Stability Analysis of Shear Deformable Inhomogeneous Nanocomposite Cylindrical Shells under Hydrostatic Pressure in Thermal Environment
Abstract
1. Introduction
2. Description of the Model
3. Governing Equations
4. Solution Procedure
5. Numerical Examples and Discussion
6. Conclusions
- (a)
- The effects of inhomogeneous models on hydrostatic buckling pressure values generally increase with increasing temperature in the CST, but this effect is weakened when FSDT is used.
- (b)
- Although the increase in temperature reduces the hydrostatic buckling pressure values, the effect of the change remains important.
- (c)
- The effect of the X-scheme decreases continuously with the increase in temperature in the FSDT frame for = 0.17 and 0.28, while in all other cases, these effects change unevenly.
- (d)
- In the same models, the increase in temperature significantly changes the values of the hydrostatic buckling pressure, and the effect of temperature is more pronounced in the frame of the FSDT.
- (e)
- The rise in significantly reduces the hydrostatic buckling pressure values in the nanocomposite cylinders with homogeneous and all inhomogeneous models, whereas the corresponding circumferential wave numbers slightly increase.
- (f)
- Although the effect of shear strains on the hydrostatic buckling pressure reduces as increases, the increase in temperature increases that effect.
- (g)
- The influence of the V- and Λ-models on the hydrostatic buckling pressure decreases compared to that of the U-model, but that effect increases in the X-model as the increases.
Author Contributions
Funding
Institutional Review Board Statement
Informed Consent Statement
Data Availability Statement
Conflicts of Interest
Appendix A
Appendix B
References
- Iijima, S. Synthesis of carbon nanotubes. Nature 1994, 354, 56–58. [Google Scholar] [CrossRef]
- Arash, B.; Wang, Q.; Varadan, V.K. Mechanical properties of carbon nanotube/polymer composites. Sci. Rep. 2014, 4, 6479. [Google Scholar] [CrossRef] [PubMed]
- Dubey, K.A.; Hassan, P.A.; Bhardwaj, Y.K. High performance polymer nanocomposites for structural applications. In Materials under Extreme Conditions; Elsevier: Amsterdam, The Netherlands, 2017; pp. 159–194. [Google Scholar]
- Akpan, E.I.; Shen, X.; Wetzel, B.; Friedrich, K. Design and synthesis of polymer nanocomposites. In Polymer Composites with Functionalized Nanoparticles; Elsevier: Amsterdam, The Netherlands, 2019; pp. 47–83. [Google Scholar]
- Müller, K.; Bugnicourt, E.; Latorre, M.; Jorda, M.; Echegoyen Sanz, Y.; Lagaron, J.M.; Miesbauer, O.; Bianchin, A.; Hankin, S.; Bölz, U.; et al. Review on the processing and properties of polymer nanocomposites and nanocoatings and their applications in the packaging, automotive and solar energy fields. Nanomaterials 2017, 7, 74. [Google Scholar] [CrossRef] [PubMed]
- Chandra, A.K.; Kumar, R. Polymer nanocomposites for automobile engineering applications. In Properties and Applications of Polymer Nanocomposites: Clay and Carbon Based Polymer Nanocomposites; Springer: Berlin/Heidelberg, Germany, 2017; pp. 139–172. [Google Scholar]
- Iqbal, A.; Saeed, A.; Ul-Hamid, A. A review featuring the fundamentals and advancements of polymer/CNT nanocomposite application in aerospace industry. Polym. Bull. 2021, 78, 539–557. [Google Scholar] [CrossRef]
- Romero, F.D.; Bustamante, T.M.; Plasencia, F.B.; Lozano, A.E.; Bucio, E. Recent trends in magnetic polymer nanocomposites for aerospace applications: A Review. Polymers 2022, 14, 4084. [Google Scholar] [CrossRef]
- Shah, V.; Bhaliya, J.; Patel, G.M.; Deshmukh, K. Advances in polymeric nanocomposites for automotive applications: A review. Polym. Adv. Technol. 2022, 33, 3023–3048. [Google Scholar] [CrossRef]
- Frankland, S.J.V.; Harik, V.M.; Odegard, G.M.; Brenner, D.W.; Gates, T.S. The stress-strain behavior of polymer-nanotube composites from molecular dynamics simulation. Compos. Sci. Technol. 2003, 63, 1655–1661. [Google Scholar] [CrossRef]
- Griebel, M.; Hamaekers, J. Molecular dynamics simulations of the elastic moduli of polymer–carbon nanotube composites. Comput. Meth. Appl. Mech. Eng. 2004, 193, 1773–1788. [Google Scholar] [CrossRef]
- Odegard, G.M. Multiscale modeling of polymer-carbon nanotube composites. In Polymer-Carbon Nanotube Composites; Woodhead Publishing Series in Composites Science and Engineering; Woodhead Publishing: Cambridge, UK, 2011; pp. 376–399. [Google Scholar]
- Shen, H.S. Postbuckling of nanotube-reinforced composite cylindrical shells in thermal environments, Part II: Pressure-loaded shells. Compos. Struct. 2011, 93, 2496–2503. [Google Scholar] [CrossRef]
- Kwon, H.; Bradbury, C.R.; Leparoux, M. Fabrication of functionally graded carbon nanotube-reinforced aluminum matrix composite. Adv. Eng. Mater. 2011, 13, 325–329. [Google Scholar] [CrossRef]
- Shen, H.S. Postbuckling of nanotube-reinforced composite cylindrical shells in thermal environments, Part I: Axially-loaded shells. Compos. Struct. 2011, 93, 2096–2108. [Google Scholar] [CrossRef]
- Shen, H.S.; Xiang, Y. Postbuckling of nanotube-reinforced composite cylindrical shells under combined axial and radial mechanical loads in thermal environment. Compos. B Eng. 2013, 52, 311–322. [Google Scholar] [CrossRef]
- Brischetto, S.; Carrera, E. Classical and refined shell models for the analysis of nano-reinforced structures. Int. J. Mech. Sci. 2012, 55, 104–117. [Google Scholar] [CrossRef]
- Aragh, B.S. Mathematical modelling of the stability of carbon nanotube-reinforced panels. Steel Compos. Struct. 2017, 24, 727–740. [Google Scholar]
- Garcia-Macias, E.; Rodriguez-Tembleque, L.; Castro-Triguero, R.; Saez, A. Buckling analysis of functionally graded carbon nanotube-reinforced curved panels under axial compression and shear. Compos. Part B-Eng. 2017, 108, 243–256. [Google Scholar] [CrossRef]
- Khaniki, H.B.; Ghayesh, M.H. A review on the mechanics of carbon nanotube strengthened deformable structures. Eng. Struct. 2020, 220, 110711. [Google Scholar] [CrossRef]
- Liew, K.M.; Pan, Z.H.; Zhang, L.W. The recent progress of functionally graded CNT reinforced composites and structures. Sci. China-Phys. Mech. Astron. 2020, 63, 234601. [Google Scholar] [CrossRef]
- Garg, A.; Chalak, H.D.; Zenkour, A.M.; Belarbi, M.O.; Houari, M.S.A. A review of available theories and methodologies for the analysis of nano isotropic, nano functionally graded, and CNT reinforced nanocomposite structures. Archiv. Comp. Meth. Eng. 2022, 29, 2237–2270. [Google Scholar] [CrossRef]
- Tocci Monaco, G.; Fantuzzi, N.; Fabbrocino, F.; Luciano, R. Hygro-thermal vibrations and buckling of laminated nanoplates via nonlocal strain gradient theory. Compos. Struct. 2012, 262, 113337. [Google Scholar] [CrossRef]
- Bacciocchi, M. Buckling analysis of three-phase CNT/polymer/fiber functionally graded orthotropic plates: Influence of the non-uniform distribution of the oriented fibers on the critical load. Eng. Struct. 2020, 223, 111176. [Google Scholar] [CrossRef]
- Hieu, P.T.; Tung, H.V. Buckling of shear deformable FG-CNTRC cylindrical shells and toroidal shell segments under mechanical loads in thermal environments. ZAMM-Z. Ang. Math. Mech. 2020, 100, e201900243. [Google Scholar] [CrossRef]
- Tocci Monaco, G.; Fantuzzi, N.; Fabbrocino, F.; Luciano, R. Critical temperatures for vibrations and buckling of magneto-electro-elastic nonlocal strain gradient plates. Nanomaterials 2021, 11, 87. [Google Scholar] [CrossRef] [PubMed]
- Cornacchia, F.; Fabbrocino, F.; Fantuzzi, N.; Luciano, R.; Penna, R. Analytical solution of cross- and angle-ply nano plates with strain gradient theory for linear vibrations and buckling. Mech. Adv. Mater. Struct. 2021, 28, 1201–1215. [Google Scholar] [CrossRef]
- Tocci Monaco, G.; Fantuzzi, N.; Fabbrocino, F.; Luciano, R. Trigonometric solution for the bending analysis of magneto-electro-elastic strain gradient nonlocal nanoplates in hygro-thermal environment. Mathematics 2021, 9, 567. [Google Scholar] [CrossRef]
- Izadi, R.; Tuna, M.; Trovalusci, P.; Ghavanloo, E. Torsional characteristics of carbon nanotubes: Micropolar elasticity models and molecular dynamics simulation. Nanomaterials 2021, 11, 453. [Google Scholar] [CrossRef]
- Hieu, P.T.; Tung, V.H. Thermal buckling and postbuckling of CNT-reinforced composite cylindrical shell surrounded by an elastic medium with tangentially restrained edges. J. Thermoplast. Compos. Mater. 2021, 34, 861–883. [Google Scholar] [CrossRef]
- Chakraborty, S.; Dey, T.; Kumar, R. Instability characteristics of damped CNT reinforced laminated shell panels subjected to in-plane excitations and thermal loading. Structures 2021, 34, 2936–2949. [Google Scholar] [CrossRef]
- Khayat, M.; Baghlani, A.; Najafgholipour, M.A. The effect of uncertainty sources on the dynamic instability of CNT-reinforced porous cylindrical shells integrated with piezoelectric layers under electro-mechanical loadings. Compos. Struct. 2021, 273, 114336. [Google Scholar] [CrossRef]
- Ghasemi, A.R.; Soleymani, M. Effects of carbon nanotubes distribution on the buckling of carbon nanotubes/fiber/polymer/metal hybrid laminates cylindrical shell. J. Sand. Struct. Mater. 2021, 23, 2086–2105. [Google Scholar] [CrossRef]
- Avey, M.; Fantuzzi, N.; Sofiyev, A. Mathematical modeling and analytical solution of thermoelastic stability problem of functionally graded nanocomposite cylinders within different theories. Mathematics 2022, 10, 1081. [Google Scholar] [CrossRef]
- Shahmohammadi, M.A.; Mirfatah, S.M.; Emadi, S.; Salehipour, H.; Civalek, O. Nonlinear thermo-mechanical static analysis of toroidal shells made of nanocomposite/fiber reinforced composite plies surrounded by elastic medium. Thin-Wall. Struct. 2022, 170, 108616. [Google Scholar] [CrossRef]
- Sofiyev, A.H.; Fantuzzi, N.; Ipek, C.; Tekin, G. Buckling behavior of sandwich cylindrical shells covered by functionally graded coatings with clamped boundary conditions under hydrostatic pressure. Materials 2022, 15, 8680. [Google Scholar] [CrossRef]
- Sun, G.X.; Zhu, S.B.; Teng, R.; Sun, J.; Zhou, Z.; Xu, X.S. Post-buckling analysis of GPLs reinforced porous cylindrical shells under axial compression and hydrostatic pressure. Thin-Wall. Struct. 2022, 172, 108834. [Google Scholar] [CrossRef]
- Trang, L.T.N.; Tung, H.V. Thermoelastic stability of thin CNT-reinforced composite cylindrical panels with elastically restrained edges under nonuniform in-plane temperature distribution. J. Thermoplast. Compos. Mater. 2023, 36, 768–793. [Google Scholar] [CrossRef]
- Avey, M.; Fantuzi, N.; Sofiyev, A.H. Thermoelastic stability of CNT patterned conical shells under thermal loading in the framework of shear deformation theory. Mech. Adv. Mater. Struct. 2023, 30, 1828–1841. [Google Scholar] [CrossRef]
- Avey, M.; Kadioglu, F.; Ahmetolan, S.; Fantuzzi, N. Mathematical modeling and solution of nonlinear vibration problem of laminated plates with CNT originating layers interacting with two-parameter elastic foundation. J. Brazil. Soc. Mech. Sci. Eng. 2023, 45, 185. [Google Scholar] [CrossRef]
- Izadi, R.; Tuna, M.; Trovalusci, P.; Fantuzzi, N. Bending characteristics of carbon nanotubes: Micropolar elasticity models and molecular dynamics simulations. Mech. Adv. Mater. Struct. 2023, 30, 189–206. [Google Scholar] [CrossRef]
- Ipek, C.; Sofiyev, A.; Fantuzzi, N.; Efendiyeva, S.P. Buckling behavior of nanocomposite plates with functionally graded properties under compressive loads in elastic and thermal environments. J. Appl. Comput. Mech. 2023; 1–13, in press. [Google Scholar] [CrossRef]
- Ambartsumian, S.A. Theory of Anisotropic Shells; TT F-118; NASA: Washington, DC, USA, 1964.
- Shapery, R.A. Thermal expansion coefficients of composite materials based on energy principles. J. Compos. Mater. 1968, 2, 380–404. [Google Scholar] [CrossRef]
- Kasagi, A.; Sridharan, S. Buckling and postbuckling analysis of thick composite cylindrical shells under hydrostatic pressure. Compos. Eng. 1993, 3, 467–487. [Google Scholar] [CrossRef]
- Shen, H.S.; Noda, N. Postbuckling of pressure-loaded FGM hybrid cylindrical shells in thermal environments. Compos. Struct. 2007, 77, 546–560. [Google Scholar] [CrossRef]
- Volmir, A.S. The Stability of Deformable Systems; Nauka: Moscow, Russia, 1967. (In Russian) [Google Scholar]






| U | V | Λ | X | U | V | Λ | X | |
|---|---|---|---|---|---|---|---|---|
| , T = 300 (K) | ||||||||
| 100 | 0.3227 (10) | 0.3240 (10) | 0.3040 (9) | 0.4140 (10) | 0.3206 (10) | 0.3223 (10) | 0.3030 (9) | 0.4100 (10) |
| 300 | 0.0195 (13) | 0.0206 (13) | 0.0195 (13) | 0.0239 (13) | 0.0195 (13) | 0.0206 (13) | 0.0194 (13) | 0.0239 (13) |
| 500 | 0.0056 (16) | 0.0059 (16) | 0.0057 (15) | 0.00679 (15) | 0.0056 (16) | 0.0059 (16) | 0.0057 (15) | 0.00679 (15) |
| , T = 300 (K) | ||||||||
| 100 | 0.0729 (5) | 0.0772 (5) | 0.0754 (5) | 0.0871 (5) | 0.0729 (5) | 0.0772 (5) | 0.0754 (5) | 0.0870 (5) |
| 300 | 0.0051 (7) | 0.0054 (7) | 0.0053 (7) | 0.0061 (7) | 0.0051 (7) | 0.0054 (7) | 0.0053 (7) | 0.0061 (7) |
| 500 | 0.00149 (8) | 0.00156 (8) | 0.00155 (8) | 0.00177 (8) | 0.00149 (8) | 0.00156 (8) | 0.00155 (8) | 0.00177 (8) |
| , T = 750 (K) | ||||||||
| 100 | 0.1634 (11) | 0.1529 (10) | 0.1450 (10) | 0.2170 (11) | 0.1605 (11) | 0.1511 (10) | 0.1440 (10) | 0.2110 (11) |
| 300 | 0.0085 (14) | 0.0087 (14) | 0.0082 (13) | 0.0107 (14) | 0.0085 (14) | 0.0087 (14) | 0.0082 (13) | 0.0107 (14) |
| 500 | 0.0023 (16) | 0.0025 (16) | 0.0023 (13) | 0.0029 (16) | 0.0023 (16) | 0.0025 (16) | 0.0023 (13) | 0.0029 (16) |
| , T = 750 (K) | ||||||||
| 100 | 0.0306 (5) | 0.0324 (5) | 0.0313 (5) | 0.0364 (4) | 0.0306 (5) | 0.0324 (5) | 0.0313 (5) | 0.0364 (4) |
| 300 | 0.00221 (8) | 0.00232 (8) | 0.00230 (8) | 0.00264 (7) | 0.00221 (8) | 0.00232 (8) | 0.00230 (8) | 0.00264 (7) |
| 500 | 0.00064 (9) | 0.00067 (9) | 0.00067 (9) | 0.00077 (9) | 0.00064 (9) | 0.00067 (9) | 0.00067 (9) | 0.00077 (9) |
| Shen and Noda [45] HSDT | Kazagi and Sridharan [46] FEM | Present Study | |
|---|---|---|---|
| 50 | 566.09 (1,7) | 560.0 (1,7) | 566.02 (1,7) |
| 100 | 389.62 (1,6) | 385.6 (1,6) | 389.60 (1,6) |
| 500 | 166.77 (1,4) | 165.0 (1,4) | 166.77 (1,4) |
| 1000 | 124.98 (1,3) | 123.5 (1,3) | 124.99 (1,3) |
| 5000 | 56.500 (1,2) | 55.90 (1,2) | 56.570 (1,2) |
| Pattern Type | U | X | ||
|---|---|---|---|---|
| T (K) | = 0.12 | |||
| Shen [13] | Present study | Shen [13] | Present study | |
| 300 | 474.80 (5) | 473.74 (5) | 558.72 (6) | 557.36 (6) |
| 500 | 367.35 (6) | 367.29 (6) | 432.75 (6) | 431.33 (6) |
| T (K) | = 0.28 | |||
| 300 | 943.62 6) | 942.46 (6) | 1234.8 (6) | 1235.20 (6) |
| 500 | 723.33 (6) | 723.68 (6) | 963.81 (6) | 958.93 (6) |
| U | V | Λ | X | |||||
|---|---|---|---|---|---|---|---|---|
| CST | FSDT | CST | FSDT | CST | FSDT | CST | FSDT | |
| T = 300 (K) | ||||||||
| 0.12 | 0.078 (8) | 0.069 (7) | 0.069 (7) | 0.063 (7) | 0.065 (7) | 0.060 (7) | 0.095 (8) | 0.081 (8) |
| 0.17 | 0.123 (7) | 0.111 (7) | 0.111 (7) | 0.103 (7) | 0.105 (7) | 0.098 (7) | 0.154 (8) | 0.134 (8) |
| 0.28 | 0.160 (8) | 0.140 (8) | 0.144 (7) | 0.131 (7) | 0.138 (7) | 0.126 (7) | 0.217 (8) | 0.177 (8) |
| T = 450 (K) | ||||||||
| 0.12 | 0.067 (8) | 0.059 (8) | 0.060 (7) | 0.054 (7) | 0.056 (7) | 0.051 (7) | 0.083 (8) | 0.069 (8) |
| 0.17 | 0.107 (8) | 0.095 (7) | 0.095 (7) | 0.087 (7) | 0.090 (7) | 0.083 (7) | 0.134 (8) | 0.113 (8) |
| 0.28 | 0.140 (8) | 0.119 (8) | 0.124 (8) | 0.111 (7) | 0.121 (7) | 0.108 (7) | 0.191 (9) | 0.149 (8) |
| T = 600 (K) | ||||||||
| 0.12 | 0.057 (8) | 0.048 (8) | 0.049 (8) | 0.044 (8) | 0.047 (8) | 0.042 (7) | 0.070 (9) | 0.056 (8) |
| 0.17 | 0.089 (8) | 0.077 (8) | 0.079 (8) | 0.071 (7) | 0.075 (7) | 0.068 (7) | 0.114 (9) | 0.091 (8) |
| 0.28 | 0.118 (9) | 0.097 (8) | 0.103 (8) | 0.090 (8) | 0.101 (8) | 0.088 (8) | 0.162 (9) | 0.120 (8) |
| T = 750 (K) | ||||||||
| 0.12 | 0.045 (9) | 0.035 (9) | 0.038 (8) | 0.032 (8) | 0.037 (8) | 0.031 (8) | 0.056 (10) | 0.041 (9) |
| 0.17 | 0.070 (9) | 0.057 (8) | 0.061 (8) | 0.052 (8) | 0.059 (8) | 0.051 (8) | 0.090 (10) | 0.067 (9) |
| 0.28 | 0.094 (10) | 0.071 (9) | 0.081 (9) | 0.067 (9) | 0.080 (9) | 0.065 (8) | 0.129 (10) | 0.086 (9) |
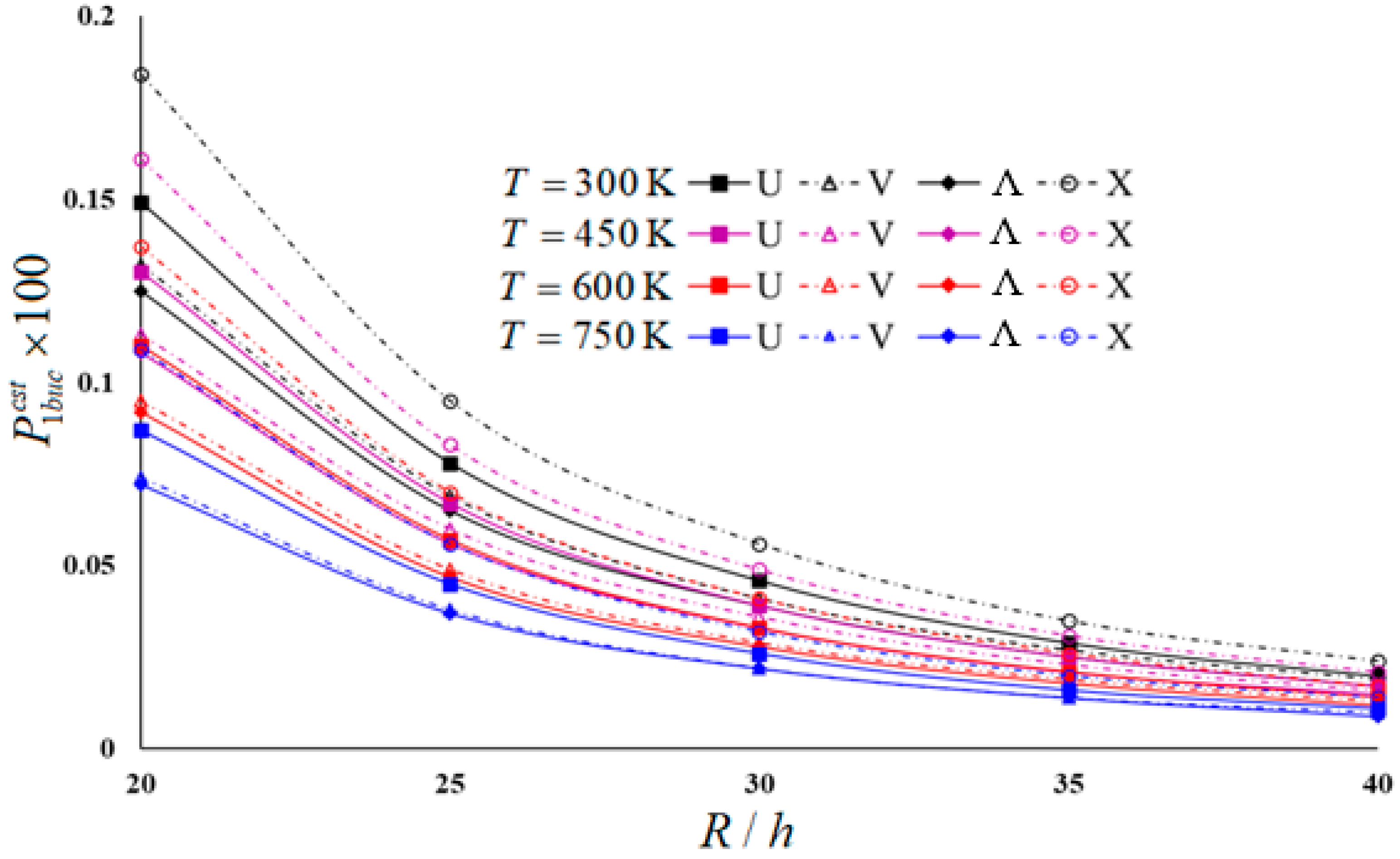
| U | V | Λ | X | |||||
|---|---|---|---|---|---|---|---|---|
| CST | FSDT | CST | FSDT | CST | FSDT | CST | FSDT | |
| T = 300 (K) | ||||||||
| 20 | 0.149 (7) | 0.125 (7) | 0.132 (7) | 0.116 (7) | 0.125 (7) | 0.111 (7) | 0.184 (8) | 0.146 (8) |
| 25 | 0.078 (8) | 0.069 (7) | 0.069 (7) | 0.064 (7) | 0.065 (7) | 0.060 (7) | 0.095 (8) | 0.081 (8) |
| 30 | 0.046 (8) | 0.042 (8) | 0.041 (7) | 0.039 (7) | 0.039 (7) | 0.037 (7) | 0.056 (8) | 0.050 (8) |
| 35 | 0.029 (8) | 0.028 (8) | 0.027 (7) | 0.026 (7) | 0.025 (7) | 0.024 (7) | 0.035 (9) | 0.033 (8) |
| 40 | 0.020 (8) | 0.019 (8) | 0.019 (8) | 0.018 (8) | 0.017 (7) | 0.017 (7) | 0.024 (8) | 0.023 (8) |
| T = 450 (K) | ||||||||
| 20 | 0.130 (8) | 0.106 (7) | 0.113 (7) | 0.098 (7) | 0.108 (7) | 0.094 (7) | 0.161 (8) | 0.122 (8) |
| 25 | 0.067 (8) | 0.059 (8) | 0.060 (7) | 0.054 (7) | 0.056 (7) | 0.051 (7) | 0.083 (8) | 0.069 (8) |
| 30 | 0.039 (8) | 0.036 (8) | 0.036 (7) | 0.033 (7) | 0.033 (7) | 0.031 (7) | 0.049 (9) | 0.042 (8) |
| 35 | 0.025 (8) | 0.023 (8) | 0.023 (8) | 0.022 (8) | 0.021 (7) | 0.020 (8) | 0.031 (9) | 0.028 (8) |
| 40 | 0.017 (8) | 0.016 (8) | 0.016 (8) | 0.015 (8) | 0.015 (8) | 0.014 (8) | 0.021 (9) | 0.019 (9) |
| T = 600 (K) | ||||||||
| 20 | 0.110 (8) | 0.085 (8) | 0.095 (8) | 0.078 (7) | 0.092 (7) | 0.076 (7) | 0.137 (9) | 0.097 (8) |
| 25 | 0.057 (8) | 0.048 (8) | 0.049 (8) | 0.044 (8) | 0.047 (7) | 0.042 (8) | 0.070 (9) | 0.056 (8) |
| 30 | 0.033 (9) | 0.029 (9) | 0.029 (8) | 0.027 (8) | 0.028 (8) | 0.025 (8) | 0.041 (9) | 0.034 (9) |
| 35 | 0.021 (9) | 0.019 (9) | 0.019 (8) | 0.017 (8) | 0.018 (8) | 0.017 (8) | 0.026 (9) | 0.023 (9) |
| 40 | 0.014 (9) | 0.013 (9) | 0.013 (8) | 0.012 (8) | 0.012 (8) | 0.011 (8) | 0.017 (9) | 0.016 (9) |
| T = 750 (K) | ||||||||
| 20 | 0.087 (9) | 0.062 (8) | 0.074 (8) | 0.057 (8) | 0.072 (8) | 0.056 (9) | 0.109 (10) | 0.070 (9) |
| 25 | 0.045 (9) | 0.035 (9) | 0.038 (8) | 0.032 (8) | 0.037 (8) | 0.031 (8) | 0.056 (10) | 0.041 (9) |
| 30 | 0.026 (9) | 0.022 (9) | 0.022 (9) | 0.020 (8) | 0.022 (8) | 0.019 (8) | 0.032 (10) | 0.026 (10) |
| 35 | 0.016 (9) | 0.014 (9) | 0.014 (9) | 0.013 (8) | 0.014 (9) | 0.013 (8) | 0.020 (10) | 0.017 (10) |
| 40 | 0.011 (9) | 0.010 (9) | 0.010 (9) | 0.009 (9) | 0.009 (9) | 0.009 (8) | 0.014 (10) | 0.012 (10) |
Disclaimer/Publisher’s Note: The statements, opinions and data contained in all publications are solely those of the individual author(s) and contributor(s) and not of MDPI and/or the editor(s). MDPI and/or the editor(s) disclaim responsibility for any injury to people or property resulting from any ideas, methods, instructions or products referred to in the content. |
© 2023 by the authors. Licensee MDPI, Basel, Switzerland. This article is an open access article distributed under the terms and conditions of the Creative Commons Attribution (CC BY) license (https://creativecommons.org/licenses/by/4.0/).
Share and Cite
Sofiyev, A.H.; Fantuzzi, N. Stability Analysis of Shear Deformable Inhomogeneous Nanocomposite Cylindrical Shells under Hydrostatic Pressure in Thermal Environment. Materials 2023, 16, 4887. https://doi.org/10.3390/ma16134887
Sofiyev AH, Fantuzzi N. Stability Analysis of Shear Deformable Inhomogeneous Nanocomposite Cylindrical Shells under Hydrostatic Pressure in Thermal Environment. Materials. 2023; 16(13):4887. https://doi.org/10.3390/ma16134887
Chicago/Turabian StyleSofiyev, Abdullah H., and Nicholas Fantuzzi. 2023. "Stability Analysis of Shear Deformable Inhomogeneous Nanocomposite Cylindrical Shells under Hydrostatic Pressure in Thermal Environment" Materials 16, no. 13: 4887. https://doi.org/10.3390/ma16134887
APA StyleSofiyev, A. H., & Fantuzzi, N. (2023). Stability Analysis of Shear Deformable Inhomogeneous Nanocomposite Cylindrical Shells under Hydrostatic Pressure in Thermal Environment. Materials, 16(13), 4887. https://doi.org/10.3390/ma16134887

