or the editor(s). MDPI and/or the editor(s) disclaim responsibility for any injury to people or property resulting from any ideas, methods, instructions or products referred to in the content. |
© 2023 by the authors. Licensee MDPI, Basel, Switzerland. This article is an open access article distributed under the terms and conditions of the Creative Commons Attribution (CC BY) license (https://creativecommons.org/licenses/by/4.0/).










