Dynamic Mechanical Properties and Damage Evolution Characteristics of Beishan Deep Granite under Medium and High Strain Rates
Abstract
1. Introduction
2. Experimental
2.1. Test Apparatus
2.2. Test Procedures
2.3. Specimen Preparation
3. Dynamic Characterization
3.1. Damage Analysis
3.2. Dynamic Deformation Modulus Analysis
3.3. Energy Damage Evolution Analysis
4. Constitutive Model
4.1. ZWT Improvement to Constitutive Model
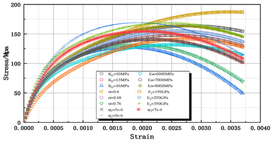
4.2. Parameter Sensitivity Analysis and Acquisition
4.3. Damage Evolution Equation
5. Conclusions
- The uniaxial SHPB testing device was used to perform dynamic mechanical compression tests on the Beishan deep granite. The damage to the specimens was distributed from slightly cracked to highly crushed, and there was a high correspondence between the crushing degree and the strain rate. By measuring the longitudinal wave velocity before and after the test, the relationship between the damage parameters and the peak stress was found. A strain rate threshold of 20.36 s−1 and strain threshold 6.31 × 10−4 were obtained for the dynamic loading damage of Beishan granite.
- With the strain rate increases, the compressive strength of the granite tends to increase, and the compressive strength has a linear correlation with the strain rate. The dynamic deformation modulus of the rock is the same as the static deformation modulus, which is related to the structure of the rock itself and does not change with the change in strain rate. The deformation modulus of Beishan granite is in the range of 120 GPa to 180 GPa, with an average value of 152.58 GPa.
- There was an exponential relationship between strain rate and dissipation energy per unit volume; strain rate increased with an increase in energy dissipation ratio in a complex, nonlinear relationship. There was good agreement between the degree of damage to granite specimens and the dissipation energy per unit volume, which corresponded to each other. When the specimen was broken into blocks, the dissipation energy per unit volume was correspondingly less; when the core was crushed, the energy dissipated was correspondingly more. However, there was no one-to-one correspondence observed between the degree of damage of the specimen and the strain rate; crushing damage was presented at a low strain rate, whereas the specimen was broken into blocks at a high strain rate.
- For the dynamic mechanical properties of Beishan granite, the elemental combination intrinsic model that considers damage was obtained by improving and simplifying, based on the ZWT model. The values of the parameters of the present constitutive model of granite in Beishan were obtained by fitting the stress–strain curve. The damage evolution coefficient in the constitutive model was extracted to obtain the relationship between the damage parameters and the strain rate and the strain, and a dynamic damage evolution equation for the granite of Beishan was established by combining the damage threshold.
Author Contributions
Funding
Data Availability Statement
Acknowledgments
Conflicts of Interest
References
- Wang, J.; Chen, L.; Su, R.; Zhao, X. The Beishan underground research laboratory for geological disposal of high-level radioactive waste in China: Planning, site selection, site characterization and in situ tests. J. Rock Mech. Geotech. Eng. 2012, 10, 411–435. [Google Scholar] [CrossRef]
- Huang, L. Development and new achievements of rock dynamics in China. Rock Soil. Mech. 2011, 32, 2889–2900. [Google Scholar] [CrossRef]
- Nemat, S. Introduction to high strain rate testing. ASM Handb. 2000, 8, 427–428. [Google Scholar] [CrossRef]
- Zhang, Q.; Zhao, J. A review of dynamic experimental techniques and mechanical behaviour of rock materials. Rock Mech. Rock Eng. 2014, 47, 1411–1478. [Google Scholar] [CrossRef]
- Chen, L.; Zhao, X.; Liu, J.; Ma, H.; Wang, C.; Zhang, H.; Wang, J. Progress on rock mechanics research of Beishan granite for geological disposal of high-level radioactive waste in China. Rock Mechanics Bulletin. 2023, 2, 100046. [Google Scholar] [CrossRef]
- Wang, J.; Ren, Z.; Yang, S.; Ning, J.; Zhang, S.; Bian, Y. The Influence of the Strain Rate and Prestatic Stress on the Dynamic Mechanical Properties of Sandstone—A Case Study from China. Materials 2023, 16, 3591. [Google Scholar] [CrossRef] [PubMed]
- Wang, X.; Liu, Z.; Gao, X. Dynamic characteristics and energy evolution of granite subjected to coupled static–cyclic impact loading. Geomech. Geophys. Geo. 2023, 9, 62. [Google Scholar] [CrossRef]
- Ai, D.; Zhao, Y.; Wang, Q.; Li, C. Experimental and numerical investigation of crack propagation and dynamic properties of rock in SHPB indirect tension test. Int. J. Impact Eng. 2019, 126, 135–146. [Google Scholar] [CrossRef]
- Yao, W.; Xia, K. Dynamic Notched Semi-circle Bend (NSCB) method for measuring fracture properties of rocks fundamentals and applications. J. Rock Mech. Geotech. Eng. 2019, 11, 1066–1093. [Google Scholar] [CrossRef]
- Sunita, M.; Tanusree, C.; Dipanjan, B.; Nelson, L. Characterization of sandstone for application in blast analysis of tunnel. Geotech. Test. J. 2019, 2, 351–382. [Google Scholar] [CrossRef]
- Xie, B.; Ai, D.; Yu, Y. Crack detection and evolution law for rock mass under SHPB impact tests. Shock. Vib. 2019, 2019, 3956749. [Google Scholar] [CrossRef]
- Saburi, T.; Takahashi, Y.; Kubota, S.; Ogata, Y. Tensile strength test of rock at high strain rate using digital image correlation. In Explosion Shock Waves and High Strain Rate Phenomena; Materials Research Forum: Millersville, PA, USA, 2019; Volume 13, pp. 97–102. [Google Scholar] [CrossRef]
- Huang, J.; Liu, X.; Zhao, J.; Wang, E.; Wang, S. Propagation of stress waves through fully saturated rock joint under undrained conditions and dynamic response characteristics of filling liquid. Rock Mech. Rock Eng. 2020, 53, 3637–3655. [Google Scholar] [CrossRef]
- Luo, Y.; Wang, G.; Li, X.; Liu, T.; Mandal, A.K.; Xu, M.; Xu, K. Analysis of energy dissipation and crack evolution law of sandstone under impact load. Int. J. Rock Mech. Min. Sci. 2020, 132, 104359. [Google Scholar] [CrossRef]
- Sun, B.; Chen, R.; Ping, Y.; Zhu, Z.; Wu, N.; He, Y. Dynamic response of rock-like materials based on SHPB pulse waveform characteristics. Materials 2021, 15, 210. [Google Scholar] [CrossRef]
- Huang, Y.; Liang, X.; Wen, L.; Chang, J. Study on the freeze-thaw damage of granite under impact loading. Geotech. Geol. Eng. 2020, 38, 1053–1063. [Google Scholar] [CrossRef]
- Song, Y.; Yue, Z. Experimental study on dynamic fracture behaviors of Beishan NSCB and CCNSCB granite specimens under different loading rates. Soil Dyn. Earthq. Eng. 2021, 141, 106512. [Google Scholar] [CrossRef]
- Ke, B.; Zhang, C.; Liu, C. An experimental study on characteristics of impact compression of freeze–thawed granite samples under four different states considering moisture content and temperature difference. Environ. Earth Sci. 2021, 80, 661. [Google Scholar] [CrossRef]
- Hu, N.; Li, C.; Xiao, Y.; Hou, Z.; Qiao, C. Mechanical response and energy dissipation characteristics of granite under low velocity cyclic impact. IOP Conf. Ser. Earth Environ. Sci. 2021, 781, 042043. [Google Scholar] [CrossRef]
- Zhao, X.; Wang, J.; Ma, L. Distribution Characteristics of geostress field in Xinchang rock block of candidate Beishan area for high level radioactive waste repository in China. J. Rock Mech. Geotech. Eng. 2014, 33, 3750–3759. [Google Scholar] [CrossRef]
- Sun, C.; Li, C.; Wei, X. Research on Seismic Wave Quality Factor of Marble Jointed Rock Mass under SHPB Impact. Appl. Sci. 2022, 12, 10875. [Google Scholar] [CrossRef]
- Gao, G.; Huang, S.; Xia, K.; Li, Z. Application of Digital Image Correlation (DIC) in Dynamic Notched Semi-Circular Bend (NSCB) Tests. Exp. Mech. 2015, 55, 95–104. [Google Scholar] [CrossRef]
- Zhang, L. Evaluation of rock mass deformability using empirical methods—A review. Undergr. Space 2017, 2, 1–15. [Google Scholar] [CrossRef]
- Gong, F.; Li, X.; Liu, X. Preliminary experimental study of characteristics of rock subjected to 3D coupled static and dynamic loads. J. Rock Mech. Geotech. Eng. 2011, 30, 1179–1190. [Google Scholar]
- Jin, J.; Zhong, H.; Wu, Y. Method selection for defining damage variable of rock subjected to static loadings and cyclic impacts. Nonferrous Met. Sci. Eng. 2013, 4, 89–93. [Google Scholar] [CrossRef]
- Tang, L.; Wang, C.; Cheng, L. Experimental study of mechanical characteristics of skarn under one-dimensional coupled static and cyclic impact loads. J. Cent. South. Univ. 2015, 46, 3898–3906. [Google Scholar]
- Decký, M.; Drusa, M.; Papán, D.; Šrámek, J. The Relationship between Dynamic and Static Deformation Modulus of Unbound Pavement Materials Used for Their Quality Control Methodology. Materials 2022, 15, 2922. [Google Scholar] [CrossRef]
- Zhang, Z.; Kou, S.; Jiang, L. Effects of loading rate on rock fracture: Fracture characteristics and energy partitioning. Int. J. Rock Mech. Min. Sci. 2000, 37, 745–762. [Google Scholar] [CrossRef]
- Cai, Y.; Yu, S.; Lu, Y. Experimental study on granite and the determination of its true strain-rate effect. Lat. Am. J. Solids Struct. 2015, 12, 675–694. [Google Scholar] [CrossRef]
- Sun, B.; Yang, P.; Zeng, S. Impact dynamic characteristics and constitutive model of granite damaged by cyclic loading. J. Mater. Res. Technol. 2023, 24, 333–345. [Google Scholar] [CrossRef]
- Hou, S.; Liang, S.; Liu, D. Study on dynamic mechanical properties and constitutive model of granite under constant strain rate loading. Constr. Build. Mater. 2023, 363, 129975. [Google Scholar] [CrossRef]
- Salachoris, G.P.; Magagnini, E.; Clementi, F. Mechanical characterization of “Scaglia Rossa” stone masonry through experimental and numerical analyses. Constr. Build. Mater. 2021, 303, 124572. [Google Scholar] [CrossRef]


















| Length mm | Diameter mm | Length-Diameter Ratio | Density (g/cm3) | P-Wave Velocity (m/s) | Uniaxial Compressive Strength (MPa) |
|---|---|---|---|---|---|
| 25.31 | 49.33 | 0.51 | 2.65 | 5341.12 | 200 |
| No. | Strain Rate (s) | Peak Stress (MPa) | Before-Test Longitudinal Wave Speed (m/s) | Post-Test Longitudinal Wave Speed (m/s) | D′ | No. | Strain Rate (s−1) | Peak Stress (MPa) | Before-Test Longitudinal Wave Speed (m/s) | Post-Test Longitudinal Wave Speed (m/s) | D′ | No. | Strain Rate (s−1) | Peak Stress (MPa) | Before-Test Longitudinal Wave Speed (m/s) | Post-Test Longitudinal Wave Speed (m/s) | D′ |
|---|---|---|---|---|---|---|---|---|---|---|---|---|---|---|---|---|---|
| 1-1 | Null test | 2-1 | 44.0 | 144.4 | 5244.6 | 5027.7 | 0.081 | 3-1 | 60.3 | 160.1 | 5385.11 | Rupture | - | ||||
| 1-2 | 46.2 | 127.3 | 5443.0 | Rupture | - | 2-2 | 49.4 | 190.4 | 5056.0 | Rupture | - | 3-2 | 55.2 | 162.4 | 5378.72 | Rupture | - |
| 1-3 | 31.7 | 109.9 | 5175.8 | 4932.0 | 0.092 | 2-3 | 57.1 | 162.8 | 5560.4 | Rupture | - | 3-3 | 67.7 | 186.5 | 5391.49 | 5027.7 | 0.130 |
| 1-4 | 131.5 | 277.6 | 5372.3 | Rupture | - | 2-4 | 151.9 | 331.3 | 5376.6 | Rupture | 1 | 3-4 | 66.4 | 186.2 | 5021.78 | Rupture | - |
| 1-5 | 62.0 | 179.1 | 5493.4 | 4920.4 | 0.198 | 2-5 | 135.9 | 271.3 | 5281.3 | Rupture | - | 3-5 | 78.0 | 204.2 | 5326.32 | Rupture | - |
| 1-6 | 133.7 | 266.3 | 5495.6 | 4747.7 | 0.254 | 2-6 | 70.1 | 181.3 | 5404.3 | 4890.4 | 0.181 | 3-6 | 73.8 | 203.9 | 5521.74 | Rupture | - |
| Strain Rate | KD | α | Ea/GPa | E2/GPa | φ2/μs |
|---|---|---|---|---|---|
| 31.7 | 17.597 | 0.777 | 5.957 | 177.694 | 29.193 |
| 42.6 | 14.860 | 0.768 | 74.426 | 251.567 | 5.068 |
| 44 | 15.463 | 0.709 | 50.368 | 210.791 | 11.855 |
| 49.4 | 15.874 | 0.716 | 109.688 | 54.653 | 10.434 |
| 55.2 | 10.466 | 0.763 | 83.523 | 195.436 | 6.128 |
| 57.1 | 7.568 | 0.620 | 29.865 | 207.197 | 9.356 |
| 60.3 | 13.440 | 0.674 | 68.417 | 170.526 | 8.638 |
| 62 | 8.434 | 0.593 | 33.020 | 252.545 | 8.075 |
| 66.4 | 11.333 | 0.620 | 35.838 | 183.111 | 15.545 |
| 70.1 | 8.417 | 0.646 | 20.000 | 125.550 | 31.568 |
| 73.8 | 9.129 | 0.581 | 39.398 | 142.640 | 16.178 |
| 78 | 9.726 | 0.593 | 61.659 | 163.160 | 9.020 |
| 131.5 | 7.062 | 0.602 | 22.192 | 219.579 | 9.758 |
| 133.7 | 8.636 | 0.412 | 20.000 | 255.998 | 7.844 |
| 135.9 | 5.850 | 0.533 | 61.043 | 177.520 | 4.198 |
| 151.9 | 4.159 | 0.486 | 20.674 | 233.319 | 8.747 |
Disclaimer/Publisher’s Note: The statements, opinions and data contained in all publications are solely those of the individual author(s) and contributor(s) and not of MDPI and/or the editor(s). MDPI and/or the editor(s) disclaim responsibility for any injury to people or property resulting from any ideas, methods, instructions or products referred to in the content. |
© 2023 by the authors. Licensee MDPI, Basel, Switzerland. This article is an open access article distributed under the terms and conditions of the Creative Commons Attribution (CC BY) license (https://creativecommons.org/licenses/by/4.0/).
Share and Cite
Lu, H.; Pan, Y.; He, K.; Wang, F.; Gao, L.; Pu, S.; Li, E. Dynamic Mechanical Properties and Damage Evolution Characteristics of Beishan Deep Granite under Medium and High Strain Rates. Materials 2023, 16, 5235. https://doi.org/10.3390/ma16155235
Lu H, Pan Y, He K, Wang F, Gao L, Pu S, Li E. Dynamic Mechanical Properties and Damage Evolution Characteristics of Beishan Deep Granite under Medium and High Strain Rates. Materials. 2023; 16(15):5235. https://doi.org/10.3390/ma16155235
Chicago/Turabian StyleLu, Hui, Yue Pan, Kang He, Fei Wang, Lei Gao, Shikun Pu, and Erbing Li. 2023. "Dynamic Mechanical Properties and Damage Evolution Characteristics of Beishan Deep Granite under Medium and High Strain Rates" Materials 16, no. 15: 5235. https://doi.org/10.3390/ma16155235
APA StyleLu, H., Pan, Y., He, K., Wang, F., Gao, L., Pu, S., & Li, E. (2023). Dynamic Mechanical Properties and Damage Evolution Characteristics of Beishan Deep Granite under Medium and High Strain Rates. Materials, 16(15), 5235. https://doi.org/10.3390/ma16155235

