Structural Performance Improvement of Reinforced Concrete Beams by Strain-Hardening Cementitious Composite Layers
Abstract
1. Introduction
2. Materials
3. Methods
4. Results and Discussion
4.1. Material Properties
4.2. Flexural Behavior of the RC Beams
4.2.1. Load–Deflection Responses
4.2.2. Load–Strain Responses
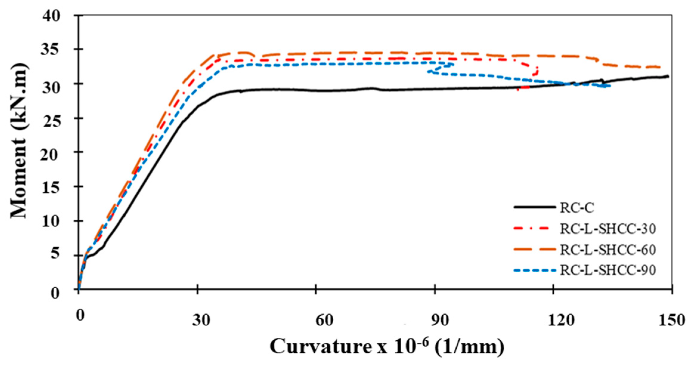
4.2.3. Moment–Curvature Responses
4.2.4. Ductility Analysis
4.2.5. Cracking Patterns
4.2.6. Crack Properties
5. Analytical Modeling
5.1. Mechanical Behavior of Materials
5.1.1. Steel
- : the tensile stress in the steel bar.
- : the tensile strain in the steel bar.
- : the mean yielding stress of the steel bars (480 MPa).
- : the strain corresponding to the yielding stress of the steel bars (0.24%).
- : Young’s modulus of the steel bars (200 GPa).
5.1.2. SHCC
- : the tensile stress in the SHCC.
- : the tensile strain in the SHCC.
- : the tensile stress in the SHCC at first cracking (4 MPa).
- : the tensile strain in the SHCC at first cracking (0.0326%).
- : the tensile stress in the SHCC at ultimate loading (4.35 MPa).
- : the tensile strain in the SHCC at ultimate loading (2.0%).
5.1.3. Concrete
- : the compressive stress in the concrete.
- : the compressive strain in the concrete.
- : the compressive strength of the concrete (30 MPa).
- : the strain at peak compressive stress of concrete (0.2%).
- : the cube compressive strength of the concrete (1.08% of the concrete’s cylinder compressive strength [51], 45 MPa).
- : the strain at peak cube compressive stress of concrete (0.33%).
- : the coefficient associated with the stress–strain response of concrete.
- : the uniaxial tensile stress in the concrete.
- : the uniaxial tensile strain in the concrete.
- : the ultimate uniaxial tensile strength of the concrete (2.25 MPa).
- : the strain at peak ultimate uniaxial tensile stress of concrete (0.011%).
5.2. Methodology of the Sectional Analysis
5.3. Prediction Performance of the Model
6. Conclusions, Limitations, and Prospective Studies
- (1)
- SHCC mechanical properties vary within the limit of the reported variation range of 10 to 25%. Compared to the control RC beams, the RC-SHCC composite beams had a higher load-carrying capacity and stiffness due to the partial replacement of concrete with SHCCs. In comparison with normal beams, SHCC beams have a relatively insignificant improvement in flexural performance. It is evident from the cracking patterns of beams containing SHCC layers that these layers can control cracking by the multi-cracking response, thereby producing more durable structures. It was found that composite beams with an SHCC layer covering 30% of the beam height had higher maximum yield and ultimate loads than those with other SHCC layers. It was discovered that the specimens’ moment capacities followed similar trends.
- (2)
- As a result of the additional tensile area provided by the SHCC layer, RC-SHCC-layered beams had less ductility than the control beam. As a result of their higher ductility indexes than the minimum specified in FIP (1990), RC-SHCC-layered beams still provide an adequate warning before failure. According to the results of the layered beam, the SHCC layer of 30% of the beam height displayed the highest degree of ductility.
- (3)
- It was observed that the SHCC layers of the RC-SHCC beams had a substantial number of fine cracks (multiple cracking behaviors). A narrower crack width was also observed in the concrete substrate and the SHCC layer. Accordingly, the application of SHCC layers in RC beams can limit the crack width. The finding indicates that SHCC in beams can be utilized as a protective layer that controls crack widths, thereby improving their structural performance. The SHCC layer of thickness 60 mm (30% of section height) is the most efficient layer thickness to be used in a composite beam to achieve better flexural and cracking performance.
- (4)
- The stress–strain constitutive models of materials were used to calculate moments and curvatures at various loading stages. The predictions of the theoretical model were in fair agreement with the experimental data. The yield and peak moments of the layered beams predicted from the analysis are lower or equal to those of the experimental moments. The average value of the ratios between the experimental and analytical curvatures of the specimens at each loading stage varies between 0.65 and 0.8. It follows that it is reasonable to predict the flexural behavior of the RC-SHCC composite beams using a theoretical approach to section analysis employing material models.
Author Contributions
Funding
Institutional Review Board Statement
Informed Consent Statement
Data Availability Statement
Acknowledgments
Conflicts of Interest
References
- Herrera-Franco, P.J.; Valadez-Gonzalez, A. A study of the mechanical properties of short natural-fiber reinforced composites. Compos. Part B Eng. 2005, 36, 597–608. [Google Scholar] [CrossRef]
- Abbas, Y.M. Microscale Cohesive-Friction-Based Finite Element Model for the Crack Opening Mechanism of Hooked-End Steel Fiber-Reinforced Concrete. Materials 2021, 14, 669. [Google Scholar] [CrossRef] [PubMed]
- Ahmad, W.; Khan, M.; Smarzewski, P. Effect of short fiber reinforcements on fracture performance of cement-based materials: A systematic review approach. Materials 2021, 14, 1745. [Google Scholar] [CrossRef] [PubMed]
- de Azevedo, A.R.G.; Marvila, M.T.; Antunes, M.L.P.; Rangel, E.C.; Fediuk, R. Technological perspective for use the natural pineapple fiber in mortar to repair structures. Waste Biomass Valorization 2021, 12, 5131–5145. [Google Scholar] [CrossRef]
- Klyuyev, S.; Kashapov, N.; Radaykin, O.; Sabitov, L.; Klyuyev, A.; Shchekina, N. Reliability coefficient for fibreconcrete material. Constr. Mater. Prod. 2022, 5, 51–58. [Google Scholar]
- Tayeh, B.A.; Hamada, H.M.; Almeshal, I.; Abu Bakar, B. Durability and mechanical properties of cement concrete comprising pozzolanic materials with alkali-activated binder: A comprehensive review. Case Stud. Constr. Mater. 2022, 17, e01429. [Google Scholar] [CrossRef]
- Hamada, H.M.; Abdulhaleem, K.N.; Majdi, A.; Al Jawahery, M.S.; Thomas, B.S.; Yousif, S.T. The durability of concrete produced from pozzolan materials as a partially cement replacement: A comprehensive review. Mater. Today Proc. 2023. [Google Scholar] [CrossRef]
- Hamada, H.M.; Al-Attar, A.; Shi, J.; Yahaya, F.; Al Jawahery, M.S.; Yousif, S.T. Optimization of sustainable concrete characteristics incorporating palm oil clinker and nano-palm oil fuel ash using response surface methodology. Powder Technol. 2023, 413, 118054. [Google Scholar] [CrossRef]
- Habert, G.; Miller, S.A.; John, V.M.; Provis, J.L.; Favier, A.; Horvath, A.; Scrivener, K.L. Environmental impacts and decarbonization strategies in the cement and concrete industries. Nat. Rev. Earth Environ. 2020, 1, 559–573. [Google Scholar] [CrossRef]
- Flower, D.J.M.; Sanjayan, J.G. Green house gas emissions due to concrete manufacture. Int. J. Life Cycle Assess. 2007, 12, 282–288. [Google Scholar] [CrossRef]
- Jhatial, A.A.; Nováková, I.; Gjerløw, E. A Review on Emerging Cementitious Materials, Reactivity Evaluation and Treatment Methods. Buildings 2023, 13, 526. [Google Scholar] [CrossRef]
- Yokota, H.; Rokugo, K.; Sakata, N. JSCE Recommendations for Design and Construction of High Performance Fiber Reinforced Cement Composite with Multiple Fine Cracks, High Performance Fiber Reinforced Cement Composites; Springer: Tokyo, Japan, 2008. [Google Scholar] [CrossRef]
- Zhang, W.; Yin, C.; Ma, F.; Huang, Z. Mechanical properties and carbonation durability of engineered cementitious composites reinforced by polypropylene and hydrophilic polyvinyl alcohol fibers. Materials 2018, 11, 1147. [Google Scholar] [CrossRef]
- Jang, S.-J.; Kim, J.-H.; Kim, S.-W.; Park, W.-S.; Yun, H.-D. The effect of shrinkage-compensation on the performance of strain-hardening cement composite (SHCC). Sustainability 2019, 11, 1453. [Google Scholar] [CrossRef]
- Li, V.C.; Wang, S.; Wu, C. Tensile strain-hardening behavior of polyvinyl alcohol engineered cementitious composite (PVA-ECC). Mater. J. 2001, 98, 483–492. [Google Scholar] [CrossRef]
- Li, V.C.; Mishra, D.K.; Wu, H.-C. Matrix design for pseudo-strain-hardening fibre reinforced cementitious composites. Mater. Struct. 1995, 28, 586–595. [Google Scholar] [CrossRef]
- Fischer, G.; Shuxin, W. Design of Engineered Cementitious Composites (ECC) for Processing and Workability Requirements, Brittle Matrix Composites 7; Elsevier: Amsterdam, The Netherlands, 2003; pp. 29–36. [Google Scholar]
- Nematollahi, B.; Vijay, P.; Sanjayan, J.; Nazari, A.; Xia, M.; Nerella, V.N.; Mechtcherine, V. Effect of polypropylene fibre addition on properties of geopolymers made by 3D printing for digital construction. Materials 2018, 11, 2352. [Google Scholar] [CrossRef]
- Heravi, A.A.; Mosig, O.; Tawfik, A.; Curbach, M.; Mechtcherine, V. An experimental investigation of the behavior of strain-hardening cement-based composites (SHCC) under impact compression and shear loading. Materials 2020, 13, 4514. [Google Scholar] [CrossRef]
- Kim, M.-J.; Chun, B.; Choi, H.-J.; Shin, W.; Yoo, D.-Y. Effects of supplementary cementitious materials and curing condition on mechanical properties of ultra-high-performance, strain-hardening cementitious composites. Appl. Sci. 2021, 11, 2394. [Google Scholar] [CrossRef]
- Li, M.; Li, V.C. Cracking and healing of engineered cementitious composites under chloride environment. ACI Mater. J. 2011, 108, 333. [Google Scholar] [CrossRef]
- Li, M.; Li, V.C. High-Early-Strength Engineered Cementitious Composites for Fast, Durable Concrete Repair-Material Properties. ACI Mater. J. 2011, 108, 3–12. Available online: http://hdl.handle.net/2027.42/84866 (accessed on 9 July 2023).
- Sahmaran, M.; Li, M.; Li, V.C. Transport properties of engineered cementitious composites under chloride exposure. ACI Mater. J. 2007, 104, 604–611. [Google Scholar] [CrossRef]
- Li, V.C. From micromechanics to structural engineering the design of cementitious composites for civil engineering applications. Doboku Gakkai Ronbunshu 1993, 1993, 1–12. [Google Scholar] [CrossRef] [PubMed]
- Fischer, G.; Li, V. Deformation behavior of fiber-reinforced polymer reinforced engineered cementitious composite (ECC) flexural members under reversed cyclic loading conditions. Struct. J. 2003, 100, 25–35. [Google Scholar] [CrossRef]
- Kim, S.-W.; Yun, H.-D.; Choi, G.-B. Shear performance of precast SHCC infill walls for seismic retrofitting of non-ductile frames. Mag. Concr. Res. 2010, 62, 925–934. [Google Scholar] [CrossRef]
- Mechtcherine, V.; Bruedern, A.; Urbonas, T. Strengthening/retrofitting of masonry by using thin layers of sprayed strain-hardening cement-based composites (SSHCC). In Proceedings of the 4th International Conference on Concrete Repair, Dresden, Germany, 26–28 September 2011; pp. 451–460. [Google Scholar]
- Maalej, M.; Li, V.C. Introduction of strain-hardening engineered cementitious composites in design of reinforced concrete flexural members for improved durability. Struct. J. 1995, 92, 167–176. Available online: http://hdl.handle.net/2027.42/84715 (accessed on 9 July 2023).
- Rokugo, K.; Kanda, T. Strain Hardening Cement Composites: Structural Design and Performance: State-of-the-Art Report of the RILEM Technical Committee 208-HFC, SC3; Springer: Berlin/Heidelberg, Germany, 2013. [Google Scholar] [CrossRef]
- Khan, M.I.; Abbass, W. Flexural behavior of high-strength concrete beams reinforced with a strain hardening cement-based composite layer. Constr. Build. Mater. 2016, 125, 927–935. [Google Scholar] [CrossRef]
- Kim, Y.Y.; Lee, B.Y.; Bang, J.-W.; Han, B.-C.; Feo, L.; Cho, C.-G. Flexural performance of reinforced concrete beams strengthened with strain-hardening cementitious composite and high strength reinforcing steel bar. Compos. Part B Eng. 2014, 56, 512–519. [Google Scholar] [CrossRef]
- Shin, S.; Kim, K.; Lim, Y. Strengthening effects of DFRCC layers applied to RC flexural members. Cem. Concr. Compos. 2011, 33, 328–333. [Google Scholar] [CrossRef]
- Kamada, T.; Li, V.C. The effects of surface preparation on the fracture behavior of ECC/concrete repair system. Cem. Concr. Compos. 2000, 22, 423–431. [Google Scholar] [CrossRef]
- Hussein, M.; Kunieda, M.; Nakamura, H. Strength and ductility of RC beams strengthened with steel-reinforced strain hardening cementitious composites. Cem. Concr. Compos. 2012, 34, 1061–1066. [Google Scholar] [CrossRef]
- Esmaeeli, E.; Manning, E.; Barros, J.A. Strain hardening fibre reinforced cement composites for the flexural strengthening of masonry elements of ancient structures. Constr. Build. Mater. 2013, 38, 1010–1021. [Google Scholar] [CrossRef]
- Afefy, H.M.E.-D.; Mahmoud, M.H. Structural performance of RC slabs provided by pre-cast ECC strips in tension cover zone. Constr. Build. Mater. 2014, 65, 103–113. [Google Scholar] [CrossRef]
- Atta, A.M.; Khalil, A.E.-H. Improving the failure mode of over-reinforced concrete beams using strain-hardening cementitious composites. J. Perform. Constr. Facil. 2016, 30, 04016003. [Google Scholar] [CrossRef]
- Khalil, A.E.-H.; Etman, E.; Atta, A.; Essam, M. Behavior of RC beams strengthened with strain hardening cementitious composites (SHCC) subjected to monotonic and repeated loads. Eng. Struct. 2017, 140, 151–163. [Google Scholar] [CrossRef]
- Shanour, A.S.; Said, M.; Arafa, A.I.; Maher, A. Flexural performance of concrete beams containing engineered cementitious composites. Constr. Build. Mater. 2018, 180, 23–34. [Google Scholar] [CrossRef]
- Qiao, Z.; Pan, Z.; Xue, W.; Meng, S. Experimental study on flexural behavior of ECC/RC composite beams with U-shaped ECC permanent formwork. Front. Struct. Civ. Eng. 2019, 13, 1271–1287. [Google Scholar] [CrossRef]
- Shao, Y.; Billington, S.L. Flexural performance of steel-reinforced engineered cementitious composites with different reinforcing ratios and steel types. Constr. Build. Mater. 2020, 231, 117159. [Google Scholar] [CrossRef]
- Khan, M.I.; Fares, G.; Abbas, Y.M.; Abbass, W.; Sial, S.U. Susceptibility of strain-hardening cementitious composite to curing conditions as a retrofitting material for RC beams. J. Eng. Fibers Fabr. 2021, 16, 15589250211020311. [Google Scholar] [CrossRef]
- Khan, M.I.; Mourad, S.; Fares, G.; Abbass, W. Effect of Natural Sands on the Tensile Behavior of SHCC under Different Strain Rates. In Proceedings of the Eighth International Structural Engineering and Construction Conference, Sydney, Australia, 23–28 November 2015. [Google Scholar]
- Fares, G.; Khan, M.I.; Mourad, S.; Abbass, W. Evaluation of PVA and PBI-based engineered-cementitious composites under different environments. Constr. Build. Mater. 2015, 85, 109–118. [Google Scholar] [CrossRef]
- Khan, M.I.; Mourad, S.; Fares, G. Strain capacity of SHCC using different strain loading rates. In Advances in Construction Materials Proceedings of the ConMat’15 Conference, Proceedings of the Fifth International Conference on Construction Materials: Performance, Innovations and Structural Implications, The University of British Columbia, Vancouver, BC, Canada, 14–15 March 2015; Banthia, T.M.N., Miao, C., Kobayashi, K.W., Eds.; Springer Nature Singapore Pte Ltd.: Singapore, 2015; pp. 1605–1614. [Google Scholar]
- GB50010-2010; Code for Design of Concrete Structures. China Building Industry Press: Beijing, China, 2010.
- CEB-FIP Model Code 90. Comite Euro-International du Beton, Bulletin d’Information (213/214); Thomas Telford Ltd.: London, UK, 1990. [Google Scholar]
- Zhang, Y. Numerical Evaluation of Concrete Members Using Ultra High Performance Strain Hardening Cementitious Composites. Ph.D. Thesis, Department of Civil Engineering, Nagoya University, Nagoya, Japan, 2012. [Google Scholar]
- Abou-Zeid, M.; Fowler, D.W.; Nawy, E.G.; Allen, J.H.; Halvorsen, G.T.; Poston, R.W.; Barlow, J.P.; Hansen, W.; Rhoads, R.J.; Brander, M.E. Control of cracking in concrete structures. Rep. ACI Comm. 2001, 224, 12–16. [Google Scholar] [CrossRef]
- Ge, W.-J.; Ashour, A.F.; Ji, X.; Cai, C.; Cao, D.-F. Flexural behavior of ECC-concrete composite beams reinforced with steel bars. Constr. Build. Mater. 2018, 159, 175–188. [Google Scholar] [CrossRef]
- Evans, R.; Konyi, K.H.; Jensen, V.; Whitney, C.; Mensch, L. The plastic theories for the ultimate strength of reinforced-concrete beams. J. Inst. Civ. Eng. 1943, 21, 98–121. [Google Scholar] [CrossRef]


















| Oxides (%) | OPC | FA |
|---|---|---|
| SiO2 | 20.41 | 53.2 |
| Al2O3 | 5.32 | 27.3 |
| Fe2O3 | 4.1 | 4.03 |
| CaO | 64.14 | 0.90 |
| MgO | 0.71 | 0.60 |
| SO3 | 2.44 | 0.20 |
| TiO2 | 0.3 | 1.52 |
| Na2O | 0.10 | 0.22 |
| K2O | 0.17 | 1.22 |
| L.O.I | 2.18 | 10.02 |
| Length (mm) | Diameter (µm) | Specific Gravity | Tensile Strength (MPa) | Young’s Modulus (GPa) | Elongation (%) |
|---|---|---|---|---|---|
| 12 | 40 | 1.3 | 1600 | 42 | 7 |
| W/B | Unit Weight (kg/m3) | PVA Fiber (%, vol.) | |||
|---|---|---|---|---|---|
| Cement | Fly Ash | Dune Sand | Water | ||
| 0.26 | 555 | 666 | 466 | 315 | 2 |
| W/C | Unit Weight (kg/m3) | ||||
|---|---|---|---|---|---|
| Cement | Coarse Aggregate | Fine Sand | Crushed Sand | Water | |
| 0.5 | 350 | 1070 | 488 | 262 | 175 |
| Beam | Elasticity a | Yielding b | Peak c | Ultimate d | ||||
|---|---|---|---|---|---|---|---|---|
| Load | Deflection | Load | Deflection | Load | Deflection | Load | Deflection | |
| kN | mm | kN | mm | kN | mm | kN | mm | |
| RC-C | 15.25 | 0.62 | 86.61 | 7.60 | 113.17 | 34.32 | 90.45 | 40.94 |
| RC-L-SHCC-30 | 20.16 | 0.79 | 112.00 | 10.33 | 122.57 | 15.52 | 97.12 | 37.69 |
| RC-L-SHCC-60 | 21.45 | 0.82 | 113.27 | 9.52 | 125.44 | 17.27 | 98.81 | 42.75 |
| RC-L-SHCC-90 | 21.82 | 0.97 | 102.54 | 9.06 | 120.30 | 20.28 | 96.00 | 31.04 |
| Beam | Elasticity | Yielding | Ultimate | |||
|---|---|---|---|---|---|---|
| Moment | Curvature | Moment | Curvature | Moment | Curvature | |
| kNm | µrad | kNm | µrad | kNm | µrad | |
| RC-C | 4.2 | 1.6 | 28.6 | 36.4 | 31.1 | 148.8 |
| RC-L-SHCC-30 | 5.5 (31%) | 2.2 (38%) | 33.3 (16%) | 34.6 (−5%) | 33.4 (7%) | 109.5 (−26%) |
| RC-L-SHCC-60 | 5.9 (40%) | 2.7 (69%) | 34.0 (19%) | 33.7 (−8%) | 34.0 (9%) | 126.7 (−15%) |
| RC-L-SHCC-90 | 6.0 (43%) | 3.0 (88%) | 32.3 (13%) | 36.6 (0%) | 33.0 (6%) | 91.6 (−38%) |
| Beam | Curvature ϕ | Deflection δ | Section Ductility | Member Ductility | ||
|---|---|---|---|---|---|---|
| Yield | Ultimate | Yield | Ultimate | µsec = ϕu/ϕy | µmem = δu/δy | |
| ϕy (10−6/mm) | ϕu (10−6/mm) | δy (mm) | δu (mm) | |||
| RC-C | 36.4 | 148.8 | 10.2 | 29.8 | 4.1 | 2.93 |
| RC-L-SHCC-30 | 34.6 | 109.5 | 12.1 | 19.4 | 3.2 (−22%) | 1.61 (−45%) |
| RC-L-SHCC-60 | 33.7 | 126.7 | 11.2 | 24.1 | 3.8 (−8%) | 2.14 (−27%) |
| RC-L-SHCC-90 | 36.6 | 91.6 | 11.4 | 21.0 | 2.5 (−39%) | 1.83 (−37%) |
| Beam | At Service Load (mm) | At Yielding Load (mm) | At Ultimate Load (mm) |
|---|---|---|---|
| RC-C | 3 | 5.8 | 13 |
| RC-L-SHCC-30 | 1.5 (−50%) | 3.5 (−40%) | 6 (−54%) |
| RC-L-SHCC-60 | 0.5 (−84%) | 2.2 (−62%) | 6 (−54%) |
| RC-L-SHCC-90 | 0.4 (−87%) | 1.8 (−69%) | 5.8 (−55%) |
| Beam | Cracks at the Yielding Stage | Cracks at the Ultimate Stage | ||||||
|---|---|---|---|---|---|---|---|---|
| Concrete | SHCC | Concrete | SHCC | |||||
| Number (#) | Density (#/mm) | Number (#) | Density (#/mm) | Number (#) | Density (#/mm) | Number (#) | Density (#/mm) | |
| RC-C | 6 | 0.012 | - | - | 6 | 0.012 | - | - |
| RC-L-SHCC-30 | 6 | 0.012 | 37 | 0.074 | 8 | 0.016 | 80 | 0.16 |
| RC-L-SHCC-60 | 7 | 0.014 | 31 | 0.06 | 9 | 0.018 | 55 | 0.11 |
| RC-L-SHCC-90 | 6 | 0.012 | 25 | 0.05 | 9 | 0.018 | 42 | 0.084 |
| Beam | Experimental | Analytical | Ratio | ||||||
|---|---|---|---|---|---|---|---|---|---|
| Mcr,e | My,e | Mu,e | Mcr,a | My,a | Mu,a | Mcr,a/Mcr,e | My,a/My,e | Mu,a/Mu,e | |
| RC-L-SHCC-30 | 5.66 | 33.27 | 33.5 | 3.74 | 29.05 | 29.36 | 0.66 | 0.87 | 0.88 |
| RC-L-SHCC-60 | 5.45 | 34.51 | 34 | 5.17 | 31.46 | 31.69 | 0.95 | 0.91 | 0.93 |
| RC-L-SHCC-90 | 5.94 | 32.27 | 33 | 7.09 | 33.16 | 33.35 | 1.19 | 1.03 | 1.01 |
| Mean | 0.93 | 0.93 | 0.94 | ||||||
| Beam | Experimental | Analytical | Ratio | ||||||
|---|---|---|---|---|---|---|---|---|---|
| φcr,e | φy,e | φu,e | φcr,a | φy,a | φu,a | φcr,a/φcr,e | φy,a/φy,e | φu,a/φu,e | |
| RC-L-SHCC-30 | 2.37 | 34.58 | 109.55 | 1.318 | 24.5 | 74.6 | 0.56 | 0.71 | 0.68 |
| RC-L-SHCC-60 | 2.22 | 35.23 | 126.74 | 1.957 | 25.1 | 68.6 | 0.88 | 0.71 | 0.54 |
| RC-L-SHCC-90 | 2.83 | 36.60 | 91.63 | 2.767 | 25.8 | 63.6 | 0.98 | 0.71 | 0.69 |
| Mean | 0.81 | 0.71 | 0.64 | ||||||
Disclaimer/Publisher’s Note: The statements, opinions and data contained in all publications are solely those of the individual author(s) and contributor(s) and not of MDPI and/or the editor(s). MDPI and/or the editor(s) disclaim responsibility for any injury to people or property resulting from any ideas, methods, instructions or products referred to in the content. |
© 2023 by the authors. Licensee MDPI, Basel, Switzerland. This article is an open access article distributed under the terms and conditions of the Creative Commons Attribution (CC BY) license (https://creativecommons.org/licenses/by/4.0/).
Share and Cite
Khan, M.I.; Sial, S.U.; Abbas, Y.M.; Fares, G. Structural Performance Improvement of Reinforced Concrete Beams by Strain-Hardening Cementitious Composite Layers. Materials 2023, 16, 5135. https://doi.org/10.3390/ma16145135
Khan MI, Sial SU, Abbas YM, Fares G. Structural Performance Improvement of Reinforced Concrete Beams by Strain-Hardening Cementitious Composite Layers. Materials. 2023; 16(14):5135. https://doi.org/10.3390/ma16145135
Chicago/Turabian StyleKhan, M. Iqbal, Sardar Umer Sial, Yassir M. Abbas, and Galal Fares. 2023. "Structural Performance Improvement of Reinforced Concrete Beams by Strain-Hardening Cementitious Composite Layers" Materials 16, no. 14: 5135. https://doi.org/10.3390/ma16145135
APA StyleKhan, M. I., Sial, S. U., Abbas, Y. M., & Fares, G. (2023). Structural Performance Improvement of Reinforced Concrete Beams by Strain-Hardening Cementitious Composite Layers. Materials, 16(14), 5135. https://doi.org/10.3390/ma16145135

