Effect of Laser Beam Profile on Thermal Transfer, Fluid Flow and Solidification Parameters during Laser-Based Directed Energy Deposition of Inconel 718
Abstract
1. Introduction
2. Experimental Procedure
3. Mathematical Model
- (1)
- Liquid metal flow inside the molten pool is considered as Newtonian, laminar and incompressible.
- (2)
- The vaporization is ignored because the calculated peak temperature of the system is lower than the boiling point of the material.
- (3)
- The mushy zone whose temperature is between the solidus and liquidus is described using a porous medium with isotropic permeability.
- (4)
- The impact of shielding gas is not taken into consideration because of its minimal pressure.
- (5)
- The powder instantly melts when it gets in touch with the deposition surface and is treated as a continuous and uniform phase.
3.1. Governing Equations
3.2. Heat Source Model
3.3. Laser–Powder Interaction
3.4. Phase Change
3.5. Free Surface Tracking
3.6. Boundary Conditions
3.6.1. Momentum Boundary Conditions
3.6.2. Thermal Boundary Conditions
3.7. Numerical Procedure
4. Results and Discussion
4.1. Heat Transport of Powders
4.2. Temperature and Velocity Field
4.3. Dimensionless Analysis
4.4. Solidification Characteristics
4.5. Validation of the Model
5. Conclusions
- The total attenuation of laser intensity has a Gaussian-like shape for both cases. During the laser–powder interaction, the temperature of the heated powder particles is lower than the melting point of the metal. Moreover, the particle temperature on the liquid/gas interface has a similar distribution with its original laser intensity.
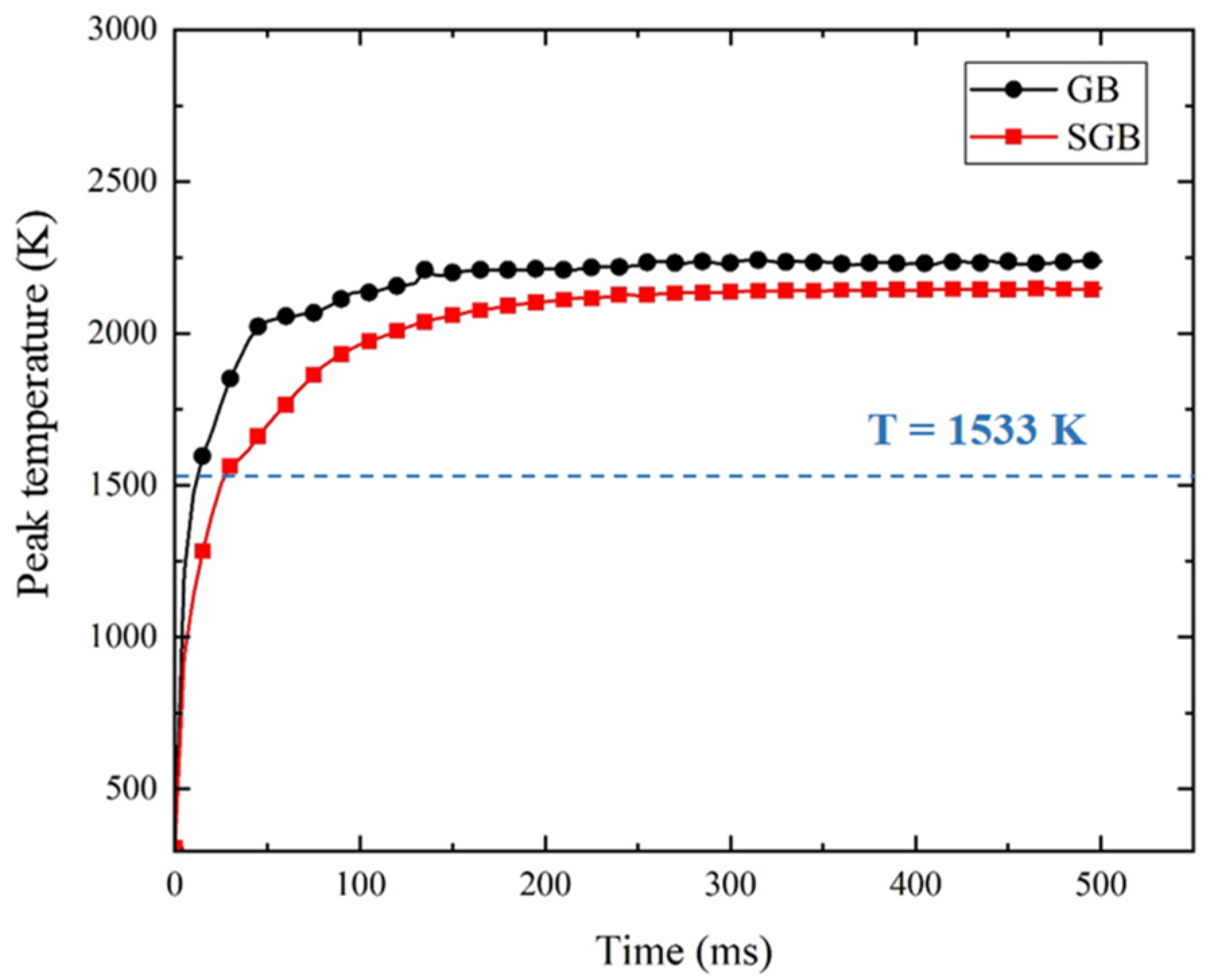
- The laser beam profile has a significant influence on the temperature field and fluid flow in the molten pool. Compared with the GB case, the peak temperature for the SGB case is approximately 90 K lower, and the average liquid velocity within the molten pool is about 14% lower.
- The main heat dissipation mechanism in the molten pool is convection rather than conduction, because Pe number is much larger than the unit. The Peclet number for the GB case is approximately 12% larger than that for the SGB case, meaning that the fluid flow has a greater effect on heat transfer compared with thermal conduction. Moreover, thermal capillary force is the main driving force for the GB and SGB cases.
- The average temperature gradient and cooling rate are both higher for the SGB case which indicates that the grains could be finer for the SGB case in the L-DED process. Additionally, the higher magnitude of morphology factor for the SGB case means that it has more possibility for columnar growth.
Author Contributions
Funding
Institutional Review Board Statement
Informed Consent Statement
Data Availability Statement
Conflicts of Interest
References
- Gunen, A.; Gurol, U.; Kocak, M.; Cam, G. A new approach to improve some properties of wire arc additively manufactured stainless steel components: Simultaneous homogenization and boriding. Surf. Coat Tech. 2023, 460, 129395. [Google Scholar] [CrossRef]
- Shao, J.; Yu, G.; Li, S.; He, X.; Tian, C.; Dong, B. Crystal growth control of Ni-based alloys by modulation of the melt pool morphology in DED. J. Alloys Compd. 2022, 898, 162976. [Google Scholar] [CrossRef]
- Lin, S.; Chen, K.; He, W.; Tamura, N.; Ma, E. Custom-designed heat treatment simultaneously resolves multiple challenges facing 3D-printed single-crystal superalloys. Mater. Des. 2022, 222, 111075. [Google Scholar] [CrossRef]
- Çam, G. Prospects of producing aluminum parts by wire arc additive manufacturing (WAAM). Mater. Today Proc. 2022, 62, 77–85. [Google Scholar] [CrossRef]
- Kruth, J.-P.; Leu, M.C.; Nakagawa, T. Progress in Additive Manufacturing and Rapid Prototyping. Cirp Ann. 1998, 47, 525–540. [Google Scholar] [CrossRef]
- DebRoy, T.; Wei, H.L.; Zuback, J.S.; Mukherjee, T.; Elmer, J.W.; Milewski, J.O.; Beese, A.M.; Wilson-Heid, A.; De, A.; Zhang, W. Additive manufacturing of metallic components—Process, structure and properties. Prog. Mater. Sci. 2018, 92, 112–224. [Google Scholar] [CrossRef]
- Zhang, X.; Li, W.; Liou, F. Damage detection and reconstruction algorithm in repairing compressor blade by direct metal deposition. Int. J. Adv. Manuf. Technol. 2018, 95, 2393–2404. [Google Scholar] [CrossRef]
- Lee, J.-Y.; Nagalingam, A.P.; Yeo, S.H. A review on the state-of-the-art of surface finishing processes and related ISO/ASTM standards for metal additive manufactured components. Virtual Phys. Prototyp. 2021, 16, 68–96. [Google Scholar] [CrossRef]
- Wen, S.; Shin, Y.C. Modeling of transport phenomena during the coaxial laser direct deposition process. J. Appl. Phys. 2010, 108, 044908. [Google Scholar] [CrossRef]
- Dortkasli, K.; Isik, M.; Demir, E. A thermal finite element model with efficient computation of surface heat fluxes for directed-energy deposition process and application to laser metal deposition of IN718. J. Manuf. Process 2022, 79, 369–382. [Google Scholar] [CrossRef]
- Sun, Z.; Guo, W.; Li, L. Numerical modelling of heat transfer, mass transport and microstructure formation in a high deposition rate laser directed energy deposition process. Addit. Manuf. 2020, 33, 101175. [Google Scholar] [CrossRef]
- Gan, Z.; Yu, G.; He, X.; Li, S. Numerical simulation of thermal behavior and multicomponent mass transfer in direct laser deposition of Co-base alloy on steel. Int. J. Heat Mass Transf. 2017, 104, 28–38. [Google Scholar] [CrossRef]
- Li, W.; Kishore, M.N.; Zhang, R.Y.; Bian, N.; Lu, H.B.; Li, Y.Y.; Qian, D.; Zhang, X.C. Comprehensive studies of SS316L/IN718 functionally gradient material fabricated with directed energy deposition: Multi-physics & multi-materials modelling and experimental validation. Addit. Manuf. 2023, 61, 103358. [Google Scholar]
- Bayat, M.; Nadimpalli, V.K.; Biondani, F.G.; Jafarzadeh, S.; Thorborg, J.; Tiedje, N.S.; Bissacco, G.; Pedersen, D.B.; Hattel, J.H. On the role of the powder stream on the heat and fluid flow conditions during Directed Energy Deposition of maraging steel—Multiphysics modeling and experimental validation. Addit. Manuf. 2021, 43, 102021. [Google Scholar] [CrossRef]
- Song, J.; Chew, Y.; Bi, G.; Yao, X.; Zhang, B.; Bai, J.; Moon, S.K. Numerical and experimental study of laser aided additive manufacturing for melt-pool profile and grain orientation analysis. Mater. Des. 2018, 137, 286–297. [Google Scholar] [CrossRef]
- Wang, C.; Zhou, J.; Zhang, T.; Meng, X.; Li, P.; Huang, S. Numerical simulation and solidification characteristics for laser cladding of Inconel 718. Opt. Laser Technol. 2022, 149, 107843. [Google Scholar] [CrossRef]
- Wu, J.; Zheng, X.; Zhang, Y.; Ren, S.; Yin, C.; Cao, Y.; Zhang, D. Modeling of whole-phase heat transport in laser-based directed energy deposition with multichannel coaxial powder feeding. Addit. Manuf. 2022, 59, 103161. [Google Scholar] [CrossRef]
- Kaplan, A.F.H. Influence of the beam profile formulation when modeling fiber-guided laser welding. J. Laser Appl. 2011, 23, 042005. [Google Scholar] [CrossRef]
- Han, L.; Liou, F.W. Numerical investigation of the influence of laser beam mode on melt pool. Int. J. Heat Mass Transf. 2004, 47, 4385–4402. [Google Scholar] [CrossRef]
- Ayoola, W.; Suder, W.; Williams, S. Effect of beam shape and spatial energy distribution on weld bead geometry in conduction welding. Opt. Laser Technol. 2019, 117, 280–287. [Google Scholar] [CrossRef]
- Huang, S.; Narayan, R.L.; Tan, J.H.K.; Sing, S.L.; Yeong, W.Y. Resolving the porosity-unmelted inclusion dilemma during in-situ alloying of Ti34Nb via laser powder bed fusion. Acta Mater. 2020, 204, 116522. [Google Scholar] [CrossRef]
- Yuan, W.; Chen, H.; Li, S.; Heng, Y.; Yin, S.; Wei, Q. Understanding of adopting flat-top laser in laser powder bed fusion processed Inconel 718 alloy: Simulation of single-track scanning and experiment. J. Mater. Res. Technol. 2022, 16, 1388–1401. [Google Scholar] [CrossRef]
- Wu, J.; Ren, S.; Zhang, Y.; Cao, Y.; Zhang, D.; Yin, C. Influence of spatial laser beam profiles on thermal-fluid transport during laser-based directed energy deposition. Virtual Phys. Prototyp. 2021, 16, 444–459. [Google Scholar] [CrossRef]
- Bian, Y.; He, X.; Yu, G.; Li, S.; Tian, C.; Li, Z.; Zhang, Y.; Liu, J. Powder-flow behavior and process mechanism in laser directed energy deposition based on determined restitution coefficient from inverse modeling. Powder Technol. 2022, 402, 117355. [Google Scholar] [CrossRef]
- Shao, J.Y.; Yu, G.; He, X.L.; Li, S.X.; Chen, R.; Zhao, Y. Grain size evolution under different cooling rate in laser additive manufacturing of superalloy. Opt. Laser Technol. 2019, 119, 105662. [Google Scholar] [CrossRef]
- Zhang, H.-O.; Kong, F.-R.; Wang, G.-L.; Zeng, L.-F. Numerical simulation of multiphase transient field during plasma deposition manufacturing. J. Appl. Phys. 2006, 100, 123522. [Google Scholar] [CrossRef]
- Spiegel, E.A.; Veronis, G. On the Boussinesq Approximation for a Compressible Fluid. Astrophys. J. 1960, 131, 442. [Google Scholar] [CrossRef]
- Brent, A.D.; Voller, V.R.; Reid, K.J. Enthalpy-Porosity Technique for Modeling Convection-Diffusion Phase-Change—Application to the Melting of a Pure Metal. Numer. Heat Transf. 1988, 13, 297–318. [Google Scholar] [CrossRef]
- Shealy, D.L.; Hoffnagle, J.A. Laser beam shaping profiles and propagation. Appl. Opt. 2006, 45, 5118–5131. [Google Scholar] [CrossRef]
- Liu, Z.; Qi, H. Numerical Simulation of Transport Phenomena for a Double-Layer Laser Powder Deposition of Single-Crystal Superalloy. Met. Mater. Trans. A 2014, 45, 1903–1915. [Google Scholar] [CrossRef]
- Frenk, A.; Vandyoussefi, M.; Wagnière, J.-D.; Kurz, W.; Zryd, A. Analysis of the laser-cladding process for stellite on steel. Met. Mater. Trans. B 1997, 28, 501–508. [Google Scholar] [CrossRef]
- Zhang, T.; Li, H.; Liu, S.; Shen, S.N.; Xie, H.M.; Shi, W.X.; Zhang, G.Q.; Shen, B.N.; Chen, L.W.; Xiao, B.; et al. Evolution of molten pool during selective laser melting of Ti-6Al-4V. J. Phys. D Appl. Phys. 2019, 52, 55302. [Google Scholar] [CrossRef]
- Li, S.; Xiao, H.; Liu, K.; Xiao, W.; Li, Y.; Han, X.; Mazumder, J.; Song, L. Melt-pool motion, temperature variation and dendritic morphology of Inconel 718 during pulsed- and continuous-wave laser additive manufacturing: A comparative study. Mater. Des. 2017, 119, 351–360. [Google Scholar] [CrossRef]
- Wirth, F.; Wegener, K. A physical modeling and predictive simulation of the laser cladding process. Addit. Manuf. 2018, 22, 307–319. [Google Scholar] [CrossRef]
- Khandkar, M.Z.H.; Khan, J.A.; Reynolds, A.P. A Thermal Model of the Friction Stir Welding Process. Int. Mech. Eng. Congr. Expos. 2002, 5, 115–124. [Google Scholar]
- Kumar, A.; Roy, S. Effect of three-dimensional melt pool convection on process characteristics during laser cladding. Comput. Mater. Sci. 2009, 46, 495–506. [Google Scholar] [CrossRef]
- Wei, P.S.; Yeh, J.S.; Ting, C.N.; DebRoy, T.; Chung, F.K.; Lin, C.L. The effects of Prandtl number on wavy weld boundary. Int. J. Heat Mass Transf. 2009, 52, 3790–3798. [Google Scholar] [CrossRef]
- Bayat, M.; Mohanty, S.; Hattel, J.H. A systematic investigation of the effects of process parameters on heat and fluid flow and metallurgical conditions during laser-based powder bed fusion of Ti6Al4V alloy. Int. J. Heat Mass Transf. 2019, 139, 213–230. [Google Scholar] [CrossRef]
- Kou, S. Welding Metallurgy, Second Edition; Wiley: Hoboken, NJ, USA, 2003. [Google Scholar]
- Nastac, L.; Valencia, J.J.; Tims, M.L.; Dax, F.R. Advances in the solidification of IN718 and RS5 alloys. In Proceedings of the Superalloys 718, 625, 706 and Various Derivatives, Pittsburgh, PA, USA, 17–20 June 2001; pp. 103–112. [Google Scholar]
- Knapp, G.; Raghavan, N.; Plotkowski, A.; DebRoy, T. Experiments and simulations on solidification microstructure for Inconel 718 in powder bed fusion electron beam additive manufacturing. Addit. Manuf. 2019, 25, 511–521. [Google Scholar] [CrossRef]
- Hunt, J. Steady state columnar and equiaxed growth of dendrites and eutectic. Mater. Sci. Eng. 1984, 65, 75–83. [Google Scholar] [CrossRef]
- Gäumann, M.; Bezençon, C.; Canalis, P.; Kurz, W. Single-crystal laser deposition of superalloys: Processing–microstructure maps. Acta Mater. 2001, 49, 1051–1062. [Google Scholar] [CrossRef]
- Anderson, T.; DuPont, J.; DebRoy, T. Origin of stray grain formation in single-crystal superalloy weld pools from heat transfer and fluid flow modeling. Acta Mater. 2010, 58, 1441–1454. [Google Scholar] [CrossRef]























| Processing Parameters | Laser Spot Radius (mm) | Powder Feeding Rate (g/min) | Laser Power (W) | Scanning Speed (mm/s) |
|---|---|---|---|---|
| value | 1.6 | 5 | 1500–2100 | 10 |
| Property | Value | Unit |
|---|---|---|
| Density of solid, ρs | 7676 | kg/m3 |
| Density of liquid, ρl | 7400 | kg/m3 |
| Liquid viscosity, μ | 0.006 | Pa·s |
| Solid temperature, Ts | 1533 | K |
| Liquid temperature, Tl | 1609 | K |
| Latent heat of fusion, Lf | 2.09 × 105 | J/kg |
| Thermal conductivity, k | 0.5603 + 0.0294T − 7.0 × 10−6 T2 | W/(m·K) |
| Specific heat of solid, Cp,s | 625 | J/(kg·K) |
| Specific heat of liquid, Cp,l | 725 | J/(kg·K) |
| Surface tension coefficient, γ | −0.00011 | N/(m·K) |
| Thermal expansion coefficient, β | 1.63 × 10−5 | 1/K |
| Stefan-Boltzmann constant, σ | 5.67 × 10−8 | W/(m2·K4) |
| Equivalent emissivity, ε | 0.5 | - |
| Case | Melting Volume (m30) | Peak Temperature (K) | Peak Velocity (m/s) | Temperature Non-Uniformity (-) |
|---|---|---|---|---|
| SGB1500 | 1.32 × 10−9 | 2149 | 0.28 | 7.29 × 10−2 |
| SGB1800 | 2.05 × 10−9 | 2322 | 0.34 | 8.56 × 10−2 |
| SGB2100 | 2.86 × 10−9 | 2481 | 0.39 | 9.60 × 10−2 |
| Case | (cm/s) | Pe | Ra | Ma | Fo |
|---|---|---|---|---|---|
| SGB1500 | 2.4 | 31.8 | 26.9 | 2146.8 | 0.526 |
| SGB1800 | 3.0 | 46.2 | 53.6 | 3184.9 | 0.454 |
| SGB2100 | 3.4 | 58.8 | 89.8 | 4271.8 | 0.407 |
| Case | Temperature Gradient (K/m) | Growth Velocity (m/s) | Cooling Rate (K/s) | Morphology Factor (K·s/m2) |
|---|---|---|---|---|
| GB1500 | 7.72 × 105 | 3.16 × 10−3 | 2.16 × 103 | 6.16 × 108 |
| SGB1500 | 7.98 × 105 | 3.36 × 10−3 | 2.40 × 103 | 6.60 × 108 |
| SGB1800 | 7.76 × 105 | 2.93 × 10−3 | 1.99 × 103 | 1.66 × 109 |
| SGB2100 | 7.38 × 105 | 2.69 × 10−3 | 1.71 × 103 | 1.72 × 109 |
| Case | Clad Width (mm) | Penetration Depth (mm) | Deposition Height (mm) | ||||||
|---|---|---|---|---|---|---|---|---|---|
| Exp. | Sim. | Error (%) | Exp. | Sim. | Error (%) | Exp. | Sim. | Error (%) | |
| SGB1500 | 1.46 | 1.45 | 0.6% | 0.32 | 0.30 | 6.3% | 0.35 | 0.34 | 2.3% |
| SGB1800 | 1.57 | 1.62 | 3.2% | 0.39 | 0.40 | 1.8% | 0.34 | 0.36 | 4.7% |
| SGB2100 | 1.88 | 1.78 | 5.4% | 0.46 | 0.47 | 2.0% | 0.34 | 0.36 | 7.0% |
Disclaimer/Publisher’s Note: The statements, opinions and data contained in all publications are solely those of the individual author(s) and contributor(s) and not of MDPI and/or the editor(s). MDPI and/or the editor(s) disclaim responsibility for any injury to people or property resulting from any ideas, methods, instructions or products referred to in the content. |
© 2023 by the authors. Licensee MDPI, Basel, Switzerland. This article is an open access article distributed under the terms and conditions of the Creative Commons Attribution (CC BY) license (https://creativecommons.org/licenses/by/4.0/).
Share and Cite
Chen, B.; Bian, Y.; Li, Z.; Dong, B.; Li, S.; Tian, C.; He, X.; Yu, G. Effect of Laser Beam Profile on Thermal Transfer, Fluid Flow and Solidification Parameters during Laser-Based Directed Energy Deposition of Inconel 718. Materials 2023, 16, 4221. https://doi.org/10.3390/ma16124221
Chen B, Bian Y, Li Z, Dong B, Li S, Tian C, He X, Yu G. Effect of Laser Beam Profile on Thermal Transfer, Fluid Flow and Solidification Parameters during Laser-Based Directed Energy Deposition of Inconel 718. Materials. 2023; 16(12):4221. https://doi.org/10.3390/ma16124221
Chicago/Turabian StyleChen, Bo, Yanhua Bian, Zhiyong Li, Binxin Dong, Shaoxia Li, Chongxin Tian, Xiuli He, and Gang Yu. 2023. "Effect of Laser Beam Profile on Thermal Transfer, Fluid Flow and Solidification Parameters during Laser-Based Directed Energy Deposition of Inconel 718" Materials 16, no. 12: 4221. https://doi.org/10.3390/ma16124221
APA StyleChen, B., Bian, Y., Li, Z., Dong, B., Li, S., Tian, C., He, X., & Yu, G. (2023). Effect of Laser Beam Profile on Thermal Transfer, Fluid Flow and Solidification Parameters during Laser-Based Directed Energy Deposition of Inconel 718. Materials, 16(12), 4221. https://doi.org/10.3390/ma16124221

