Experimental and Numerical Simulation on the Penetration for Basic Magnesium Sulfate Cement Concrete
Abstract
1. Introduction
2. Test Preparation
2.1. Raw Materials
2.2. Specimens Preparation
2.3. Test Device and Test Principle
2.4. Test Results and Analysis
2.4.1. Penetration Depth
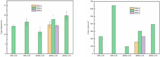
2.4.2. Crater Diameter and Volume
2.4.3. Analysis of Failure Mode of Target
3. Numerical Simulation
3.1. Finite Element Modeling
3.2. Material Model and Parameters
3.3. Contact and Boundary Conditions
3.4. Simulation Results and Analysis
3.4.1. Process of Penetration
3.4.2. Variation Rules of Projectile Velocity
3.4.3. Depth of Penetration
3.5. Influence Rules of Parameters
3.5.1. Impact of Concrete Strength
3.5.2. Impact of Penetration Velocity
3.6. Comparison of Penetration Capability between OPCC and BMSCC
4. Conclusions
- (1)
- The on-site test results have shown that projectile velocity and concrete strength both have significant effects on the penetration resistance of the BMSCC target. The greater the initial velocity of the projectile, the greater the penetration depth of the target. Besides, when the initial velocity of the projectile is the same, the penetration depth of the BMSCC target will decrease with increasing concrete strength.
- (2)
- The crater diameter and volume increase with the increase in BMSCC strength when the projectile velocity is the same. When analyzing the failure mode of target, the craters are all funnel-shaped, with radial cracks at the edges, and the larger the velocity of the projectile, the more cracks and the larger the width.
- (3)
- (4)
- Material properties also have an impact on the penetration resistance of concrete, which is obtained through on-site testing and numerical simulations. The BMSCC targets have better penetration resistance performance than OPCC under the same conditions, mainly manifested in smaller penetration depth, smaller crater diameter, and volume, as well as fewer cracks.
Author Contributions
Funding
Institutional Review Board Statement
Informed Consent Statement
Data Availability Statement
Acknowledgments
Conflicts of Interest
References
- Petry. Monographies De Systemes Dartillerie; Oxford University Press: London, UK, 1910. [Google Scholar]
- Beth, R.A. Penetration of Projectiles in Concrete; PPAB Interim Report: Washington, DC, USA, 1941. [Google Scholar]
- ACE Fundamentals of Protective Structures. Army Corps of Engineers; Office of the Chief of Engineers: Washington, DC, USA, 1946. [Google Scholar]
- Fang, Q.; Wu, H. Concrete Structures Under Projectile Impact; Springer: Singapore, 2017. [Google Scholar]
- Frew, D.J.; Hanchak, S.J.; Green, M.L.; Forrestal, M.J. Penetration of concrete targets with ogive-nose steel rods. Int. J. Impact Eng. 1998, 21, 489–497. [Google Scholar] [CrossRef]
- Forrestal, M.J.; Frew, D.J.; Hanchak, S.J.; Brar, N.S. Penetration of grout and concrete targets with ogive-nose steel projectiles. Int. J. Impact Eng. 1996, 18, 465–476. [Google Scholar] [CrossRef]
- Zhang, M.H.; Shim, V.P.W.; Lu, G.; Chew, C.W. Resistance of high-strength concrete to projectile impact. Int. J. Impact Eng. 2005, 31, 825–841. [Google Scholar] [CrossRef]
- Sovjak, R.; Vavřiník, T.; Zatloukal, J.; Maca, P.; Mičunek, T.; Frydrýn, M. Resistance of slim UHPFRC targets to prijectile impact using in-service bullets. Int. J. Impact Eng. 2015, 76, 166–177. [Google Scholar] [CrossRef]
- Máca, P.; Sovják, R.; Konvalinka, P. Mix design of UHPFRC and its response to projectile impact. Int. J. Impact Eng. 2014, 63, 158–163. [Google Scholar] [CrossRef]
- Liu, J.; Wu, C.; Liu, Z.; Li, J.; Xu, S.; Liu, K.; Su, Y.; Chen, G. Investigations on the response of ceramic ball aggregated and steel fibre reinforced geopolymer-based ultra-high performance concrete (G-UHPC) to projectile penetration. Compos. Struct. 2021, 255, 112983. [Google Scholar] [CrossRef]
- Wu, H.; Fang, Q.; Gong, J.; Liu, J.Z.; Zhang, J.H.; Gong, Z.M. Projectile impact resistance of corundum aggregated UHP-SFRC. Int. J. Impact Eng. 2015, 84, 38–53. [Google Scholar] [CrossRef]
- Bishop, R.F. The theory of indentation and hardness tests. Proc. Phys. Soc. 1945, 57, 147–159. [Google Scholar] [CrossRef]
- Goodier, J.N. On the Mechanics of Indentation and Cratering in Solid Targets of Strain Hardening Metal by Impact of Hard and Soft Spheres; Stanford Research Institute: Menlo Park, CA, USA, 1964. [Google Scholar]
- Butler, D.K. An Analytical Study of Projectile Penetration into Rock; DTIC Document; Engineer Research and Development Center (U.S.): Vicksburg, VS, USA, 1975. [Google Scholar]
- Rohani, B. Analysis of Projectile Penetration into Concrete and Rock Targets; DTIC Document; US Army Engineer Waterways Experiment Station, Soils and Pavement Laboratory: Vicksburg, MS, USA, 1975. [Google Scholar]
- Luk, V.K.; Forrestal, M.J. Penetration into semi infinite reinforced concrete targets with spherical and ogival nose projectiles. Int. J. Impact Eng. 1987, 6, 291–301. [Google Scholar] [CrossRef]
- Forrestal, M.J.; Altman, B.S.; Cargile, J.D.; Hanchak, S.J. An empirical equation for penetration depth of ogive-nose projectiles into concrete targets. Int. J. Impact Eng. 1994, 15, 395–405. [Google Scholar] [CrossRef]
- He, T.; Wen, H.M.; Guo, X.J. A spherical cavity expansion model for penetration of ogival-nosed projectiles into concrete targets with shear-dilatancy. Chin. J. Theor. Appl. Mech. 2011, 27, 1001–1012. [Google Scholar] [CrossRef]
- Hao, W.; Qin, F.; Ziming, G.; Hengbo, X. Analysis on penetration depth of projectiles into rock targets based on the improved twin shear strength theory. Eng. Mech. 2009, 26, 216–225. [Google Scholar]
- Zhang, X.; Yan, L.; Wu, H.; Wang, F. A Note on the Dynamic Spherical Cavity Expansion of Concrete with Shear Dilatancy. Acta Armamentarii 2016, 37, 42–49. [Google Scholar]
- Holmquist, T.J.; Johnson, G.R.; Cook, W.H. A Computational Constitutive Model for Concrete Subjected to Large Strains, High Strain Rates and High Pressures; The International Symposium on Ballistics: Vancouver, BC, Canada, 1993; pp. 591–600. [Google Scholar]
- Kong, X.Z.; Fang, Q.; Wu, H.; Peng, Y. Numerical predictions of cratering and scabbing in concrete slabs subjected version of HJC material model. Int. J. Impact Eng. 2016, 95, 61–71. [Google Scholar] [CrossRef]
- Riedel, W.; Thoma, K.; Hiermaier, S.; Schmolinske, E. Penetration of reinforced concrete by BETA-B-500 numerical analysis using a new macroscopic concrete model for hy drocodes. In Proceedings of the 9th International Symposium on the Effects of Munitions with Structures, Berlin, Germany, 3–7 May 1999. [Google Scholar]
- Huang, X.; Chen, Y.; Zhong, W.; Zhang, F.; Lu, Y.; Zhu, J. An Analysis of RHT Parameters in 2D Numerical Simulation of Concrete Penetration with Composite Projectiles. Int. J. Mod. Phys. B 2008, 22, 1291–1296. [Google Scholar] [CrossRef]
- Tu, Z.G.; Lu, Y. Modifications of RHT material model for improved numerical simulation of dynamic response of concrete. Int. J. Impact Eng. 2010, 37, 1072–1082. [Google Scholar] [CrossRef]
- Wang, L.; Guo, F.X.; Yang, H.M.; Wang, Y.; Tang, S.W. Comparison of fly ash, PVA fiber, MgO and shrinkage-reducing admixture on the frost resistance of face slab concrete via pore structural and fractal analysis. Fractals 2021, 29, 2140002. [Google Scholar] [CrossRef]
- Huang, J.; Li, W.; Huang, D.; Wang, L.; Chen, E.; Wu, C.; Wang, B.; Deng, H.; Tang, S.; Shi, Y.; et al. Fractal analysis on pore structure and hydration of magnesium oxysulfate cements by first principle, thermodynamic and microstructure-based methods. Fractal Fract. 2021, 5, 164–181. [Google Scholar] [CrossRef]
- Peng, Y.; Tang, S.; Huang, J.; Tang, C.; Wang, L.; Liu, Y. Fractal analysis on pore structure and modeling of hydration of magnesium phosphate cement paste. Fractal Fract. 2022, 6, 337–355. [Google Scholar] [CrossRef]
- Yu, H.; Tan, Y.; Yang, L. Microstructural evolution of concrete under the attack of chemical, salt crystallization, and bending stress. J. Mater. Civ. Eng. 2017, 29, 04017041. [Google Scholar] [CrossRef]
- Yu, H.F.; Wu, C.Y. Theoretical innovation of basic magnesium sulfate cement and its application prospects. In Proceedings of the 10th Congress of China Magnesite Industry Association and the 2013 Industry Annual Conference, Jinan, China, 5–7 November 2013. [Google Scholar]
- Wu, C.; Yu, H.; Dong, J.; Zheng, L. Effectcs of material ratio, fly ash and citric acid on magnesium oxysulfate cement. ACI Mater. J. 2014, 111, 291–297. [Google Scholar]
- Zhu, H.; Yu, H.; Ma, H.; Yang, S. Uniaxial compressive stress-strain curves of the magnesium oxysulfate cement concrete. Constr. Build. Mater. 2020, 232, 117244. [Google Scholar] [CrossRef]
- He, L. Research on Mix Proportion Design of Basci Magnesium Sulfate Cement Concrete; Nanjing University of Aeronautics and Astronautics: Nanjing, China, 2016. (In Chinese) [Google Scholar]
- Yang, S.Q. Mechanical Properties and Constitutive Relation of Basic Magnesium Sulfate Cement Concrete; Nanjing University of Aeronautics and Astronautics: Nanjing, China, 2017. (In Chinese) [Google Scholar]
- ASTM, ASTM C219-20a; Standard Terminology Relating to Hydraulic and Other Inorganic Cements. American Society for Testing and Materials: West Conshohocken, PA, USA, 2020.
- ASTM C187-16,2016 ASTM, ASTM C187-16; Standard Test Method for Amount of Water Required for Normal Consistency of Hydraulic Cement Paste. American Society for Testing and Materials: West Conshohocken, PA, USA, 2016.
- Zhang, W.H. Investigation of Microstructure Formation Mechanism and Dynamic Mechanical Behavior of UHPCC; Southeast University: Nanjing, China, 2013. (In Chinese) [Google Scholar]
















| Cement | Standard Consistency/% | Initial Setting Time/min | Final Setting Time/min | Stability | Compressive Strength/MPa | Flexural Strength/MPa | ||||
|---|---|---|---|---|---|---|---|---|---|---|
| 3d | 7d | 28d | 3d | 7d | 28d | |||||
| BMSC | 19.2 | 117 | 278 | qualified | 44.2 | 52.0 | 56.5 | 7.5 | 11.9 | 13.7 |
| Constituent/% | FA | Light Burned MgO |
|---|---|---|
| SiO2 | 54.88 | 2.87 |
| Al2O3 | 26.89 | 0.12 |
| CaO | 4.77 | 1.34 |
| MgO | 1.31 | 87.3 |
| Fe2O3 | 1.16 | 0.39 |
| SO3 | 6.49 | |
| I.L | 3.1 | 6.56 |
| Strength Grate | Material Composition/kg·m−3 | W/C | 28d Compressive Strength/MPa | |||||
|---|---|---|---|---|---|---|---|---|
| Cementitious Material | Cement | FA | Coarse Aggregate | Fine Aggregate | Water | |||
| BMSC C30 | BMSC52.5 | 530 | 1078.3 | 718.6 | 185.5 | 0.35 | 36.2 | |
| BMSC C50 | BMSC52.5 | 530 | 1078.3 | 718.6 | 143.1 | 0.27 | 51.5 | |
| BMSC C70 | BMSC52.5 | 530 | 1078.3 | 718.6 | 121.9 | 0.23 | 67.4 | |
| OPC C30 | PO52.5 | 430 | 1045 | 697 | 276 | 0.53 | 37.5 | |
| OPC C50 | PO52.5 | 226 | 226 | 1132 | 679 | 158 | 0.35 | 55.1 |
| Concrete | Projectiles | Targets | |||||
|---|---|---|---|---|---|---|---|
| Mass (g) | Charge (g) | Initial Velocity (m·s−1) | Residual Velocity (m·s−1) | Penetration Depth/cm | Crater Diameter/cm | Crater Volume/cm3 | |
| OPC C30 | 180.1 | 8.3 | 318 | 105 | Penetrated | 12.3 | 230 |
| OPC C50 | 179.6 | 8.3 | 324 | 0 | 14.5 | 16.4 | 645.6 |
| BMSC C30 | 179.7 | 8.3 | 297.1 | 68 | Penetrated | 13.95 | 96.7 |
| BMSC C50 | 179.3 | 5.9 | 212.7 | 0 | 5.5 | 14.95 | 157.1 |
| 179.7 | 8.3 | 297.2 | 0 | 13.8 | 17.80 | 302 | |
| 179.6 | 11.6 | 390 | 0 | 17.3 | 14.58 | 229.7 | |
| BMSC C70 | 180.2 | 8.3 | 286 | 0 | 10.7 | 19.75 | 392 |
| Symbols | Meaning | Value | Symbols | Meaning | Value |
|---|---|---|---|---|---|
| Density | 17.6 | D1 | First fracture parameter | 0.16 | |
| G | Shear modulus | 1.36 | D2 | Second fracture parameter | 3.13 |
| A | Yield stress constant | 1.5 × 10−2 | D3 | Third fracture parameter | −2.04 |
| B | Strain hardening constant | 1.7 × 10−3 | D4 | Fourth fracture parameter | 0.007 |
| N | Strain hardening index | 0.12 | D5 | Fifth fracture parameter | 0.37 |
| C | Strain-rate dependence constant | 1.6 × 10−2 | C | Intercept distance of curve | 4.569 |
| M | Temperature-dependent index | 1.0 | S1 | First gradient coefficient | 1.49 |
| Tm | Melting temperature | 1723 | S2 | First gradient coefficient | 0.0 |
| Tr | Room temperature | 294 | S3 | First gradient coefficient | 0.0 |
| Cv | Specific heat | 4.77 × 10−6 | Grüneisen coefficient | 2.17 | |
| Refer to strain rate | 1.0 × 10−6 | α | First corrections of | 0.46 |
| RO | G | A | B | C | N | FC |
|---|---|---|---|---|---|---|
| 2.45 | 0.213 | 0.79 | 1.6 | 0.007 | 0.61 | 7.0 × 10−4 |
| T | EPS0 | EFMIN | SFMAX | PC | UC | PL |
| 5.5 × 10−5 | 1.0 × 10−6 | 0.01 | 7.0 | 2.3 × 10−4 | 5.62 × 10−4 | 0.0085 |
| UL | D1 | D2 | K1 | K2 | K3 | FS |
| 0.1 | 0.04 | 1.0 | 0.85 | −1.71 | 2.08 | 0 |
| RO | G | A | B | C | N | FC |
|---|---|---|---|---|---|---|
| 2.40 | 0.157 | 0.79 | 1.6 | 0.007 | 0.61 | 5.0 × 10−4 |
| T | EPS0 | EFMIN | SFMAX | PC | UC | PL |
| 4.73 × 10−5 | 1.0 × 10−6 | 0.01 | 7.0 | 1.6 × 10−4 | 5.62 × 10−4 | 0.0085 |
| UL | D1 | D2 | K1 | K2 | K3 | FS |
| 0.1 | 0.04 | 1.0 | 1.2 | 1.35 | 6.98 | 0 |
| Concrete | Test Results | Numerical Simulation Results | Error |
|---|---|---|---|
| OPC C30 (300) | 198 m/s | 210 m/s | +6.1% |
| OPC C50 (300) | 14.5 cm | 14.3 cm | −1.4% |
| BMSC C30 (300) | 232 m/s | 252 m/s | +8.6% |
| BMSC C50 (200) | 5.5 cm | 6.7 cm | +21.8% |
| BMSC C50 (300) | 13.8 cm | 14.8 cm | +7.3% |
| BMSC C50 (400) | 17.3 cm | 19.8 cm | +14.4% |
| BMSC C70 (300) | 10.7 cm | 11.8 cm | +10.3% |
Disclaimer/Publisher’s Note: The statements, opinions and data contained in all publications are solely those of the individual author(s) and contributor(s) and not of MDPI and/or the editor(s). MDPI and/or the editor(s) disclaim responsibility for any injury to people or property resulting from any ideas, methods, instructions or products referred to in the content. |
© 2023 by the authors. Licensee MDPI, Basel, Switzerland. This article is an open access article distributed under the terms and conditions of the Creative Commons Attribution (CC BY) license (https://creativecommons.org/licenses/by/4.0/).
Share and Cite
Mei, Q.; Yu, H.; Ma, H.; Tan, Y.; Wu, Z. Experimental and Numerical Simulation on the Penetration for Basic Magnesium Sulfate Cement Concrete. Materials 2023, 16, 4024. https://doi.org/10.3390/ma16114024
Mei Q, Yu H, Ma H, Tan Y, Wu Z. Experimental and Numerical Simulation on the Penetration for Basic Magnesium Sulfate Cement Concrete. Materials. 2023; 16(11):4024. https://doi.org/10.3390/ma16114024
Chicago/Turabian StyleMei, Qiquan, Hongfa Yu, Haiyan Ma, Yongshan Tan, and Zhangyu Wu. 2023. "Experimental and Numerical Simulation on the Penetration for Basic Magnesium Sulfate Cement Concrete" Materials 16, no. 11: 4024. https://doi.org/10.3390/ma16114024
APA StyleMei, Q., Yu, H., Ma, H., Tan, Y., & Wu, Z. (2023). Experimental and Numerical Simulation on the Penetration for Basic Magnesium Sulfate Cement Concrete. Materials, 16(11), 4024. https://doi.org/10.3390/ma16114024

