Investigating the Thermo-Optic Properties of BCZT-Based Temperature Sensors
Abstract
1. Introduction
2. Materials and Methods
2.1. Synthesis and Characterization of BCZT
2.2. Preparation and Characterization of EL Film
3. Results and Discussion
3.1. XRD Phase Analysis of BCZT Powders
3.2. Microstructure Analysis of BCZT Ceramics
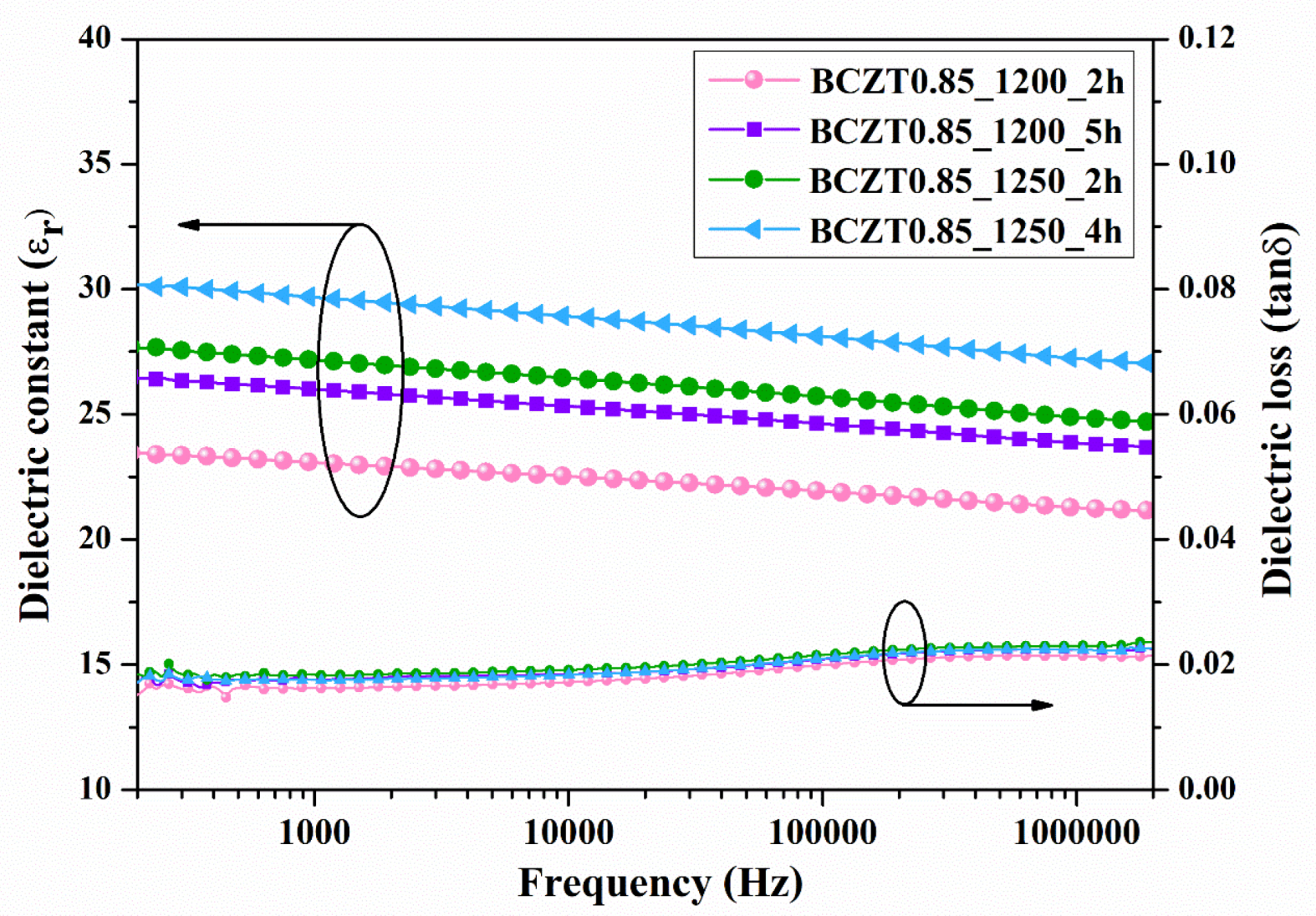
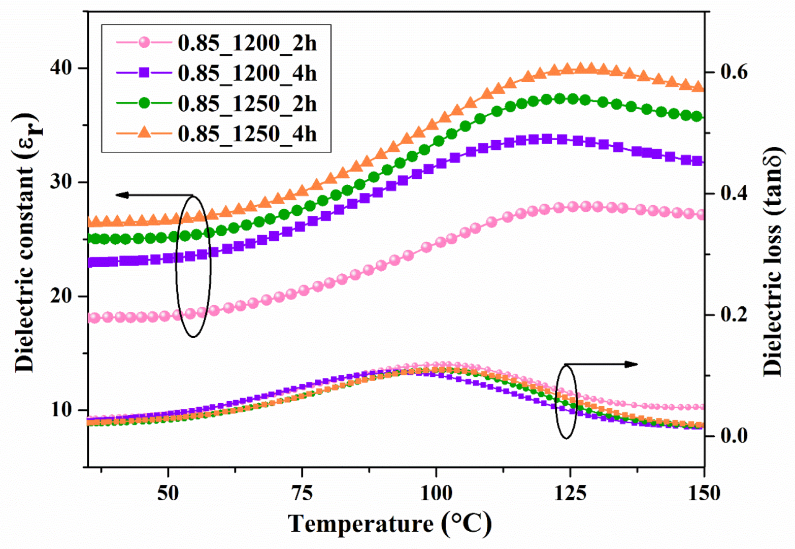
3.3. Electrical Properties of BCZT Ceramics
3.4. Electrical Properties of BCZT Films
3.5. Electroluminescent Properties
4. Conclusions
Author Contributions
Funding
Institutional Review Board Statement
Informed Consent Statement
Data Availability Statement
Acknowledgments
Conflicts of Interest
References
- Barrow, W.A. Electroluminescent Displays. The Measurement Instrumentation and Sensors Handbook; Webster, G.J., Ed.; CRC Press: Boca Raton, FL, USA, 1999; pp. 2449–2461. [Google Scholar]
- Rack, P.D.; Holloway, P.H. The structure device physics and material properties of thin film electroluminescent displays. Mater. Sci. Eng. R Rep. 1998, 21, 171–219. [Google Scholar] [CrossRef]
- Minami, T. Oxide thin-film electroluminescent devices and materials. Solid-State Electron. 2003, 47, 2237–2243. [Google Scholar] [CrossRef]
- King, C.N. Electroluminescent displays. J. Vac. Sci. Technol. A 1996, 14, 1729–1735. [Google Scholar] [CrossRef]
- Kitai, A. Luminescent Materials and Applications; John Wiley & Sons Ltd.: Chichester, UK, 2008; pp. 223–248. [Google Scholar]
- Korsunska, N.; Borkovska, L.; Khomenkova, L.; Sabov, T.; Oberemok, O.; Dubikovsky, O.; Zhuchenko, Z.Y.; Zolotovsky, A.; Demchenko, I.N.; Syryanyy, Y.; et al. Redistribution of Tb and Eu ions in ZnO films grown on different substrates under thermal annealing and its impact on Tb-Eu energy transfer. Appl. Surf. Sci. 2020, 528, 146913. [Google Scholar] [CrossRef]
- Srivastava, S.; Behera, S.K.; Nayak, B.B. Optimization and photoluminescence behaviour of terbium doped YBO3 phosphors. Opt. Mater. 2020, 107, 110178. [Google Scholar] [CrossRef]
- Cui, R.; Liu, W.; Zhou, L.; Zhao, X.; Jiang, Y.; Cui, Y.; Zhu, Q.; Zheng, Y.; Zhang, H. Green phosphorescent organic electroluminescent devices with 27.9% external quantum efficiency by employing a terbium complex as a co-dopant. J. Mater. Chem. C 2019, 7, 7953–7958. [Google Scholar] [CrossRef]
- Chase, E.W.; Hepplewhite, R.T.; Krupka, D.C.; Kahng, D. Electroluminescence of ZnS lumocen devices containing rare-earth and transition-metal fluorides. J. Appl. Phys. 1969, 40, 2512–2519. [Google Scholar] [CrossRef]
- Krasnov, A.N. Electroluminescent displays: History and lessons learned. Displays 2003, 24, 73–79. [Google Scholar] [CrossRef]
- Chen, H.W.; Lee, J.H.; Lin, B.Y.; Chen, S.; Wu, S.T. Liquid crystal display and organic light-emitting diode display: Present status and future perspectives. Light Sci. Appl. 2018, 7, 17168. [Google Scholar] [CrossRef]
- Hoppe, H.A. Recent developments in the field of inorganic phosphors. Angew. Chem. Int. Ed. 2009, 48, 3572–3582. [Google Scholar] [CrossRef]
- Li, L.; Wang, S.; Mu, G.; Yin, X.; Yi, L. Multicolor light-emitting devices with Tb2O3 on silicon. Sci. Rep. 2017, 7, 42479. [Google Scholar] [CrossRef] [PubMed]
- Ferrer, F.J.; Gil-Rostra, J.; Gonz’alez-Elipe, A.R.; Yubero, F. Colorimetric energy sensitive scintillator detectors based on luminescent multilayer designs. Sens. Actuators Phys. 2018, 272, 217–222. [Google Scholar] [CrossRef]
- Gil-Rostra, J.; Ferrer, F.J.; Martín, I.R.; Gonz’alez-Elipe, A.R.; Yubero, F. Cathode and ion-luminescence of Eu:ZnO thin films prepared by reactive magnetron sputtering and plasma decomposition of non-volatile precursors. J. Lumin. 2016, 178, 139–146. [Google Scholar] [CrossRef]
- Sun, J.M.; Skorupa, W.; Dekorsy, T.; Helm, M.; Rebohle, L.; Gebel, T. Bright green electroluminescence from Tb3+ in silicon metal-oxide-semiconductor devices. J. Appl. Phys. 2012, 97, 123513. [Google Scholar] [CrossRef]
- Arpanahi, R.A.; Eskandari, A.; Hashemi, S.H.; Taherkhani, M.; Hashemi, S.H. Surface energy effect on free vibration characteristics of nano-plate submerged in viscous fluid. J. Vib. Eng. Technol. 2023. [Google Scholar] [CrossRef]
- Arpanahi, R.A.; Eskandari, A.; Mohammadi, B.; Hashemi, S.H. Study on the effect of viscosity and fluid flow on buckling behavior of nanoplate with surface energy. Results Eng. 2023, 18, 101078. [Google Scholar] [CrossRef]
- Arpanahi, R.A.; Mohammadi, B.; Ahmadian, M.T.; Hashemi, S.H. Study on the buckling behavior of nonlocal nanoplate submerged in viscous moving fluid. Int. J. Dyn. Control. 2023. [Google Scholar] [CrossRef]
- Gil-Rostra, J.; Ferrer, F.J.; Espinos, J.P.; Gonz’alez-Elipe, A.R.; Yubero, F. Energy-Sensitive ion- and cathode-luminescent radiation-beam monitors based on multilayer thin-film designs. ACS Appl. Mater. Interfaces 2017, 9, 16313–16320. [Google Scholar] [CrossRef]
- Angadi, V.C.; Benz, F.; Tischer, I.; Thonke, K.; Aoki, T.; Walther, T. Evidence of terbium and oxygen co-segregation in annealed AlN:Tb. Appl. Phys. Lett. 2017, 110, 222102. [Google Scholar] [CrossRef]
- Haertling, G. Ferroelectric Ceramics: History and Technology. J. Am. Ceram. Soc. 1999, 82, 797–818. [Google Scholar] [CrossRef]
- Fuda, Y.; Kumasaka, K.; Katsuno, M.; Sato, H.; Ino, Y. Piezoelectric transformer for cold cathode fluorescent lamp inverter. Jpn. J. Appl. Phys. 1997, 36, 3050–3052. [Google Scholar] [CrossRef]
- Wakiya, N.; Wang, J.K.; Saiki, A.; Shinozaki, K.; Mizutani, N. Synthesis and dielectric properties of Ba1−xR2x/3Nb2O6 (R: Rare earth) with tetragonal tungsten bronze structure. J. Eur. Ceram. Soc. 1999, 19, 1071–1075. [Google Scholar] [CrossRef]
- Jaffe, B.; Cook, W.; Jaffe, R.H. Piezoelectric Ceramics; Academic Press: London, UK; New York, NY, USA, 1971. [Google Scholar]
- Kamnoy, M.; Hiransit, W.; Suksri, C.; Parjansri, P.; Intatha, U.; Eitssayeam, S. Preparation and Characterization of (Ba0.85Ca0.15)(Zr0.1Ti0.9)O3 Ceramics by a BaTiO3 Seed-Induced Method. J. Nanosci. Nanotechnol. 2016, 16, 12811–12816. [Google Scholar] [CrossRef]
- Intatha, U.; Parjansrib, P.; Eitssayeam, S. Electrical properties of Ba0.9Ca0.1Zr0.1Ti0.9O3 ceramics induced by SFN heterogeneous seed. Ceram. Int. 2017, 43, S110–S114. [Google Scholar] [CrossRef]
- Shim, H.; Allabergenov, B.; Kim, J.; Noh, H.Y.; Lyu, H.K.; Lee, M.; Choi, B. Highly bright flexible electroluminescent devices with retroreflective electrodes. Adv. Mater. Technol. 2017, 2, 1700040. [Google Scholar] [CrossRef]
- Rostra, J.G.; Valencia, F.Y.; Gonzalez-Elipe, A.R. Thin film electroluminescent device based on magnetron sputtered Tb doped ZnGa2O4 layers. J. Lumin. 2020, 228, 117617. [Google Scholar] [CrossRef]
- Yu, H.H.; Hwang, S.J.; Hwang, K.C. Preparation and characterization of a novel flexible substrate for OLED. J. Opt. Commun. 2005, 248, 51–57. [Google Scholar] [CrossRef]
- Krishna, K.M.; Anoop, G.; Jayaraj, M.K. Electroluminescent characteristics of ZnGa2O4:Dy3+ thin film devices fabricated on glass substrates. Phys. Status Solidi 2012, 209, 2641–2645. [Google Scholar] [CrossRef]
- Li, Z.; Wu, A.; Vilarinho, P.M. Perovskite phase stabilization of Pb(Zn1/3Ta2/3)O3 ceramics induced by PbTiO3 seeds. Chem. Mater. 2004, 16, 717–723. [Google Scholar] [CrossRef]
- Parjansri, P.; Kamnoy, M.; Eitssayeam, S. Electrical Properties of Lead Free (Bi0.5Na0.5)TiO3 Piezoelectric Ceramics Induced by BNT Nanoparticles. J. Electron. Mater. 2022, 51, 1068–1076. [Google Scholar] [CrossRef]
- Antonelli, E.; Letonturier, M.; M’Peko, J.-C.; Hernandes, A.C. Microstructural, structural and dielectric properties of Er3+-modified BaTi0.85Zr0.15O3 ceramics. J. Eur. Ceram. Soc. 2009, 29, 1449–1455. [Google Scholar] [CrossRef]




















| Sample | Title 2 | Title 3 |
|---|---|---|
| Temperature (°C) | Dwell Time (h) | |
| BCZT0.85_1200_2 h | 1200 | 2 |
| BCZT0.85_1200_4 h | 1200 | 4 |
| BCZT0.9_1200_2 h | 1250 | 2 |
| BCZT0.9_1200_4 h | 1250 | 4 |
Disclaimer/Publisher’s Note: The statements, opinions and data contained in all publications are solely those of the individual author(s) and contributor(s) and not of MDPI and/or the editor(s). MDPI and/or the editor(s) disclaim responsibility for any injury to people or property resulting from any ideas, methods, instructions or products referred to in the content. |
© 2023 by the authors. Licensee MDPI, Basel, Switzerland. This article is an open access article distributed under the terms and conditions of the Creative Commons Attribution (CC BY) license (https://creativecommons.org/licenses/by/4.0/).
Share and Cite
Kamnoy, M.; Pengpat, K.; Tunkasiri, T.; Khamman, O.; Intatha, U.; Eitssayeam, S. Investigating the Thermo-Optic Properties of BCZT-Based Temperature Sensors. Materials 2023, 16, 5202. https://doi.org/10.3390/ma16145202
Kamnoy M, Pengpat K, Tunkasiri T, Khamman O, Intatha U, Eitssayeam S. Investigating the Thermo-Optic Properties of BCZT-Based Temperature Sensors. Materials. 2023; 16(14):5202. https://doi.org/10.3390/ma16145202
Chicago/Turabian StyleKamnoy, Manlika, Kamonpan Pengpat, Tawee Tunkasiri, Orawan Khamman, Uraiwan Intatha, and Sukum Eitssayeam. 2023. "Investigating the Thermo-Optic Properties of BCZT-Based Temperature Sensors" Materials 16, no. 14: 5202. https://doi.org/10.3390/ma16145202
APA StyleKamnoy, M., Pengpat, K., Tunkasiri, T., Khamman, O., Intatha, U., & Eitssayeam, S. (2023). Investigating the Thermo-Optic Properties of BCZT-Based Temperature Sensors. Materials, 16(14), 5202. https://doi.org/10.3390/ma16145202

