Acid Leaching Extraction Mechanism of Aluminum and Iron Ions from Coal Gangue Based on CaF2 Assistance and Process Optimization
Abstract
1. Introduction
2. Materials and Methods
2.1. Materials
2.2. Procedure
2.3. Instrumentation and Characterization
3. Results and Discussion
3.1. Characterization of Gangue and Its Calcined Powder
3.2. Leaching of Aluminum and Iron Ions without CaF2
3.3. Mechanism by Which CaF2 Affects Al-Fe Leaching Ratio
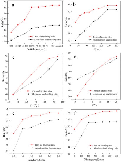
3.4. Optimization of Conditions for Acid Leaching Process
3.4.1. Effect of Gangue Particle Size on the Leaching Ratio
3.4.2. Effect of Acid Leaching Time on the Leaching Ratio
3.4.3. Influence of Acid Leaching Temperature on the Leaching Ratio
3.4.4. Effect of Hydrochloric Acid Concentration on the Leaching Ratio
3.4.5. Effect of Liquid–Solid Ratio on the Leaching Ratio of Aluminum and Iron
3.4.6. Effect of the Stirring Speed on the Leaching Ratio
4. Conclusions
- The mechanism of CaF2 as an auxiliary to improve the leaching ratios of aluminum and iron ions is that HF reacts with the flake gangue calcined powder layer containing silicon to generate soluble SiF4, thus forming pores. These pores are conducive to the diffusion of hydrogen ions and inner metal ions, so the dissolution ratio of aluminum and iron is improved.
- After adding CaF2 to the acid leaching system, the specific surface area and pore volume of the filter residue increased with the increase of the added amount and the increase of the pore volume. HF has a catalytic effect on the reaction system.
- In the system of extracting aluminum and iron ions by acid leaching with hydrochloric acid, adding CaF2 with m(CaF2)/m(calcined powder) = 0.03 g/g can increase the extraction ratio of aluminum ions from 62.96% to 92.10%, and iron ion from 85.12% to 95.73%. Under optimized conditions, the auxiliary of CaF2 is effective in improving the leaching ratios of aluminum and iron ions.
Author Contributions
Funding
Institutional Review Board Statement
Informed Consent Statement
Data Availability Statement
Conflicts of Interest
References
- Zhang, T.; Yang, H.; Zhang, H.; Zhang, P. Study on electrochemical improvement of flotation reagents for carbon recovery from coal gangue. Energy Sources Part A Recover. Util. Environ. Eff. 2022, 1, 16. [Google Scholar] [CrossRef]
- Liu, F.; Xie, M.; Yu, G.; Ke, C.; Zhao, H. Study on calcination catalysis and the desilication mechanism for coal gangue. ACS Sustain. Chem. Eng. 2021, 9, 10318–10325. [Google Scholar] [CrossRef]
- Guo, Y.; Lv, H.; Yang, X.; Cheng, F. AlCl3⋅6H2O recovery from the acid leaching liquor of coal gangue by using concentrated hydrochloric inpouring. Sep. Purif. Technol. 2015, 151, 177–183. [Google Scholar] [CrossRef]
- Guo, Y.; Yan, K.; Cui, L.; Cheng, F. Improved extraction of alumina from coal gangue by surface mechanically grinding modification. Powder Technol. 2016, 302, 33–41. [Google Scholar] [CrossRef]
- Han, L.; Ren, W.; Wang, B.; He, X.; Ma, L.; Huo, Q.; Wang, J.; Bao, W.; Chang, L. Extraction of SiO2 and Al2O3 from coal gangue activated by supercritical water. Fuel 2019, 253, 1184–1192. [Google Scholar] [CrossRef]
- Luukkonen, T.; Abdollahnejad, Z.; Yliniemi, J.; Kinnunen, P.; Illikainen, M. One-part alkali-activated materials: A review. Cem. Concr. Res. 2018, 103, 21–34. [Google Scholar] [CrossRef]
- Wang, J.; Qin, Q.; Hu, S.; Wu, K. A concrete material with waste coal gangue and fly ash used for farmland drainage in high groundwater level areas. J. Clean. Prod. 2016, 112, 631–638. [Google Scholar] [CrossRef]
- Li, J.; Wang, J. Comprehensive utilization and environmental risks of coal gangue: A review. J. Clean. Prod. 2019, 239, 117946. [Google Scholar] [CrossRef]
- Belkheiria, D.; Diouri, A.; Taibi, M.; Sassi, O.; Aride, J. Recycling of Moroccan coal gangue in the elaboration of a Portland clinker. Mater. Environ. Sci. 2015, 6, 1570–1577. [Google Scholar]
- Zhang, W.; Dong, C.; Huang, P.; Sun, Q.; Li, M.; Chai, J. Experimental study on the characteristics of activated coal gangue and coal gangue-based geopolymer. Energies 2020, 13, 2504. [Google Scholar] [CrossRef]
- Castro-Gomes, J.; Silva, A.; Cano, R.; Suarez, J.; Albuquerque, A. Potential for reuse of tungsten mining waste-rock in technical-artistic value added products. J. Clean. Prod. 2012, 25, 34–41. [Google Scholar] [CrossRef]
- Yang, Q.; Zhang, F.; Deng, X.; Guo, H.; Zhang, C.; Shi, C.; Zeng, M. Extraction of alumina from alumina rich coal gangue by a hydro-chemical process. R. Soc. Open Sci. 2020, 7, 192132. [Google Scholar] [CrossRef] [PubMed]
- Zhang, Y.; Ling, T. Reactivity activation of waste coal gangue and its impact on the properties of cement-based materials—A review. Constr. Build. Mater. 2020, 234, 117424. [Google Scholar] [CrossRef]
- Li, L.; Zhang, Y.; Zhang, Y.; Sun, J.; Hao, Z. The thermal activation process of coal gangue selected from Zhungeer in China. J. Therm. Anal. Calorim. 2016, 126, 1559–1566. [Google Scholar] [CrossRef]
- Izidoro, J.C.; Kim, M.C.; Bellelli, V.F.; Pane, M.C.; Botelho Junior, A.B.; Espinosa, D.C.R.; Tenório, J.A.S. Synthesis of zeolite A using the waste of iron mine tailings dam and its application for industrial effluent treatment. J. Sustain. Min. 2019, 18, 277–286. [Google Scholar] [CrossRef]
- Ding, J.; Ma, S.; Shen, S.; Xie, Z.; Zheng, S.; Zhang, Y. Research and industrialization progress of recovering alumina from fly ash: A concise review. Waste Manag. 2017, 60, 375–387. [Google Scholar] [CrossRef] [PubMed]
- Liu, D.; Fang, L.; Guo, Y.; Yan, K.; Yao, C.; Cheng, F. Effects of calcium oxide and ferric oxide on the process of alumina extraction of coal fly ash activated by sodium carbonate. Hydrometallurgy 2018, 179, 149–156. [Google Scholar] [CrossRef]
- Puertas, F.; Torres-Carrasco, M. Use of glass waste as an activator in the preparation of alkali-activated slag. Mechanical strength and paste characterisation. Cem. Concr. Res. 2014, 57, 95–104. [Google Scholar] [CrossRef]
- Hao, R.; Li, X.; Xu, P.; Liu, Q. Thermal activation and structural transformation mechanism of kaolinitic coal gangue from Jungar coalfield, Inner Mongolia, China. Appl. Clay Sci. 2022, 223, 106508. [Google Scholar] [CrossRef]
- Zhang, Y.; Zhang, Z.; Zhu, M.; Cheng, F.; Zhang, D. Interactions of coal gangue and pine sawdust during combustion of their blends studied using differential thermogravimetric analysis. Bioresour. Technol. 2016, 214, 396–403. [Google Scholar] [CrossRef]
- Peng, B.; Li, X.; Zhao, W.; Yang, L. Study on the release characteristics of chlorine in coal gangue under leaching conditions of different pH values. Fuel 2018, 217, 427–433. [Google Scholar] [CrossRef]
- Zhu, P.; Dai, H.; Han, L.; Xu, X.; Cheng, L.; Wang, Q.; Shi, Z. Aluminum extraction from coal ash by a two-step acid leaching method. J. Zhejiang Univ. Sci. A 2015, 16, 161–169. [Google Scholar] [CrossRef]
- Yan, K.; Guo, Y.; Fang, L.; Cui, L.; Cheng, F.; Li, T. Decomposition and phase transformation mechanism of kaolinite calcined with sodium carbonate. Appl. Clay Sci. 2017, 147, 90–96. [Google Scholar] [CrossRef]
- Yan, K.; Guo, Y.; Liu, D.; Ma, Z.; Cheng, F. Thermal decomposition and transformation mechanism of mullite with the action of sodium carbonate. J. Solid State Chem. 2018, 265, 326–331. [Google Scholar] [CrossRef]
- Gao, S.; Zhang, S.; Guo, L. Application of coal gangue as a coarse aggregate in green concrete production: A review. Materials 2021, 14, 6803. [Google Scholar] [CrossRef]
- Ma, H.; Zhu, H.; Wu, C.; Chen, H.; Sun, J.; Liu, J. Study on compressive strength and durability of alkali activated coal gangue-slag concrete and its mechanism. Powder Technol. 2020, 368, 112–124. [Google Scholar] [CrossRef]
- Torres-Carrasco, M.; Puertas, F. Alkaline activation of aluminosilicates as an alternative to Portland cement: A review. Rev. Rom. Mater. J. Mater. 2017, 47, 3–15. [Google Scholar]
- Aguiar, E.; Junior, A.; Duarte, H.; Espinosa, D.; Tenório, J.; Baltazar, M. Leaching of Ti and V from the non-magnetic fraction of ilmenite-based ore: Kinetic and thermodynamic modelling. Can. J. Chen. Eng. 2022, 100, 3408–3418. [Google Scholar] [CrossRef]
- Li, Z.; Gao, Y.; Zhang, J.; Chen, Z.; Chen, J.; Liu, C. Effect of particle size and thermal activation on the coal gangue based geopolymer. Mater. Chem. Phys. 2021, 267, 124657. [Google Scholar] [CrossRef]
- Sun, L.; Luo, K.; Fan, J.; Lu, H. Experimental study of extracting alumina from coal fly ash using fluidized beds at high temperature. Fuel 2017, 199, 22–27. [Google Scholar] [CrossRef]
- Cao, Z.; Cao, Y.; Dong, H.; Zhang, J.; Sun, C. Effect of calcination condition on the microstructure and pozzolanic activity of calcined coal gangue. Int. J. Miner. Process. 2016, 146, 23–28. [Google Scholar] [CrossRef]
- Xu, Z.; Zou, X.; Chen, J. Preparation of thermal activation sludge and coal gangue polymer. Integr. Ferroelectr. 2015, 160, 1–9. [Google Scholar]
- Gao, Y.; Huang, H.; Tang, W.; Liu, X.; Yang, X.; Zhang, J. Preparation and characterization of a novel porous silicate material from coal gangue. Micropor. Mesopor. Mat. 2015, 217, 210–218. [Google Scholar] [CrossRef]
- Cheng, F.; Cui, L.; Miller, J.; Wang, X. Aluminum leaching from calcined coal waste using hydrochloric acid solution. Miner. Process. Extr. Metall. Rev. 2012, 33, 391–403. [Google Scholar] [CrossRef]
- Kong, D.; Zhou, Z.; Song, S.; Feng, S.; Lian, M.; Jiang, R. Preparation of poly aluminum-ferric chloride (PAFC) coagulant by extracting aluminum and iron ions from high iron content coal gangue. Materials 2022, 15, 2253. [Google Scholar] [CrossRef]
- Jablonska, B.; Kityk, A.; Busch, M.; Huber, P. The structural and surface properties of natural and modified coal gangue. J. Environ. Manag. 2017, 190, 80–90. [Google Scholar] [CrossRef]
- Taha, Y.; Benzaazoua, M.; Mansori, M.; Hakkou, R. Recycling feasibility of glass wastes and calamine processing tailings in fired bricks making. Waste Biomass Valorization 2017, 8, 1479–1489. [Google Scholar] [CrossRef]
- Xiao, J.; Zhang, L.; Yuan, J.; Yao, Z.; Tang, L.; Wang, Z.; Zhang, Z. Co-utilization of spent pot-lining and coal gangue by hydrothermal acid-leaching method to prepare silicon carbide powder. J. Clean. Prod. 2018, 204, 848–860. [Google Scholar] [CrossRef]






| SiO2 | Al2O3 | Fe2O3 | TiO2 | CaO | SO3 | K2O | P2O5 | Loss | |
|---|---|---|---|---|---|---|---|---|---|
| Gangue | 44.23 | 18.78 | 12.46 | 3.98 | 2.40 | 0.30 | 1.24 | 0.30 | 16.31 |
| Calcined powder | 52.33 | 22.21 | 14.74 | 4.70 | 2.84 | 0.35 | 1.47 | 0.35 | 1.01 |
Disclaimer/Publisher’s Note: The statements, opinions and data contained in all publications are solely those of the individual author(s) and contributor(s) and not of MDPI and/or the editor(s). MDPI and/or the editor(s) disclaim responsibility for any injury to people or property resulting from any ideas, methods, instructions or products referred to in the content. |
© 2023 by the authors. Licensee MDPI, Basel, Switzerland. This article is an open access article distributed under the terms and conditions of the Creative Commons Attribution (CC BY) license (https://creativecommons.org/licenses/by/4.0/).
Share and Cite
Kong, D.; Zhou, Z.; Song, S.; Jiang, R. Acid Leaching Extraction Mechanism of Aluminum and Iron Ions from Coal Gangue Based on CaF2 Assistance and Process Optimization. Materials 2023, 16, 499. https://doi.org/10.3390/ma16020499
Kong D, Zhou Z, Song S, Jiang R. Acid Leaching Extraction Mechanism of Aluminum and Iron Ions from Coal Gangue Based on CaF2 Assistance and Process Optimization. Materials. 2023; 16(2):499. https://doi.org/10.3390/ma16020499
Chicago/Turabian StyleKong, Deshun, Zihan Zhou, Shuojiang Song, and Rongli Jiang. 2023. "Acid Leaching Extraction Mechanism of Aluminum and Iron Ions from Coal Gangue Based on CaF2 Assistance and Process Optimization" Materials 16, no. 2: 499. https://doi.org/10.3390/ma16020499
APA StyleKong, D., Zhou, Z., Song, S., & Jiang, R. (2023). Acid Leaching Extraction Mechanism of Aluminum and Iron Ions from Coal Gangue Based on CaF2 Assistance and Process Optimization. Materials, 16(2), 499. https://doi.org/10.3390/ma16020499

