A Nitrogen-Rich DOPO-Based Derivate for Increasing Fire Resistance of Epoxy Resin with Comparable Transparency
Abstract
1. Introduction
2. Experimental
2.1. Synthesis of the FATP
2.2. Preparation of Flame-Retardant Epoxy Thermosets (FREPs)
3. Results and Discussion
3.1. Characterization of the FATP
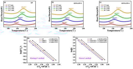
3.2. Curing Behaviors of FREPs
3.3. Flame Retardancy of the FREPs
3.4. Thermal Stability of the FREPs
3.5. Analysis of Combustion Behaviors
3.6. Characterization of Char Residues
3.7. Gaseous Products Analysis
3.8. Possible Flame-Retardant Mechanism
3.9. Thermal and Mechanical Properties
3.10. Transparency Analysis
4. Conclusions
Supplementary Materials
Author Contributions
Funding
Institutional Review Board Statement
Informed Consent Statement
Data Availability Statement
Conflicts of Interest
References
- Wang, H.; Li, S.; Zhu, Z.; Yin, X.; Wang, L.; Weng, Y.; Wang, X. A novel DOPO-based flame retardant containing benzimidazolone structure with high charring ability towards low flammability and smoke epoxy resins. Polym. Degrad. Stab. 2020, 183, 109426. [Google Scholar] [CrossRef]
- He, L.; Chen, T.; Zhang, Y.; Hu, L.; Wang, T.; Han, R.; He, J.-L.; Luo, W.; Liu, Z.-G.; Deng, J.-N.; et al. Imide-DOPO derivative endows epoxy resin with excellent flame retardancy and fluorescence without losing glass transition temperature. Composites B Eng. 2021, 230, 109533. [Google Scholar] [CrossRef]
- Price, D.; Anthony, G.; Carty, P. Fire Retardant Materials; Elsevier: Cambridge, UK, 2001. [Google Scholar]
- Huo, S.; Song, P.; Yu, B.; Ran, S.; Chevali, V.S.; Liu, L.; Fang, Z.; Wang, H. Phosphorus-containing flame retardant epoxy thermosets: Recent advances and future perspectives. Prog. Polym. Sci. 2021, 114, 101366. [Google Scholar] [CrossRef]
- Zaikov, G.E.; Lomakin, S.M. Ecological issue of polymer flame retardancy. J. Appl. Polym. Sci. 2002, 86, 2449–2462. [Google Scholar] [CrossRef]
- Pourchet, S.; Sonnier, R.; Ben-Abdelkader, M.; Gaillard, Y.; Ruiz, Q.; Placet, V.; Plasseraud, L.; Boni, G. New Reactive Isoeugenol Based Phosphate Flame Retardant: Toward Green Epoxy Resins. ACS Sustain. Chem. Eng. 2019, 7, 14074–14088. [Google Scholar] [CrossRef]
- Wang, X.; Guo, W.; Song, L.; Hu, Y. Intrinsically flame-retardant bio-based epoxy thermosets: A review. Composites B Eng. 2019, 179, 107487.1–107487.13. [Google Scholar] [CrossRef]
- Zhao, J.; Dong, X.; Huang, S.; Tian, X.; Song, L.; Yu, Q.; Wang, Z. Performance comparison of flame retardant epoxy resins modified by DPO-PHE and DOPO-PHE. Polym. Degrad. Stab. 2018, 156, 89–99. [Google Scholar] [CrossRef]
- Cheng, J.; Duan, H.; Yang, S.; Wang, J.; Zhang, Q.; Ding, G.; Hu, Y.; Huo, S. A P/N-containing flame retardant constructed by phosphaphenanthrene, phosphonate, and triazole and its flame retardant mechanism in reducing fire hazards of epoxy resin. J. Appl. Polym. Sci. 2020, 137, 49090. [Google Scholar] [CrossRef]
- Niu, H.; Nabipour, H.; Wang, X.; Song, L.; Hu, Y. Phosphorus-Free Vanillin-Derived Intrinsically Flame-Retardant Epoxy Thermoset with Extremely Low Heat Release Rate and Smoke Emission. ACS Sustain. Chem. Eng. 2021, 9, 5268–5277. [Google Scholar] [CrossRef]
- Zhu, Z.; Lin, P.; Wang, H.; Wang, L.; Yu, B.; Yang, F. A facile one-step synthesis of highly efficient melamine salt reactive flame retardant for epoxy resin. J. Mater. Sci. 2020, 55, 12836–12847. [Google Scholar] [CrossRef]
- Ye, X.; Li, J.; Zhang, W.; Yang, R.; Li, J. Fabrication of eco-friendly and multifunctional sodium-containing polyhedral oligomeric silsesquioxane and its flame retardancy on epoxy resin. Composites B Eng. 2020, 191, 107961. [Google Scholar] [CrossRef]
- Ye, X.; Zhang, W.; Yang, R.; He, J.; Li, J.; Zhao, F. Facile synthesis of lithium containing polyhedral oligomeric phenyl silsesquioxane and its superior performance in transparency, smoke suppression and flame retardancy of epoxy resin. Comp. Sci. Technol. 2020, 189, 108004. [Google Scholar] [CrossRef]
- Battig, A.; Markwart, J.C.; Wurm, F.R.; Schartel, B. Sulfur’s role in the flame retardancy of thio-ether-linked hyperbranched polyphosphoesters in epoxy resins. Eur. Polym. J. 2020, 122, 109390. [Google Scholar] [CrossRef]
- Perez, R.; Sandler, J.; Altstädt, V.; Hoffmann, T.; Pospiech, D.; Ciesielski, M.; Döring, M.; Braun, U.; Balabanovich, A.; Schartel, B. Novel phosphorus-modified polysulfone as a combined flame retardant and toughness modifer for epoxy resins. Polymer 2007, 48, 778. [Google Scholar] [CrossRef]
- Ma, C.; Qiu, S.; Yu, B.; Wang, J.; Wang, C.; Zeng, W.; Hu, Y. Economical and environment-friendly synthesis of a novel hyperbranched poly(aminomethylphosphine oxide-amine) as co-curing agent for simultaneous improvement of fire safety, glass transition temperature and toughness of epoxy resins. Chem. Eng. J. 2017, 322, 618–631. [Google Scholar] [CrossRef]
- Chen, R.; Hu, K.; Tang, H.; Wang, J.; Zhu, F.; Zhou, H. A novel flame retardant derived from DOPO and piperazine and its application in epoxy resin: Flame retardance, thermal stability and pyrolysis behavior. Polym. Degrad. Stab. 2019, 166, 334. [Google Scholar] [CrossRef]
- Chen, L.; Jiang, Q.; Luo, Z.; Wang, B. Facile synthesis of a reactive P/N/S-containing compound toward highly effective flame retardancy of epoxy resin with high transparency and improved mechanical strength. Fire Saf. J. 2021, 126, 103472. [Google Scholar] [CrossRef]
- Qi, Z.; Zhang, W.; He, X.; Yang, R. High-efficiency flame retardency of epoxy resin composites with perfect T-8 caged phosphorus containing polyhedral oligomeric silsesquioxanes (P-POSSs). Comp. Sci. Technol. 2016, 127, 8. [Google Scholar] [CrossRef]
- Wang, J. Mechanistic study of the flame retardancy of epoxy resin with a novel phosphorus and silicon-containing flame retardant. J. Macromol. Sci. 2020, 59, 479. [Google Scholar] [CrossRef]
- Jiang, G.; Xiao, Y.; Qian, Z. A novel phosphorus-, nitrogen- and sulfur-containing macromolecule flame retardant for constructing high-performance epoxy resin composites. Chem. Eng. J. 2023, 451, 137823. [Google Scholar] [CrossRef]
- Wang, P.; Chen, L.; Xiao, H. Nitrogen/sulfur-containing DOPO based oligomer for highly efficient flame-retardant epoxy resin. Polym. Degrad. Stab. 2019, 171, 109023. [Google Scholar] [CrossRef]
- Liu, N.; Wang, H.; Xu, B.; Qu, L.; Fang, D. Cross-linkable phosphorus/nitrogen-containing aromatic ethylenediamine endowing epoxy resin with excellent flame retardancy and mechanical properties. Compostites A Appl. S. 2022, 162, 107145. [Google Scholar] [CrossRef]
- Chen, Y.; Duan, H.; Ji, S.; Ma, H. Novel phosphorus/nitrogen/boron-containing carboxylic acid as co-curing agent for fire safety of epoxy resin with enhanced mechanical properties. J. Hazard. Mater. 2021, 402, 123769. [Google Scholar] [CrossRef]
- Tang, H.; Zhou, H. A novel nitrogen, phosphorus, and boron ionic pair compound toward fire safety and mechanical enhancement effect for epoxy resin. Polym. Adv. Technol. 2019, 31, 885. [Google Scholar] [CrossRef]
- Huo, S.; Yang, S.; Wang, J.; Cheng, J.; Zhang, Q.; Hu, Y.; Ding, G.; Zhang, Q.; Song, P.; Wang, H. A liquid phosphaphenanthrene-derived imidazole for improved flame retardancy and smoke suppression of epoxy resin. ACS Appl. Polym. Mater. 2020, 2, 3566. [Google Scholar] [CrossRef]
- Huo, S.; Wang, J.; Yang, S.; Li, C.; Wang, X.; Cai, H. Synthesis of a DOPO-containing imidazole curing agent and its application in reactive flame retarded epoxy resin. Polym. Degrad. Stab. 2018, 159, 78. [Google Scholar] [CrossRef]
- Wang, P.; Cai, Z. Highly efficient flame-retardant epoxy resin with a novel DOPO-based triazole compound: Thermal stability, flame retardancy and mechanism. Polym. Degrad. Stab. 2017, 137, 138. [Google Scholar] [CrossRef]
- Li, S.; Zhang, Y.; Li, L.; Zhang, X. Synthesis of a phosphaphenanthrene/triazole oligomer for simultaneous improvement of flame retardancy and smoke suppression of epoxy resins. Comp. Commun. 2021, 28, 100965. [Google Scholar] [CrossRef]
- Tang, S.; Qian, L.; Liu, X.; Dong, Y. Gas-phase flame-retardant effects of a bi-group compound based on phosphaphenanthrene and triazine-trione groups in epoxy resin. Polym. Degrad. Stab. 2016, 133, 350. [Google Scholar] [CrossRef]
- Wirasaputra, A.; Yao, X.; Zhu, Y.; Liu, S.; Yuan, Y.; Zhao, J.; Fu, Y. Flame-retarded epoxy resins with a curing agent of DOPO-triazine based anhydride. Macromol. Mater. Eng. 2016, 301, 982. [Google Scholar] [CrossRef]
- Ai, Y.-F.; Pang, F.-Q.; Xu, Y.-L.; Jian, R.-K. Multifunctional phosphorus-containing triazolyl amine toward self-intumescent flame-retardant and mechanically strong epoxy resin with high transparency. Ind. Eng. Chem. Res. 2020, 59, 11918. [Google Scholar] [CrossRef]
- Pang, F.Q.; Liu, X.D.; Zheng, X.T.; Lin, Y.C.; Jian, R.K. An intrinsic flame retardant epoxy resin with high transparency and strengthened mechanical property. J. Appl. Polym. Sci. 2021, 138, e51230. [Google Scholar] [CrossRef]
- Zhou, C.; Wang, X.; Wang, J.; Pan, Z.; Zhou, H. Epoxy resin modified with chitosan derivatives and DOPO: Improved flame retardancy, mechanical properties and transparency. Polym. Degrad. Stab. 2022, 199, 109931. [Google Scholar] [CrossRef]
- Qiao, H.; Su, L.; Liu, C.; Zhang, H.; Chen, M. From laboratory to industrialization: Eco-friendly flame retardant endowing epoxy resin with excellent flame retardancy, transparency, and mechanical properties. Polym. Adv. Technol. 2022, 33, 1695. [Google Scholar] [CrossRef]
- Liu, Z.; Zhao, Y.; Tang, Q.; Zhang, K.; Deng, W.; Zhang, L.; Wang, R.; Chen, J.; Deng, J.; Liao, W.; et al. Highly efficient flame-retardant and transparent epoxy resin. Polym. Adv. Technol. 2021, 32, 2940. [Google Scholar] [CrossRef]
- Wang, X.; Liu, Q.; Wang, J.; Liu, J.; Long, S.; Wang, D. Synthesis of multifunctional flame retardant with toughening and transparency and its application in epoxy resin. React. Funct. Polym. 2022, 176, 105289. [Google Scholar] [CrossRef]
- Nasrollahzadeh, M.; Nezafat, Z.; Bidgoli, N.S.S.; Shafiei, N. Use of tetrazoles in catalysis and energetic applications: Recent developments. Mol. Catal. 2021, 513, 111788. [Google Scholar] [CrossRef]
- Wang, P.; Chen, L.; Xiao, H. Flame retardant effect and mechanism of a novel DOPO based tetrazole derivative on epoxy resin. J. Anal. Appl. Pyrolysis 2019, 139, 104. [Google Scholar] [CrossRef]
- Meng, J.; Zeng, Y.; Chen, P.; Zhang, J.; Yao, C.; Fang, Z.; Ouyang, P.; Guo, K. Flame retardancy and mechanical properties of bio-based furan epoxy resins with high crosslink density. Macromol. Mater. Eng. 2020, 305, 19000587. [Google Scholar] [CrossRef]
- Xie, W.; Huang, S.; Tang, D.; Liu, S.; Zhao, J. Synthesis of a furfural-based DOPO-containing co-curing agent for fire-safe epoxy resins. RSC Adv. 2020, 10, 104. [Google Scholar]
- He, K. Reaction kinetics in differential thermal analysis. Anal. Chem. 1957, 29, 1417. [Google Scholar]
- Ozawa, T. Kinetic analysis of derivative curves in thermal analysis. J. Therm. Anal. 1970, 2, 301. [Google Scholar] [CrossRef]
- Jian, R.; Wang, P.; Xia, L.; Zheng, X. Effect of a novel P/N/S-containing reactive flame retardant on curing behavior, thermal and flame-retardant properties of epoxy resin. J. Anal. Appl. Pyrolysis 2017, 127, 360–368. [Google Scholar] [CrossRef]
- Huo, S.; Zhou, Z.; Jiang, J.; Sai, T.; Ran, S.; Fang, Z.; Song, P.; Wang, H. Flame-retardant, transparent, mechanically-strong and tough epoxy resin enabled by high-efficiency multifunctional boron-based polyphosphonamide. Chem. Eng. J. 2022, 427, 131578. [Google Scholar] [CrossRef]
- Zhang, Y.; Liu, R.; Yu, R.; Yang, K.; Guo, L.; Yan, H. Phosphorus-free hyperbranched polyborate flame retardant: Ultra-high strength and toughness, reduced fire hazards and unexpected transparency for epoxy resin. Composites B Eng. 2022, 242, 110101. [Google Scholar] [CrossRef]
- Zhang, C.; Duan, H.; Wan, C.; Liu, C.; Zhao, H.; Ma, H. Simultaneously improving the thermal stability, mechanical properties and flame retardancy of epoxy resin by a phosphorus/nitrogen/sulfur-containing reactive flame retardant. Mater. Today Commun. 2021, 30, 103108. [Google Scholar] [CrossRef]
- Zhang, Q.; Wang, J.; Yang, S.; Cheng, J.; Ding, G.; Huo, S. Facile construction of one-component intrinsic flame-retardant epoxy resin system with fast curing ability using imidazole-blocked bismaleimide. Composites B Eng. 2019, 177, 107380. [Google Scholar] [CrossRef]
- Xu, M.-J.; Xu, G.-R.; Leng, Y.; Li, B. Synthesis of a novel flame retardant based on cyclotriphosphazene and DOPO groups and its application in epoxy resins. Polym. Degrad. Stab. 2016, 123, 105. [Google Scholar] [CrossRef]
- Qian, L.; Qiu, Y.; Wang, J.; Xi, W. High-performance flame retardancy by char-cage hindering and free radical quenching effects in epoxy thermosets. Polymer 2015, 68, 262. [Google Scholar] [CrossRef]
- Qian, L.; Ye, L.; Qiu, Y.; Qu, S. Thermal degradation behavior of the compound containing phosphaphenanthrene and phosphazene groups and its flame retardant mechanism on epoxy resin. Polymer 2011, 52, 5486. [Google Scholar] [CrossRef]
- Yu, B.; Yuen, A.C.Y.; Xu, X.; Zhang, Z.-C.; Yang, W.; Lu, H.; Fei, B.; Yeoh, G.H.; Song, P.; Wang, H. Engineering MXene surface with POSS for reducing fire hazards of polystyrene with enhanced thermal stability. J. Hazard. Mater. 2020, 401, 123342. [Google Scholar] [CrossRef] [PubMed]
- Shi, Y.-Q.; Fu, T.; Xu, Y.-J.; Li, D.-F.; Wang, X.-L.; Wang, Y.-Z. Novel phosphorus-containing halogen-free ionic liquid toward fire safety epoxy resin with well-balanced comprehensive performance. Chem. Eng. J. 2018, 354, 208. [Google Scholar] [CrossRef]
- Buten, C.; Lamping, S.; Körsgen, M.; Arlinghaus, H.F.; Jamieson, C.; Ravoo, B.J. Surface functionalization with carboxylic acids by photochemical microcontact printing and tetrazole chemistry. Langmuir 2018, 34, 2132. [Google Scholar] [CrossRef]
- Flory, P.J. Molecular theory of rubber elasticity. Polymer 1979, 20, 1317. [Google Scholar] [CrossRef]
- Bai, Y.; Wang, X.; Wu, D. Novel cyclolinear cyclotriphosphazene-linked epoxy resin for halogen-free fire resistance: Synthesis, characterization, and flammability characteristics. Ind. Eng. Chem. Res. 2012, 51, 15064. [Google Scholar] [CrossRef]







| Sample | EP (g) | DDM (g) | FATP | P (wt.%) | |
|---|---|---|---|---|---|
| (g) | (wt.%) | ||||
| EP | 40 | 10.4 | 0 | 0 | 0 |
| FREP-2 | 40 | 9.85 | 1.02 | 2 | 0.16 |
| FREP-4 | 40 | 9.57 | 2.07 | 4 | 0.33 |
| Sample | Kissinger Method | Ozawa Method |
|---|---|---|
| Ea (kJ/mol) | Ea (kJ/mol) | |
| EP | 49.98 | 54.31 |
| FREP-2 | 48.89 | 53.34 |
| FREP-4 | 48.06 | 52.57 |
| Sample | FATP (g) | P (wt.%) | UL-94 (3 mm) | LOI (%) | ||
|---|---|---|---|---|---|---|
| a t1/b t2 (s) | Driping | Rating | ||||
| EP | 0 | 0 | 35 + 30 | Yes | No | 25 |
| FREP-2 | 1.02 | 0.16 | 5.3/5.9 | No | V-1 | 32.5 |
| FREP-4 | 2.07 | 0.33 | 1.9/1.5 | No | V-0 | 35 |
| Sample | T5% (°C) | Tmax (°C) | Rmax (%/min) | CR700 (wt.%) |
|---|---|---|---|---|
| EP | 383.9 | 399.0 | 20.9 | 20.3 |
| EP/FATP-2 | 364.4 | 387.9 | 14.6 | 23.0 |
| EP/FATP-4 | 354.5 | 383.2 | 14.2 | 23.5 |
| FATP | 243.5 | 242.7, 429.1 | 6.2, 4.4 | 33.2 |
| Sample | EP | FREP-2 | FREP-4 |
|---|---|---|---|
| TTI (s) | 111 | 96 | 85 |
| pHRR (kW/m2) | 1229.3 | 1124.3 | 1059.3 |
| THR (MJ/m2) | 95.7 | 90.4 | 86.7 |
| TSP (m2) | 139.7 | 93.2 | 89.6 |
| av-EHC (MJ/kg) | 24.47 | 23.96 | 23.56 |
| av-COY (kg/kg) | 0.086 | 0.092 | 0.108 |
| av-CO2Y (kg/kg) | 1.76 | 1.74 | 1.683 |
| Char residue (%) | 9.4 | 15.5 | 17.3 |
| Sample | Atomic Ratio (%) | |||
|---|---|---|---|---|
| C1s | O1s | N1s | P2p | |
| EP | 62.55 | 34.64 | 2.82 | 0 |
| FREP-4 | 81.88 | 12.53 | 5.56 | 0.33 |
| Sample | ΔCp (J/g·°C) | |
|---|---|---|
| EP | 161.66 | 0.32 |
| FREP-2 | 152.47 | 0.51 |
| FREP-4 | 147.26 | 0.76 |
| Sample | Tg (°C) | E′ at 50 °C (MPa) | E′ at Tg + 40 °C (MPa) | |
|---|---|---|---|---|
| EP | 167.3 | 2312 | 42.4 | 3537 |
| EP/FATP-2 | 157.6 | 2475 | 37.7 | 3213 |
| EP/FATP-4 | 157.2 | 2574 | 33.8 | 2969 |
| Sample | Tensile Strength (MPa) | Tensile Modulus (MPa) | Flexural Strength (MPa) | Flexural Modulus (MPa) |
|---|---|---|---|---|
| EP | 72.2 ± 1.6 | 13.3 ± 0.8 | 126.1 ± 1.0 | 2268 ± 5 |
| EP/FATP-2 | 72.0 ± 2.8 | 16.6 ± 3.5 | 132.6 ± 1.1 | 2618 ± 111 |
| EP/FATP-4 | 74.8 ± 2.3 | 15.9 ± 2.7 | 135.5 ± 2.6 | 2748 ± 27 |
Disclaimer/Publisher’s Note: The statements, opinions and data contained in all publications are solely those of the individual author(s) and contributor(s) and not of MDPI and/or the editor(s). MDPI and/or the editor(s) disclaim responsibility for any injury to people or property resulting from any ideas, methods, instructions or products referred to in the content. |
© 2023 by the authors. Licensee MDPI, Basel, Switzerland. This article is an open access article distributed under the terms and conditions of the Creative Commons Attribution (CC BY) license (https://creativecommons.org/licenses/by/4.0/).
Share and Cite
Lu, J.; Cai, B.; Xu, W.; Wang, L.; Luo, Z.; Wang, B. A Nitrogen-Rich DOPO-Based Derivate for Increasing Fire Resistance of Epoxy Resin with Comparable Transparency. Materials 2023, 16, 519. https://doi.org/10.3390/ma16020519
Lu J, Cai B, Xu W, Wang L, Luo Z, Wang B. A Nitrogen-Rich DOPO-Based Derivate for Increasing Fire Resistance of Epoxy Resin with Comparable Transparency. Materials. 2023; 16(2):519. https://doi.org/10.3390/ma16020519
Chicago/Turabian StyleLu, Jiayi, Boyu Cai, Wendi Xu, Luze Wang, Zhonglin Luo, and Biaobing Wang. 2023. "A Nitrogen-Rich DOPO-Based Derivate for Increasing Fire Resistance of Epoxy Resin with Comparable Transparency" Materials 16, no. 2: 519. https://doi.org/10.3390/ma16020519
APA StyleLu, J., Cai, B., Xu, W., Wang, L., Luo, Z., & Wang, B. (2023). A Nitrogen-Rich DOPO-Based Derivate for Increasing Fire Resistance of Epoxy Resin with Comparable Transparency. Materials, 16(2), 519. https://doi.org/10.3390/ma16020519

