Harsh Environmental-Tolerant and High-Performance Triboelectric Nanogenerator Based on Nanofiber/Microsphere Hybrid Membranes
Abstract
1. Introduction
2. Experimental Section
2.1. Materials
2.2. Fabrication of Nanofiber and Nanofiber/Microsphere Hybrid Membranes
2.3. Fabrication of Flexible HO-TENG
2.4. Characterization and Measurement
3. Results and Discussions
4. Conclusions
Author Contributions
Funding
Institutional Review Board Statement
Informed Consent Statement
Data Availability Statement
Conflicts of Interest
References
- Erchamo, Y.S.; Mamo, T.T.; Workneh, G.A.; Mekonnen, Y.S. Improved biodiesel production from waste cooking oil with mixed methanol-ethanol using enhanced eggshell-derived CaO nano-catalyst. Sci. Rep. 2021, 11, 6708. [Google Scholar] [CrossRef]
- Maksymuk, M.; Parashchuk, T.; Dzundza, B.; Nykyruy, L.; Chernyak, L.; Dashevsky, Z. Highly efficient bismuth tellurideebased thermoelectric microconverters. Mater. Today Energy 2021, 21, 100753. [Google Scholar] [CrossRef]
- Parashchuk, T.; Sidorenko, N.; Ivantsov, L.; Sorokin, A.; Maksymuk, M.; Dzundza, B.; Dashevsky, Z. Development of a solid-state multi-stage thermoelectric cooler. J. Power Sources 2021, 496, 229821. [Google Scholar] [CrossRef]
- Li, Y.G.; Hao, J.C.; Song, H.; Zhang, F.Y.; Bai, X.H.; Meng, X.G.; Zhang, H.Y.; Wang, S.F.; Hu, Y.; Ye, J.H. Selective light absorber-assisted single nickel atom catalysts for ambient sunlight-driven CO2 methanation. Nat. Commun. 2019, 10, 2359. [Google Scholar] [CrossRef] [PubMed]
- Chauhan, V.K.; Shukla, S.K.; Rathore, P.K.S. A systematic review for performance augmentation of solar still with heat storage materials: A state of art. J. Energy Storage 2022, 47, 103578. [Google Scholar] [CrossRef]
- Zou, Y.J.; Sun, M.Z.; Yan, F.; Du, T.L.; Xi, Z.Y.; Li, F.M.; Zhu, C.Q.; Wang, H.; Zhao, J.H.; Sun, P.T.; et al. A high-performance flag-type triboelectric nanogenerator for scavenging wind energy toward self-powered IoTs. Materials 2022, 15, 3696. [Google Scholar] [CrossRef] [PubMed]
- Maksymuk, M.; Dzundza, B.; Matkivsky, O.; Horichok, I.; Shneck, R.; Dashevsky, Z. Development of the high performance thermoelectric unicouple based on Bi2Te3 compounds. J. Power Sources 2022, 530, 231301. [Google Scholar] [CrossRef]
- Ma, D.G.; Li, J.D.; Liu, A.A.; Chen, C.C. Carbon gels-modified TiO2: Promising materials for photocatalysis applications. Materials 2020, 13, 1734. [Google Scholar] [CrossRef]
- Qiao, Y.; Li, S.H.; Liu, W.H.; Ran, M.Q.; Lu, H.F.; Yang, Y.P. Recent advances of rare-earth ion doped luminescent nanomaterials in perovskite solar cells. Nanomaterials 2018, 8, 43. [Google Scholar] [CrossRef]
- Lu, C.X.; Han, C.B.; Gu, G.Q.; Chen, J.; Yang, Z.W.; Jiang, T.; He, C.; Wang, Z.L. Temperature effect on performance of triboelectric nanogenerator. Adv. Eng. Mater. 2017, 19, 1700275. [Google Scholar] [CrossRef]
- Su, Y.J.; Chen, J.; Wu, Z.M.; Jiang, Y.D. Low temperature dependence of triboelectric effect for energy harvesting and self-powered active sensing. Appl. Phys. Lett. 2015, 106, 013114. [Google Scholar] [CrossRef]
- Xiang, H.J.; Zeng, Y.M.; Huang, X.M.; Wang, N.; Cao, X.; Wang, Z.L. From triboelectric nanogenerator to multifunctional triboelectric sensors: A chemical perspective toward the interface optimization and device integration. Small 2022, 18, 2107222. [Google Scholar] [CrossRef] [PubMed]
- Bian, Y.X.; Jiang, T.; Xiao, T.X.; Gong, W.P.; Cao, X.; Wang, Z.N.; Wang, Z.L. Triboelectric nanogenerator tree for harvesting wind energy and illuminating in subway tunnel. Adv. Mater. Technol. 2018, 3, 1700317. [Google Scholar] [CrossRef]
- Zhu, G.; Peng, B.; Chen, J.; Jing, Q.S.; Wang, Z.L. Triboelectric nanogenerators as a new energy technology: From fundamentals, devices, to applications. Nano Energy 2015, 14, 126–138. [Google Scholar] [CrossRef]
- Wang, S.Q.; Li, D.C. Design and analysis of a plane vibration-based electromagnetic generator using a magnetic spring and ferrofluid. J. Korean Phys. Soc. 2015, 67, 818–822. [Google Scholar] [CrossRef]
- Cherpakov, A.V.; Parinov, I.A.; Haldkar, R.K. Parametric and experimental modeling of axial-type piezoelectric energy generator with active base. Appl. Sci. 2022, 12, 1700. [Google Scholar] [CrossRef]
- Kwak, M.S.; Peddigeri, M.; Lee, H.Y.; Min, Y.H.; Park, K.; Kim, J.-H.; Yoon, W.-H.; Ryu, J.; Yi, S.N.; Jang, J.; et al. Exceeding 50 mW RMS-output magneto-mechano-electric generator by hybridizing piezoelectric and electromagnetic induction effects. Adv. Funct. Mater. 2022, 32, 2112028. [Google Scholar] [CrossRef]
- Fan, F.-R.; Tian, Z.-Q.; Wang, Z.L. Flexible triboelectric generator. Nano Energy 2012, 1, 328–334. [Google Scholar] [CrossRef]
- Tao, X.L.; Li, S.Y.; Shi, Y.X.; Wang, X.L.; Tian, J.W.; Liu, Z.Q.; Yang, P.; Chen, X.Y.; Wang, Z.L. Triboelectric polymer with high thermal charge stability for harvesting energy from 200 °C flowing air. Adv. Funct. Mater. 2021, 31, 2106082. [Google Scholar] [CrossRef]
- Graham, S.A.; Chandrarathna, S.C.; Patnam, H.; Manchi, P.; Lee, J.-W.; Yu, J.S. Harsh environment-tolerant and robust triboelectric nanogenerators for mechanical-energy harvesting, sensing, and energy storage in a smart home. Nano Energy 2021, 80, 105547. [Google Scholar] [CrossRef]
- Li, S.Y.; Jia, C.J.; Sun, F.X.; Zhu, Y.S. A self-powered triboelectric nanogenerator based on intelligent interactive system for police shooting training monitoring and virtual reality interaction. Materials 2022, 15, 6228. [Google Scholar] [CrossRef] [PubMed]
- Zhao, X.; Askari, H.; Chen, J. Nanogenerators for smart cities in the era of 5G and Internet of Things. Joule 2021, 5, 1391–1431. [Google Scholar] [CrossRef]
- Kim, J.J.; Wang, Y.; Wang, H.Y.; Lee, S.; Yokota, T.; Someya, T. Skin electronics: Next-generation device platform for virtual and augmented reality. Adv. Funct. Mater. 2021, 31, 2009602. [Google Scholar] [CrossRef]
- Dong, B.W.; Shi, Q.F.; Yang, Y.Q.; Wen, F.; Zhang, Z.X.; Lee, C.K. Technology evolution from self-powered sensors to a IoT enabled smart homes. Nano Energy 2021, 79, 105414. [Google Scholar] [CrossRef]
- Lv, S.S.; Zhang, X.; Huang, T.; Yu, H.; Zhang, Q.H.; Zhu, M.F. Trap distribution and conductivity synergic optimization of high-performance triboelectric nanogenerators for self-powered devices. ACS Appl. Mater. Interfaces 2021, 13, 2566–2575. [Google Scholar] [CrossRef]
- Zhang, X.; Lv, S.S.; Lu, X.C.; Yu, H.; Huang, T.; Zhang, Q.H.; Zhu, M.F. Synergistic enhancement of coaxial nanofiber-based triboelectric nanogenerator through dielectric and dispersity modulation. Nano Energy 2020, 75, 104894. [Google Scholar] [CrossRef]
- Wang, Z.; Liu, Z.R.; Zhang, Z.C.; Zhao, X.Y.; Wan, X.Y.; Zhang, Y.L.; Wang, Z.L.; Li, L.L. Stretchable unsymmetrical piezoelectric BaTiO3 composite hydrogel for triboelectric nanogenerators and multimodal sensors. ACS Nano 2022, 16, 1661–1670. [Google Scholar] [CrossRef]
- Lin, S.Q.; Xu, L.; Xu, C.; Chen, X.Y.; Wang, A.C.; Zhang, B.B.; Lin, P.; Yang, Y.; Zhao, H.B.; Wang, Z.L. Electron transfer in nanoscale contact electrification: Effect of temperature in the metal-dielectric case. Adv. Mater. 2019, 31, 1808197. [Google Scholar] [CrossRef]
- Wang, A.C.; Zhang, B.B.; Xu, C.; Zou, H.Y.; Lin, Z.Q.; Wang, Z.L. Unraveling temperature-dependent contact electrification between sliding-mode triboelectric pairs. Adv. Funct. Mater. 2020, 30, 1909384. [Google Scholar] [CrossRef]
- Wang, Z.L.; Wang, A.C. On the origin of contact-electrification. Mater. Today 2019, 30, 34–51. [Google Scholar] [CrossRef]
- Seol, M.-L.; Han, J.-W.; Moon, D.-I.; Meyyappan, M. Triboelectric nanogenerator for Mars environment. Nano Energy 2017, 39, 238–244. [Google Scholar] [CrossRef]
- Xu, C.; Wang, A.C.; Zou, H.Y.; Zhang, B.B.; Zhang, C.L.; Zi, Y.L.; Pan, L.; Wang, P.H.; Feng, P.Z.; Lin, Z.Q.; et al. Raising the working temperature of a triboelectric nanogenerator by quenching down electron thermionic emission in contact-electrification. Adv. Mater. 2018, 30, 1803968. [Google Scholar] [CrossRef]
- Xu, C.; Zi, Y.L.; Wang, A.C.; Zou, H.Y.; Dai, Y.J.; He, X.; Wang, P.H.; Wang, Y.C.; Feng, P.Z.; Li, D.W.; et al. On the electron-transfer mechanism in the contact-electrification effect. Adv. Mater. 2018, 30, 1706790. [Google Scholar] [CrossRef] [PubMed]
- Cao, R.R.; Xia, Y.F.; Wang, J.; Jia, X.Y.; Jia, C.Y.; Zhu, S.L.; Zhang, W.F.; Gao, X.F.; Zhang, X.X. Suppressing thermal negative effect and maintaining high-temperature steady electrical performance of triboelectric nanogenerators by employing phase change material. ACS Appl. Mater. Interfaces 2021, 13, 41657–41668. [Google Scholar]
- Zhang, P.; Zhang, W.K.; Deng, L.; Zhang, H.H. A triboelectric nanogenerator based on temperature-stable high dielectric BaTiO3-based ceramic powder for energy harvesting. Nano Energy 2021, 87, 106176. [Google Scholar] [CrossRef]
- Xiao, X.Z.; Lü, C.; Wang, G.; Xu, Y.; Wang, J.P.; Yang, H. Flexible triboelectric nanogenerator from micro-nano structured polydimethylsiloxane. Chem. Res. Chin. Univ. 2015, 31, 434–438. [Google Scholar] [CrossRef]
- Rodrigues, C.; Kumar, M.; Proenca, M.P.; Gutierrez, J.; Melo, R.; Pereira, A.; Ventura, J. Triboelectric energy harvesting in harsh conditions: Temperature and pressure effects in methane and crude oil environments. Nano Energy 2020, 72, 104682. [Google Scholar] [CrossRef]
- Huang, L.B.; Dai, X.Y.; Sun, Z.H.; Wong, M.-C.; Pang, S.-Y.; Han, J.C.; Zheng, Q.Q.; Zhao, C.-H.; Kong, J.; Hao, J.H. Environment-resisted flexible high performance triboelectric nanogenerators based on ultrafast self-healing non-drying conductive organohydrogel. Nano Energy 2021, 82, 105724. [Google Scholar] [CrossRef]
- Bui, V.-T.; Huynh, N.D.; Chau, N.M.; Kim, W.; Kim, H.; Oh, I.-K.; Huynh, D.P.; Choi, D. High-temperature operatable triboelectric nanogenerator using microdome-patterned polyimide for self-powered sensors. Nano Energy 2022, 101, 107612. [Google Scholar] [CrossRef]
- Wen, J.; Chen, B.D.; Tang, W.; Jiang, T.; Zhu, L.P.; Xu, L.; Chen, J.; Shao, J.J.; Han, K.; Ma, W.; et al. Harsh-environmental-resistant triboelectric nanogenerator and its applications in autodrive safety warning. Adv. Energy Mater. 2018, 8, 1801898. [Google Scholar] [CrossRef]
- Pu, X.; Liu, M.M.; Chen, X.Y.; Sun, J.M.; Du, C.H.; Zhang, Y.; Zhai, J.Y.; Hu, W.G.; Wang, Z.L. Ultrastretchable, transparent triboelectric nanogenerator as electronic skin for biomechanical energy harvesting and tactile sensing. Sci. Adv. 2017, 3, e1700015. [Google Scholar] [CrossRef]
- Yuan, E.Q.; Yang, N.; Fan, S.W.; Huang, Y.R.; You, Y.R.; You, D.; Wang, J.R.; Zhang, Q.L.; Chu, C.L.; Chen, Z.Z.; et al. Biomechanical motion-activated endogenous wound healing through LBL self-powered nanocomposite repairer with pH-responsive anti-inflammatory effect. Small 2021, 17, 2103997. [Google Scholar] [CrossRef]
- Niu, S.M.; Wang, Z.L. Theoretical systems of triboelectric nanogenerators. Nano Energy 2015, 14, 161–192. [Google Scholar] [CrossRef]
- Park, J.; Jo, S.; Kim, Y.; Zaman, S.; Kim, D. Electrospun nanofiber covered polystyrene micro-nano hybrid structures for triboelectric nanogenerator and supercapacitor. Micromachines 2022, 13, 380. [Google Scholar] [CrossRef]
- Ahn, J.; Zhao, Z.-J.; Choi, J.; Jeong, Y.; Hwang, S.; Ko, J.; Gu, J.M.; Jeon, S.; Park, J.; Kang, M.G.; et al. Morphology-controllable wrinkled hierarchical structure and its application to superhydrophobic triboelectric nanogenerator. Nano Energy 2021, 85, 105978. [Google Scholar] [CrossRef]
- Zhang, J.J.; Zheng, Y.B.; Xu, L.; Wang, D.A. Oleic-acid enhanced triboelectric nanogenerator with high output performance and wear resistance. Nano Energy 2020, 69, 104435. [Google Scholar] [CrossRef]
- Xia, X.N.; Chen, J.; Guo, H.Y.; Liu, G.L.; Wei, D.P.; Xi, Y.; Wang, X.; Hu, C.G. Embedding variable micro-capacitors in polydimethylsiloxane for enhancing output power of triboelectric nanogenerator. Nano Res. 2017, 10, 320–330. [Google Scholar] [CrossRef]
- Shi, L.; Jin, H.; Dong, S.R.; Huang, S.Y.; Kuang, H.Z.; Xu, H.S.; Chen, J.K.; Xuan, W.P.; Zhang, S.M.; Li, S.J.; et al. High-performance triboelectric nanogenerator based on electrospun PVDF-graphene nanosheet composite nanofibers for energy harvesting. Nano Energy 2021, 80, 105599. [Google Scholar] [CrossRef]
- Zhang, J.-H.; Zhou, Z.; Li, J.A.; Shen, B.Z.; Zhu, T.S.; Gao, X.X.; Tao, R.W.; Guo, X.; Hu, X.P.; Shi, Y.; et al. Coupling enhanced performance of triboelectric-piezoelectric hybrid nanogenerator based on nanoporous film of poly(vinylidene fluoride)/BaTiO3 composite electrospun fibers. ACS Mater. Lett. 2022, 4, 847–852. [Google Scholar] [CrossRef]
- Jin, L.; Xiao, X.; Deng, W.; Nashalian, A.; He, D.; Raveendran, V.; Yan, C.; Su, H.; Chu, X.; Yang, T.; et al. Manipulating Relative Permittivity for High-Performance Wearable Triboelectric Nanogenerators. Nano Lett. 2020, 20, 6404–6411. [Google Scholar] [CrossRef] [PubMed]
- Papež, N.; Pisarenko, T.; Ščasnovič, E.; Sobola, D.; Ţălu, Ş.; Dallaev, R.; Částková, K.; Sedlák, P. A brief introduction and current state of polyvinylidene fluoride as an energy harvester. Coatings 2022, 12, 1429. [Google Scholar] [CrossRef]
- Částková, K.; Kastyl, J.; Sobola, D.; Petruš, J.; Št’astná, E.; Říha, D.; Tofel, P. Structure-properties relationship of electrospun PVDF fibers. Nanomaterials 2020, 10, 1221. [Google Scholar] [CrossRef] [PubMed]
- Černohorský, P.; Pisarenko, T.; Papež, N.; Sobola, D.; Ţălu, Ş.; Částková, K.; Kaštyl, J.; Macků, R.; Škarvada, P.; Sedlák, P. Structure tuning and electrical properties of mixed PVDF and nylon nanofibers. Materials 2021, 14, 6096. [Google Scholar] [CrossRef]
- Ding, Y.H.; Di, W.; Jiang, Y.; Xu, F.; Long, Z.L.; Ren, F.M.; Zhang, P. The morphological evolution, mechanical properties and ionic conductivities of electrospinning P(VDF-HFP) membranes at various temperatures. Ionics 2009, 15, 731–734. [Google Scholar] [CrossRef]
- Itoh, H.; Li, Y.; Chan, K.H.K.; Kotaki, M. Morphology and mechanical properties of PVA nanofibers spun by free surface electrospinning. Polym. Bull. 2016, 73, 2761–2777. [Google Scholar] [CrossRef]
- Jin, T.; Sun, Z.D.; Li, L.; Zhang, Q.; Zhu, M.L.; Zhang, Z.X.; Yuan, G.J.; Chen, T.; Tian, Y.Z.; Hou, X.Y.; et al. Triboelectric nanogenerator sensors for soft robotics aiming at digital twin applications. Nat. Commun. 2020, 11, 5381. [Google Scholar] [CrossRef] [PubMed]
- Hua, Q.L.; Sun, J.L.; Liu, H.T.; Bao, R.R.; Yu, R.M.; Zhai, J.Y.; Pan, C.F.; Wang, Z.L. Skin-inspired highly stretchable and conformable matrix networks for multifunctional sensing. Nat. Commun. 2018, 9, 244. [Google Scholar] [CrossRef]
- An, S.S.; Pu, X.J.; Zhou, S.Y.; Wu, Y.H.; Li, G.; Xing, P.C.; Zhang, Y.S.; Hu, C.G. Deep learning enabled neck motion detection using a triboelectric nanogenerator. ACS Nano 2022, 16, 9359–9367. [Google Scholar] [CrossRef]
- Cheng, Y.; Zhu, W.D.; Lu, X.F.; Wang, C. Mechanically robust, stretchable, autonomously adhesive, and environmentally tolerant triboelectric electronic skin for self-powered healthcare monitoring and tactile sensing. Nano Energy 2022, 102, 107636. [Google Scholar] [CrossRef]
- Li, Y.; Xiao, S.; Zhang, X.X.; Jia, P.; Tian, S.S.; Pan, C.; Zeng, F.P.; Chen, D.C.; Chen, Y.Y.; Tang, J.; et al. Silk inspired in-situ interlocked superelastic microfibers for permeable stretchable triboelectric nanogenerator. Nano Energy 2022, 98, 107347. [Google Scholar] [CrossRef]
- Shi, R.F.; Zhang, J.K.; Yang, J.H.; Xu, Y.L.; Li, C.H.; Chen, S.; Xu, F. Direct-ink-write printing and electrospinning of cellulose derivatives for conductive composite materials. Materials 2022, 15, 2840. [Google Scholar] [CrossRef] [PubMed]
- Park, D.; Hong, J.-H.; Choi, D.; Kim, D.; Jung, W.H.; Yoon, S.S.; Kim, K.H.; An, S. Biocompatible and mechanically-reinforced tribopositive nanofiber mat for wearable and antifungal human kinetic-energy harvester based on wood-derived natural product. Nano Energy 2022, 96, 107091. [Google Scholar] [CrossRef]
- Cao, R.R.; Pei, D.F.; Li, S.Q.; Chen, S.; Li, W.; Zhang, X.X. Electrospinning of thermo-regulated sheath/core submicrometer fiber with galactitol hexa palmitate as a core. Text. Res. J. 2017, 89, 354–363. [Google Scholar]
- Li, C.X.; Zhu, Y.S.; Sun, F.X.; Jia, C.J.; Zhao, T.M.; Mao, Y.P.; Yang, H.D. Research progress on triboelectric nanogenerator for sports applications. Energies 2022, 15, 5807. [Google Scholar] [CrossRef]
- Yun, J.; Cho, H.; Park, J.; Kim, D. Self-powered and flexible triboelectric sensors with oblique morphology towards smart swallowing rehabilitation monitoring system. Materials 2022, 15, 2240. [Google Scholar] [CrossRef]
- Fan, F.-R.; Lin, L.; Zhu, G.; Wu, W.Z.; Zhang, R.; Wang, Z.L. Transparent triboelectric nanogenerators and self-powered pressure sensors based on micropatterned plastic films. Nano Lett. 2012, 12, 3109–3114. [Google Scholar] [CrossRef]
- Xie, X.K.; Zhang, Y.; Chen, C.; Chen, X.P.; Yao, T.; Peng, M.F.; Chen, X.J.; Nie, B.Q.; Wen, Z.; Sun, X.H. Frequency-independent self-powered sensing based on capacitive impedance matching effect of triboelectric nanogenerator. Nano Energy 2019, 65, 103984. [Google Scholar] [CrossRef]
- Palsaniya, S.; Nemade, H.B.; Dasmahapatra, A.K. Size dependent triboelectric nanogenerator and effect of temperature. In Proceedings of the 2018 3rd International Conference on Microwave and Photonics (ICMAP 2018), Dhanbad, India, 9–11 February 2018. [Google Scholar]
- Bao, D.Q.; Wen, Z.; Shi, J.H.; Xie, L.J.; Jiang, H.X.; Jiang, J.X.; Yang, Y.Q.; Liao, W.Q.; Sun, X.H. An anti-freezing hydrogel based stretchable triboelectric nanogenerator for biomechanical energy harvesting at sub-zero temperature. J. Mater. Chem. A 2020, 8, 13787–13794. [Google Scholar] [CrossRef]
- Bui, V.-T.; Chau, N.M.; Huynh, D.P.; Huynh, N.D.; Choi, D.; Do, H.N. Honeycomb-patterned polyimide-Based triboelectric nanogenerator with excellent thermal stability and enhanced electrification performance. ACS Appl. Energy Mater. 2022, 5, 9791–9800. [Google Scholar] [CrossRef]
- Guan, Q.B.; Lu, X.; Chen, Y.Y.; Zhang, H.Y.; Zheng, Y.X.; Neisiany, R.E.; You, Z.W. High-performance liquid crystalline polymer for intrinsic fire-resistant and flexible triboelectric nanogenerators. Adv. Mater. 2022, 34, 2204543. [Google Scholar] [CrossRef]









| Ref. | Triboelectric Pairs | Operating Temperature (°C) | Voc/Isc | χ (%) |
|---|---|---|---|---|
| [42] | OA-PS/Nylon | 25 | 6.89 V | 100.00 |
| OA-PS/Nylon | 60 | 2.50 V | 36.25 | |
| OA-PS/Nylon | 70 | 1.85 V | 26.82 | |
| [36] | PTFE/Nylon 6.6 | 25 | 6.23 V | 100.00 |
| PTFE/Nylon 6.6 | 70 | 3.94 V | 63.24 | |
| [37] | PTEF/Cu | 25 | 199.48 V | 100.00 |
| PTEF/Cu | 70 | 103.48 V | 51.87 | |
| [69] | PTFE/Al | 30 | 0.75 V | 100.00 |
| PTFE/Al | 40 | 0.30 V | 40.00 | |
| PTFE/Al | 50 | 0.18 V | 24.00 | |
| PTFE/Al | 60 | 0.16 V | 21.33 | |
| [70] | Silicone/Skin | 20 | 6.092 μA | 100.00 |
| Silicone/Skin | 60 | 4.437 μA | 72.84 | |
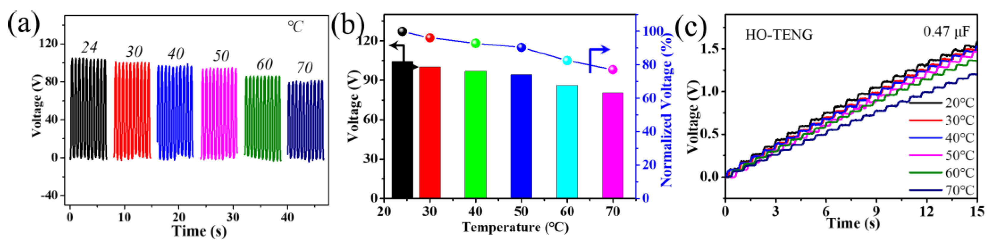
| This study | FSHM/Cu | 24 | 104.32 V | 100.00 |
| FSHM/Cu | 50 | 94.33 V | 90.42 | |
| FSHM/Cu | 60 | 86.09 V | 82.52 | |
| FSHM/Cu | 70 | 80.42 V | 77.10 |
Disclaimer/Publisher’s Note: The statements, opinions and data contained in all publications are solely those of the individual author(s) and contributor(s) and not of MDPI and/or the editor(s). MDPI and/or the editor(s) disclaim responsibility for any injury to people or property resulting from any ideas, methods, instructions or products referred to in the content. |
© 2023 by the authors. Licensee MDPI, Basel, Switzerland. This article is an open access article distributed under the terms and conditions of the Creative Commons Attribution (CC BY) license (https://creativecommons.org/licenses/by/4.0/).
Share and Cite
Sun, D.; Cao, R.; Wu, H.; Li, X.; Yu, H.; Guo, L. Harsh Environmental-Tolerant and High-Performance Triboelectric Nanogenerator Based on Nanofiber/Microsphere Hybrid Membranes. Materials 2023, 16, 562. https://doi.org/10.3390/ma16020562
Sun D, Cao R, Wu H, Li X, Yu H, Guo L. Harsh Environmental-Tolerant and High-Performance Triboelectric Nanogenerator Based on Nanofiber/Microsphere Hybrid Membranes. Materials. 2023; 16(2):562. https://doi.org/10.3390/ma16020562
Chicago/Turabian StyleSun, Dequan, Ruirui Cao, Haoyi Wu, Xin Li, Haoran Yu, and Lijin Guo. 2023. "Harsh Environmental-Tolerant and High-Performance Triboelectric Nanogenerator Based on Nanofiber/Microsphere Hybrid Membranes" Materials 16, no. 2: 562. https://doi.org/10.3390/ma16020562
APA StyleSun, D., Cao, R., Wu, H., Li, X., Yu, H., & Guo, L. (2023). Harsh Environmental-Tolerant and High-Performance Triboelectric Nanogenerator Based on Nanofiber/Microsphere Hybrid Membranes. Materials, 16(2), 562. https://doi.org/10.3390/ma16020562
