Hybrid Cements and Construction Elements Based on Alkaline Activation with Sodium Sulfates from Fly Ash and Construction and Demolition Waste
Abstract
:1. Introduction
2. Materials and Methods
2.1. Characterization of Raw Materials
2.2. Binder Optimization
2.3. Mortars, Concretes, and Blocks: Production and Characterization
3. Results and Discussion
3.1. Characterization of Hybrid Cement (Binder) Based on FA and CDW
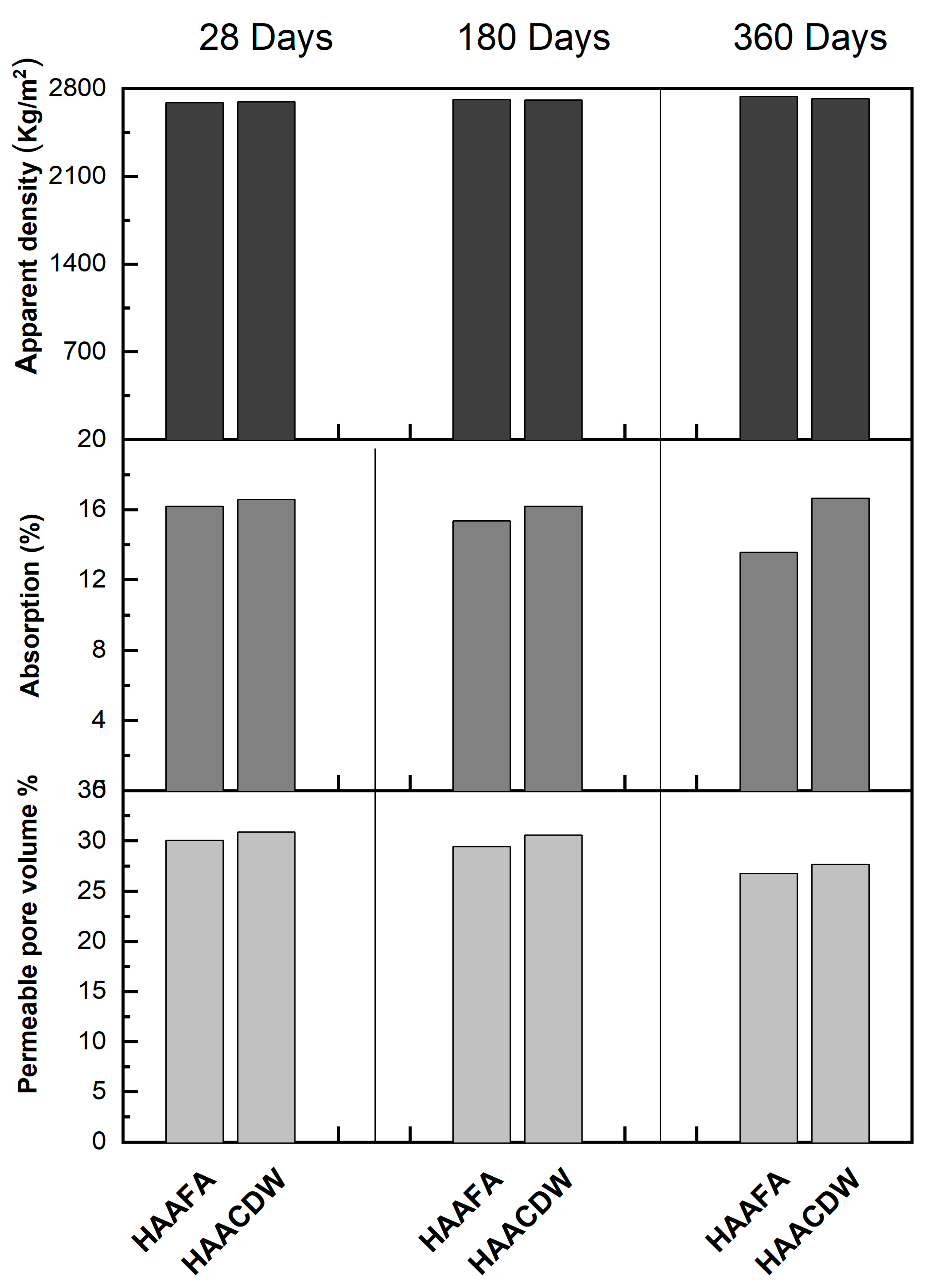
3.2. Characterization of Hybrid Concrete Based on FA (HAAFA) and CDW (HAACDW)
3.3. Production and Characterization the Construction Elements
4. Conclusions
Author Contributions
Funding
Institutional Review Board Statement
Informed Consent Statement
Data Availability Statement
Acknowledgments
Conflicts of Interest
References
- Pierrehumbert, R. There is no Plan B for dealing with the climate crisis. Bull. At. Sci. 2019, 75, 215–221. [Google Scholar] [CrossRef]
- Zhang, J.; Tan, H.; Bao, M.; Liu, X.; Luo, Z.; Wang, P. Low carbon cementitious materials: Sodium sulfate activated ultra-fine slag/fly ash blends at ambient temperature. J. Clean. Prod. 2021, 280, 124363. [Google Scholar] [CrossRef]
- Hasanbeigi, A.; Menke, C.; Price, L. The CO2 abatement cost curve for the Thailand cement industry. J. Clean. Prod. 2010, 18, 1509–1518. [Google Scholar] [CrossRef]
- Miller, S.A.; John, V.M.; Pacca, S.A.; Horvath, A. Carbon dioxide reduction potential in the global cement industry by 2050. Report of UNEP SBCI Working Group on Low-CO2 Eco-Efficient Cement-Based Materials. Cem. Concr. Res. 2018, 114, 115–124. [Google Scholar] [CrossRef]
- Yang, K.-H.; Song, J.-K.; Song, K.-I. Assessment of CO2 reduction of alkali-activated concrete. J. Clean. Prod. 2013, 39, 265–272. [Google Scholar] [CrossRef]
- Chen, J.J.; Kwan, A.K.H.; Jiang, Y. Adding limestone fines as cement paste replacement to reduce water permeability and sorptivity of concrete. Constr. Build. Mater. 2014, 56, 87–93. [Google Scholar] [CrossRef]
- Torres-Carrasco, M.; Rodríguez-Puertas, C.; Alonso, M.d.M.; Puertas, F. Alkali activated slag cements using waste glass as alternative activators. Rheological behaviour. Bol. Soc. Esp. Cerám. Vidr. 2015, 54, 45–57. [Google Scholar] [CrossRef]
- Anand, S.; Vrat, P.; Dahiya, R.P. Application of a system dynamics approach for assessment and mitigation of CO2 emissions from the cement industry. J. Environ. Manag. 2006, 79, 383–398. [Google Scholar] [CrossRef]
- Scrivener, K.L.; John, V.M.; Gartner, E.M. Eco-efficient cements: Potential economically viable solutions for a low-CO2 cement-based materials industry. Cem. Concr. Res. 2018, 114, 2–26. [Google Scholar] [CrossRef]
- Brough, A.R.; Atkinson, A. Sodium silicate-based, alkali-activated slag mortars: Part I. Strength, hydration and microstructure. Cem. Concr. Res. 2002, 32, 865–879. [Google Scholar] [CrossRef]
- Provis, J.L.; Van Deventer, J.S.J. Geopolymers: Structures, Processing, Properties and Industrial Applications; Woodhead Pûblishing Limited: Cambridge, UK, 2009. [Google Scholar]
- Van Deventer, J.S.J.; Provis, J.L.; Duxson, P. Technical and commercial progress in the adoption of geopolymer cement. Miner. Eng. 2012, 29, 89–104. [Google Scholar] [CrossRef]
- Soares, P.; Pinto, A.T.; Ferreira, V.M.; Labrincha, J.A. Geopolimeros basados en residuos de la producción de áridos ligeros. Mater. Constr. 2008, 58, 23–34. [Google Scholar] [CrossRef]
- McLellan, B.C.; Williams, R.P.; Lay, J.; van Riessen, A.; Corder, G.D. Costs and carbon emissions for geopolymer pastes in comparison to ordinary portland cement. J. Clean. Prod. 2011, 19, 1080–1090. [Google Scholar] [CrossRef]
- Yang, K.-H.; Jung, Y.-B.; Cho, M.-S.; Tae, S.-H. Effect of supplementary cementitious materials on reduction of CO2 emissions from concrete. J. Clean. Prod. 2015, 103, 774–783. [Google Scholar] [CrossRef]
- Tempest, B.; Sanusi, O.; Gergely, J.; Ogunro, V.; Weggel, D. Compressive strength and embodied energy optimization of fly ash based geopolymer concrete. In Proceedings of the World of Coal Ash (WOCA) Conference, Lexington, KY, USA, January 2009. [Google Scholar]
- Robayo-Salazar, R.; Mejía-Arcila, J.; Mejía de Gutiérrez, R.; Martínez, E. Life cycle assessment (LCA) of an alkali-activated binary concrete based on natural volcanic pozzolan: A comparative analysis to OPC concrete. Constr. Build. Mater. 2018, 176, 103–111. [Google Scholar] [CrossRef]
- Ouellet-Plamondon, C.; Habert, G. 25—Life cycle assessment (LCA) of alkali-activated cements and concretes. In Handbook of Alkali-Activated Cements, Mortars and Concretes; Pacheco-Torgal, F., Labrincha, J.A., Leonelli, C., Palomo, A., Chindaprasirt, P., Eds.; Woodhead Publishing: Oxford, UK, 2015; pp. 663–686. [Google Scholar] [CrossRef]
- Wang, S.-D.; Scrivener, K.L.; Pratt, P.L. Factors affecting the strength of alkali-activated slag. Cem. Concr. Res. 1994, 24, 1033–1043. [Google Scholar] [CrossRef]
- Myers, R.J.; Bernal, S.A.; Provis, J.L. A thermodynamic model for C-(N-)A-S-H gel: CNASH_ss. Derivation and validation. Cem. Concr. Res. 2014, 66, 27–47. [Google Scholar] [CrossRef]
- Zhang, J.; Ye, C.; Tan, H.; Liu, X. Potential application of Portland cement-sulfoaluminate cement system in precast concrete cured under ambient temperature. Constr. Build. Mater. 2020, 251, 118869. [Google Scholar] [CrossRef]
- Rashad, A.M.; Bai, Y.; Basheer, P.A.M.; Milestone, N.B.; Collier, N.C. Hydration and properties of sodium sulfate activated slag. Cem. Concr. Compos. 2013, 37, 20–29. [Google Scholar] [CrossRef]
- Rashad, A.M. An investigation of high-volume fly ash concrete blended with slag subjected to elevated temperatures. J. Clean. Prod. 2015, 93, 47–55. [Google Scholar] [CrossRef]
- Abdalqader, A.F.; Jin, F.; Al-Tabbaa, A. Characterisation of reactive magnesia and sodium carbonate-activated fly ash/slag paste blends. Constr. Build. Mater. 2015, 93, 506–513. [Google Scholar] [CrossRef]
- Velandia, D.F.; Lynsdale, C.J.; Provis, J.L.; Ramirez, F.; Gomez, A.C. Evaluation of activated high volume fly ash systems using Na2SO4, lime and quicklime in mortars with high loss on ignition fly ashes. Constr. Build. Mater. 2016, 128, 248–255. [Google Scholar] [CrossRef]
- Hefni, Y.; Zaher, Y.A.E.; Wahab, M.A. Influence of activation of fly ash on the mechanical properties of concrete. Constr. Build. Mater. 2018, 172, 728–734. [Google Scholar] [CrossRef]
- Villaquirán-Caicedo, M.A.; Mejía de Gutiérrez, R. Comparison of different activators for alkaline activation of construction and demolition wastes. Constr. Build. Mater. 2021, 281, 122599. [Google Scholar] [CrossRef]
- ASTM C618-23; Standard Specification for Coal Ash and Raw or Calcined Natural Pozzolan for Use in Concrete. American Society for Testing and Materials (ASTM): West Conshohocken, PA, USA, 2023.
- ASTM C128-15; Standard Test. Method for Relative Density (Specific Gravity) and Absorption of Fine Aggregate. American Society for Testing and Materials (ASTM): West Conshohocken, PA, USA, 2015.
- ASTM C127-15; Standard Test. Method for Relative Density (Specific Gravity) and Absorption of Coarse Aggregate. American Society for Testing and Materials (ASTM): West Conshohocken, PA, USA, 2015.
- ASTM C29-17; Standard Test. Method for Bulk Density (“Unit Weight”) and Voids in Aggregate. American Society for Testing and Materials (ASTM): West Conshohocken, PA, USA, 2017.
- ASTM C136-19; Standard Test. Method for Sieve Analysis of Fine and Coarse Aggregates. American Society for Testing and Materials (ASTM): West Conshohocken, PA, USA, 2019.
- ASTM C40/C40M-20; Standard Test Method for Organic Impurities in Fine Aggregates for Concrete. American Society for Testing and Materials (ASTM): West Conshohocken, PA, USA, 2020.
- ASTM C131-20; Standard Test. Method for Resistance to Degradation of Small-Size Coarse Aggregate by Abrasion and Impact in the Los Angeles Machine. American Society for Testing and Materials (ASTM): West Conshohocken, PA, USA, 2020.
- ASTM C191-21; Standard Test Methods for Time of Setting of Hydraulic Cement by Vicat Needle. American Society for Testing and Materials (ASTM): West Conshohocken, PA, USA, 2021.
- ASTM C1157-08; Standard Performance Specification for Hydraulic Cement. American Society for Testing and Materials (ASTM): West Conshohocken, PA, USA, 2008.
- NSR-10; Reglamento Colombiano de Construcción Sismo Resistente (Colombian Regulations for Earthquake Resistant Construction). Ministerio de Ambiente: Vivienda y Desarrollo Territorial, Colombia, 2010.
- ASTM C305-20; Standard Practice for Mechanical Mixing of Hydraulic Cement Pastes and Mortars of Plastic Consistency. American Society for Testing and Materials (ASTM): West Conshohocken, PA, USA, 2020.
- ASTM C109/109M-20; Standard Test Method for Compressive Strength of Hydraulic Cement Mortars (Using 2-in. or [50-mm] Cube Specimens). American Society for Testing and Materials (ASTM): West Conshohocken, PA, USA, 2020.
- ASTM C39-18; Standard Test. Method for Compressive Strength of Cylindrical Concrete Specimens. American Society for Testing and Materials (ASTM): West Conshohocken, PA, USA, 2018.
- ASTM C496/496M-17; Standard Test Method for Splitting Tensile Strength of Cylindrical Concrete Specimens. American Society for Testing and Materials (ASTM): West Conshohocken, PA, USA, 2017.
- ASTM C642-21; Standard Test Method for Density, Absorption, and Voids in Hardened Concrete. American Society for Testing and Materials (ASTM): West Conshohocken, PA, USA, 2021.
- ASTM C1585-20; Standard Test Method for Measurement of Rate of Absorption of Water by Hydraulic-Cement Concretes. American Society for Testing and Materials (ASTM): West Conshohocken, PA, USA, 2020.
- ASTM C140-13; Standard Test Methods for Sampling and Testing Concrete Masonry Units and Related Units. American Society for Testing and Materials (ASTM): West Conshohocken, PA, USA, 2013.
- NTC 4026:1997; Unidades (Bloques y ladrillos) de Concreto Para Mampostería Estructural. Instituto Colombiano de Normas Técnicas y Certificación (ICONTEC): Bogotá, Colombia, 1997.
- NTC 2017:2018; Adoquines de Concreto Para Pavimentos. Instituto Colombiano de Normas Técnicas y Certificación (ICONTEC): Bogotá, Colombia, 2018.
- García, J.I.E.; Campos-Venegas, K.; Gorokhovsky, A.; Fernández, A. Cementitious composites of pulverised fuel ash and blast furnace slag activated by sodium silicate: Effect of Na2O concentration and modulus. Adv. Appl. Ceram. 2006, 105, 201–208. [Google Scholar] [CrossRef]
- Zhao, Y.; Qiu, J.; Zhang, S.; Guo, Z.; Ma, Z.; Sun, X.; Xing, J. Effect of sodium sulfate on the hydration and mechanical properties of lime-slag based eco-friendly binders. Constr. Build. Mater. 2020, 250, 118603. [Google Scholar] [CrossRef]
- Joseph, S.; Snellings, R.; Cizer, Ö. Activation of Portland cement blended with high volume of fly ash using Na2SO4. Cem. Concr. Compos. 2019, 104, 103417. [Google Scholar] [CrossRef]
- Abdalqader, A.F.; Jin, F.; Al-Tabbaa, A. Development of greener alkali-activated cement: Utilisation of sodium carbonate for activating slag and fly ash mixtures. J. Clean. Prod. 2016, 113, 66–75. [Google Scholar] [CrossRef]
- Donatello, S.; Fernández-Jimenez, A.; Palomo, A. Very High Volume Fly Ash Cements. Early Age Hydration Study Using Na2SO4 as an Activator. J. Am. Ceram. Soc. 2013, 96, 900–906. [Google Scholar] [CrossRef]
- Dakhane, A.; Tweedley, S.; Kailas, S.; Marzke, R.; Neithalath, N. Mechanical and microstructural characterization of alkali sulfate activated high volume fly ash binders. Mater. Des. 2017, 122, 236–246. [Google Scholar] [CrossRef]
- Robayo-Salazar, R.A.; Valencia-Saavedra, W.; Mejía de Gutiérrez, R. Construction and Demolition Waste (CDW) Recycling—As Both Binder and Aggregates—In Alkali-Activated Materials: A Novel Re-Use Concept. Sustainability 2020, 12, 5775. [Google Scholar] [CrossRef]
- Fang, G.; Ho, W.K.; Tu, W.; Zhang, M. Workability and mechanical properties of alkali-activated fly ash-slag concrete cured at ambient temperature. Constr. Build. Mater. 2018, 172, 476–487. [Google Scholar] [CrossRef]
- Temuujin, J.; van Riessen, A. Effect of fly ash preliminary calcination on the properties of geopolymer. J. Hazard. Mater. 2009, 164, 634–639. [Google Scholar] [CrossRef]
- Deb, P.S.; Nath, P.; Sarker, P.K. The effects of ground granulated blast-furnace slag blending with fly ash and activator content on the workability and strength properties of geopolymer concrete cured at ambient temperature. Mater. Des. 2014, 62, 32–39. [Google Scholar] [CrossRef]
- Hewlett, P.C.; Liska, M. Lea’s Chemistry of Cement and Concrete, 5th ed.; Elsevier: Amsterdam, The Netherlands, 2019. [Google Scholar] [CrossRef]
- Bernal, S.A.; Mejía de Gutiérrez, R.; Provis, J.L. Engineering and durability properties of concretes based on alkali-activated granulated blast furnace slag/metakaolin blends. Constr. Build. Mater. 2012, 33, 99–108. [Google Scholar] [CrossRef]
- Al-Otaibi, S. Durability of concrete incorporating GGBS activated by waterglass. Constr. Build. Mater. 2008, 22, 2059–2067. [Google Scholar] [CrossRef]
- Provis, J.L.; Myers, R.J.; White, C.E.; Rose, V.; van Deventer, J.S.J. X-ray microtomography shows pore structure and tortuosity in alkali-activated binders. Cem. Concr. Res. 2012, 42, 855–864. [Google Scholar] [CrossRef]













| Material | SiO2 | Al2O3 | Fe2O3 | CaO | MgO | Na2O | SO3 | TiO2 | Others | LOI 1 |
|---|---|---|---|---|---|---|---|---|---|---|
| FA | 59.03 | 23.97 | 5.98 | 0.74 | 0.31 | 0.19 | 0.55 | 0.95 | 1.93 | 6.35 |
| CDW | 47.60 | 11.21 | 5.94 | 21.21 | 1.19 | 0.67 | - | - | 2.32 | 9.86 |
| OPC | 19.13 | 4.42 | 4.32 | 57.70 | 1.60 | - | 2.32 | - | 0.73 | 9.78 |
| Characteristics | Fine Recycled Aggregate (FRA) | Coarse Recycled Aggregate (CRA) | ||
|---|---|---|---|---|
| Standard | Experimental Value | Standard | Experimental Value | |
| Bulk density (kg/m3) | ASTM C128 [29] | 2029 | ASTM C127 [30] | 2326 |
| Absorption (%) | ASTM C128 [29] | 12.12 | ASTM C127 [30] | 9.17 |
| Unit weight (kg/m3) | ASTM C29 [31] | 1240 | ASTM C29 [31] | 1211 |
| Maximum size (mm) | N/A | ASTM C136 [32] | 25.4 | |
| Fineness modulus | ASTM C136 [32] | 2.63 | N/A | |
| Organic impurities | ASTM C40 [33] | Organic plate No. 1 | N/A | |
| Resistance to degradation (%) | N/A | ASTM C131 [34] | 33.65 | |
| Material | HAAFA (kg) | HAACDW (kg) |
|---|---|---|
| Precursor FA | 350 | -- |
| Precursor CDW | -- | 350 |
| OPC | 150 | 150 |
| Sodium sulphate (Na2SO4) | 20 | 20 |
| Water | 182 | 182 |
| Coarse recycled aggregate (CRA) | 670 | 695 |
| Fine recycled aggregate (FRA) | 670 | 695 |
| Total | 2040 | 2092 |
| Sample | Initial Setting Time (Min) | Final Setting Time (Min) | Heat of Reaction (J/g) |
|---|---|---|---|
| FA/OPC | 88 | 146 | 94.03 |
| CDW/OPC | 350 | 570 | 80.13 |
| Compressive Strength at 28 Days (Rc 28), Evaluated on the Average Net Area (Anp) (Minimum, MPa) | Water Absorption (Wa) (Maximum %) Based on Weight (Density) (kg/m3) | ||||
|---|---|---|---|---|---|
| Class | Average of 3 Units | Individual | Light Weight, Less than 1680 kg/m3 | Medium Weight, 1680 kg/m3 to Less than 2000 kg/m3 | Normal Weight, 2000 kg/m3 or More |
| High | 13 | 11 | 15 | 12 | 9 |
| Low | 8 | 7 | 18 | 15 | 12 |
| Type of Block | Rc (28d) MPa | Weight (kg/m3) | Wa % |
|---|---|---|---|
| HAAFA perforated block (high class) | 15.28 ± 0.5 | 1846 | 11.4 |
| HAACDW perforated block (low class) | 9.6 ± 0.6 | 1880 | 13.6 |
| HAAFA solid block (high class) | 29.3 ± 1.3 | 1874 | 11.8 |
| HAACDW solid block (low class) | 22.5 ± 0.8 | 1790 | 14.1 |
Disclaimer/Publisher’s Note: The statements, opinions and data contained in all publications are solely those of the individual author(s) and contributor(s) and not of MDPI and/or the editor(s). MDPI and/or the editor(s) disclaim responsibility for any injury to people or property resulting from any ideas, methods, instructions or products referred to in the content. |
© 2023 by the authors. Licensee MDPI, Basel, Switzerland. This article is an open access article distributed under the terms and conditions of the Creative Commons Attribution (CC BY) license (https://creativecommons.org/licenses/by/4.0/).
Share and Cite
Valencia-Saavedra, W.; Robayo-Salazar, R.A.; Mejía de Gutiérrez, R. Hybrid Cements and Construction Elements Based on Alkaline Activation with Sodium Sulfates from Fly Ash and Construction and Demolition Waste. Materials 2023, 16, 6272. https://doi.org/10.3390/ma16186272
Valencia-Saavedra W, Robayo-Salazar RA, Mejía de Gutiérrez R. Hybrid Cements and Construction Elements Based on Alkaline Activation with Sodium Sulfates from Fly Ash and Construction and Demolition Waste. Materials. 2023; 16(18):6272. https://doi.org/10.3390/ma16186272
Chicago/Turabian StyleValencia-Saavedra, William, Rafael A. Robayo-Salazar, and Ruby Mejía de Gutiérrez. 2023. "Hybrid Cements and Construction Elements Based on Alkaline Activation with Sodium Sulfates from Fly Ash and Construction and Demolition Waste" Materials 16, no. 18: 6272. https://doi.org/10.3390/ma16186272
APA StyleValencia-Saavedra, W., Robayo-Salazar, R. A., & Mejía de Gutiérrez, R. (2023). Hybrid Cements and Construction Elements Based on Alkaline Activation with Sodium Sulfates from Fly Ash and Construction and Demolition Waste. Materials, 16(18), 6272. https://doi.org/10.3390/ma16186272
