(Cd,Mn)S in the Composite Photocatalyst: Zinc Blende and Wurtzite Particles or Integrowth of These Two Modifications?
Abstract
1. Introduction
2. Materials and Methods
2.1. Sample Synthesis
2.2. Sample Characterization
2.2.1. Data Collection
2.2.2. Photocatalytic Tests
2.2.3. Analysis of XRD Data
2.2.4. Stacking Faults Model
3. Results and Discussion
3.1. Rietveld Analysis
3.2. Debye Calculation of XRD Patterns Based on the Models on Spherical Nanoparticles of Different Sizes Containing SFs
3.3. Optimized Models of (Cd,Mn)S Nanoparticles
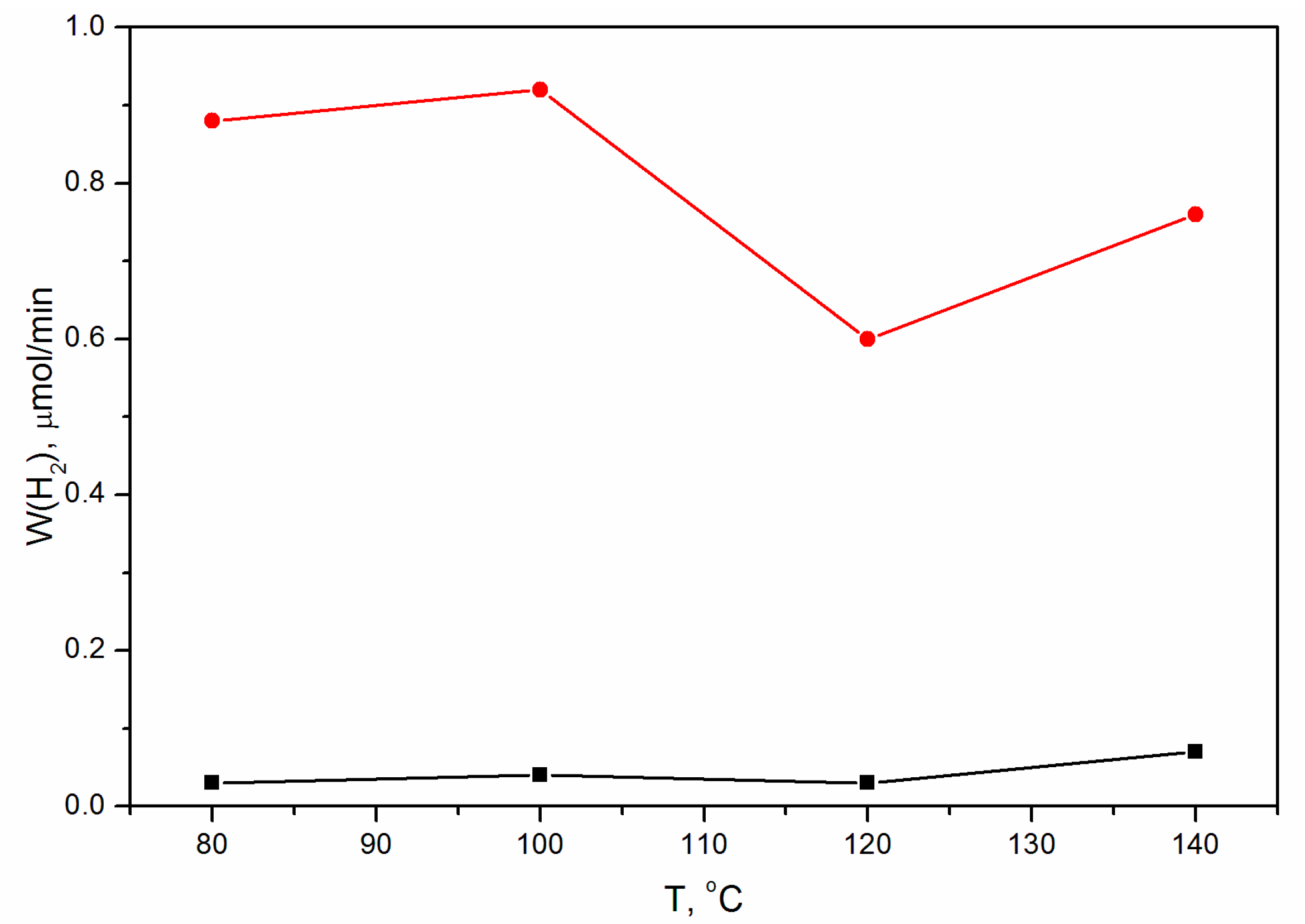
3.4. Photocatalytic Activity
4. Conclusions
Author Contributions
Funding
Institutional Review Board Statement
Informed Consent Statement
Acknowledgments
Conflicts of Interest
References
- Hisatomi, T.; Kubota, J.; Domen, K. Recent advances in semiconductors for photocatalytic and photoelectrochemical water splitting. Chem. Soc. Rev. 2014, 43, 7520–7535. [Google Scholar] [CrossRef]
- Memming, R. Solar energy conversion by photoelectrochemical processes. Electrochim. Acta 1980, 25, 77–88. [Google Scholar] [CrossRef]
- Janet, C.M.; Viswanath, R.P. Large scale synthesis of CdS nanorods and its utilization in photo-catalytic H2 production. Nanotechnology 2006, 17, 5271–5277. [Google Scholar] [CrossRef]
- Reber, J.F.; Rusek, M. Photochemical hydrogen production with platinized suspensions of cadmium sulfide and cadmium zinc sulfide modified by silver sulfide. J. Phys. Chem. 1986, 90, 824–834. [Google Scholar] [CrossRef]
- Meissner, D.; Lauermann, I.; Memming, R.; Kastening, B. Photoelectrochemistry of cadmium sulfide. 2. Influence of surface-state charging. J. Phys. Chem. 1988, 92, 3484–3488. [Google Scholar] [CrossRef]
- Mamiyev, Z.; Balayeva, N.O. Metal Sulfide Photocatalysts for Hydrogen Generation: A Review of Recent Advances. Catalysts 2022, 12, 1316. [Google Scholar] [CrossRef]
- Jia, L.; Tan, X.; Yu, T.; Ye, J. Mixed Metal Sulfides for the Application of Photocatalytic Energy Conversion. Energy Fuels 2022, 36, 11308–11322. [Google Scholar] [CrossRef]
- Kozlova, E.A.; Lyulyukin, M.N.; Markovskaya, D.V.; Selishchev, D.S.; Cherepanova, S.V.; Kozlov, D.V. Synthesis of Cd1-xZnxS photocatalysts for gas-phase CO2 reduction under visible light. Photochem. Photobiol. Sci. 2019, 18, 871–877. [Google Scholar] [CrossRef] [PubMed]
- Ikeue, K.; Shiiba, S.; MacHida, M. Hydrothermal synthesis of a doped Mn-Cd-S solid solution as a visible-light-driven photocatalyst for H2 evolution. ChemSusChem 2011, 4, 269–273. [Google Scholar] [CrossRef] [PubMed]
- Liu, M.; Zhang, L.; He, X.; Zhang, B.; Song, H.; Li, S.; You, W. L-Cystine-assisted hydrothermal synthesis of Mn1-xCdxS solid solutions with hexagonal wurtzite structure for efficient photocatalytic hydrogen evolution under visible light irradiation. J. Mater. Chem. A 2014, 2, 4619–4626. [Google Scholar] [CrossRef]
- Huang, Q.Z.; Xiong, Y.; Zhang, Q.; Yao, H.C.; Li, Z.J. Noble metal-free MoS2 modified Mn0.25Cd0.75S for highly efficient visible-light driven photocatalytic H2 evolution. Appl. Catal. B Environ. 2017, 209, 514–522. [Google Scholar] [CrossRef]
- Potapenko, K.O.; Kurenkova, A.Y.; Bukhtiyarov, A.V.; Gerasimov, E.Y.; Cherepanova, S.V.; Kozlova, E.A. Comparative study of the photocatalytic hydrogen evolution over Cd1−xMnxS and CdS-β-Mn3O4-MnOOH photocatalysts under visible light. Nanomaterials 2021, 11, 355. [Google Scholar] [CrossRef]
- Potapenko, K.O.; Gerasimov, E.Y.; Cherepanova, S.V.; Saraev, A.A.; Kozlova, E.A. Efficient Photocatalytic Hydrogen Production over NiS-Modified Cadmium and Manganese Sulfide Solid Solutions. Materials 2022, 15, 8026. [Google Scholar] [CrossRef] [PubMed]
- Majeed, I.; Nadeem, M.A.; Al-Oufi, M.; Nadeem, M.A.; Waterhouse, G.I.N.; Badshah, A.; Metson, J.B.; Idriss, H. On the role of metal particle size and surface coverage for photo-catalytic hydrogen production: A case study of the Au/CdS system. Appl. Catal. B Environ. 2016, 182, 266–276. [Google Scholar] [CrossRef]
- Ulrich, F.; Zachariasen, W. Ueber die Kristallstruktur des alpha-und beta-Cd S, sowie des Wurtzits. Zeitschr. Für Kristall. 1925, 62, 260–273. [Google Scholar]
- Yeh, C.Y.; Lu, Z.W.; Froyen, S.; Zunger, A. Zinc-blendewurtzite polytypism in semiconductors. Phys. Rev. B 1992, 46, 10086–10097. [Google Scholar] [CrossRef] [PubMed]
- Corliss, L.; Elliott, N.; Hastings, J. Magnetic structures of the polymorphic forms of manganous sulfide. Phys. Rev. 1956, 104, 924–928. [Google Scholar] [CrossRef]
- Cook, W.R. The CdS-MnS and CdSe-MnSe Phase Diagrams. J. Am. Ceram. Soc. 1968, 51, 518–520. [Google Scholar] [CrossRef]
- Rodic, D.; Spasojevic, V.; Bajorek, A.; Onnerud, P. Similarity of structure properties of Hg1-xMnxS and Cd1-xMnxS (structure properties of HgMnS and CdMnS). J. Magn. Magn. Mater. 1996, 152, 159–164. [Google Scholar] [CrossRef]
- Junkermeier, C.E.; Lewis, J.P.; Bryant, G.W. Amorphous nature of small CdS nanoparticles: Molecular dynamics simulations. Phys. Rev. B-Condens. Matter Mater. Phys. 2009, 79, 125323. [Google Scholar] [CrossRef]
- Gibson, P.N.; Özsan, M.E.; Lincot, D.; Cowache, P.; Summa, D. Modelling of the structure of CdS thin films. Thin Solid Film. 2000, 361, 34–40. [Google Scholar] [CrossRef]
- Martínez, M.A.; Guillén, C.; Herrero, J. Morphological and structural studies of CBD-CdS thin films by microscopy and diffraction techniques. Appl. Surf. Sci. 1998, 136, 8–16. [Google Scholar] [CrossRef]
- Wang, W.; Liu, Z.; Zheng, C.; Xu, C.; Liu, Y.; Wang, G. Synthesis of CdS nanoparticles by a novel and simple one-step, solid-state reaction in the presence of a nonionic surfactant. Mater. Lett. 2003, 57, 2755–2760. [Google Scholar] [CrossRef]
- Wu, G.S.; Yuan, X.Y.; Xie, T.; Xu, G.C.; Zhang, L.D.; Zhuang, Y.L. A simple synthesis route to CdS nanomaterials with different morphologies by sonochemical reduction. Mater. Lett. 2004, 58, 794–797. [Google Scholar] [CrossRef]
- Rempel, A.A.; Kozhevnikova, N.S.; Van Den Berghe, S.; Van Renterghem, W.; Leenaers, A.J.G. Self-organization of cadmium sulfide nanoparticles on the macroscopic scale. Phys. Status Solidi B Basic Res. 2005, 242, R61–R63. [Google Scholar] [CrossRef]
- Vogel, W.; Urban, J.; Kundu, M.; Kulkarni, S.K. Sphalerite-wurtzite intermediates in nanocrystalline CdS. Langmuir 1997, 13, 827–832. [Google Scholar] [CrossRef]
- Metin, H.; Esen, R. Annealing studies on CBD grown CdS thin films. J. Cryst. Growth 2003, 258, 141–148. [Google Scholar] [CrossRef]
- Rusu, M.; Rumberg, A.; Schuler, S.; Nishiwaki, S.; Würz, R.; Babu, S.M.; Dziedzina, M.; Kelch, C.; Siebentritt, S.; Klenk, R.; et al. Optimisation of the CBD CdS deposition parameters for ZnO/CdS/CuGaSe2/Mo solar cells. J. Phys. Chem. Solids 2003, 64, 1849–1853. [Google Scholar] [CrossRef]
- Ghows, N.; Entezari, M.H. A novel method for the synthesis of CdS nanoparticles without surfactant. Ultrason. Sonochemistry 2011, 18, 269–275. [Google Scholar] [CrossRef]
- Fernando, D.; Khan, M.; Vasquez, Y. Control of the crystalline phase and morphology of CdS deposited on microstructured surfaces by chemical bath deposition. Mater. Sci. Semicond. Process. 2015, 30, 174–180. [Google Scholar] [CrossRef]
- Lincot, D.; Mokili, B.; Froment, M.; Cortès, R.; Bernard, M.C.; Witz, C.; Lafait, J. Phase transition and related phenomena in chemically deposited polycrystalline cadmium sulfide thin films. J. Phys. Chem. B 1997, 101, 2174–2181. [Google Scholar] [CrossRef]
- Vorokh, A.S.; Rempel, A.A. Disordered structure and the shape of nanoparticles of cadmium sulfide CdS. Dokl. Phys. 2007, 52, 200–203. [Google Scholar] [CrossRef]
- Vorokh, A.S.; Kozhevnikova, N.S.; Rempel, A.A. Transition of the CdS disordered structure to the wurtzite structure with an increase in the nanoparticle size. Bull. Russ. Acad. Sci. Phys. 2008, 72, 1395–1398. [Google Scholar] [CrossRef]
- Kumpf, C.; Neder, R.B.; Niederdraenk, F.; Luczak, P.; Stahl, A.; Scheuermann, M.; Joshi, S.; Kulkarni, S.K.; Barglik-Chory, C.; Heske, C.; et al. Structure determination of CdS and ZnS nanoparticles: Direct modeling of synchrotron-radiation diffraction data. J. Chem. Phys. 2005, 123, 224707. [Google Scholar] [CrossRef] [PubMed]
- Niederdraenk, F.; Seufert, K.; Luczak, P.; Kulkarni, S.K.; Chory, C.; Neder, R.B.; Kumpf, C. Structure of small II-VI semiconductor nanoparticles: A new approach based on powder diffraction. Phys. Status Solidi C Curr. Top. Solid State Phys. 2007, 4, 3234–3243. [Google Scholar] [CrossRef]
- Neder, R.B.; Korsunskiy, V.I.; Chory, C.; Müller, G.; Hofmann, A.; Dembski, S.; Graf, C.; Rühl, E. Structural characterization of II-VI semiconductor nanoparticles. Phys. Status Solidi C Curr. Top. Solid State Phys. 2007, 4, 3221–3233. [Google Scholar] [CrossRef]
- Neder, R.B.; Proffen, T. Diffuse Scattering and Defect Structure Simulations: A Cook Book Using the Program DISCUS; OUP Oxford: Oxford, UK, 2008. [Google Scholar]
- Niederdraenk, F.; Seufert, K.; Stahl, A.; Bhalerao-Panajkar, R.S.; Marathe, S.; Kulkarni, S.K.; Neder, R.B.; Kumpf, C. Ensemble modeling of very small ZnO nanoparticles. Phys. Chem. Chem. Phys. 2011, 13, 498–505. [Google Scholar] [CrossRef]
- Moscheni, D.; Bertolotti, F.; Piveteau, L.; Protesescu, L.; Dirin, D.N.; Kovalenko, M.V.; Cervellino, A.; Pedersen, J.S.; Masciocchi, N.; Guagliardi, A. Size-Dependent Fault-Driven Relaxation and Faceting in Zincblende CdSe Colloidal Quantum Dots. ACS Nano 2018, 12, 12558–12570. [Google Scholar] [CrossRef]
- Debye, P. Zerstreuung von Röntgenstrahlen. Ann. Der Phys. 1915, 351, 809–823. [Google Scholar] [CrossRef]
- Bao, N.; Shen, L.; Takata, T.; Domen, K.; Gupta, A.; Yanagisawa, K.; Grimes, C.A. Facile Cd-Thiourea complex thermolysis synthesis of phase-controlled CdS nanocrystals for photocatalytic hydrogen production under visible light. J. Phys. Chem. C 2007, 111, 17527–17534. [Google Scholar] [CrossRef]
- Li, Y.; Tang, L.; Peng, S.; Li, Z.; Lu, G. Phosphate-assisted hydrothermal synthesis of hexagonal CdS for efficient photocatalytic hydrogen evolution. CrystEngComm 2012, 14, 6974–6982. [Google Scholar] [CrossRef]
- Zhang, J.; Wageh, S.; Al-Ghamdi, A.A.; Yu, J. New understanding on the different photocatalytic activity of wurtzite and zinc-blende CdS. Appl. Catal. B Environ. 2016, 192, 101–107. [Google Scholar] [CrossRef]
- Evtushok, B.Y.; Cherepanova, S.V.; Kozlova, E.A. Structure and Morphology of Cds Nanoparticles. J. Struct. Chem. 2018, 59, 2011–2017. [Google Scholar] [CrossRef]
- Heiba, Z.K.; Mohamed, M.B.; Imam, N.G. Biphasic quantum dots of cubic and hexagonal Mn doped CdS; necessity of Rietveld analysisof Rietveld analysis. J. Alloys Compd. 2015, 618, 280–286. [Google Scholar] [CrossRef]
- Wang, X.; Feng, Z.; Fan, D.; Fan, F.; Li, C. Shape-controlled synthesis of cds nanostructures via a solvothermal method. Cryst. Growth Des. 2010, 10, 5312–5318. [Google Scholar] [CrossRef]
- Ghosh, A.; Paul, S.; Raj, S. Structural phase transformation from wurtzite to zinc-blende in uncapped CdS nanoparticles. Solid State Commun. 2013, 154, 25–29. [Google Scholar] [CrossRef]
- Singh, M.; Taele, B.M.; Goyal, M. Modeling of size and shape dependent band gap, dielectric constant and phonon frequency of semiconductor nanosolids. Chin. J. Phys. 2021, 70, 26–36. [Google Scholar] [CrossRef]









| T, °C | α | Rab, nm | Rc, nm | R, % |
|---|---|---|---|---|
| 80 | 0.47 | 3.2 | 4.1 | 6.6 |
| 100 | 0.47 | 3.5 | 5.5 | 6.4 |
| 120 | 0.42 | 4.3 | 6.1 | 7.4 |
| 140 | 0.36 | 6.3 | 9.7 | 9.6 |
Disclaimer/Publisher’s Note: The statements, opinions and data contained in all publications are solely those of the individual author(s) and contributor(s) and not of MDPI and/or the editor(s). MDPI and/or the editor(s) disclaim responsibility for any injury to people or property resulting from any ideas, methods, instructions or products referred to in the content. |
© 2023 by the authors. Licensee MDPI, Basel, Switzerland. This article is an open access article distributed under the terms and conditions of the Creative Commons Attribution (CC BY) license (https://creativecommons.org/licenses/by/4.0/).
Share and Cite
Cherepanova, S.; Kozlova, E. (Cd,Mn)S in the Composite Photocatalyst: Zinc Blende and Wurtzite Particles or Integrowth of These Two Modifications? Materials 2023, 16, 692. https://doi.org/10.3390/ma16020692
Cherepanova S, Kozlova E. (Cd,Mn)S in the Composite Photocatalyst: Zinc Blende and Wurtzite Particles or Integrowth of These Two Modifications? Materials. 2023; 16(2):692. https://doi.org/10.3390/ma16020692
Chicago/Turabian StyleCherepanova, Svetlana, and Ekaterina Kozlova. 2023. "(Cd,Mn)S in the Composite Photocatalyst: Zinc Blende and Wurtzite Particles or Integrowth of These Two Modifications?" Materials 16, no. 2: 692. https://doi.org/10.3390/ma16020692
APA StyleCherepanova, S., & Kozlova, E. (2023). (Cd,Mn)S in the Composite Photocatalyst: Zinc Blende and Wurtzite Particles or Integrowth of These Two Modifications? Materials, 16(2), 692. https://doi.org/10.3390/ma16020692

