3D Composite U(VI) Adsorbents Based on Alginate Hydrogels and Oxidized Biochar Obtained from Luffa cylindrica
Abstract
:1. Introduction
2. Experimental
2.1. Materials
2.2. Adsorbent Fabrication
2.3. Adsorbent Characterization
2.3.1. Morphological Characterization
2.3.2. Mechanical Properties
2.3.3. Swelling Behavior
2.4. Adsorption Studies
2.4.1. Effect of Initial Metal Ion Concentration
2.4.2. pH Effect
2.4.3. Temperature Effect
2.4.4. FTIR Analysis
2.4.5. Uranium Recovery
3. Results and Discussion
3.1. Adsorbent Fabrication and Characterization
3.2. Adsorption Studies
3.2.1. Effect of pH
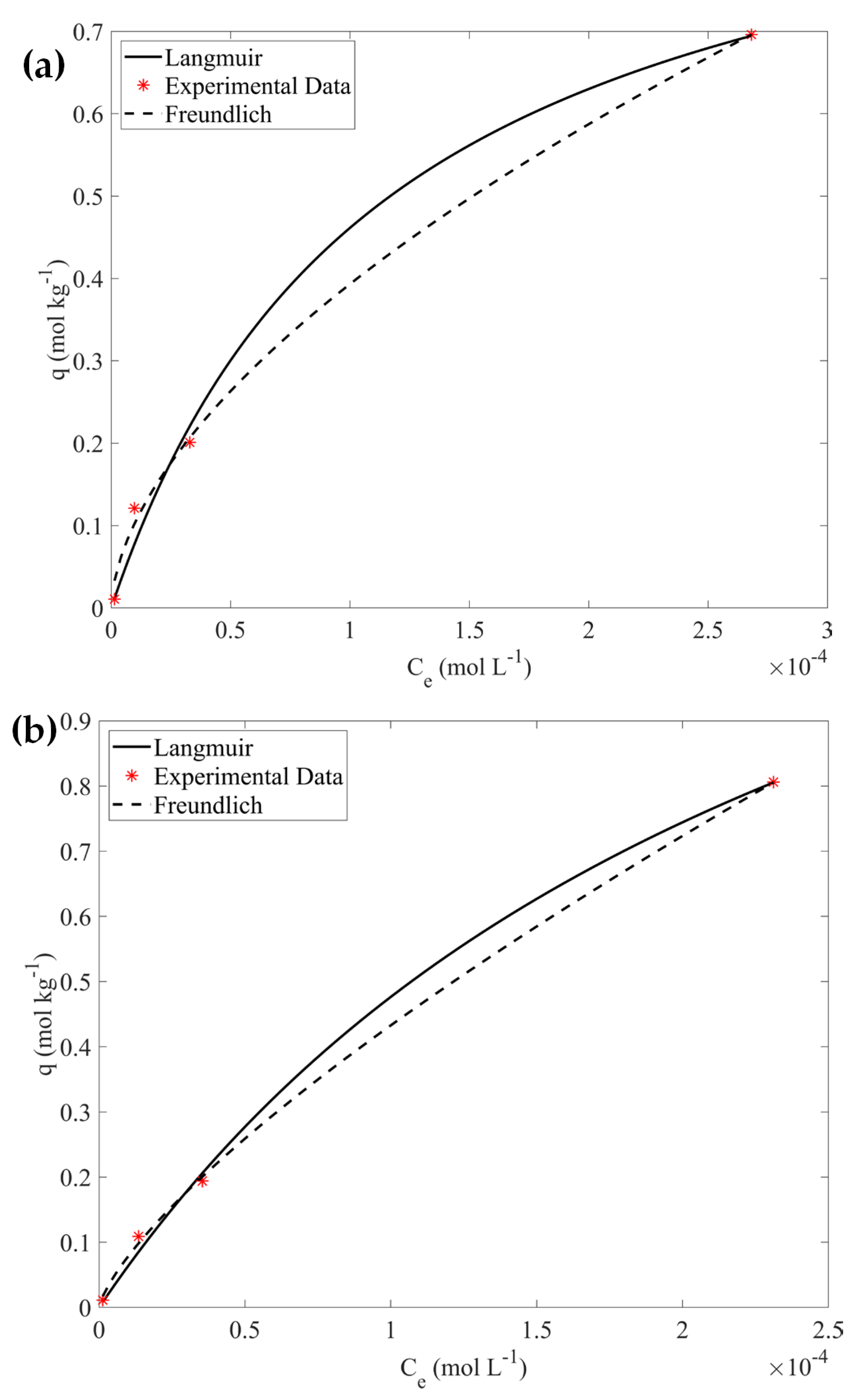
3.2.2. Effect of Initial Metal Ion Concentration
3.2.3. Morphological Characterization of the U(VI)-Loaded CA/ox-LC Adsorbents
3.2.4. Elemental Analysis of the U(VI)-Loaded CA/ox-LC Adsorbents
3.2.5. Temperature Effect
3.2.6. FTIR Analysis and Adsorbent Recovery
4. Conclusions
Supplementary Materials
Author Contributions
Funding
Institutional Review Board Statement
Informed Consent Statement
Data Availability Statement
Acknowledgments
Conflicts of Interest
References
- Srivastava, R.R.; Pathak, P.; Perween, M. Environmental and Health Impact Due to Uranium Mining. In Uranium in Plants and the Environment, Radionuclides and Heavy Metals in the Environment; Gupta, D., Walther, C., Eds.; Springer: Berlin/Heidelberg, Germany, 2020. [Google Scholar]
- Corlin, L.; Rock, T.; Cordova, J.; Woodin, M.; Durant, J.L.; Gute, D.M.; Ingram, J.; Brugge, D. Health Effects and Environmental Justice Concerns of Exposure to Uranium in Drinking Water. Curr. Environ. Health Rep. 2016, 3, 434–442. [Google Scholar] [CrossRef] [PubMed]
- Katsoyiannis, I.A.; Zouboulis, A.I. Removal of uranium from contaminated drinking water: A mini review of available treatment methods. Desalin. Water Treat. 2013, 51, 2915–2925. [Google Scholar] [CrossRef]
- Aly, M.M.; Hamza, M.F. A Review: Studies on Uranium Removal Using Different Techniques. J. Dispers. Sci. Technol. 2013, 34, 182–213. [Google Scholar] [CrossRef]
- Shen, J.; Schäfer, A. Removal of fluoride and uranium by nanofiltration and reverse osmosis: A review. Chemosphere 2014, 117, 679–691. [Google Scholar] [CrossRef]
- Onorato, C.; Banasiak, L.J.; Schäfer, A.I. Inorganic trace contaminant removal from real brackish groundwater using electrodialysis. Sep. Purif. 2017, 187, 426–435. [Google Scholar] [CrossRef]
- Ladeira, A.C.Q.; Morais, C.A. Uranium recovery from industrial effluent by ion exchange-column experiments. Miner. Eng. 2005, 18, 1337–1340. [Google Scholar] [CrossRef]
- Byung-Moon, J.; Hyun-Kyu, L.; Sungbin, P.; Tack-Jin, K. Purification of uranium-contaminated radioactive water by adsorption: A review on adsorbent materials. Sep. Purif. 2021, 278, 119675. [Google Scholar]
- Fuqiu, M.; Yunyang, G.; Peng, L.; Yun, X.; Wei, S. Functional fibrous materials-based adsorbents for uranium adsorption and environmental remediation. Chem. Eng. J. 2020, 390, 124597. [Google Scholar]
- Carter, W.A.; Richard, T.M.; Tomonori, S.; Sheng, D. Materials for the recovery of Uranium from seawater. Chem. Rev. 2017, 117, 13935–14013. [Google Scholar]
- Lirong, Z.; Feiqiang, H.; Ziwei, L.; Beibei, D.; Jianhua, D. Adsorption of uranium (VI) ions from aqueous solution by acrylic and diaminomaleonitrile modified cellulose. Colloids Surf. A Physicochem. Eng. Asp. 2022, 641, 128565. [Google Scholar]
- Qian, Y.; Yuan, Y.; Wang, H.; Liu, H.; Zhang, J.; Shi, S.; Guo, Z.; Wang, N. Highly efficient uranium adsorption by salicylaldoxime/polydopamine graphene oxide nanocomposites. J. Mater. Chem. A 2018, 6, 24676–24685. [Google Scholar] [CrossRef]
- Fan, M.; Wang, X.; Song, Q.; Zhang, L.; Ren, B.; Yang, X. Review of biomass-based materials for uranium adsorption. J. Radioanal. Nucl. Chem. 2021, 330, 589–602. [Google Scholar] [CrossRef]
- Douchao, M.; Lijia, L.; Bing, Y. Adsorption of uranium (VI) by metal-organic frameworks and covalent-organic frameworks from water. Coord. Chem. Rev. 2023, 475, 214917. [Google Scholar]
- Chakraborty, R.; Anupama, A.; Singh, A.K.; Jain, B.; Susan, A.B.H. Adsorption of heavy metal ions by various low-cost adsorbents: A review. Int. J. Environ. Anal. Chem. 2022, 102, 342–379. [Google Scholar] [CrossRef]
- Abdelwahab, O.; Amin, N.K. Adsorption of phenol from aqueous solutions by Luffa Cylindrica fibers: Kinetics, isotherm and thermodynamic studies. Egypt. J. Aquat. Res. 2013, 39, 215–223. [Google Scholar] [CrossRef]
- Stasi, C.; Georgiou, E.; Ioannidis, I.; Pashalidis, I. Uranium removal from laboratory and environmental waters by oxidized biochar prepared from palm tree fibers. J. Radioanal. Nucl. Chem. 2022, 331, 375–381. [Google Scholar] [CrossRef]
- Liatsou, I.; Michail, G.; Demetriou, M.; Pashalidis, I. Uranium binding by biochar fibers derived from Luffa Cylindrica after controlled surface oxidation. J. Radioanal. Nucl. Chem. 2017, 311, 871–875. [Google Scholar] [CrossRef]
- Hadjittofi, L.; Pashalidis, I. Uranium sorption from aqueous solutions by activated biochar fibers investigated by FTIR spectroscopy and batch experiments. J. Radioanal. Nucl. Chem. 2015, 304, 897–904. [Google Scholar] [CrossRef]
- Bode-Aluko, C.A.; Pereao, O.; Ndayambaje, G.; Petrik, L. Adsorption of toxic metals on modified polyacrylonitrile nanofibers: A review. Water Air Soil Pollut. 2017, 228, 35. [Google Scholar] [CrossRef]
- Christou, C.; Philippou, K.; Krasia-Christoforou, T.; Pashalidis, I. Uranium adsorption by polyvinylpyrrolidone/chitosan blended nanofibers. Carbohydr. Polym. 2019, 219, 298–305. [Google Scholar] [CrossRef]
- Savva, I.; Efstathiou, M.; Krasia-Christoforou, T.; Pashalidis, I. Adsorptive removal of U(VI) and Th(IV) from aqueous solutions using polymer-based electrospun PEO/PLLA fibrous membranes. J. Radioanal. Nucl. Chem. 2013, 298, 1991–1997. [Google Scholar] [CrossRef]
- Panteli, S.; Savva, I.; Efstathiou, M.; Vekas, L.; Marinica, O.M.; Krasia-Christoforou, T.; Pashalidis, I. β-ketoester-functionalized magnetoactive electrospun polymer fibers as Eu(III) adsorbents. SN Appl. Sci. 2019, 1, 30. [Google Scholar] [CrossRef]
- Huang, L.; Liu, R.; Yang, J.; Shuai, Q.; Yuliarto, B.; Kaneti, Y.V.; Yamauchi, Y. Nanoarchitectured porous organic polymers and their environmental applications for removal of toxic metal ions. J. Chem. Eng. 2021, 408, 127991. [Google Scholar] [CrossRef]
- Perumal, S.; Atchudan, R.; Edison, T.N.; Babu, R.S.; Karpagavinayagam, P.; Vedhi, C. A short review on recent advances of hydrogel-based adsorbents for heavy metal ions. Metals 2021, 11, 864. [Google Scholar] [CrossRef]
- Shalla, A.H.; Yaseen, Z.; Bhat, M.A.; Rangreez, T.A.; Maswal, M. Recent review for removal of metal ions by hydrogels. Sep. Sci. Technol. 2019, 54, 89–100. [Google Scholar] [CrossRef]
- Muya, F.N.; Sunday, C.E.; Baker, P.; Iwuoha, E. Environmental remediation of heavy metal ions from aqueous solution through hydrogel adsorption: A critical review. Water Sci. Technol. 2016, 73, 983–992. [Google Scholar] [CrossRef] [PubMed]
- Zhang, K.; Luo, X.; Yang, L.; Chang, Z.; Luo, S. Progress toward hydrogels in removing heavy metals from water: Problems and solutions—A review. ACS EST Water 2021, 1, 1098–1116. [Google Scholar] [CrossRef]
- Roy, P.K.; Swami, V.; Kumar, D.; Rajagopal, C. Removal of toxic metals using superabsorbent polyelectrolytic hydrogels. J. Appl. Polym. Sci. 2011, 122, 2415–2423. [Google Scholar] [CrossRef]
- Zhao, B.; Jiang, H.; Lin, Z.; Xu, S.; Xie, J.; Zhang, A. Preparation of acrylamide/acrylic acid cellulose hydrogels for the adsorption of heavy metal ions. Carbohydr. Polym. 2019, 224, 115022. [Google Scholar] [CrossRef]
- Wang, L.Y.; Wang, M.J. Removal of heavy metal ions by poly(vinyl alcohol) and carboxymethyl cellulose composite hydrogels prepared by a freeze–thaw method. ACS Sustain. Chem. Eng. 2016, 4, 2830–2837. [Google Scholar] [CrossRef]
- Tang, N.; Liang, J.; Niu, C.; Wang, H.; Luo, Y.; Xing, W.; Ye, S.; Liang, C.; Guo, H.; Guo, J.; et al. Amidoxime-based materials for uranium recovery and removal. J. Mater. Chem. A 2020, 8, 7588–7625. [Google Scholar] [CrossRef]
- Akl, Z.F.; El-Saeed, S.M.; Atta, A.M. In-situ synthesis of magnetite acrylamide amino-amidoxime nanocomposite adsorbent for highly efficient sorption of U(VI) ions. J. Ind. Eng. Chem. 2016, 34, 105–116. [Google Scholar] [CrossRef]
- Min, Z.; Zhenpeng, C.; Duoqiang, P.; Fuyou, F.; Junhao, T.; Yameng, H.; Yang, X.; Pengcheng, Z.; Ping, L.; Xiang-Yu, K.; et al. An Efficient Uranium Adsorption Magnetic Platform Based on Amidoxime-Functionalized Flower-like Fe3O4@TiO2 Core–Shell Microspheres. ACS Appl. Mater. Interfaces 2021, 13, 17931–17939. [Google Scholar]
- Ozay, O.; Ekici, S.; Aktas, N.; Sahiner, N. P(4-vinyl pyridine) hydrogel use for the removal of UO22+ and Th4+ from aqueous environments. J. Environ. Manag. 2011, 92, 3121–3129. [Google Scholar] [CrossRef] [PubMed]
- Ilia, R.; Liatsou, I.; Savva, I.; Vasile, E.; Vekas, L.; Marinica, O.; Mpekris, F.; Pashalidis, I.; Krasia-Christoforou, T. Magnetoresponsive polymer networks as adsorbents for the removal of U(VI) ions from aqueous media. Eur. Polym. J. 2017, 97, 138–146. [Google Scholar] [CrossRef]
- Kaşgöz, H. New sorbent hydrogels for removal of acidic dyes and metal ions from aqueous solutions. Polym. Bull. 2006, 56, 517–528. [Google Scholar] [CrossRef]
- Li, N.; Bai, R. A novel amine-shielded surface cross-linking of chitosan hydrogel beads for enhanced metal adsorption performance. Ind. Eng. Chem. Res. 2005, 44, 6692–6700. [Google Scholar] [CrossRef]
- Kavakli, P.A.; Yilmaz, Z.; Şen, M. Investigation of heavy metal ion adsorption characteristics of poly (N, N dimethylamino ethylmethacrylate) hydrogels. Sep. Sci. Technol. 2007, 42, 1245–1254. [Google Scholar] [CrossRef]
- ALSamman, M.T.; Sánchez, J. Recent advances on hydrogels based on chitosan and alginate for the adsorption of dyes and metal ions from water. Arab. J. Chem. 2021, 14, 103455. [Google Scholar] [CrossRef]
- Tang, S.; Yang, J.; Lin, L.; Peng, K.; Chen, Y.; Jin, S.; Yao, W. Construction of physically crosslinked chitosan/sodium alginate/calcium ion double-network hydrogel and its application to heavy metal ions removal. J. Chem. Eng. 2020, 393, 124728. [Google Scholar] [CrossRef]
- Sanchez, L.M.; Shuttleworth, P.S.; Waiman, C.; Zanini, G.; Alvarez, V.A.; Ollier, R.P. Physically-crosslinked polyvinyl alcohol composite hydrogels containing clays, carbonaceous materials, and magnetic nanoparticles as fillers. J. Environ. Chem. Eng. 2020, 8, 103795. [Google Scholar] [CrossRef]
- Yi, X.; Sun, F.; Han, Z.; Han, F.; He, J.; Ou, M.; Gu, J.; Xu, X. Graphene oxide encapsulated polyvinyl alcohol/sodium alginate hydrogel microspheres for Cu(II) and U(VI) removal. Ecotoxicol. Environ. Saf. 2018, 158, 309–318. [Google Scholar] [CrossRef] [PubMed]
- Ueno, M.; Oda, T. Chapter Six—Biological Activities of Alginate. In Advances in Food and Nutrition Research; Se-Kwon, K., Ed.; Elsevier: Amsterdam, The Netherlands, 2014; Volume 72, pp. 95–112. [Google Scholar]
- Khan, M.H.; Warwick, P.; Evans, N. Spectrophotometric determination of uranium with arsenazo-III in perchloric acid. Chemosphere 2006, 63, 1165–1169. [Google Scholar] [CrossRef] [PubMed]
- Kutus, B.; Gaona, X.; Pallagi, A.; Pálinkó, I.; Altmaier, M.; Sipos, P. Recent advances in the aqueous chemistry of the calcium(II)-gluconate system—Equilibria, structure and composition of the complexes forming in neutral and in alkaline solutions. Coord. Chem. Rev. 2020, 417, 213337. [Google Scholar] [CrossRef]
- Demir, H.; Atikler, U.; Balköse, D.; Tıhmınlıoğlu, F. The effect of fiber surface treatments on the tensile and water sorption properties of polypropylene—Luffa fiber composites. Compos. Part A Appl. Sci. Manuf. 2006, 37, 447–456. [Google Scholar] [CrossRef]
- Ioannou, I.; Kyriacou, P.; Pantelas, M.; Pashalidis, I.; Makris, J.; Rallis, S.; Giachalis, K.; Avraam, K.; Krasia-Christoforou, T. Fabrication and thermomechanical properties of carbonized Luffa cylindrica-reinforced high-density polyethylene composites. J. Appl. Polym. Sci. 2022, 139, 52040. [Google Scholar] [CrossRef]
- Mühr-Ebert, E.L.; Wagner, F.; Walther, C. Speciation of uranium: Compilation of a thermodynamic database and its experimental evaluation using different analytical techniques. Appl. Geochem. 2019, 100, 213–222. [Google Scholar] [CrossRef]
- Yu, J.; Wang, J.; Jiang, Y. Removal of Uranium from Aqueous Solution by Alginate Beads. Nucl. Eng. Technol. 2017, 49, 534–540. [Google Scholar] [CrossRef]
- Zhang, Z.; Wang, X.; Zhou, J.; Zhang, H.; Wu, F.; Wu, W. Semi-IPN Alg/PAO microspheres for the efficient removal of U(VI) from alkaline solution by experimental and DFT study. Sep. Purif. 2022, 296, 121369. [Google Scholar] [CrossRef]
- Haggag, E.S.A. Cellulose hydrogel for enhanced uranium (VI) capture from nitrate medium: Preparation, characterisation, and adsorption optimization. Int. J. Environ. Anal. Chem. 2021, 1–25. [Google Scholar] [CrossRef]
- Yi, X.; Xu, Z.; Liu, Y.; Guo, X.; Ou, M.; Xu, X. Highly efficient removal of uranium(VI) from wastewater by polyacrylic acid hydrogels. RSC Adv. 2017, 7, 6278–6287. [Google Scholar] [CrossRef]
- Akl, Z.F.; Zaki, E.G.; ElSaeed, S.M. Green Hydrogel-Biochar Composite for Enhanced Adsorption of Uranium. ACS Omega 2021, 6, 34193–34205. [Google Scholar] [CrossRef] [PubMed]
- Zhu, J.; Zhao, L.; Song, D.; Yu, J.; Liu, Q.; Liu, J.; Chen, R.; Sun, G.; Wang, J. Functionalized GO-doped double network antibacterial hydrogels for efficient uranium extraction from seawater. Desalination 2022, 540, 115993. [Google Scholar] [CrossRef]
- Guo, Y.; Liu, X.; Xie, S.; Liu, H.; Wang, C.; Wang, L. 3D ZnO modified biochar-based hydrogels for removing U(VI) in aqueous solution. Colloids Surf. A 2022, 642, 128606. [Google Scholar] [CrossRef]
- Yuan, D.; Chen, L.; Xiong, X.; Yuan, L.; Liao, S.; Wang, Y. Removal of uranium (VI) from aqueous solution by amidoxime functionalized superparamagnetic polymer microspheres prepared by a controlled radical polymerization in the presence of DPE. Chem. Eng. J. 2016, 285, 358–367. [Google Scholar] [CrossRef]
- Xiao, F.; Cheng, Y.; Zhou, P.; Chen, S.; Wang, X.; He, P.; Nie, X.; Dong, F. Fabrication of novel carboxyl and amidoxime groups modified Luffa fiber for highly efficient removal of uranium(VI) from uranium mine water. J. Environ. Chem. Eng. 2021, 9, 105681. [Google Scholar] [CrossRef]
- Liao, J.; Xiong, T.; Zhao, Z.; Ding, L.; Zhu, W.; Zhang, Y. Synthesis of a novel environmental-friendly biocarbon composite and its highly efficient removal of uranium(VI) and thorium(IV) from aqueous solution. J. Clean. Prod. 2022, 374, 134059. [Google Scholar] [CrossRef]
- Liu, C.; Lu, J.; Tan, Y.; Chen, B.; Yang, P. Removal of U(VI) from wastewater by sulfhydryl-functionalized biomass carbon supported nano-zero-valent iron through synergistic effect of adsorption and reduction. Mater. Sci. Eng. B 2022, 284, 115891. [Google Scholar] [CrossRef]
- Newbury, D.E.; Ritchie, N.W.M. Is Scanning Electron Microscopy/Energy Dispersive X-Ray Spectrometry (SEM/EDS) Quantitative? Scanning 2013, 35, 141–168. [Google Scholar] [CrossRef]
- Philippou, K.; Pashalidis, I. Chapter 11—Polyvalent metal ion adsorption by chemically modified biochar fibers. In Biomass-Derived Materials for Environmental Applications; Anastopoulos, I., Lima, E., Meili, L., Giannakoudakis, D., Eds.; Elsevier: Amsterdam, The Netherlands, 2022; pp. 267–286. [Google Scholar]










| Adsorbent | Swelling Ratio and SD |
|---|---|
| CA | 41 ± 0.6 |
| CA/ox-LC (5% wt) | 35 ± 1.5 |
| CA/ox-LC (10% wt) | 30 ± 1.0 |
| Adsorbent | pH | qmax (mg·g−1) | Literature |
|---|---|---|---|
| Hydrogel-based adsorbents | |||
| Calcium Alginate beads | 7.0 | 237.2 | [50] |
| Semi-interpenetrating Alginate-based microspheres | 8.1 | 186.6 | [51] |
| Cellulose Hydrogel | 3.0 | 148.0 | [52] |
| Poly(acrylic acid) hydrogel | 4.0 | 445.1 | [53] |
| Guar gum/acrylamide/orange peel biochar hydrogel | 5.5 | 263.2 | [54] |
| Graphene oxide-doped double network hydrogels | 6.0 | 625.0 | [55] |
| ZnO-modified biochar-based hydrogels | 5.0 | 239.2 | [56] |
| Amidoxime- functionalized magnetoactive microspheres | 4.5 | 200.5 | [57] |
| Biochar-based adsorbents | |||
| Activated Biochar fibers | 7.0 | 210 | [19] |
| Surface-oxidized Biochar obtained from LC fibers | 3.0 | 92.0 | [18] |
| Oxidized biochar obtained from palm tree fibers | 6.0 | 112.0 | [17] |
| Carboxyl and amidoxime-modified LC fibers | 5.0 | 399.1 | [58] |
| Manure-derived biocarbon doped with TiO2 and SiO2 | 4.5 | 675.1 | [59] |
| Magnetic sulfhydryl-functionalized biomass carbon | 7.0 | 273.0 | [60] |
| CA hydrogel | 3.0 | 335.6 | This study |
| CA/ox-LC composite hydrogel | 3.0 | 404.6 | This study |
| Freundlich | |||
|---|---|---|---|
| Sample | KF [L/mg] | n | R2 |
| 10% wt LC fibers | 3.99 · 102 | 1.35 | 0.999 |
| CA hydrogel | 8.13 · 101 | 1.72 | 0.993 |
| Langmuir | |||
| Sample | KL [L/mg] | qmax [mol kg−1] | R2 |
| 10% wt LC fibers | 3.89 · 103 | 1.70 | 0.999 |
| CA hydrogel | 8.68 · 103 | 0.995 | 0.993 |
Disclaimer/Publisher’s Note: The statements, opinions and data contained in all publications are solely those of the individual author(s) and contributor(s) and not of MDPI and/or the editor(s). MDPI and/or the editor(s) disclaim responsibility for any injury to people or property resulting from any ideas, methods, instructions or products referred to in the content. |
© 2023 by the authors. Licensee MDPI, Basel, Switzerland. This article is an open access article distributed under the terms and conditions of the Creative Commons Attribution (CC BY) license (https://creativecommons.org/licenses/by/4.0/).
Share and Cite
Ayiotis, A.; Georgiou, E.; Ioannou, P.S.; Pashalidis, I.; Krasia-Christoforou, T. 3D Composite U(VI) Adsorbents Based on Alginate Hydrogels and Oxidized Biochar Obtained from Luffa cylindrica. Materials 2023, 16, 6577. https://doi.org/10.3390/ma16196577
Ayiotis A, Georgiou E, Ioannou PS, Pashalidis I, Krasia-Christoforou T. 3D Composite U(VI) Adsorbents Based on Alginate Hydrogels and Oxidized Biochar Obtained from Luffa cylindrica. Materials. 2023; 16(19):6577. https://doi.org/10.3390/ma16196577
Chicago/Turabian StyleAyiotis, Andreas, Efthalia Georgiou, Panagiotis S. Ioannou, Ioannis Pashalidis, and Theodora Krasia-Christoforou. 2023. "3D Composite U(VI) Adsorbents Based on Alginate Hydrogels and Oxidized Biochar Obtained from Luffa cylindrica" Materials 16, no. 19: 6577. https://doi.org/10.3390/ma16196577
APA StyleAyiotis, A., Georgiou, E., Ioannou, P. S., Pashalidis, I., & Krasia-Christoforou, T. (2023). 3D Composite U(VI) Adsorbents Based on Alginate Hydrogels and Oxidized Biochar Obtained from Luffa cylindrica. Materials, 16(19), 6577. https://doi.org/10.3390/ma16196577

