Interelastomer Reactions Occurring during the Cross-Linking of Hydrogenated Acrylonitrile-Butadiene (HNBR) and Chloroprene (CR) Rubbers Blends in the Presence of Silver(I) Oxide (Ag2O) and Mechanical Properties of Cured Products
Abstract
1. Introduction
2. Experimental Part
2.1. Materials
2.2. Preparation of Elastomeric Composites
2.3. Characterization of Elastomeric Composites
2.3.1. Cross-Linking Characteristics
2.3.2. Resistance to Swelling
2.3.3. Analysis of Infrared Spectra (ATR-FTIR)
2.3.4. Differential Scanning Calorimetry (DSC)
2.3.5. Scanning Electron Microscopy (SEM)
2.3.6. Determination of Mechanical Properties
2.3.7. Thermo-Oxidative Aging
3. Results and Discussion
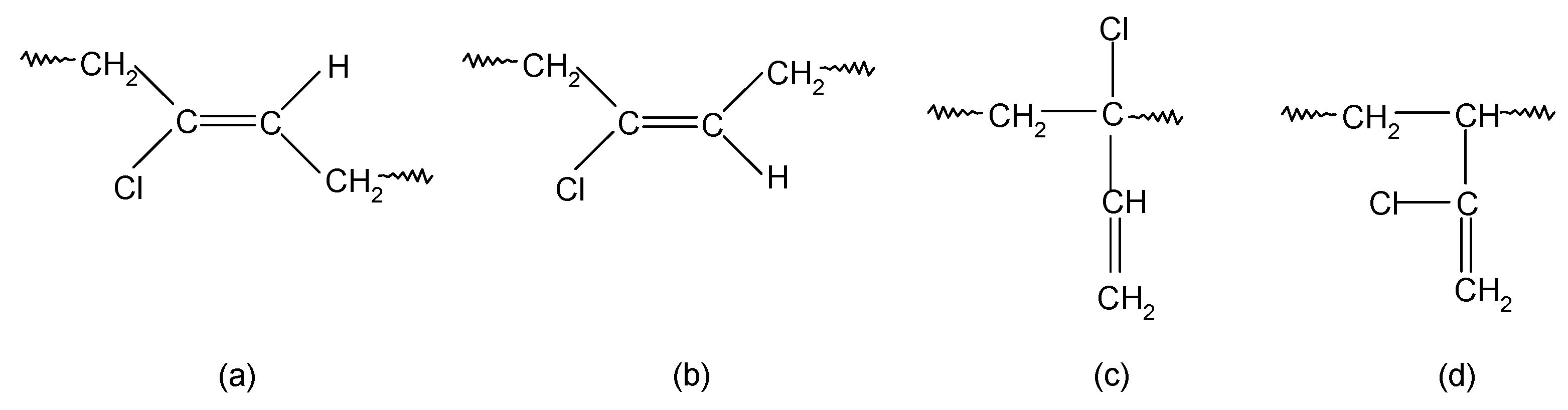
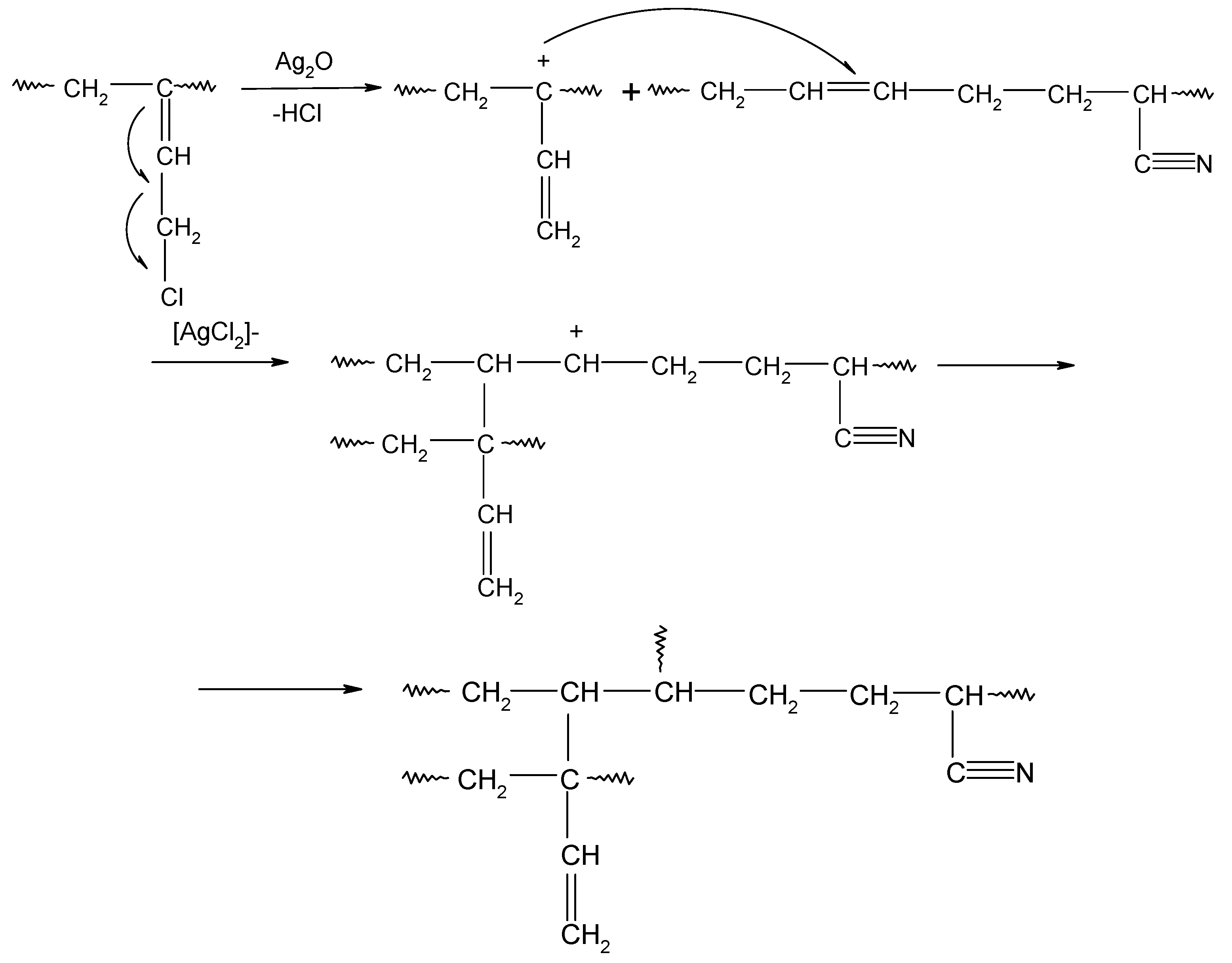
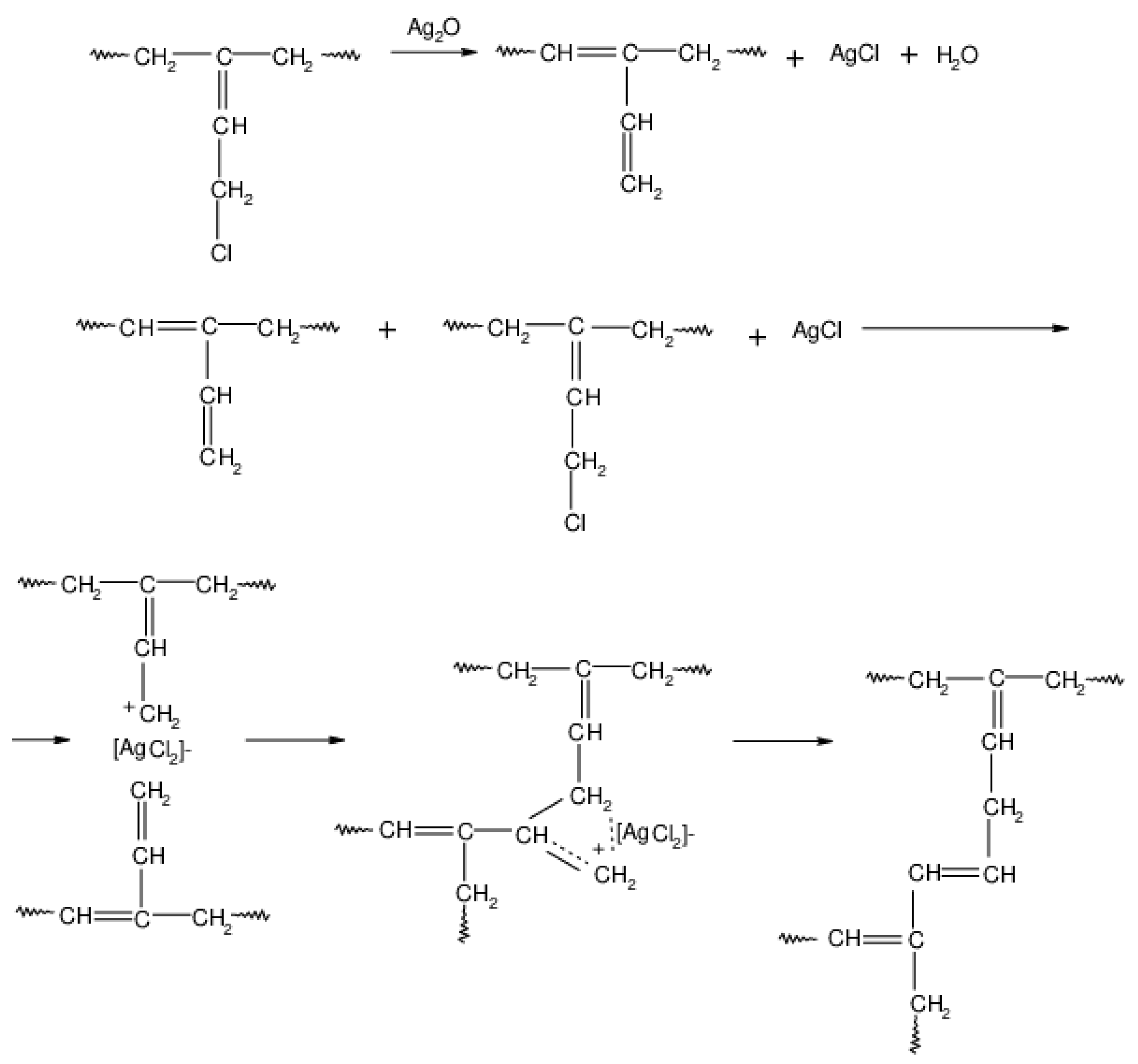
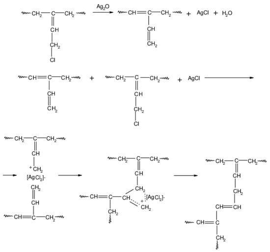
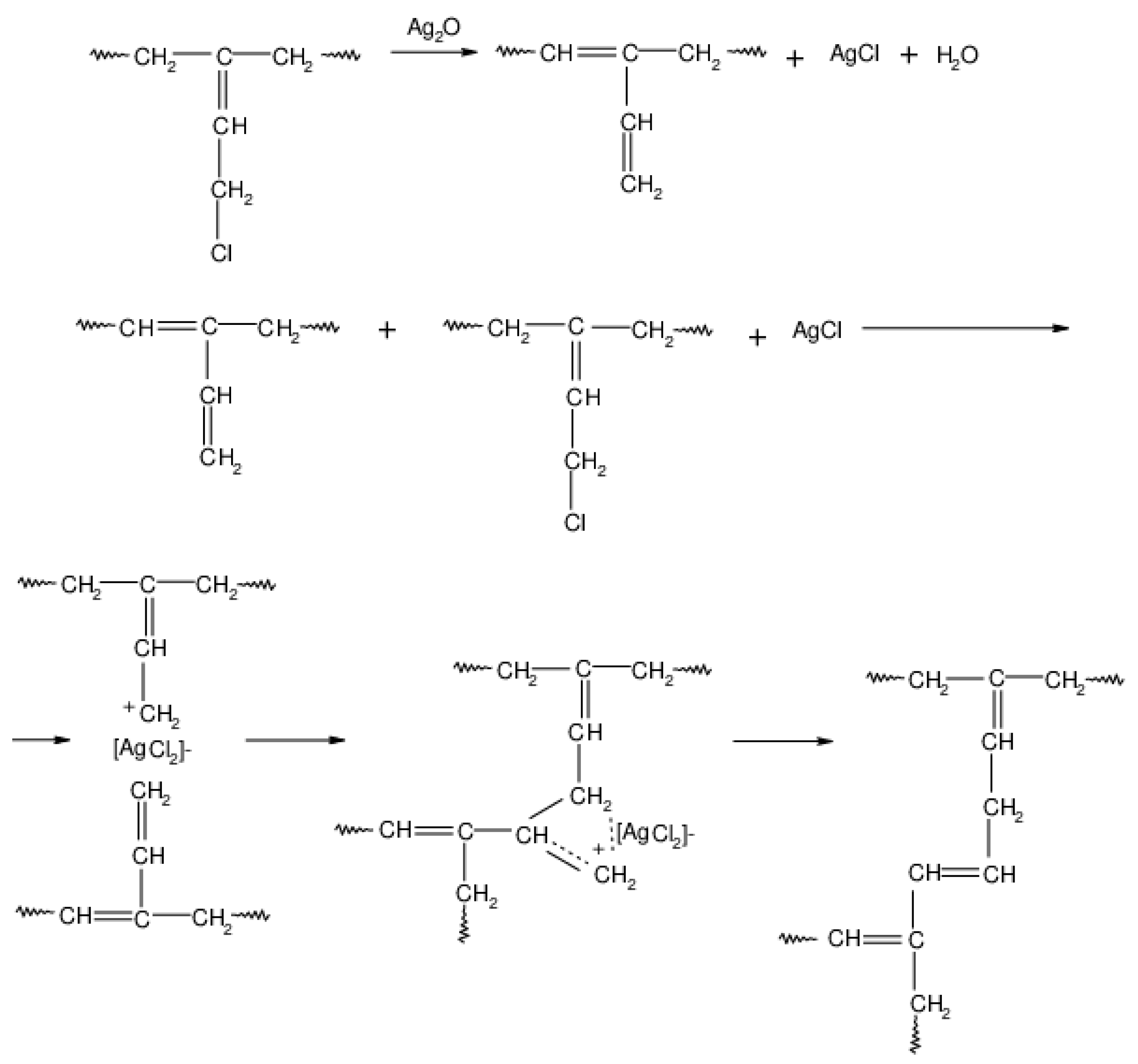
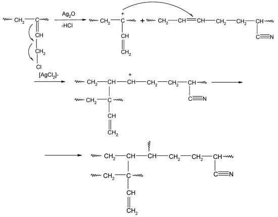
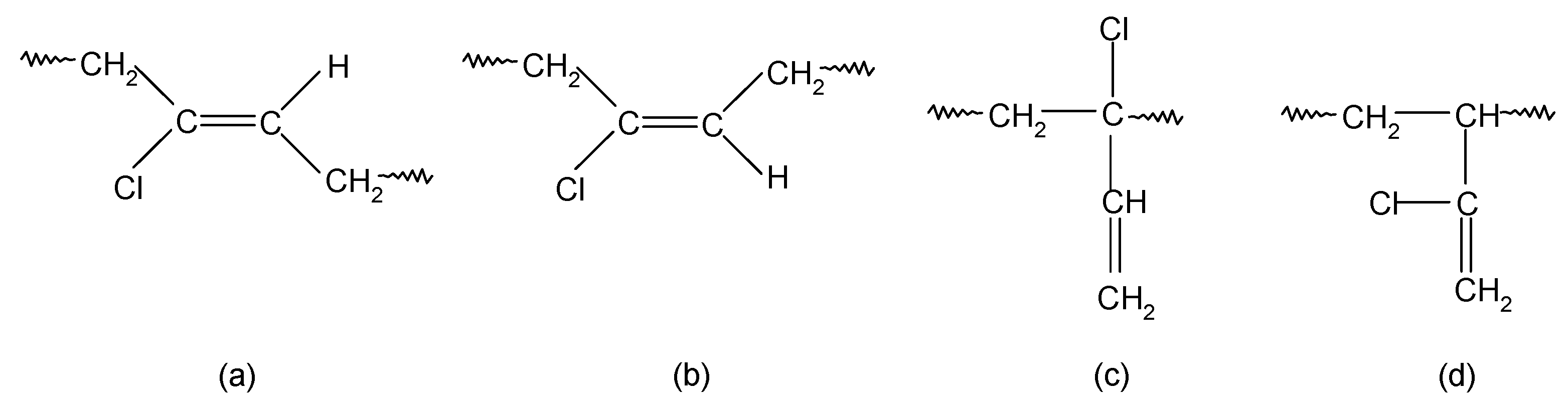
3.1. Cross-Linking Mechanism of HNBR/CR Composites in the Presence of Silver(I) Oxide
3.2. Effect of Silver(I) Oxide on Cure Parameters of HNBR/CR Blends
3.3. Effect of Silver(I) Oxide on Swelling Behavior of HNBR/CR Vulcanizates
3.4. Effect of Silver(I) Oxide on Structure of HNBR/CR Composites Observed by Infrared
3.5. Effect of Silver(I) Oxide on Thermal Analysis of HNBR/CR Vulcanizates
3.6. Surface Morphology of HNBR/CR/Ag2O Vulcanizates
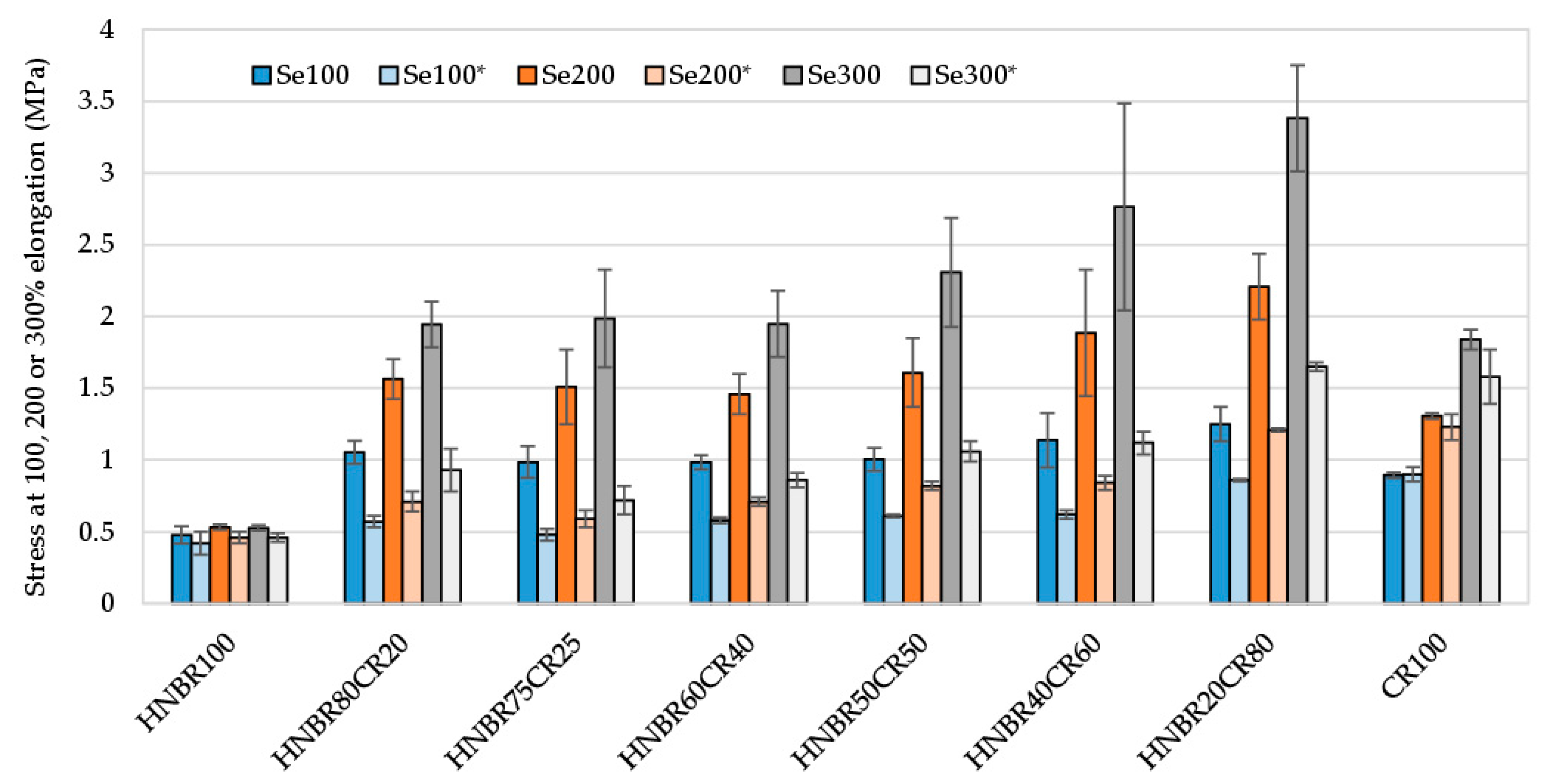
3.7. Effect of Silver(I) Oxide on Mechanical Properties of HNBR/CR Vulcanizates
3.8. Effect of Silver(I) Oxide on Resistance to Thermo-Oxidative Aging of HNBR/CR Vulcanizates
4. Conclusions
Author Contributions
Funding
Institutional Review Board Statement
Informed Consent Statement
Data Availability Statement
Conflicts of Interest
References
- Alcock, B.; Jǿrgensen, J.K. The mechanical properties of a model hydrogenated nitrile butadiene rubber (HNBR) following simulated sweet oil exposure at elevated temperature and pressure. Polym. Test. 2015, 46, 50–58. [Google Scholar] [CrossRef]
- Omran, A.M.; Youssef, A.M.; Ahmed, M.M.; Abdel-Bary, E.M.; Hellipolis, R.T.L. Mechanical and oil resistance characteristics of rubber blends based on nitrile butadiene rubber. Kautsch. Gummi Kunst. 2010, 63, 197–202. [Google Scholar]
- Changjie, Y.; Zhang, Q.; Junwei, G.; Junping, Z.; Youqiang, S.; Yuhang, W. Cure characteristics and mechanical properties of styrene-butadiene rubber/hydrogenated acrylonitrile-butadiene rubber/silica composites. J. Polym. Res. 2011, 18, 2487–2494. [Google Scholar] [CrossRef]
- Bik, J.M.; Smejda, A.; Wolska, B.; Rzymski, W.M.; Głuszewski, W.; Zagórski, Z.P. Radiation crosslinking of hydrogenated acrylonitrile butadiene rubber. Radiat. Phys. Chem. 2003, 67, 298–306. [Google Scholar]
- Bik, J.M.; Rzymski, W.M.; Głuszewski, W.; Zagórski, Z.P. Degradation of electron beam irradiated hydrogenated butadiene-acrylonitrile rubber. Influence of bounded acrylonitrile content. Polimery 2005, 50, 266. [Google Scholar] [CrossRef]
- Singha, N.K.; Bhattacharjee, S.; Sivaram, S. Hydrogenation of Diene Elastomers, Their Properties and Applications: A Critical Review. Rubber Chem. Technol. 1997, 70, 310. [Google Scholar] [CrossRef]
- Akiba, M.; Hashim, A.S. Vulcanization and crosslinking in elastomers. Prog. Polym. Sci. 1997, 22, 475–521. [Google Scholar] [CrossRef]
- Běhal, M.; Ducháček, V. Thermovulcanization of polychloroprene rubber and its blends with poly (vinyl chloride). J. App. Polym. Sci. 1988, 35, 507–515. [Google Scholar] [CrossRef]
- Zhang, P.; Huang, G.; Qu, L.; Nie, Y.; Weng, G.; Wu, J. Strain-induced crystallization behavior of polychloroprene rubber. J. Appl. Polym. Sci. 2011, 121, 37–42. [Google Scholar] [CrossRef]
- Li, J.; Isayev, A.I.; Ren, X.; Soucek, M.D. Effect of norbornyl modified soybean oil on CB-filled chloroprene rubber. J. Appl. Polym. Sci. 2016, 133, 43809. [Google Scholar] [CrossRef]
- Kobędza, P.; Smejda-Krzewicka, A.; Strzelec, K. Cross-Link Density, Mechanical and Thermal Properties of Chloroprene Rubber Cross-Linked with Silver(I) Oxide. Materials 2022, 15, 2006. [Google Scholar] [CrossRef]
- Mutar, M.A. A study in vulcanization of neoprene rubber (wrt) by polymethylol resin (resol). Al-Nahrain J. Sci. 2010, 13, 1–6. [Google Scholar] [CrossRef]
- Kong, L.; Zhu, Y.; Huang, G.; Wu, J. Carbon nanodots as dual role of crosslinking and reinforcing chloroprene rubber. Compos. Commun. 2020, 22, 100441. [Google Scholar] [CrossRef]
- Xiang, H.P.; Rong, M.Z.; Zhang, M.Q. Self-healing, reshaping, and recycling of vulcanized chloroprene rubber: A case study of multitask cyclic utilization of cross-linked polymer. ACS Sustain. Chem. Eng. 2016, 4, 2715–2724. [Google Scholar] [CrossRef]
- Kobędza, P.; Smejda-Krzewicka, A.; Olejnik, A.; Strzelec, K. Flame retardant and durable chloroprene rubber and styrene-butadiene rubber blends crosslinked with copper (I) oxide. Iran. Polym. J. 2021, 30, 149–165. [Google Scholar] [CrossRef]
- Kobędza, P.; Smejda-Krzewicka, A.; Strzelec, K. The use of copper oxides as cross-linking substances for chloroprene rubber and study of the vulcanizates properties. Part I. Materials 2021, 14, 5535. [Google Scholar] [CrossRef] [PubMed]
- Smejda-Krzewicka, A.; Olejnik, A.; Strzelec, K. The role of iron(III) oxide in chloroprene and butadiene rubber blends’ cross-linking, structure, thermal and mechanical characteristics. Iran. Polym. J. 2019, 28, 313–323. [Google Scholar] [CrossRef]
- Olejnik, A.; Smejda-Krzewicka, A.; Strzelec, K.; Szynkowska, M.I. Curing and properties of chloroprene and butadiene rubber (CR/BR) blends cross-linked with copper(I) oxide or copper(II) oxide. Int. J. Polym. Anal. Charact. 2019, 24, 18–31. [Google Scholar] [CrossRef]
- Smejda-Krzewicka, A.; Mrozowski, K.; Kobędza, P.; Adamus-Włodarczyk, A. The Use of Iron(II,III) Oxide (Fe3O4) as a Cross-Linking Agent for Unfilled and Filled Chlorosulfonated Polyethylene (CSM) and Study of the Vulcanizates Properties. Materials 2022, 15, 7276. [Google Scholar] [CrossRef] [PubMed]
- Lide, D.R. CRC Handbook of Chemistry and Physics, 90th ed.; CRC Press: Boca Raton, FL, USA, 2009; pp. 4–89. [Google Scholar]
- Cotton, F.A.; Wilkinson, G. Advanced Inorganic Chemistry, 2nd ed.; John Wiley & Sons: New York, NY, USA, 1966; p. 1042. [Google Scholar]
- Glemser, O.; Sauer, H. Silver Oxide. In Handbook of Preparative Inorganic Chemistry, 2nd ed.; Brauer, G., Ed.; Academic Press: New York, NY, USA, 1963; Volume 1, p. 1037. [Google Scholar]
- Janssen, D.E.; Wilson, C.V. 4-Iodoveratrole. Org. Synth. 1956, 36, 46. [Google Scholar]
- De Rooij, A. The Oxidation of Silver by Atomic Oxygen. ESA J. 1989, 13, 363–382. [Google Scholar]
- Naik, K.; Kowshik, M. The silver lining: Towards the responsible and limited usage of silver. J. Appl. Microbiol. 2017, 123, 1068–1087. [Google Scholar] [CrossRef] [PubMed]
- Lam, Y.L.; Kan, C.W.; Yuen, C.W. Effect of metal oxide on anti-microbial finishing of cotton fabric. BioResources. 2012, 7, 3960–3983. [Google Scholar] [CrossRef]
- Marhoon, I.I.; Rasool, D.A.; Dhumad, K.A.; Tlaiaa, Y.S.; Abdulrehman, M.A. Study Effect of Silver Oxide Addition on Mechanical Properties of Epoxy Composites. Eur. J. Eng. Res. Sci. 2018, 3, 38–41. [Google Scholar] [CrossRef]
- ASTM D5289-17; Standard Test Method for Rubber Property—Vulcanization Using Rotorless Cure Meters. American Society for Testing and Materials: West Conshohocken, PA, USA, 2019.
- Guma i Kauczuk Termoplastyczny—Oznaczanie Właściwości Wytrzymałościowych Przy Rozciąganiu; Polski Komitet Normalizacyjny: Warsaw, Poland. 2007. Available online: https://sklep.pkn.pl/pn-iso-37-2007p.html (accessed on 14 September 2021).
- Giurginca, M.; Zaharescu, T. Thermo-oxidative degradation of some polymer couples containing HNBR. Polym. Bull. 2003, 49, 357–362. [Google Scholar] [CrossRef]
- Wang, T.; Zhong, G.; Zhou, L. Research on Mechanical Properties, Compatibility, Flame Retardancy, Hot-Air Ageing Resistance of Hydrogenated Nitrile-Butadiene Rubber/Chloroprene Rubber Blends. Adv. Mater. Res. 2013, 750–752, 816–819. [Google Scholar] [CrossRef]
- Khang, D.Q.; Lien, T.K.; Hai, L.N.; Minh, D.Q.; Sy, D.T.; Hai, L.H. Study on Preparation and Properties of Rubber Blends Based on Nitrile Butadiene Rubber and Chloroprene Rubber. Macromol. Symp. 2019, 384, 1800169–1800173. [Google Scholar] [CrossRef]
- Simpson, R.B. Rubber Basics; Rapra Technology Limited: Shawbury, UK, 2002. [Google Scholar]
- Pilipović, A.; Ŝerver, M.; Kodvanj, J. Influence of crosslinking parameters on mechanical properties of chloroprene rubber. Trans. Femene 2010, 3, 57–70. [Google Scholar]
- Dogadkin, B.A. Chemia Elastomerów; Wydawnictwo Naukowo-Techniczne: Warszawa, Poland, 1976. [Google Scholar]
- Wolska, B.; Rzymski, W.M. Use of in situ generated Lewis acids in crosslinking of elastomers. Polimery 2004, 7–8, 514–521. [Google Scholar] [CrossRef]
- Rzymski, W.M. Structural conditioning of processing and application of elastomers. Polimery 2001, 46, 100–106. [Google Scholar] [CrossRef]
- Dyer, J.R. Absorption Spectroscopy in Organic Chemistry; Scientific Publishing PWN: Warsaw, Poland, 1967. [Google Scholar]
- Rajca, A.; Zieliński, W. Spectroscopic Methods and Their Application to Identify Organic Compounds; Scientific Publishing PWN: Warsaw, Poland, 1995. [Google Scholar]
- Alpert, N.L.; Keiser, W.E.; Szymanski, H.A. Infrared Spectroscopy. Theory and Practice; PWN: Warsaw, Poland, 1974. [Google Scholar]
- Kęcki, Z. Fundamentals of Molecular Spectroscopy; PWN: Warsaw, Poland, 1992. [Google Scholar]
- Litvinov, V.M.; Prajna, P.D. Spectroscopy of Rubbers and Rubbery Materials; Rapra Technology Ltd.: Shawbury, UK, 2002. [Google Scholar]
- Das, A.; Stöckelhuber, K.W.; Heinrich, G. Influence of Layered Silicate on the Self-Crosslinking of Polychloroprene and Carboxylated Nitrile Rubber. Macromol. Chem. Phys. 2009, 210, 189–199. [Google Scholar] [CrossRef]
- Goyanes, S.; Lopez, C.C.; Rubiolo, G.H.; Quasso, F.; Marzocca, A.J. Thermal properties in cured natural/styrene butadiene rubber blends. Eur. Polym. J. 2008, 44, 1525–1534. [Google Scholar] [CrossRef]
- Abdel-Bary, E.M.; von Soden, W.; Helaly, F.M. Evaluation of the Properties of Some Nitrile-Butadiene Rubber/Polychloroprene Mixes and Vulcanizates. Polym. Adv. Technol. 2000, 11, 1–8. [Google Scholar] [CrossRef]
- Słubik, A.; Smejda-Krzewicka, A.; Strzelec, K. Curing Behaviors, Mechanical and Dynamic Properties of Composites Containing Chloroprene and Butadiene Rubbers Crosslinked with Nano-Iron(III) Oxide. Polymers 2021, 13, 853. [Google Scholar] [CrossRef] [PubMed]
- Dick, J.S. Rubber Technology, Compounding and Testing for Performance; Hanser Publishers: Munich, Germany, 2001. [Google Scholar]
- Severe, G.; White, J.J. Dynamically Vulcanized Blends of Oil-Resistant Elastomers with HNBR. J. Appl. Polym. Sci. 2005, 95, 2–5. [Google Scholar] [CrossRef]
- Dick, J.S. Basic Rubber Testing: Selecting Methods for a Rubber; ASTM International: West Conshohocken, PA, USA; Bridgeport, NJ, USA, 2003. [Google Scholar]
















| Component Content (Weight Parts) | ||||
|---|---|---|---|---|
| Symbol | HNBR | CR | Ag2O | SA |
| HNBR100 | 100 | 0 | 2.5 | 1 |
| HNBR80CR20 | 80 | 20 | 2.5 | 1 |
| HNBR75CR25 | 75 | 25 | 2.5 | 1 |
| HNBR60CR40 | 60 | 40 | 2.5 | 1 |
| HNBR50CR50 | 50 | 50 | 2.5 | 1 |
| HNBR40CR60 | 40 | 60 | 2.5 | 1 |
| HNBR20CR80 | 20 | 80 | 2.5 | 1 |
| CR100 | 0 | 100 | 2.5 | 1 |
| Symbol | Tmin | T15 | ΔT15 | t02 | t90 | CRI |
|---|---|---|---|---|---|---|
| d∙Nm | d∙Nm | d∙Nm | min | min | min−1 | |
| HNBR100 | 0.68 | 1.02 | 0.34 | 0.59 | 13.71 | 7.78 |
| HNBR80CR20 | 0.82 | 2.14 | 1.32 | 0.49 | 13.44 | 7.56 |
| HNBR75CR25 | 0.83 | 2.31 | 1.48 | 0.42 | 11.35 | 9.15 |
| HNBR60CR40 | 0.88 | 2.87 | 1.99 | 0.33 | 7.89 | 13.23 |
| HNBR50CR50 | 0.96 | 3.12 | 2.16 | 0.30 | 5.82 | 18.12 |
| HNBR40CR60 | 1.06 | 3.77 | 2.71 | 0.30 | 4.17 | 25.84 |
| HNBR20CR80 | 1.11 | 4.65 | 3.54 | 0.27 | 3.63 | 29.76 |
| CR100 | 1.35 | 6.06 | 4.71 | 0.24 | 2.94 | 37.04 |
| Symbol | QvT | WQ | HNBRb | VrT | αc | QvH | VrH | |
|---|---|---|---|---|---|---|---|---|
| mL/mL | mg/mg | mg/mg | % | - | - | mL/mL | - | |
| HNBR100 | - | - | 1.000 | - | - | - | 0.31 ± 0.00 | 0.763 ± 0.001 |
| HNBR80CR20 | 6.56 ± 0.37 | 0.171 ± 0.024 | 0.823 | 15.3 | 0.133 ± 0.006 | 0.153 ± 0.009 | 0.31 ± 0.03 | 0.763 ± 0.017 |
| HNBR75CR25 | 6.55 ± 0.10 | 0.144 ± 0.014 | 0.779 | 59.1 | 0.132 ± 0.002 | 0.154 ± 0.002 | 0.27 ± 0.02 | 0.786 ± 0.014 |
| HNBR60CR40 | 5.85 ± 0.09 | 0.109 ± 0.008 | 0.647 | 48.2 | 0.146 ± 0.002 | 0.170 ± 0.002 | 0.30 ± 0.03 | 0.768 ± 0.015 |
| HNBR50CR50 | 5.88 ± 0.24 | 0.113 ± 0.009 | 0.559 | 38.5 | 0.145 ± 0.005 | 0.171 ± 0.007 | 0.32 ± 0.03 | 0.758 ± 0.015 |
| HNBR40CR60 | 5.21 ± 0.06 | 0.100 ± 0.013 | 0.470 | 30.0 | 0.161 ± 0.002 | 0.192 ± 0.002 | 0.37 ± 0.03 | 0.732 ± 0.016 |
| HNBR20CR80 | 4.94 ± 0.13 | 0.080 ± 0.010 | 0.294 | 14.1 | 0.168 ± 0.004 | 0.202 ± 0.005 | 0.42 ± 0.03 | 0.705 ± 0.016 |
| CR100 | 4.92 ± 0.08 | 0.117 ± 0.005 | 0.117 | - | 0.169 ± 0.002 | 0.203 ± 0.003 | 0.44 ± 0.02 | 0.697 ± 0.008 |
| Symbol | Tg HNBR | Tg CR | Tonset | Tendset | ΔH |
|---|---|---|---|---|---|
| °C | °C | °C | °C | J/g | |
| HNBR100 | −19.75 | - | 153 | 213 | 14.67 |
| HNBR80CR20 | −22.99 | −38.18 | 138 | 191 | 15.50 |
| HNBR75CR25 | −23.36 | −39.97 | 127 | 194 | 17.19 |
| HNBR60CR40 | −23.50 | −40.25 | 129 | 201 | 17.30 |
| HNBR50CR50 | −23.65 | −40.41 | 160 | 191 | 18.12 |
| HNBR40CR60 | −23.70 | −40.89 | 119 | 186 | 17.06 |
| HNBR20CR80 | −30.40 | 126 | 198 | 17.42 | |
| CR100 | - | −41.48 | 104 | 232 | 18.76 |
| Symbol | Mechanical Properties before Aging | Mechanical Properties after Aging | ||||||||||||
|---|---|---|---|---|---|---|---|---|---|---|---|---|---|---|
| Se100 | Se200 | Se300 | TSb | Eb | HA | Ts | Se100* | Se200* | Se300* | TSb* | Eb* | HA* | AF | |
| MPa | MPa | MPa | MPa | % | °ShA | N/mm | MPa | MPa | MPa | MPa | % | °ShA | ||
| HNBR100 | 0.48 ± 0.06 | 0.53 ± 0.02 | 0.53 ± 0.02 | 0.60 ± 0.01 | 77 ± 3 | 50.4 ± 1.6 | 2.7 ± 0.2 | 0.42 ± 0.08 | 0.46 ± 0.04 | 0.46 ± 0.03 | 0.51 ± 0.03 | 79 ± 10 | 46.9 ± 0.9 | 0.89 |
| HNBR80 CR20 | 1.05 ± 0.08 | 1.56 ± 0.14 | 1.94 ± 0.16 | 3.91 ± 0.30 | 792 ± 84 | 51.1 ± 2.0 | 18.2 ± 1.1 | 0.57 ± 0.04 | 0.71 ± 0.07 | 0.93 ± 0.15 | 2.66 ± 0.11 | 1151 ± 50 | 46.7 ± 1.1 | 0.99 |
| HNBR75 CR25 | 0.99 ± 0.11 | 1.51 ± 0.26 | 1.98 ± 0.34 | 4.43 ± 0.30 | 756 ± 73 | 57.6 ± 1.1 | 17.6 ± 0.5 | 0.48 ± 0.04 | 0.59 ± 0.06 | 0.72 ± 0.10 | 2.26 ± 0.31 | 800 ± 75 | 47.1 ± 1.6 | 0.54 |
| HNBR60 CR40 | 0.98 ± 0.05 | 1.46 ± 0.14 | 1.95 ± 0.23 | 6.11 ± 0.48 | 707 ± 24 | 58.3 ± 1.4 | 17.9 ± 0.8 | 0.58 ± 0.02 | 0.71 ±0.03 | 0.86 ± 0.05 | 5.49 ± 0.37 | 795 ± 69 | 47.9 ± 0.7 | 1.01 |
| HNBR50 CR50 | 1.00 ± 0.08 | 1.61 ± 0.24 | 2.31 ± 0.38 | 6.28 ± 0.59 | 616 ± 39 | 60.7 ± 1.4 | 10.7 ± 1.0 | 0.61 ± 0.01 | 0.82 ± 0.03 | 1.06 ± 0.07 | 5.22 ± 0.46 | 642 ± 19 | 44.0 ± 1.8 | 0.87 |
| HNBR40 CR60 | 1.14 ± 0.19 | 1.89 ± 0.44 | 2.76 ± 0.72 | 6.70 ± 0.32 | 565 ± 63 | 58.4 ± 1.1 | 10.1 ± 0.4 | 0.62 ± 0.03 | 0.84 ± 0.05 | 1.12 ± 0.08 | 6.22 ± 0.23 | 689 ± 11 | 43.1 ± 1.0 | 1.13 |
| HNBR20 CR80 | 1.25 ± 0.12 | 2.21 ± 0.23 | 3.38 ± 0.37 | 7.63 ± 0.62 | 537 ± 35 | 59.4 ± 1.2 | 6.2 ± 0.2 | 0.86 ± 0.01 | 1.21 ± 0.01 | 1.65 ± 0.03 | 7.83 ± 0.83 | 592 ± 10 | 43.5 ± 0.6 | 1.13 |
| CR100 | 0.89 ± 0.02 | 1.31 ± 0.02 | 1.84 ± 0.07 | 8.93 ± 0.67 | 486 ± 45 | 60.8 ± 2.1 | 14.7 ± 0.1 | 0.90 ± 0.05 | 1.23 ± 0.09 | 1.58 ± 0.19 | 13.3 ± 1.38 | 708 ± 22 | 36.6 ± 2.0 | 2.17 |
Disclaimer/Publisher’s Note: The statements, opinions and data contained in all publications are solely those of the individual author(s) and contributor(s) and not of MDPI and/or the editor(s). MDPI and/or the editor(s) disclaim responsibility for any injury to people or property resulting from any ideas, methods, instructions or products referred to in the content. |
© 2023 by the authors. Licensee MDPI, Basel, Switzerland. This article is an open access article distributed under the terms and conditions of the Creative Commons Attribution (CC BY) license (https://creativecommons.org/licenses/by/4.0/).
Share and Cite
Smejda-Krzewicka, A.; Mrozowski, K.; Strzelec, K. Interelastomer Reactions Occurring during the Cross-Linking of Hydrogenated Acrylonitrile-Butadiene (HNBR) and Chloroprene (CR) Rubbers Blends in the Presence of Silver(I) Oxide (Ag2O) and Mechanical Properties of Cured Products. Materials 2023, 16, 4573. https://doi.org/10.3390/ma16134573
Smejda-Krzewicka A, Mrozowski K, Strzelec K. Interelastomer Reactions Occurring during the Cross-Linking of Hydrogenated Acrylonitrile-Butadiene (HNBR) and Chloroprene (CR) Rubbers Blends in the Presence of Silver(I) Oxide (Ag2O) and Mechanical Properties of Cured Products. Materials. 2023; 16(13):4573. https://doi.org/10.3390/ma16134573
Chicago/Turabian StyleSmejda-Krzewicka, Aleksandra, Konrad Mrozowski, and Krzysztof Strzelec. 2023. "Interelastomer Reactions Occurring during the Cross-Linking of Hydrogenated Acrylonitrile-Butadiene (HNBR) and Chloroprene (CR) Rubbers Blends in the Presence of Silver(I) Oxide (Ag2O) and Mechanical Properties of Cured Products" Materials 16, no. 13: 4573. https://doi.org/10.3390/ma16134573
APA StyleSmejda-Krzewicka, A., Mrozowski, K., & Strzelec, K. (2023). Interelastomer Reactions Occurring during the Cross-Linking of Hydrogenated Acrylonitrile-Butadiene (HNBR) and Chloroprene (CR) Rubbers Blends in the Presence of Silver(I) Oxide (Ag2O) and Mechanical Properties of Cured Products. Materials, 16(13), 4573. https://doi.org/10.3390/ma16134573

