Verification of Reinforced Surface Loose Layer of Zinc–Aluminum–Magnesium Steel Plate
Abstract
:1. Introduction
2. Experiment
2.1. Material and Instrument
2.2. Verification of Loose Layer on Surface of Zn–Al–Mg Steel Plate
2.3. Hydrolysis of Silane Coupling Agents

2.4. Adhesive Bonding of Zn–Al–Mg Steel Plate with Epoxy Resin
3. Results and Discussion
3.1. Verification of Loose Layer on Surface of Zn–Al–Mg Steel Plate
3.2. Causes of Loose Layer on Surface of Zn–Al–Mg Steel Plate
3.3. Element Distribution on Surface of Zn–Al–Mg Steel Plate
3.4. Hydrolysis of Silane Coupling Agents
) chemical shift was observed in the Si atom, whereas in the dimeric state, a T1 (
) chemical shift was observed in the Si atom.
) and T3 (
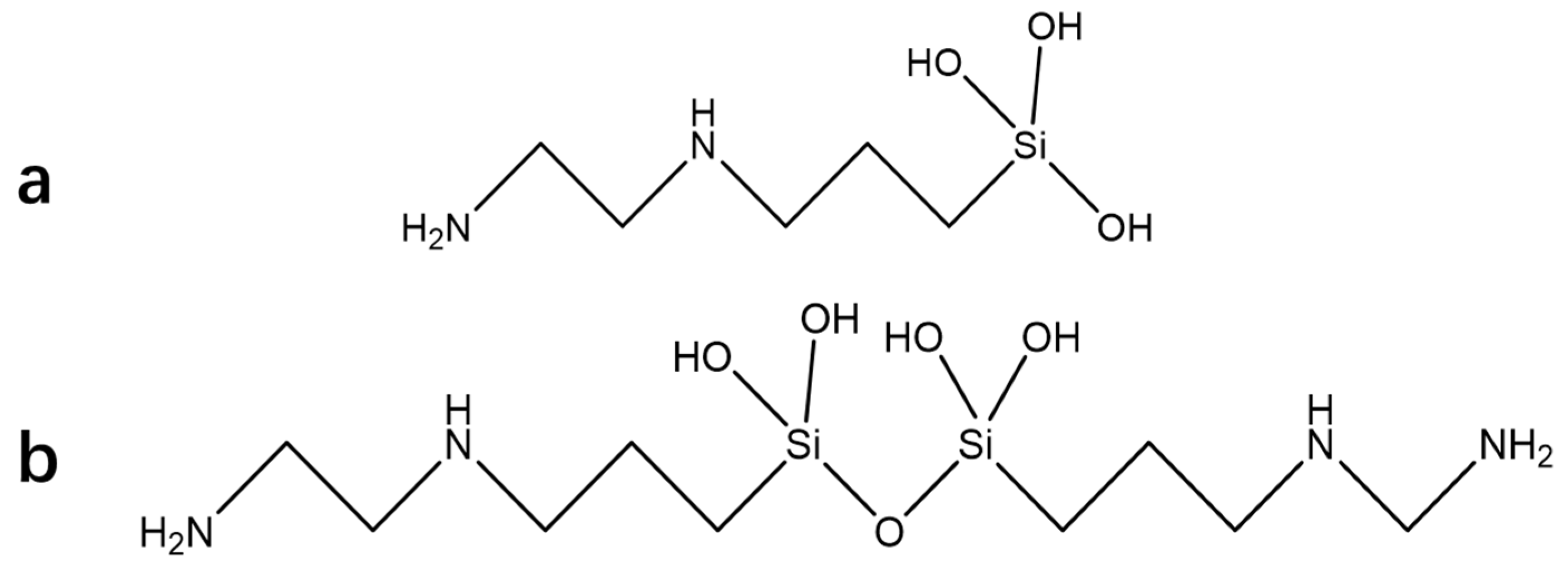
). After hydrolysis, the silane coupling agent formed a polymer structure. A silane coupling agent with a 1–9 ring structure is illustrated in Figure 9 (where R = CH2CH2CH2NHCH2CH2NH2). In the different aggregates, the T2 and T3 types of Si constituted different proportions of the integrated area. Figure 9a illustrates that Si exhibited only the T2 structure. Meanwhile, Figure 9b illustrates T2:T3 = 4:2; Figure 9c, T2:T3 = 5:4; Figure 9d, T2:T3 = 6:6; Figure 9e, T2:T3 = 7:8; Figure 9f, T2:T3 = 8:10; Figure 9g, T2:T3 = 9:12; Figure 9h, T2:T3 = 10:14; and Figure 9i, T2:T3 = 11:16. These hydrolysis structural ratios demonstrate that the higher the proportion of the T3 integral area in the 29Si spectrum, the larger the aggregate hydrolyzed by the silane coupling agent. Therefore, the molecular weight of the silane coupling agent after hydrolysis was determined by using 29Si-NMR spectroscopy.3.5. Modification of Zn–Al–Mg Steel Plate
3.6. Adhesion Performance of Zn–Al–Mg Steel Plate
4. Conclusions
Author Contributions
Funding
Institutional Review Board Statement
Informed Consent Statement
Data Availability Statement
Conflicts of Interest
References
- Chen, X.; Peng, X.J.; Yuan, X.J.; Xiong, Z.L.; Lu, Y.; Lu, S.H.; Peng, J. Effect of Zinc Aluminum Magnesium Coating on Spot-Welding Joint Properties of HC340LAD + ZM Steel. Appl. Sci. 2022, 12, 9072. [Google Scholar] [CrossRef]
- Liu, W.; Li, M.C.; Luo, Q.; Fane, H.Q.; Zhang, J.Y.; Lu, H.S.; Chou, K.C.; Wang, X.L.; Li, Q. Influence of alloyed magnesium on the microstructure and long-termcorrosion behavior of hot-dip Al–Zn–Si coating in NaCl solution. Corros. Sci. 2016, 104, 217–226. [Google Scholar] [CrossRef]
- Khan, M.S.; Cho, Y.H.; Zhang, S.; Goodwin, F.; Biro, E.; Zhou, Y.N. The Effect of Zinc Coating Type on the Morphology, Joint Geometry, and Mechanical Properties of Weld-Brazed Thin-Gauge Automotive Steel. Metall. Mater. Trans. A. 2023, 54, 179–195. [Google Scholar] [CrossRef]
- LeBozec, N.; Thierry, D.; Persson, D.; Stoulil, J.J. Atmospheric Corrosion of Zinc-Aluminum Alloyed Coated Steel in Depleted Carbon Dioxide Environments. Electrochem. Soc. 2018, 165, C343–C353. [Google Scholar] [CrossRef]
- Mukai, T.; Yamanoi, M.; Watanabe, H.; Ishikawa, K.K. Higashi. Effect of Grain Refinement on Tensile Ductility in ZK60 Magnesium Alloy under Dynamic Loading. Mater Trans. 2001, 42, 1176–1181. [Google Scholar]
- Oh, M.S.; Kim, S.H.; Kim, J.S.; Lee, J.W.; Shon, J.H.; Jin, Y.S. Surface and Cut-edge Corrosion Behavior of Zn-Mg-Al Alloy-Coated Steel Sheets as a Function of the Alloy Coating Microstructure. Met. Mater. Int. 2016, 22, 26–33. [Google Scholar] [CrossRef]
- Rai, P.K.; Rout, D.; Kumar, D.S.; Balachandran, G. Corrosion behaviour of hot-dip Zn-Al-Mg coatings with different Al content. Anti-Corros. Methods Mater. 2021, 69, 29–37. [Google Scholar] [CrossRef]
- Diler, E.; Rioual, S.; Lescop, B.; Thierry, D.; Rouvellou, B. Chemistry of corrosion products of Zn and MgZn pure phases under atmospheric conditions. Corros. Sci. 2012, 65, 178–186. [Google Scholar] [CrossRef]
- Schuerz, S.; Fleischanderl, M.; Luckeneder, G.H.; Preis, K.; Haunschmied, T.; Mori, G.; Kneissl, A.C. Corrosion behaviour of Zn–Al–Mg coated steel sheet in sodium chloride-containing environment. Corros. Sci. 2009, 51, 2355–2363. [Google Scholar] [CrossRef]
- Delogu, M.; Maltese, S.; Pero, F.D.; Zanchi, L.; Pierini, M.; Bonoli, A. Challenges for modelling and integrating environmental performances in concept design: The case of an automotive component lightweighting. Int. J. Sustain. Eng. 2018, 11, 135–148. [Google Scholar] [CrossRef]
- Meng, X.C.; Sun, Y.P.; He, J.M.; Li, W.Z.; Zhou, Z.F. Multi-Objective Lightweight Optimization Design of the Aluminium Alloy Front Subframe of a Vehicle. Metals 2023, 13, 705–731. [Google Scholar] [CrossRef]
- Herrmann, C.; Dewulf, W.; Hauschild, M.; Kaluza, A.; Kara, S.; Skerlos, S. Life cycle engineering of lightweight structures. CIRP Ann. 2018, 67, 651–672. [Google Scholar] [CrossRef]
- Bao, Y.P. Preface to the Special Issue on Advanced Technologies in High Quality Steel Metallurgy. Chin. J. Eng. 2022, 44, 1473–1475. [Google Scholar]
- Yang, Q.Y.; Tang, M.; Liu, Y.; Yu, H.; Wang, J. Solidification Microstructure and Mechanical Properties of Zn-Al-Mg Alloy with Different Aluminum and Magnesium Contents. Chin. J. Rare Met. 2016, 40, 421–428. [Google Scholar]
- Abdulaziz, A.N.; Raja, R.H.; Abdulrahman, A.; Alhozaimy, A.; Singh, D.D.N. Corrosion performance of hot-dip galvanized zinc-aluminum coated steel rebars in comparison to the conventional pure zinc coated rebars in concrete environment. Constr. Build. Mater. 2021, 274, 121921–121938. [Google Scholar]
- Sun, X.; Liu, J.; Lu, B.; Zhang, P.; Zhao, M. Life cycle assessment-based selection of a sustainable lightweight automotive engine hood design. Int. J. Life Cycle Assess. 2017, 22, 1373–1383. [Google Scholar] [CrossRef]
- Lostak, T.; Maljusch, A.; Klink, B.; Krebs, S.; Kimpel, M.; Flocka, J.; Schulzc, S.; Schuhmannb, W. Zr-based conversion layer on Zn-Al-Mg alloy coated steel sheets:insights into the formation mechanism. Electrochim. Acta. 2014, 137, 65–74. [Google Scholar] [CrossRef]
- Thierry, D.; Persson, D.; Luckeneder, G.; Stellnberger, K. Atmospheric corrosion of ZnAlMg coated steel during long term atmospheric weathering at different worldwide exposure sites. Corrosion Sci. 2019, 148, 338–354. [Google Scholar] [CrossRef]
- Thierry, D.; LeBozec, N.; Gac, L.; Persson, D. Long-term atmospheric corrosion rates of hot dip galvanised steel and zinc-aluminium-magnesium coated steel. Mater. Corros. 2019, 70, 2220–2227. [Google Scholar] [CrossRef]
- Prosek, T.; Larché, N.; Vlot, M.; Goodwin, F.; Thierry, D. Corrosion performance of Zn–Al–Mg coatings in open and confined zones in conditions simulating automotive applications. Mater. Corros. 2010, 61, 412–420. [Google Scholar] [CrossRef]
- Grundmeier, G.; Ozcan, O.; Klein, D.; Giner, I. Durability of Adhesively Bonded Surfaces Finished Galvanised Steels in Corrosive Environments (DURADH); Publications Office of the European Union: Luxembourg, 2014. [Google Scholar]
- Baek, D.; Sim, K.B.; Kim, H.J. Mechanical Characterization of Core-Shell Rubber/Epoxy Polymers for Automotive Structural Adhesives as a Function of Operating Temperature. Polymers 2021, 13, 734. [Google Scholar] [CrossRef] [PubMed]
- Patel, R.V.; Yadav, A.; Winczek, J. Physical, Mechanical, and Thermal Properties of Natural Fiber-Reinforced Epoxy Composites for Construction and Automotive Applications. Appl. Sci. 2023, 13, 5126. [Google Scholar] [CrossRef]
- Chen, Y.Y.; Chen, B.H.; Ou, J.L.; Gao, Q.W.; Yang, Y.Q. The Effects of Different Epoxy Resins on the Mechanical Properties of Adhesives. Chem. Adhes. 2022, 4, 397–399. [Google Scholar]
- Zeng, Y.C.; Xu, P.W.; Yang, W.J.; Chu, H.; Wang, W.; Dong, W.F.; Chen, M.Q.; Bai, H.Y.; Ma, P.M. Soy protein-based adhesive with superior bonding strength and water resistance by designing densely crosslinking networks. Eur. Polym. J. 2021, 142, 110128. [Google Scholar] [CrossRef]
- Xuan, B.W.; Ye, H.C.; Zhuo, D.X. Research advances in modified epoxy adhesives. Adhesion 2015, 36, 82–88. [Google Scholar]
- Matinlinna, J.P.; Lung, C.Y.K.; Tsoi, J.K.H. Silane adhesion mechanism in dental applications and surface treatments: A review. Dent. Mater. 2018, 34, 13–28. [Google Scholar] [CrossRef] [PubMed]
- Fukui, N.; Okunishi, T.; Hara, N.; Nakamura, Y.; Uetsuji, Y. Atomistic investigation on adhesive strength of coupling agents to aluminum. Int. J. Mech. Sci. 2023, 246, 108150. [Google Scholar] [CrossRef]
- Li, Y. Synthesis and application of silane coupling agent. Petrochem. Ind. Technol. 2022, 4, 22–23. [Google Scholar]
- Salon, B.; Christine, M.; Naceur, B.M. Phosphorus. Hydrolysis-Condensation Kinetics of Different Silane Coupling Agents. Sulfur and Silicon. 2011, 186, 240–254. [Google Scholar] [CrossRef]
- Sterman, S.; Marsden, J.G. The Effect of Silane Coupling Agents in Improving the Properties of Filled or Reinforced Thermoplastics. Polym. Eng. Sci. 1998, 6, 97–112. [Google Scholar] [CrossRef]
- Zhou, A.; Yu, Z.; Wei, H.; Tam, L.; Liu, T.; Zou, D. Understanding the Toughening Mechanism of Silane Coupling Agents in the Interfacial Bonding in Steel Fiber-Reinforced Cementitious Composites. ACS. Appl. Mater. Interfaces 2020, 12, 44163–44171. [Google Scholar] [CrossRef]
- Aziz, T.; Ullah, A.; Fan, H.; Jamil, M.I.; Khan, F.U.; Ullah, R.; Iqbal, M.; Ali, A.; Ullah, B. Recent Progress in Silane Coupling Agent with Its Emerging Applications. J. Polym. Environ. 2021, 29, 3427–3443. [Google Scholar] [CrossRef]
- Lu, C.L.; Yang, C.P.; Guo, Z.L.; Teng, D.X.; Mai, K.J.; Jiao, J.; Zeng, X.B.; Wang, W.W. Synthesis, Development and Application of Silane Coupling Agents. Guangdong Chem. Ind. 2020, 47, 105–107. [Google Scholar]
- Smith, K.A. Polycondensation of Methyltrimethoxysilane. Macromolecules 1987, 20, 2514–2520. [Google Scholar] [CrossRef]
- Lu, Y.L.; Li, J.C.; Yu, H.T.; Wang, W.C.; Liu, L.; Wang, K.; Zhang, L.Q. Plasma induced surface coating on carbon nanotube bundles to fabricate natural rubber nanocomposites. Polym. Test. 2018, 65, 21–28. [Google Scholar] [CrossRef]
- Wang, X.G.; Zhai, S.T.; Xie, T. Constr. Mechanism behind the improvement of coupling agent in interface bonding performance between organic transparent resin and inorganic cement matrix. Build. Mater. 2017, 143, 138–146. [Google Scholar] [CrossRef]
- Niher, T.J. Dental applications for silane coupling agents. Oral Sci. 2016, 58, 151–155. [Google Scholar]
- Paquet, O.; Salon, M.B.; Zeno, E.; Belgacem, M.N. Hydrolysis-condensation kinetics of 3-(2-amino-ethylamino)propyl-trimethoxysilane. Mater. Sci. Eng. C 2012, 32, 487–493. [Google Scholar] [CrossRef]














| Type of Adhesive | Modification or Not | Morphology of Tensile Shear Fracture Interface | Fracture Ratio of Adhesive Interface |
|---|---|---|---|
| A | × | ![]() | 0% |
| √ | ![]() | 95% | |
| B | × | ![]() | 0% |
| √ | ![]() | 100% | |
| C | × | ![]() | 0% |
| √ | ![]() | 100% | |
| D | × | ![]() | 10% |
| √ | ![]() | 100% | |
| E | × | ![]() | 0% |
| √ | ![]() | 95% | |
| F | × | ![]() | 0% |
| √ | ![]() | 100% |
Disclaimer/Publisher’s Note: The statements, opinions and data contained in all publications are solely those of the individual author(s) and contributor(s) and not of MDPI and/or the editor(s). MDPI and/or the editor(s) disclaim responsibility for any injury to people or property resulting from any ideas, methods, instructions or products referred to in the content. |
© 2023 by the authors. Licensee MDPI, Basel, Switzerland. This article is an open access article distributed under the terms and conditions of the Creative Commons Attribution (CC BY) license (https://creativecommons.org/licenses/by/4.0/).
Share and Cite
Chen, J.; Chen, Z.; Yang, J. Verification of Reinforced Surface Loose Layer of Zinc–Aluminum–Magnesium Steel Plate. Materials 2023, 16, 6221. https://doi.org/10.3390/ma16186221
Chen J, Chen Z, Yang J. Verification of Reinforced Surface Loose Layer of Zinc–Aluminum–Magnesium Steel Plate. Materials. 2023; 16(18):6221. https://doi.org/10.3390/ma16186221
Chicago/Turabian StyleChen, Junxue, Zheng Chen, and Junjiao Yang. 2023. "Verification of Reinforced Surface Loose Layer of Zinc–Aluminum–Magnesium Steel Plate" Materials 16, no. 18: 6221. https://doi.org/10.3390/ma16186221
APA StyleChen, J., Chen, Z., & Yang, J. (2023). Verification of Reinforced Surface Loose Layer of Zinc–Aluminum–Magnesium Steel Plate. Materials, 16(18), 6221. https://doi.org/10.3390/ma16186221












